Development of a Prolonged-Release Drug Delivery System with Magnolol Loaded in Amino-Functionalized Mesoporous Silica
Abstract
:1. Introduction
2. Materials and Methods
2.1. Materials
2.2. Methods
2.2.1. SBA-15 Mesoporous Silica Synthesis
2.2.2. Modification of the Mesoporous Silica by APTES
2.2.3. Magnolol Immobilization
2.2.4. Quantitative Determination of Magnolol
2.2.5. Characterization Methods of MG-Loaded Mesoporous Silica
Nitrogen Sorption Isotherms
Scanning Electron Microscopy (SEM)
Fourier Transform Infrared Spectroscopy (FTIR)
2.2.6. In Vitro Dissolution Tests
2.2.7. Analysis of In Vitro Drug Release Kinetics
3. Results
3.1. Magnolol Loading Capacity
3.2. Characterization of MG-Loaded Mesoporous Silica
3.2.1. Textural Properties
3.2.2. Morphological Properties
3.2.3. Fourier Transform Infrared Spectroscopy (FTIR)
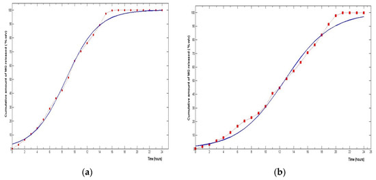
3.3. In Vitro Release of MG-Loaded Mesoporous Silica and Analysis of MG Release Kinetics
4. Conclusions
Acknowledgments
Author Contributions
Conflicts of Interest
References
- Liu, Y.; Cao, W.; Zhang, B.; Liu, Y.; Wang, Z.; Wu, Z.; Yu, X.; Zhang, X.; Ming, P.; Zhou, G.; Huang, L. The natural compound magnolol inhibits invasion and exhibits potential in human breast cancer therapy. Sci. Rep. 2013, 3, 3098. [Google Scholar] [CrossRef] [PubMed]
- Shen, J.L.; Man, K.M.; Huang, P.H.; Chen, W.C.; Chen, D.C.; Cheng, Y.W.; Liu, P.L.; Chou, M.C.; Chen, Y.H. Honokiol and magnolol as multifunctional antioxidative molecules for dermatologic disorders. Molecules 2010, 15, 6452–6465. [Google Scholar] [CrossRef] [PubMed]
- Chen, Y.H.; Huang, P.H.; Lin, F.Y.; Chen, W.C.; Chen, Y.L.; Yin, W.H.; Man, K.M.; Liu, P.L. Magnolol: A multifunctional compound isolated from the Chinese medicinal plant Magnolia officinalis. Eur. J. Integr. Med. 2011, 3, 317–324. [Google Scholar] [CrossRef]
- Lee, J.; Jung, E.; Park, J.; Jung, K.; Lee, S.; Hong, S.; Park, J.; Park, E.; Kim, J.; Park, S.; et al. Anti-inflammatory effects of magnolol and honokiol are mediated through inhibition of the downstream pathway of MEKK-1 in NF-kappab activation signaling. Planta Med. 2005, 71, 338–343. [Google Scholar] [CrossRef] [PubMed]
- Pang, Y.L.; Han, X.F.; Bamiloye, M.A.; Gong, Z.H.; Tang, S.X.; Tan, Z.L.; Xiao, W.J.; Zhou, C.S.; Wang, M.; Deng, Y.L. Anti-diarrhea and anti-oxidant properties of Magnolol. Trop. J. Pharm. Res. 2013, 12, 85–91. [Google Scholar] [CrossRef]
- Ikeda, K.; Sakai, Y.; Nagase, H. Inhibitory effect of magnolol on tumour metastasis in mice. Phytother. Res. 2003, 17, 933–937. [Google Scholar] [CrossRef] [PubMed]
- Ho, K.Y.; Tsai, C.C.; Chen, C.P.; Huang, J.S.; Lin, C.C. Antimicrobial activity of honokiol and magnolol isolated from Magnolia officinalis. Phytother. Res. 2001, 15, 139–141. [Google Scholar] [CrossRef] [PubMed]
- Matsui, N.; Takahashi, K.; Takeichi, M.; Kuroshita, T.; Noguchi, K.; Yamazaki, K.; Tagashira, H.; Tsutsui, K.; Okada, H.; Kido, Y.; et al. Magnolol and honokiol prevent learning and memory impairment and cholinergic deficit in SAMP8 mice. Brain Res. 2009, 1305, 108–117. [Google Scholar] [CrossRef] [PubMed]
- Lin, Y.R.; Chen, H.H.; Lin, Y.C.; Ko, C.H.; Chan, M.H. Antinociceptive actions of honokiol and magnolol on glutamatergic and inflammatory pain. J. Biomed. Sci. Eng. 2009, 16, 94. [Google Scholar] [CrossRef] [PubMed]
- Lu, Y.C.; Chen, H.H.; Ko, C.H.; Lin, Y.R.; Chan, M.H. The mechanism of honokiol-induced and magnolol-induced inhibition on muscle contraction and Ca2+ mobilization in rat uterus. Naunyn Schmiedeberg’s Arch. Pharmacol. 2003, 368, 262–269. [Google Scholar] [CrossRef] [PubMed]
- Zhang, W.W.; Li, Y.; Wang, X.Q.; Tian, F.; Cao, H.; Wang, M.W.; Sun, Q.S. Effects of magnolol and honokiol derived from traditional Chinese herbal remedies on gastrointestinal movement. World J. Gastroenterol. 2005, 11, 4414–4418. [Google Scholar] [CrossRef] [PubMed]
- Tsai, T.H.; Chou, C.J.; Lee, T.F.; Wang, L.C.H.; Chen, C.F. Pharmacokinetic and pharmacodynamic studies of magnolol after oral administration in rats. Pharm. Pharmacol. Commun. 1996, 2, 191–193. [Google Scholar]
- Ajazuddin; Saraf, S. Applications of novel drug delivery system for herbal formulations. Fitoterapia 2010, 81, 680–689. [Google Scholar] [CrossRef] [PubMed]
- Chiu, J.H.; Wang, J.C.; Lui, W.Y.; Wu, C.W.; Hong, C.Y. Effect of magnolol on in vitro mitochondrial lipid peroxidation and solated cold-preserved warm-reperfused rat livers. J. Surg. Res. 1999, 82, 11–16. [Google Scholar] [CrossRef] [PubMed]
- Li, H.B.; Gao, J.M.; Ying, X.X.; Wang, S.P.; Li, J.C. Protective effect of magnolol on TBHPinduced injury in H460 cells partially via a p53 dependent mechanism. Arch. Pharm. Res. 2007, 30, 850–857. [Google Scholar] [CrossRef] [PubMed]
- Dikalov, S.; Losik, T.; Arbiser, J.L. Honokiol is a potent scavenger of superoxide and peroxyl radicals. Biochem. Pharmacol. 2008, 76, 589–596. [Google Scholar] [CrossRef] [PubMed]
- Takata, T.; Tsunoji, N.; Takamitsu, Y.; Sadakane, M.; Sano, T. Nanosized CHA zeolites with high thermal and hydrothermal stability derived from the hydrothermal conversion of FAU zeolite. Microporous Mesoporous Mater. 2016, 225, 524–533. [Google Scholar] [CrossRef]
- Newalkar, B.L.; Choudary, N.V.; Kumar, P.; Komarneni, S.; Bhat, T.S.G. Exploring the potential of mesoporous silica, SBA-15, as an adsorbent for light hydrocarbon separation. Chem. Mater. 2002, 14, 304–309. [Google Scholar] [CrossRef]
- Benamor, T.; Vidal, M.L.; Lebeau, B.; Marichal, C. Influence of synthesis parameters on the physico-chemical characteristics of SBA-15 type ordered mesoporous silica. Microporous Mesoporous Mater. 2012, 153, 100–114. [Google Scholar] [CrossRef]
- Wang, Z.; Zhao, Q.; Han, N.; Ling, B.; Liu, J.; Liang, H.; Zhang, Q.; Jiang, T.; Wang, S. Mesoporous silica nanoparticles in drug delivery and biomedical applications. Nanomed. Nanotechnol. 2015, 11, 313–327. [Google Scholar] [CrossRef] [PubMed]
- Zhang, J.; Yuan, Z.F.; Wang, Y.; Chen, W.H.; Luo, G.F.; Cheng, S.X.; Zhuo, X.R.; Zhang, X.Z. Multifunctional envelope-typemesoporous silica nanoparticles for tumortriggered targeting drug delivery. J. Am.Chem. Soc. 2013, 135, 5068–5073. [Google Scholar] [CrossRef] [PubMed]
- Chen, Z.; Li, Z.; Lin, Y.; Yin, M.; Ren, J.; Qu, X. Bioresponsive hyaluronic acid-capped mesoporous silica nanoparticles for targeted drug delivery. Chem. Eur. J. 2013, 19, 1778–1783. [Google Scholar] [CrossRef] [PubMed]
- Stefanache, A.; Tomoiaga, A.M.; Peptu, C.A.; Spac, A.; Ochiuz, L. Development of prolonged-release systems with magnolol based on silica SBA-15. In Proceedings of the 15th International Multidisciplinary Scientific GeoConference, Albena, Bulgaria, 18–24 June 2015; Book 6. Volume 1, pp. 53–67.
- Vallet-Regi, M.; Balas, F.; Arcos, D. Mesoporous Materials for Drug Delivery. Angew. Chem. Int. Ed. 2007, 46, 7548–7558. [Google Scholar] [CrossRef] [PubMed]
- Piao, Y.; Burns, A.; Kim, J.; Wiesner, U.; Hyeon, T. Designed fabrication of silica-based nanostructured particle systems for nanomedicine applications. Adv. Funct. Mater. 2008, 18, 3745–3758. [Google Scholar] [CrossRef]
- Huang, X.; Li, L.; Liu, T.; Hao, N.; Liu, H.; Chen, D.; Tang, F. The shape effect of mesoporous silica nanoparticles on biodistribution, clearance, and biocompatibility in vivo. ACS Nano 2011, 5, 5390–5399. [Google Scholar] [CrossRef] [PubMed]
- Wang, Y.; Zhao, Q.; Hu, Y.; Sun, L.; Bai, L.; Jiang, T.; Wang, S. Ordered nanoporous silica as carriers for improved delivery of water insoluble drugs: A comparative study between three dimensional and two dimensional macroporous silica. Int. J. Nanomed. 2013, 8, 4015–4031. [Google Scholar] [CrossRef] [PubMed]
- Owens, D.E.; Peppas, N.A. Opsonization, biodistribution, and pharmacokinetics of polymeric nanoparticles. Int. J. Pharm. 2006, 307, 93–102. [Google Scholar] [CrossRef] [PubMed]
- Zhou, Z.; Zhu, S.; Zhang, D. Grafting of thermo-responsive polymer inside mesoporous silica with large pore size using ATRP and investigation of its use in drug release. J. Mater. Chem. 2007, 17, 2428–2433. [Google Scholar] [CrossRef]
- Yang, P.; Gai, S.; Lin, J. Functionalized mesoporous silica materials for controlled drug delivery. Chem. Soc. Rev. 2012, 41, 3679–3698. [Google Scholar] [CrossRef] [PubMed]
- Hu, Y.; Zhi, Z.; Zhao, Q.; Wu, C.; Zhao, P.; Jiang, H.; Jiang, T.; Wang, S. 3D cubic mesoporous silica microsphere as a carrier for poorly soluble drug carvedilol. Microporous Mesoporous Mater. 2012, 147, 94–101. [Google Scholar] [CrossRef]
- Song, S.W.; Hidajat, K.; Kawi, S. Functionalized SBA-15 Materials as Carriers for Controlled Drug Delivery: Influence of Surface Properties on Matrix-Drug Interactions. Langmuir 2005, 21, 9568–9575. [Google Scholar] [CrossRef] [PubMed]
- Hayashi, K.; Nakamura, M.; Ishimura, K. Silica-porphyrin hybrid nanotubes for in vivo cell tracking by near-infrared fluorescence imaging. Chem. Commun. 2012, 48, 3830–3832. [Google Scholar] [CrossRef] [PubMed]
- Gao, W.; Chan, J.M.; Farokhzad, O.C. pH-responsive nanoparticles for drug delivery. Mol. Pharm. 2010, 7, 1913–1920. [Google Scholar] [CrossRef] [PubMed]
- Qu, F.; Zhu, G.; Lin, H.; Zhang, W.; Sun, J.; Li, S.; Qiu, S. A controlled release of ibuprofen by systematically tailoring the morphology of mesoporous silica materials. J. Solid State Chem. 2006, 179, 2027–2035. [Google Scholar] [CrossRef]
- Carriazo, D.; Del Arco, M.; Fernández, A.; Martín, C.; Rives, V. Inclusion and release of fenbufen in mesoporous silica. J. Pharm. Sci. 2010, 99, 3372–3380. [Google Scholar] [CrossRef] [PubMed]
- Ashley, C.E.; Carlee, E.; Carnes, E.C.; Phillips, G.K.; Padilla, D.; Durfee, P.N.; Brown, P.A.; Hanna, T.N.; Liu, J.W.; Phillips, B.; et al. The targeted delivery of multicomponent cargos to cancer cells by nanoporous particle-supported lipid bilayers. Nat. Mater. 2011, 10, 389–397. [Google Scholar] [CrossRef] [PubMed]
- He, Q.; Zhang, Z.; Gao, F.; Li, Y.; Shi, J. In vivo biodistribution and urinary excretion of mesoporous silica nanoparticles: Effects of particle size and PEGylation. Small 2011, 7, 271–280. [Google Scholar] [CrossRef] [PubMed]
- Trewyn, B.G.; Slowing, I.; Giri, S.; Chen, H.T.; Lin, V.S.Y. Synthesis and functionalization of a mesoporous silica nanoparticle based on the sol-gel process and applications in controlled release. Acc. Chem. Res. 2007, 40, 846–853. [Google Scholar] [CrossRef] [PubMed]
- Stefanache, A.; Ochiuz, L.; Ignat, M.; Creteanu, A.; Tantaru, G. Development and Validation of a New Method by High-Performance Liquid Chromatography for the Quantitative Analysis of Magnolol Loaded in Silica Particulate Systems. Farmacia 2016, 64, 268–273. [Google Scholar]
- Chakraborty, I.; Mascharak, P.K. Mesoporous silica materials and nanoparticles as carriers for controlled and site-specific delivery of gaseous signaling molecules. Microporous Mesoporous Mater. 2016, 234, 409–419. [Google Scholar] [CrossRef]
- Costa, P.; Sousa, I.; Lobo, J.M. Modeling and comparison of dissolution profiles. Eur. J. Pharm. Sci. 2001, 13, 123–133. [Google Scholar] [CrossRef]
- Siepman, J.; Gopferich, A. Mathematical modeling of bioerodable, polymeric drug delivery systems. Adv. Drug Deliv. Rev. 2001, 48, 229–242. [Google Scholar] [CrossRef]
- Mahat, B.S. Mathematical Models used in the Drug Release Studies. Submitted for internal evaluation for the degree in master in Pharmacy, Kathmandu University, Dhulikhel, Nepal, 2010; pp. 1–26. [Google Scholar]
- Losi, E.; Bettini, R.; Santi, P.; Sonvico, F.; Colombo, G.; Lofthus, K.; Colombo, P.; Peppas, N.A. Assemblage of novel release modules for the development of adaptable drug delivery systems. J. Control. Release 2006, 111, 212–218. [Google Scholar] [CrossRef] [PubMed]
- Gohel, M.C.; Sarvaiya, K.G.; Shah, A.R.; Brahmbhatt, B.K. Mathematical approach for the assessment of similarity factor using a new scheme for calculating weight. Indian J. Pharm. Sci. 2009, 71, 142–144. [Google Scholar] [CrossRef] [PubMed]
- Wang, Y.; Sun, L.; Jiang, T.; Zhang, J.; Zhang, C.; Sun, C.; Denq, Y.; Sun, J.; Wang, S. The investigation of MCM-48-type and MCM-41-type mesoporous silica as oral solid dispersion carriers for water insoluble cilostazol. Drug. Dev. Ind. Pharm. 2014, 40, 819–828. [Google Scholar] [CrossRef] [PubMed]
- Enrichi, F.; Trave, E.; Bersani, M. Acid synthesis of luminescent amine functionalized or erbium-doped silica spheres for biological applications. J. Fluoresc. 2008, 18, 507–511. [Google Scholar] [CrossRef] [PubMed]
- Amanpreet, S.; Manchanda, M.K. Synthesis of large-pore face-centered-cubic periodic mesoporous organosilicas with unsaturated bridging groups. Microporous Mesoporous Mater. 2016, 222, 153–159. [Google Scholar]
- Majda, D.; Makowski, W.M.; Mańko, K.; Mlekodaj, A.; Michalik-Zym, A.; Napruszewska, B.D.; Zimowska, M.; Serwicka, E.M. Porosity characterization of SBA-15 silicas with thermoporosimetry of water and n-alkanes—The effect of the probe liquid nature. Microporous Mesoporous Mater. 2015, 201, 141–150. [Google Scholar] [CrossRef]
- Qiu, N.; Shen, B.; Li, X.; Zhang, X.; Sang, Z.; Yang, T.; An, L.; Liu, J.; Chen, L.; Wang, L. Inclusion complex of magnolol with hydroxypropyl-β-cyclodextrin: Characterization, solubility, stability and cell viability. J. Incl. Phenom. Macrocycl. Chem. 2016, 85, 289–301. [Google Scholar] [CrossRef]
- Calvo, A.; Angelome, P.C.; Sanchez, V.M.; Scherlis, D.A.; Williams, F.G; Soller-Illia, G.J.A.A. Mesoporous Aminopropyl-Functionalized Hybrid Thin Films with Modulable Surface and Environment-Responsive Behavior. Chem. Mater. 2008, 20, 4661–4668. [Google Scholar] [CrossRef]
- Kim, J.; Seidler, P.; Wan, L.S.; Fill, C. Formation, structure and reactivity of amino-terminated organic films on silicon substrates. J. Colloid Interface Sci. 2009, 329, 114–119. [Google Scholar] [CrossRef] [PubMed]
- Kjellman, T.; Xia, X.; Alfredsson, V.; Garcia-Bennett, A.E. Influence of microporosity in SBA-15 on the release properties of anticancer drug dasatinib. J. Mater. Chem. B 2014, 2, 5265–5271. [Google Scholar] [CrossRef]





| Sample | Specific Surface Area | % Loss of SBET | Pore Volume | % Loss of Vpore | Pore Diameter | Micropore Surface | % Porosity |
|---|---|---|---|---|---|---|---|
| SBET (m2/g) | Vpore (cc/g) | Dpore (nm) | Sμ (m2/g) | ||||
| C | 794.65 | 100 | 1.071 | 100 | 10 | 214.1 | 70 |
| C-MG | 412.99 | 47 | 0.802 | 25 | 8.3 | 12.7 | 63 |
| Cf | 349.43 | 55 | 0.566 | 47 | 6.7 | 0 | 55 |
| Cf-MG | 275.32 | 65 | 0.478 | 55 | 7.2 | 10.9 | 51 |
| Kinetic Model | Model Coefficients | Mesoporous Silica | |
|---|---|---|---|
| C-MG | Cf-MG | ||
| Zero-order | K0 | 5.2110 | 4.3009 |
| R2 | 0.9068 | 0.9563 | |
| AIC | 119.7224 | 99.7687 | |
| First-order | K1 | 0.3389 | 0.1586 |
| R2 | 0.2499 | 0.2584 | |
| AIC | 169.7668 | 167.7206 | |
| Higuchi | KH | 20.8929 | 16.6807 |
| R2 | 0.8462 | 0.7343 | |
| AIC | 131.7288 | 143.0910 | |
| Korsmeyer-Peppas | n | 0.90 | 0.98 |
| KP | 6.9464 | 4.5512 | |
| R2 | 0.9230 | 0.9524 | |
| AIC | 117.1378 | 103.8153 | |
| Sigmoidal | M | 28.7 | 42.9 |
| K | 0.39 | 0.3 | |
| R2 | 0.9963 | 0.9911 | |
| AIC | 44.2082 | 63.7028 | |
© 2017 by the authors. Licensee MDPI, Basel, Switzerland. This article is an open access article distributed under the terms and conditions of the Creative Commons Attribution (CC BY) license ( http://creativecommons.org/licenses/by/4.0/).
Share and Cite
Stefanache, A.; Ignat, M.; Peptu, C.A.; Diaconu, A.; Stoleriu, I.; Ochiuz, L. Development of a Prolonged-Release Drug Delivery System with Magnolol Loaded in Amino-Functionalized Mesoporous Silica. Appl. Sci. 2017, 7, 237. https://doi.org/10.3390/app7030237
Stefanache A, Ignat M, Peptu CA, Diaconu A, Stoleriu I, Ochiuz L. Development of a Prolonged-Release Drug Delivery System with Magnolol Loaded in Amino-Functionalized Mesoporous Silica. Applied Sciences. 2017; 7(3):237. https://doi.org/10.3390/app7030237
Chicago/Turabian StyleStefanache, Alina, Maria Ignat, Catalina A. Peptu, Alina Diaconu, Iulian Stoleriu, and Lacramioara Ochiuz. 2017. "Development of a Prolonged-Release Drug Delivery System with Magnolol Loaded in Amino-Functionalized Mesoporous Silica" Applied Sciences 7, no. 3: 237. https://doi.org/10.3390/app7030237
APA StyleStefanache, A., Ignat, M., Peptu, C. A., Diaconu, A., Stoleriu, I., & Ochiuz, L. (2017). Development of a Prolonged-Release Drug Delivery System with Magnolol Loaded in Amino-Functionalized Mesoporous Silica. Applied Sciences, 7(3), 237. https://doi.org/10.3390/app7030237

