Mode Coupling Properties of the Plasmonic Dimers Composed of Graphene Nanodisks
Abstract
:1. Introduction
2. Models and Simulation Method
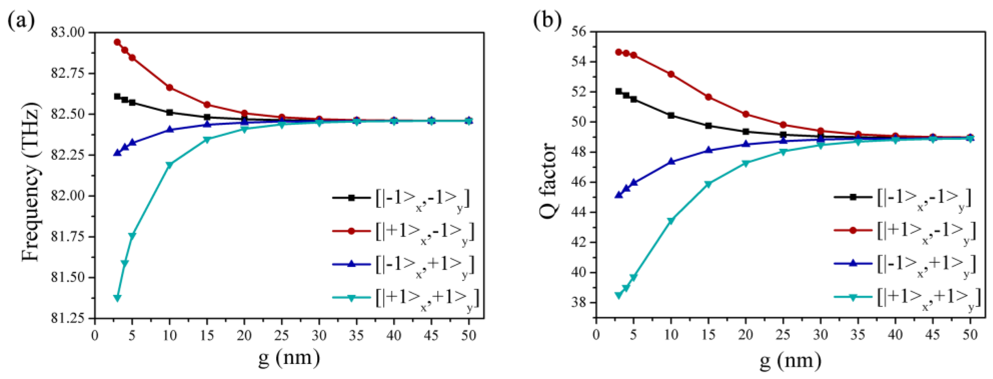
3. Results and Discussion
4. Conclusions
Acknowledgments
Author Contributions
Conflicts of Interest
References
- Chuntonov, L.; Haran, G. Trimeric plasmonic molecules: The role of symmetry. Nano Lett. 2011, 11, 2440–2445. [Google Scholar] [CrossRef] [PubMed]
 - Chuntonov, L.; Haran, G. Effect of Symmetry Breaking on the Mode Structure of Trimeric Plasmonic Molecules. J. Phys. Chem. C 2011, 115, 19488–19495. [Google Scholar] [CrossRef]
 - Fan, J.A.; Bao, K.; Wu, C.; Bao, J.; Bardhan, R.; Halas, N.J.; Manoharan, V.N.; Shvets, G.; Nordlander, P.; Capasso, F. Fano-like interference in Self-Assembled plasmonic quadrumer clusters. Nano Lett. 2010, 10, 4680–4685. [Google Scholar] [CrossRef] [PubMed]
 - Hentschel, M.; Saliba, M.; Vogelgesang, R.; Giesse, H.; Alivisatos, A.P.; Liu, N. Transition from Isolated to Collective Modes in Plasmonic Oligomers. Nano Lett. 2010, 10, 2721–2726. [Google Scholar] [CrossRef] [PubMed]
 - Luk’Yanchuk, B.; Zheludev, N.I.; Maier, S.A.; Hals, N.J.; Nordlander, P.; Giessen, H.; Chong, C.T. The Fano resonance in plasmonic nanostructures and metamaterials. Nat. Mater. 2010, 9, 707–715. [Google Scholar] [CrossRef] [PubMed]
 - Feng, S.; Gan, L. Multi-channel slow light coupled-resonant waveguides based on photonic crystal with rectangular microcavities. Opt. Commun. 2015, 341, 257–262. [Google Scholar] [CrossRef]
 - Papasimakis, N.; Fedotov, V.A.; Zheludev, N.I.; Prosvirnin, S.L. Metamaterial analog of electromagnetically induced transparency. Phys. Rev. Lett. 2008, 101, 253903. [Google Scholar] [CrossRef] [PubMed]
 - Liu, N.; Langguth, L.; Weiss, T.; Kastel, J.; Fleischhauer, M.; Pfau, T.; Giessen, H. Plasmonic analogue of electromagnetically induced transparency at the Drude damping limit. Nat. Mater. 2009, 8, 758–762. [Google Scholar] [CrossRef] [PubMed]
 - Liu, N.; Weiss, T.; Mesch, M.; Langguth, L.; Eigenthaler, U.; Hirscher, M.; Sonnichsen, C.; Giessen, H. Planar metamaterial analogue of electromagnetically induced transparency for plasmonic sensing. Nano Lett. 2010, 10, 1103–1107. [Google Scholar] [CrossRef] [PubMed]
 - Mukherjee, S.; Sobhani, H.; Lassiter, J.B.; Bardhan, R.; Nordlander, P.; Halas, N.J. Fanoshells: Nanoparticles with built-in fano resonances. Nano Lett. 2010, 10, 2694–2701. [Google Scholar] [CrossRef] [PubMed]
 - Ozbay, E.; Bayindir, M.; Bulu, I.; Cubukcu, E. Investigation of localized Coupled-Cavity modes in Two-Dimensional photonic bandgap structures. IEEE J. Quantum Elect. 2002, 38, 837–843. [Google Scholar] [CrossRef]
 - Wang, Q.; Zhao, H.; Du, X.; Zhang, W.; Qiu, M.; Li, Q. Hybrid photonic-plasmonic molecule based on metal/Si disks. Opt. Express 2013, 21, 11037–11047. [Google Scholar] [CrossRef] [PubMed]
 - Ryu, J.; Lee, S.; Kim, S.W. Coupled nonidentical microdisks: Avoided crossing of energy levels and unidirectional far-field emission. Phys. Rev. A 2009, 79, 53858. [Google Scholar] [CrossRef]
 - Boriskina, S.V. Coupling of whispering-gallery modes in size-mismatched microdisk photonic molecules. Opt. Lett. 2007, 32, 1557–1559. [Google Scholar] [CrossRef] [PubMed]
 - Chen, P.; Alu, A. Atomically thin surface cloak using graphene monolayers. ACS Nano 2011, 5, 5855–5863. [Google Scholar] [CrossRef] [PubMed]
 - Huang, Y.X.; Zhao, J.; Qiu, W.B.; Lin, S.X.; Chen, H.B.; Wang, J.X.; Kan, Q.; Pan, J.Q. Investigation of the tunable plasmonic whispering gallery mode properties for graphene monolayer nanodisk cavities. Optik 2016, 127, 5591–5596. [Google Scholar] [CrossRef]
 - Zhao, J.; Qiu, W.B.; Huang, Y.X.; Wang, J.X.; Kan, Q.; Pan, J.Q. Investigation of plasmonic whispering-gallery mode characteristics for graphene. Opt. Lett. 2014, 39, 5527–5530. [Google Scholar] [CrossRef] [PubMed]
 - Zhu, X.L.; Wang, W.L.; Yan, W.; Larsen, M.B.; Boggild, P.; Pedersen, T.G.; Xiao, S.S.; Zi, J.; Mortensen, A. Plasmon-phonon coupling in large-area graphene dot and antidot arrays fabricated by nanosphere lithograhey. Nano Lett. 2014, 14, 2907–2913. [Google Scholar] [CrossRef] [PubMed]
 - Maes, B.; Rosolen, G. Asymmetric and connected graphene dimers for a tunable plasmonic response. Phys. Rev. B 2015, 92, 205405. [Google Scholar]
 - Hadad, Y.; Steinberg, B.Z. Quasistatic resonance of a chemical potential interruption in a graphene layer and its polarizability: The mixed-polarity semilocalized plasmon. Phys. Rev. B 2013, 88, 075439. [Google Scholar] [CrossRef]
 - Hadad, Y.; Davoyan, A.R.; Engheta, N.; Steinberg, B.Z. Extreme and Quantized Magneto-optics with Graphene Meta-atoms and Metasurfaces. ACS Photonics 2014, 1, 1068–1073. [Google Scholar] [CrossRef]
 - Qiu, W.B.; Huang, Y.X.; Chen, H.B.; Qiu, P.P.; Tang, Y.X.; Wang, J.X.; Kan, Q.; Pan, J.Q. Coupling of Whispering-Gallery modes in the graphene nanodisk plasmonic dimers. Plasmonics 2016, 12, 1–7. [Google Scholar] [CrossRef]
 - Huang, F.; Baumberg, J.J. Actively tuned plasmons on elastomerically driven Au nanoparticle dimers. Nano Lett. 2010, 10, 1787–1792. [Google Scholar] [CrossRef] [PubMed]
 - Acimovic, S.S.; Kreuzer, M.P.; Gonzalez, M.U.; Quidant, R. Plasmon near-field coupling in metal dimers as a step toward single-molecule sensing. ACS Nano 2009, 3, 1231–1237. [Google Scholar] [CrossRef] [PubMed]
 - Large, N.; Abb, M.; Aizpurua, J.; Muskens, O.L. Photoconductively loaded plasmonic nanoantenna as building block for ultracompact optical switches. Nano Lett. 2010, 10, 1741–1746. [Google Scholar] [CrossRef] [PubMed]
 - Huang, Y.X.; Qiu, W.B.; Lin, S.X.; Chen, H.B.; Wang, J.X.; Kan, Q.; Pan, J.Q. Analysis of mode characteristics and output efficiency of graphene equilateral triangle nanocavity with vertex output waveguide. Opt. Quantum Electron. 2016, 48, 1–10. [Google Scholar] [CrossRef]
 - Hanson, G.W. Dyadic Green’s functions and guided surface waves for a surface conductivity model of graphene. J. Appl. Phys. 2008, 103, 64302. [Google Scholar] [CrossRef]
 - Qiu, W.B.; Liu, X.H.; Zhao, J.; He, S.H.; Ma, Y.H.; Wang, J.X.; Pan, J.Q. Nanofocusing of mid-infrared electromagnetic waves on graphene monolayer. Appl. Phys. Lett. 2014, 104, 41109. [Google Scholar] [CrossRef]
 - Zhao, J.; Liu, X.H.; Qiu, W.B.; Ma, Y.H.; Huang, Y.X.; Wang, J.X.; Qiang, K.; Pan, J.Q. Surface-plasmon-polariton whispering-gallery mode analysis of the graphene monolayer coated InGaAs nanowire cavity. Opt. Express 2014, 22, 5754–5761. [Google Scholar] [CrossRef] [PubMed]
 - Vakil, A.; Engheta, N. Transformation optics using graphene. Science 2011, 332, 1291–1294. [Google Scholar] [CrossRef] [PubMed]
 - Efetov, D.K.; Kim, P. Controlling Electron-Phonon interactions in graphene at ultrahigh carrier densities. Phys. Rev. Lett. 2010, 105, 256805. [Google Scholar] [CrossRef] [PubMed]
 - Low, T.; Avouris, P. Graphene plasmonics for terahertz to Mid-Infrared applications. ACS Nano 2014, 8, 1086–1101. [Google Scholar] [CrossRef] [PubMed]
 - Huang, Y.X.; Qiu, W.B.; Lin, S.X.; Zhao, J.; Chen, H.B.; Wang, J.X.; Kan, Q.; Pan, J.Q. Investigation of plasmonic whispering gallery modes of graphene equilateral triangle nanocavities. Sci. China Inf. Sci. 2016, 59, 1–9. [Google Scholar] [CrossRef]
 - Kwon, S.H. Deep subwavelength plasmonic whispering-gallery-mode cavity. Opt Express 2012, 20, 24918–24924. [Google Scholar] [CrossRef] [PubMed]
 - Zhang, S.; Li, G.C.; Chen, Y.Q.; Zhu, X.P.; Liu, S.D.; Lei, D.Y.; Duan, H.G. Pronounced fano resonance in single gold split nanodisks with 15 nm split gaps for intensive second harmonic generation. ACS Nano 2016, 10, 11105–11114. [Google Scholar] [CrossRef] [PubMed]
 - Rahmani, M.; Lei, D.Y.; Giannini, V.; Lukiyanchuk, B.; Ranjbar, M.; Liew, T.Y.F.; Hong, M.H.; Maier, S.A. Subgroup decomposition of plasmonic resonances in hybrid oligomers: Modeling the resonance lineshape. Nano Lett. 2012, 12, 2101–2106. [Google Scholar] [CrossRef] [PubMed]
 - Liu, S.D.; Leong, E.S.P.; Li, G.C.; Deng, J.; Teng, J.H.; Ong, H.C.; Lei, D.Y. Polarization-independent multiple fano resonances in plasmonic nonamers for multimode-matching enhanced multiband second-harmonic generation. ACS Nano 2016, 10, 1442–1453. [Google Scholar] [CrossRef] [PubMed]
 - Lei, D.Y.; Fernandez-Dominguez, A.I.; Sonnefraud, Y.; Appavoo, K.; Haglundjr, R.F.; Pendry, J.B.; Maier, S.A. Revealing plasmonic gap modes in particle-on-film systems using dark-field spectroscopy. ACS Nano 2012, 6, 1380–1386. [Google Scholar] [CrossRef] [PubMed]
 - Li, G.C.; Zhang, Y.L.; Lei, D.Y. Hybrid plasmonic gap modes in metal film-coupled dimers and their physical origins revealed by polarization resolved dark field spectroscopy. Nanoscale 2016, 8, 7119–7126. [Google Scholar] [CrossRef] [PubMed]
 - Li, G.C.; Zhang, Y.L.; Jiang, J.; Luo, Y.; Lei, D.Y. Metal-substrate-mediated plasmon hybridization in a nanoparticle dimer for photoluminescence line-width shrinking and intensity enhancement. ACS Nano 2017. [Google Scholar] [CrossRef] [PubMed]
 








© 2017 by the authors. Licensee MDPI, Basel, Switzerland. This article is an open access article distributed under the terms and conditions of the Creative Commons Attribution (CC BY) license (http://creativecommons.org/licenses/by/4.0/).
Share and Cite
Chen, H.; Qiu, W.; Qiu, P.; Ren, J.; Lin, Z.; Wang, J.-X.; Kan, Q.; Pan, J.-Q. Mode Coupling Properties of the Plasmonic Dimers Composed of Graphene Nanodisks. Appl. Sci. 2017, 7, 359. https://doi.org/10.3390/app7040359
Chen H, Qiu W, Qiu P, Ren J, Lin Z, Wang J-X, Kan Q, Pan J-Q. Mode Coupling Properties of the Plasmonic Dimers Composed of Graphene Nanodisks. Applied Sciences. 2017; 7(4):359. https://doi.org/10.3390/app7040359
Chicago/Turabian StyleChen, Houbo, Weibin Qiu, Pingping Qiu, Junbo Ren, Zhili Lin, Jia-Xian Wang, Qiang Kan, and Jiao-Qing Pan. 2017. "Mode Coupling Properties of the Plasmonic Dimers Composed of Graphene Nanodisks" Applied Sciences 7, no. 4: 359. https://doi.org/10.3390/app7040359
APA StyleChen, H., Qiu, W., Qiu, P., Ren, J., Lin, Z., Wang, J.-X., Kan, Q., & Pan, J.-Q. (2017). Mode Coupling Properties of the Plasmonic Dimers Composed of Graphene Nanodisks. Applied Sciences, 7(4), 359. https://doi.org/10.3390/app7040359
        
                                                
