Synthesis and Features of Luminescent Bromo- and Iodohectorite Nanoclay Materials
Abstract
1. Introduction
2. Materials and Methods
2.1. Synthesis
2.2. Characterization
3. Results
3.1. Structural Characterization and Purity
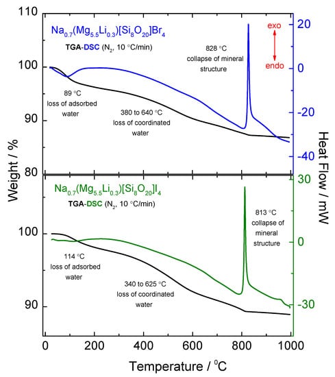
3.2. Porosity, Packing, and Thermal Stability
3.3. Luminescence Properties
4. Discussion
5. Conclusions
Acknowledgments
Author Contributions
Conflicts of Interest
Appendix A








References
- Tomás, H.; Alves, C.S.; Rodrigues, J. Laponite®: A key nanoplatform for biomedical applications? Nanomed. Nanotechnol. Biol. Med. 2017, in press. [Google Scholar] [CrossRef]
- Bergaya, F.; Theng, B.K.G.; Legaly, G. Handbook of Clay Sciences, 1st ed.; Elsevier Ltd.: Amsterdam, The Netherlands; London, UK, 2006; ISBN 978-0-08-044183-2. [Google Scholar]
- Li, W.; Dong, H.; Wang, L.; Li, N.; Guo, X.; Li, J.; Qiu, Y. Montmorillonite as bifunctional buffer layer material for hybrid perovskite solar cells with protection from corrosion and retarding recombination. J. Mater. Chem. A 2014, 2, 13587–13592. [Google Scholar] [CrossRef]
- Wang, X.; Kulkarni, S.A.; Ito, B.I.; Batabyal, S.K.; Nonomura, K.; Wong, C.C.; Grätzel, M.; Mhaisalkar, S.G.; Uchida, S. Nanoclay Gelation Approach toward Improved Dye-Sensitized Solar Cell Efficiencies: An Investigation of Charge Transport and Shift in the TiO2 Conduction Band. ACS Appl. Mater. Interfaces 2013, 5, 444–450. [Google Scholar] [CrossRef] [PubMed]
- Chen, L.; Chen, X.L.; Zhou, C.H.; Yang, H.M.; Ji, S.F.; Tong, D.S.; Zhong, Z.K.; Yu, W.H.; Chu, M.Q. Environmental-friendly montmorillonite-biochar composites: Facile production and tunable adsorption-release of ammonium and phosphate. J. Clean. Prod. 2017, 156, 648–659. [Google Scholar] [CrossRef]
- Zhang, G.; Gao, Y.; Zhang, Y.; Guo, Y. Fe2O3-Pillared Rectorite as an Efficient and Stable Fenton-Like Heterogeneous Catalyst for Photodegradation of Organic Contaminants. Environ. Sci. Technol. 2010, 44, 6384–6389. [Google Scholar] [CrossRef] [PubMed]
- Kibanova, D.; Cervini-Silva, J.; Destaillats, H. Efficiency of Clay–TiO2 Nanocomposites on the Photocatalytic Elimination of a Model Hydrophobic Air Pollutant. Environ. Sci. Technol. 2009, 43, 1500–1506. [Google Scholar] [CrossRef] [PubMed]
- Micó-Vicent, B.; López, M.; Bello, A.; Martínez, N.; Martínez-Verdú, F. Optimum Multilayer-Graphene-Montmorillonite Composites From Sugar for Thermosolar Coatings Formulations. J. Sol. Energy Eng. 2017, 139, 31005. [Google Scholar] [CrossRef]
- Choudalakis, G.A.; Kalo, H.; Breu, J.; Gotsis, A.D. CO2 gas barrier properties in polymer nanocomposite coatings containing Li-hectorite clays. J. Appl. Polym. Sci. 2014, 131, 40805. [Google Scholar] [CrossRef]
- López-Galindo, A.; Viseras, C.; Cerezo, P. Compositional, technical and safety specifications of clays to be used as pharmaceutical and cosmetic products. Appl. Clay Sci. 2007, 36, 51–63. [Google Scholar] [CrossRef]
- Kloprogge, J.T.; Komarneni, S.; Amonette, J.E. Synthesis of smectite clay minerals: A critical review. Clays Clay Miner. 1999, 47, 529–554. [Google Scholar] [CrossRef]
- Tully, J.; Yendluri, R.; Lvov, Y. Halloysite Clay Nanotubes for Enzyme Immobilization. Biomacromolecules 2016, 17, 615–621. [Google Scholar] [CrossRef] [PubMed]
- Cavallaro, G.; Lazzara, G.; Milioto, S.; Parisi, F.; Sanzillo, V. Modified Halloysite Nanotubes: Nanoarchitectures for Enhancing the Capture of Oils from Vapor and Liquid Phases. ACS Appl. Mater. Interfaces 2014, 6, 606–612. [Google Scholar] [CrossRef] [PubMed]
- Ruiz-Hitzky, E.; Aranda, P.; Darder, M.; Rytwo, G. Hybrid materials based on clays for environmental and biomedical applications. J. Mater. Chem. 2010, 20, 9306–9321. [Google Scholar] [CrossRef]
- Petra, L.; Billik, P.; Melichová, Z.; Komadel, P. Mechanochemically activated saponite as materials for Cu2+ and Ni2+ removal from aqueous solutions. Appl. Clay Sci. 2017, 143, 22–28. [Google Scholar] [CrossRef]
- Dos Santos, E.C.; Rozynek, Z.; Hansen, E.L.; Hartmann-Petersen, R.; Klitgaard, R.N.; Løbner-Olesen, A.; Michels, L.; Mikkelsen, A.; Plivelic, T.S.; Bordallo, H.N.; et al. Ciprofloxacin intercalated in fluorohectorite clay: Identical pure drug activity and toxicity with higher adsorption and controlled release rate. RSC Adv. 2017, 7, 26537–26545. [Google Scholar] [CrossRef]
- Madhup, M.K.; Shah, N.K.; Parekh, N.R. Investigation and improvement of abrasion resistance, water vapor barrier and anticorrosion properties of mixed clay epoxy nanocomposite coating. Prog. Org. Coat. 2017, 102, 186–193. [Google Scholar] [CrossRef]
- Ryu, S.-J.; Kim, A.; Kim, M.D.; Hong, S.W.; Min, S.S.; Lee, J.-H.; Lee, J.-K.; Jung, H. Photoluminescent europium(III) complex intercalated in natural and synthetic clay minerals for enhanced latent fingerprint detection. Appl. Clay Sci. 2014, 101, 52–59. [Google Scholar] [CrossRef]
- Tchoubar, C. Clay minerals: Their structure, behaviour and use—X-ray studies of defects in clays. Philos. Trans. R. Soc. Lond. Ser. A Math. Phys. Eng. Sci. 1984, 311, 259–269. [Google Scholar] [CrossRef]
- Carrado, K.A. Preparation of hectorite clays utilizing organic and organometallic complexes during hydrothermal crystallization. Ind. Eng. Chem. Res. 1992, 31, 1654–1659. [Google Scholar] [CrossRef]
- Ziadeh, M.; Chwalka, B.; Kalo, H.; Schütz, M.R.; Breu, J. A simple approach for producing high aspect ratio fluorohectorite nanoplatelets utilizing a stirred media mill (ball mill). Clay Miner. 2012, 47, 341–353. [Google Scholar] [CrossRef]
- Blasse, G.; Grabmaier, B.C. Luminescent Materials, 1st ed.; Springer: Berlin, Germany, 1994; ISBN 978-3-642-79017-1. [Google Scholar]
- Santos, H.S.; Lastusaari, M.; Laihinen, T.; Viinikanoja, A.; Brito, H.F.; Rodrigues, L.C.V.; Swart, H.C.; Hölsä, J. Persistent Luminescent Non-Doped Layered Nanosilicate. Mater. Today Proc. 2016, 3, 2822–2830. [Google Scholar] [CrossRef]
- Santos, H.S.; Carvalho, J.M.; Viinikanoja, A.; Hyppänen, I.; Laihinen, T.; Romani, E.C.; Larrudé, D.G.; Tuominen, M.; Laukkanen, P.; Swart, H.C.; et al. Glowing synthetic chlorohectorite: The luminescent features of a trioctahedral clay mineral. J. Lumin. 2017, 192, 567–573. [Google Scholar] [CrossRef]
- Scherrer, P. Bestimmung der Grösse und der inneren Struktur von Kolloidteilchen mittels Röntgensrahlen. Math. Phys. Klasse 1918, 1918, 98–100. [Google Scholar]
- Brunauer, S.; Emmett, P.H.; Teller, E. Adsorption of gases in multimolecular layers. J. Am. Chem. Soc. 1938, 60, 309–319. [Google Scholar] [CrossRef]
- Rouquerol, J.; Avnir, D.; Fairbridge, C.W.; Everett, D.H.; Haynes, J.M.; Pernicone, N.; Ramsay, J.D.F.; Sing, K.S.W.; Unger, K.K. Recommendations for the characterization of porous solids (Technical Report). Pure Appl. Chem. 1994, 66, 1739–1758. [Google Scholar] [CrossRef]
- Reddy, U.V.; Bowers, G.M.; Loganathan, N.; Bowden, M.; Yazaydin, A.O.; Kirkpatrick, R.J. Water Structure and Dynamics in Smectites: X-ray Diffraction and 2H NMR Spectroscopy of Mg–, Ca–, Sr–, Na–, Cs–, and Pb–Hectorite. J. Phys. Chem. C 2016, 120, 8863–8876. [Google Scholar] [CrossRef]
- Auerbach, S.M.; Carrado, K.A.; Dutta, P.K. Handbook of Layered Materials, 1st ed.; Marcel Dekker: New York, NY, USA, 2004; ISBN 9780824753498. [Google Scholar]
- Kalo, H.; Milius, W.; Breu, J. Single crystal structure refinement of one- and two-layer hydrates of sodium fluorohectorite. RSC Adv. 2012, 2, 8452–8459. [Google Scholar] [CrossRef]
- Thompson, A.C.; Kirz, J.; Attwood, D.T.; Gullikson, E.M.; Howells, M.R.; Kortright, J.B.; Liu, Y.; Robinson, A.L.; Underwood, J.H.; Kim, K.H.; et al. X-ray Data Booklet, 3rd ed.; Thompson, A.C., Ed.; Lawrence Berkeley National Laboratory: Berkeley, CA, USA, 2009. Available online: http://xdb.lbl.gov/ (accessed on 8 October 2017).
- Farmer, V.C. Differing effects of particle size and shape in the infrared and Raman spectra of kaolinite. Clay Miner. 1998, 33, 601–604. [Google Scholar] [CrossRef]
- Vicente, I.; Salagre, P.; Cesteros, Y. Preparation of pure hectorite using microwaves. Phys. Procedia 2010, 8, 88–93. [Google Scholar] [CrossRef]
- Jaynes, W.F.; Traina, S.J.; Bigham, J.M.; Johnston, C.T. Preparation and Characterization of Reduced-Charge Hectorites. Clays Clay Miner. 1992, 40, 397–404. [Google Scholar] [CrossRef]
- Pálková, H.; Madejová, J.; Zimowska, M.; Bielańska, E.; Olejniczak, Z.; Lityńska-Dobrzyńska, L.; Serwicka, E.M. Laponite-derived porous clay heterostructures: I. Synthesis and physicochemical characterization. Microporous Mesoporous Mater. 2010, 127, 228–236. [Google Scholar] [CrossRef]
- Gerstmans, A.; Urbanczyk, L.; Jèrôme, R.; Robert, J.L.; Grandjean, J. XRD and NMR characterization of synthetic hectorites and the corresponding surfactant-exchanged clays. Clay Miner. 2008, 43, 205–212. [Google Scholar] [CrossRef]
- Peyvandi, A.; Harsini, I.; Holmes, D.; Balachandra, A.M.; Soroushian, P. Characterization of ASR in concrete by 29Si MAS NMR spectroscopy. J. Mater. Civ. Eng. 2016, 28, 4015096. [Google Scholar] [CrossRef]
- Alothman, Z.A. A Review: Fundamental Aspects of Silicate Mesoporous Materials. Materials 2012, 5, 2874–2902. [Google Scholar] [CrossRef]
- Dogan, M.; Umran Dogan, A.; Irem Yesilyurt, F.; Alaygut, D.; Buckner, I.; Wurster, D.E. Baseline studies of the Clay Minerals Society Special Clays: Specific surface area by the Brunauer Emmett Teller (BET) method. Clays Clay Miner. 2007, 55, 534–541. [Google Scholar] [CrossRef]
- Bergaya, F. The meaning of surface area and porosity measurements of clays and pillared clays. J. Porous Mater. 1995, 2, 91–96. [Google Scholar] [CrossRef]
- Al-Mukhtar, M.; Qi, Y.; Alcover, J.F.; Conard, J.; Bergaya, F. Hydromechanical effects: (II) on the water-Na-smectite system. Clay Miner. 2000, 35, 537–544. [Google Scholar] [CrossRef]
- Andrade, L.H.C.; Lima, S.M.; Novatski, A.; Neto, A.M.; Bento, A.C.; Baesso, M.L.; Gandra, F.C.G.; Guyot, Y.; Boulon, G. Spectroscopic assignments of Ti3+ and Ti4+ in titanium-doped OH− free low-silica calcium aluminosilicate glass and role of structural defects on the observed long lifetime and high fluorescence of Ti3+ ions. Phys. Rev. B 2008, 78, 224202–224211. [Google Scholar] [CrossRef]
- Bezrodna, T.V.; Klishevich, G.V.; Melnyk, V.I.; Nesprava, V.V.; Puchkovska, G.A.; Chashechnikova, I.T. Photoluminescence of montmorillonite clay minerals modified by cetyltrimethylammonium bromide. J. Appl. Spectrosc. 2011, 77, 784–789. [Google Scholar] [CrossRef]
- Garcia Guinea, J.; Correcher, V.; Valle-Fuentes, F.J. Thermoluminescence of Kaolinite. Radiat. Prot. Dosim. 1999, 84, 507–510. [Google Scholar] [CrossRef]
- Götze, J.; Plötze, M.; Götte, T.; Neuser, R.D.; Richter, D.K. Cathodoluminescence (CL) and electron paramagnetic resonance (EPR) studies of clay minerals. Mineral. Petrol. 2002, 76, 195–212. [Google Scholar] [CrossRef]
- Gaft, M.; Reisfeld, R.; Panczer, G. Modern Luminescence Spectroscopy of Minerals and Materials, 1st ed.; Springer: Berlin/Heidelberg, Germany, 2005; ISBN 978-3-540-26377-7. [Google Scholar]
- Norrbo, I.; Gluchowski, P.; Hyppänen, I.; Laihinen, T.; Laukkanen, P.; Mäkelä, J.; Mamedov, F.; Santos, H.S.; Sinkkonen, J.; Tuomisto, M.; et al. Mechanisms of Tenebrescence and Persistent Luminescence in Synthetic Hackmanite Na8Al6Si6O24(Cl,S)2. ACS Appl. Mater. Interfaces 2016, 8, 11592–11602. [Google Scholar] [CrossRef] [PubMed]
- Norrbo, I.; Carvalho, J.M.; Laukkanen, P.; Mäkelä, J.; Mamedov, F.; Peurla, M.; Helminen, H.; Pihlasalo, S.; Härmä, H.; Sinkkonen, J.; et al. Lanthanide and Heavy Metal Free Long White Persistent Luminescence from Ti Doped Li-Hackmanite: A Versatile, Low-Cost Material. Adv. Funct. Mater. 2017, 27, 1606547. [Google Scholar] [CrossRef]
- Gaft, M.; Nagli, L.; Waychunas, G.; Weiss, D. The nature of blue luminescence from natural benitoite BaTiSi3O9. Phys. Chem. Miner. 2004, 31, 365–373. [Google Scholar] [CrossRef]
- Trukhin, A.N.; Goldberg, M.; Jansons, J.; Fitting, H.-J.; Tale, I.A. Silicon dioxide thin film luminescence in comparison with bulk silica. J. Non-Cryst. Solids 1998, 223, 114–122. [Google Scholar] [CrossRef]
- Skuja, L.N.; Streletsky, A.N.; Pakovich, A.B. A new intrinsic defect in amorphous SiO2: Twofold coordinated silicon. Solid State Commun. 1984, 50, 1069–1072. [Google Scholar] [CrossRef]
- Trukhin, A.N.; Fitting, H.-J. Investigation of optical and radiation properties of oxygen deficient silica glasses. J. Non-Cryst. Solids 1999, 248, 49–64. [Google Scholar] [CrossRef]
- Trukhin, A.N.; Skuja, L.N.; Boganov, A.G.; Rudenko, V.S. The correlation of the 7.6 eV optical absorption band in pure fused silicon dioxide with twofold-coordinated silicon. J. Non-Cryst. Solids 1992, 149, 96–101. [Google Scholar] [CrossRef]
- Kumar, M.; Uniyal, A.; Chauhan, A.P.S.; Singh, S.P. Optical absorption and fluorescent behaviour of titanium ions in silicate glasses. Bull. Mater. Sci. 2003, 26, 335–341. [Google Scholar] [CrossRef]
- Gaft, M.; Nagli, L.; Waychunas, G.; Panczer, G. The nature of red luminescence of natural benitoite BaTiSi3O9. Mineral. Petrol. 2005, 85, 33–44. [Google Scholar] [CrossRef]
- Shriver, D.F.; Atkins, P.W. Inorganic Chemistry, 3rd ed.; Oxford University Press: Oxford, UK, 1999; ISBN 0198503318. [Google Scholar]
- Yangui, A.; Pillet, S.; Lusson, A.; Bendeif, E.-E.; Triki, S.; Abid, Y.; Boukheddaden, K. Control of the white-light emission in the mixed two-dimensional hybrid perovskites (C6H11NH3)2[PbBr4−xIx]. J. Alloys Compd. 2017, 699, 1122–1133. [Google Scholar] [CrossRef]
- Carvalho, J.M.; Rodrigues, L.C.V.; Hölsä, J.; Lastusaari, M.; Nunes, L.A.O.; Felinto, M.C.F.C.; Malta, O.L.; Brito, H.F. Influence of titanium and lutetium on the persistent luminescence of ZrO2. Opt. Mater. Express 2012, 2, 331–340. [Google Scholar] [CrossRef]
- Rogers, E.G.; Dorenbos, P. Vacuum energy referred Ti3+/4+ donor/acceptor states in insulating and semiconducting inorganic compounds. J. Lumin. 2014, 153, 40–45. [Google Scholar] [CrossRef]
- Horwath, W.; Liang, Y.L. Variations of Chemical Composition and Band Gap Energies in Hectorite and Montmorillonite Clay Minerals on Sub-Micron Length Scales; Final Report: 2009008; Kearney Foundation of Soil Science: Davis, CA, USA, 2011. [Google Scholar]
- Andrade, L.H.C.; Lima, S.M.; Novatski, A.; Udo, P.T.; Astrath, N.G.C.; Medina, A.N.; Bento, A.C.; Baesso, M.L.; Guyot, Y.; Boulon, G. Long Fluorescence Lifetime of Ti3+-Doped Low Silica Calcium Aluminosilicate Glass. Phys. Rev. Lett. 2008, 100, 027402. [Google Scholar] [CrossRef] [PubMed]









| Parameters | τ1/s | A1/% | τ2/s | A2/% | τ3/s | A3/% |
|---|---|---|---|---|---|---|
| Bromohectorite | 0.04(6) | 61 | 0.20(4) | 29 | 0.87(11) | 10 |
| Iodohectorite | 0.06(6) | 53 | 0.30(3) | 35 | 1.07(8) | 12 |
© 2017 by the authors. Licensee MDPI, Basel, Switzerland. This article is an open access article distributed under the terms and conditions of the Creative Commons Attribution (CC BY) license (http://creativecommons.org/licenses/by/4.0/).
Share and Cite
Santos, H.S.; Norrbo, I.; Laihinen, T.; Sinkkonen, J.; Mäkilä, E.; Carvalho, J.M.; Damlin, P.; Brito, H.F.; Hölsä, J.; Lastusaari, M. Synthesis and Features of Luminescent Bromo- and Iodohectorite Nanoclay Materials. Appl. Sci. 2017, 7, 1243. https://doi.org/10.3390/app7121243
Santos HS, Norrbo I, Laihinen T, Sinkkonen J, Mäkilä E, Carvalho JM, Damlin P, Brito HF, Hölsä J, Lastusaari M. Synthesis and Features of Luminescent Bromo- and Iodohectorite Nanoclay Materials. Applied Sciences. 2017; 7(12):1243. https://doi.org/10.3390/app7121243
Chicago/Turabian StyleSantos, Hellen Silva, Isabella Norrbo, Tero Laihinen, Jari Sinkkonen, Ermei Mäkilä, José M. Carvalho, Pia Damlin, Hermi F. Brito, Jorma Hölsä, and Mika Lastusaari. 2017. "Synthesis and Features of Luminescent Bromo- and Iodohectorite Nanoclay Materials" Applied Sciences 7, no. 12: 1243. https://doi.org/10.3390/app7121243
APA StyleSantos, H. S., Norrbo, I., Laihinen, T., Sinkkonen, J., Mäkilä, E., Carvalho, J. M., Damlin, P., Brito, H. F., Hölsä, J., & Lastusaari, M. (2017). Synthesis and Features of Luminescent Bromo- and Iodohectorite Nanoclay Materials. Applied Sciences, 7(12), 1243. https://doi.org/10.3390/app7121243

