Dark Solitons and Grey Solitons in Waveguide Arrays with Long-Range Linear Coupling Effects
Abstract
:1. Introduction
2. Model and Basic Equations
3. Dark Solitons
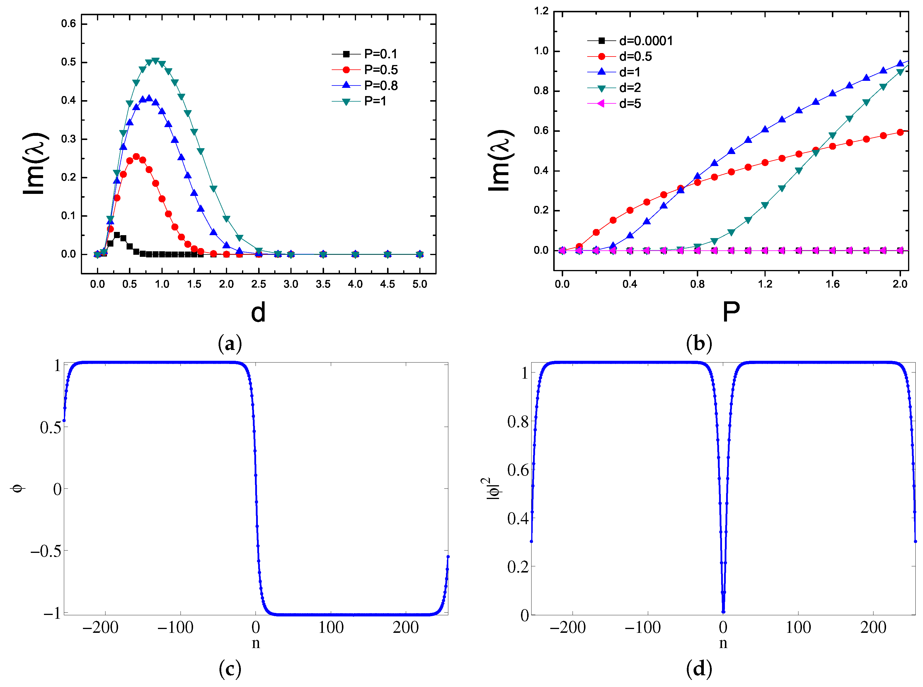
4. Grey Solitons
5. Conclusions
Acknowledgments
Author Contributions
Conflicts of Interest
References
- Lederer, F.; Stegemanb, G.I.; Christodoulides, D.N.; Assanto, G.; Segev, M.; Silberberg, Y. Discrete solitons in optics. Phys. Rep. 2008, 463, 1–126. [Google Scholar] [CrossRef]
- Flach, S.; Gorbachb, A.V. Discrete breathers-Advances in theory and applications. Phys. Rep. 2008, 467, 1–116. [Google Scholar] [CrossRef]
- Kartashov, Y.V.; Malomed, B.A.; Torner, L. Solitons in nonlinear lattices. Rev. Mod. Phys. 2011, 83, 247–306. [Google Scholar] [CrossRef]
- Christodoulides, D.N.; Lederer, F.; Silberberg, Y. Discretizing light behaviour in linear and nonlinear waveguide lattices. Nature 2003, 424, 817–823. [Google Scholar] [CrossRef] [PubMed]
- Garanovich, I.L.; Longhi, S.; Sukhorukova, A.A.; Kivshar, Y.S. Light propagation and localization in modulated photonic lattices and waveguides. Phys. Rep. 2012, 518, 1–79. [Google Scholar] [CrossRef]
- Chen, Z.; Segev, M.; Christodoulides, D.N. Optical spatial solitons: Historical overview and recent advances. Rep. Prog. Phys. 2012, 75, 086401. [Google Scholar] [CrossRef] [PubMed]
- Trombettoni, A.; Smerzi, A. Discrete solitons and breathers with dilute Bose-Einstein condensates. Phys. Rev. Lett. 2001, 86, 2353–2356. [Google Scholar] [CrossRef] [PubMed]
- Efremidis, N.K.; Christodoulides, D.N. Lattice solitons in Bose-Einstein condensates. Phys. Rev. A 2003, 67, 063608. [Google Scholar] [CrossRef]
- Morsch, O.; Oberthaler, M. Dynamics of Bose-Einstein condensates in optical lattices. Rev. Mod. Phys. 2006, 78, 179–215. [Google Scholar] [CrossRef]
- Christodoulides, D.N.; Eugenieva, E.D. Blocking and routing discrete solitons in two-dimensional networks of nonlinear waveguide arrays. Phys. Rev. Lett. 2001, 87, 160–161. [Google Scholar] [CrossRef] [PubMed]
- Ghofraniha, N.; Conti, C.; Ruocco, G.; Trillo, S. Shocks in nonlocal media. Phys. Rev. Lett. 2007, 99, 043903. [Google Scholar] [CrossRef] [PubMed]
- Armaroli, A.; Fratalocchi, A.; Trillo, S. Suppression of transverse instabilities of dark solitons and their dispersive shock waves. Phys. Rev. A 2012, 80, 72. [Google Scholar] [CrossRef]
- Kevrekidis, P.G.; Malomed, B.A.; Saxena, A.; Bishop, A.R.; Frantzeskakis, D.J. Higher-order lattice diffraction: Solitons in the discrete NLS equation with next-nearest-neighbor interactions. Physica D 2003, 183, 87–101. [Google Scholar] [CrossRef]
- Noskov, R.E.; Belov, P.A.; Kivshar, Y.S. Subwavelength modulational instability and plasmon oscillons in nanoparticle arrays. Phys. Rev. Lett. 2012, 108, 324–329. [Google Scholar] [CrossRef] [PubMed]
- Noskov, R.E.; Belov, P.A.; Kivshar, Y.S. Oscillons, soltions, and domain walls in arrays of nonlinear plasmonic nanoparticles. Sci. Rep. 2012, 2, 873. [Google Scholar] [CrossRef] [PubMed]
- Noskov, R.E.; Belov, P.A.; Kivshar, Y.S. Subwavelength plasmonic kinks in arrays of metallic nanoparticles. Opt. Exp. 2012, 20, 2733–2739. [Google Scholar] [CrossRef] [PubMed]
- Mai, Z.; Fu, S.; Wu, J.; Li, Y. Discrete solitons in waveguide arrays with long-range linearly coupled effect. J. Phys. Soc. Jpn. 2014, 83, 034404. [Google Scholar] [CrossRef]
- Christodoulides, D.N.; Joseph, R.I. Discrete self-focusing in nonlinear arrays of coupled waveguides. Opt. Lett. 1998, 13, 794–796. [Google Scholar] [CrossRef]
- Eisenberg, H.S.; Silberberg, Y.; Morandotti, R.; Boyd, A.R.; Aitchison, J.S. Discrete Spatial Optical Solitons in Waveguide Arrays. Phys. Rev. Lett. 1998, 81, 3383–3386. [Google Scholar] [CrossRef]
- Gordon, R. Harmonic oscillation in a spatially finite array waveguide. Opt. Lett. 2004, 29, 2752–2754. [Google Scholar] [CrossRef] [PubMed]
- Chiofalo, M.L.; Succi, S.; Tosi, M.P. Ground state of trapped interacting bose-einstein condensates by an explicit imaginary-time algorithm. Phys. Rev. E 2000, 62, 7438–7444. [Google Scholar] [CrossRef]





© 2017 by the authors. Licensee MDPI, Basel, Switzerland. This article is an open access article distributed under the terms and conditions of the Creative Commons Attribution (CC BY) license ( http://creativecommons.org/licenses/by/4.0/).
Share and Cite
Mai, Z.; Xu, H.; Lin, F.; Liu, Y.; Fu, S.; Li, Y. Dark Solitons and Grey Solitons in Waveguide Arrays with Long-Range Linear Coupling Effects. Appl. Sci. 2017, 7, 311. https://doi.org/10.3390/app7030311
Mai Z, Xu H, Lin F, Liu Y, Fu S, Li Y. Dark Solitons and Grey Solitons in Waveguide Arrays with Long-Range Linear Coupling Effects. Applied Sciences. 2017; 7(3):311. https://doi.org/10.3390/app7030311
Chicago/Turabian StyleMai, Zhijie, Haitao Xu, Fang Lin, Yan Liu, Shenhe Fu, and Yongyao Li. 2017. "Dark Solitons and Grey Solitons in Waveguide Arrays with Long-Range Linear Coupling Effects" Applied Sciences 7, no. 3: 311. https://doi.org/10.3390/app7030311
APA StyleMai, Z., Xu, H., Lin, F., Liu, Y., Fu, S., & Li, Y. (2017). Dark Solitons and Grey Solitons in Waveguide Arrays with Long-Range Linear Coupling Effects. Applied Sciences, 7(3), 311. https://doi.org/10.3390/app7030311

