Next Article in Journal
Enhancement of Skin Anti-Inflammatory Activities of Eclipta prostrata L. from the Ultrasonic Extraction Process
Next Article in Special Issue
Thermoelectric Cooling-Aided Bead Geometry Regulation in Wire and Arc-Based Additive Manufacturing of Thin-Walled Structures
Previous Article in Journal
Thermal Buckling of Nanocomposite Stiffened Cylindrical Shells Reinforced by Functionally Graded Wavy Carbon Nanotubes with Temperature-Dependent Properties
Previous Article in Special Issue
Comparison of Laser-Engraved Hole Properties between Cold-Rolled and Laser Additive Manufactured Stainless Steel Sheets
 
 
Font Type:
Arial Georgia Verdana
Font Size:
Aa Aa Aa
Line Spacing:
Column Width:
Background:
Article

Evaluation and Optimization of a Hybrid Manufacturing Process Combining Wire Arc Additive Manufacturing with Milling for the Fabrication of Stiffened Panels

College of Mechanical Engineering and Applied Electronics Technology, Beijing University of Technology, Beijing 100124, China
*
Author to whom correspondence should be addressed.
Appl. Sci. 2017, 7(12), 1233; https://doi.org/10.3390/app7121233
Submission received: 30 October 2017 / Accepted: 23 November 2017 / Published: 28 November 2017
(This article belongs to the Special Issue 3D Printing of Metals)

Abstract

Featured Application

This paper proposes a hybrid manufacturing process combining wire arc additive manufacturing with milling, which provides a cost-effective and efficient way to fabricate stiffened panels that have wide applications in aviation, aerospace, and automotive industries, etc.

Abstract

This paper proposes a hybrid WAAM (wire arc additive manufacturing) and milling process (HWMP), and highlights its application in the fabrication of stiffened panels that have wide applications in aviation, aerospace, and automotive industries, etc. due to their light weight and strong load-bearing capability. In contrast to existing joining or machining methods, HWMP only deposits stiffeners layer-by-layer onto an existing thin plate, followed by minor milling of the irregular surfaces, which provides the possibility to significantly improve material utilization and efficiency without any loss of surface quality. In this paper, the key performances of HWMP in terms of surface quality, material utilization and efficiency are evaluated systematically, which are the results of the comprehensive effects of the deposition parameters (e.g., travel speed, wire-feed rate) and the milling parameters (e.g., spindle speed, tool-feed rate). In order to maximize its performances, the optimization is also performed to find the best combination of the deposition and the milling parameters. The case study shows that HWMP with the optimal process parameters improves the material utilization by 57% and the efficiency by 32% compared against the traditional machining method. Thus, HWMP is believed to be a more environmental friendly and sustainable method for the fabrication of stiffened panels or other similar structures.

1. Introduction

Additive manufacturing (AM), also known as 3D printing, offers significant advantages in terms of reduced buy-to-fly ratios, improved design flexibility, and shortened supply cycle compared to traditional subtractive manufacturing [1]. A variety of materials are now available for AM applications including metal, ceramic, plastic, etc. [2]. For metal materials, the related AM techniques mainly include selective laser sintering (SLS), selective laser melting (SLM), laser engineered net shaping (LENS), electron beam melting (EBM), electron beam freeform fabrication (EBF3), wire arc additive manufacturing (WAAM), etc. [3,4]. These techniques differ in terms of energy source (laser, electron beam, or welding arc) and feedstock (powder or wire). Nevertheless, no matter which energy source and which feedstock are adopted, it is still difficult to fabricate parts with the same level of geometric accuracy and surface quality as traditional subtractive manufacturing due to the stair-stepping effect and the liquidity of molten metal [5].
The emergence of hybrid manufacturing, integrating additive and subtractive processes into a single setup, has provided a fundamental solution to overcome the above obstacle [6,7,8]. Hybrid manufacturing is realized by alternating additive and subtractive processes every one or several layers, the former producing near-net-shape raw part, whereas the latter refining the raw part to achieve the desired geometric accuracy and surface quality. Hybrid manufacturing makes full use of the advantages of each individual process while minimizing their disadvantages. In recent years, various hybrid manufacturing techniques, such as hybrid layered manufacturing [9], hybrid plasma deposition and milling [10], 3D welding and milling [11], iAtractive [12], etc., have been developed. Parts with high buy-to-fly ratios or with internal and overhanging features that are difficult/expensive to fabricate with traditional manufacturing techniques will favor hybrid manufacturing.
A hybrid WAAM and milling process (HWMP, for short) is focused on in this paper. WAAM, employing welding arc as the energy source and metal wire as the feedstock for additive manufacturing purposes, is especially well known for its high productivity, low cost, high material utilization, and high energy efficiency [13,14]. Particularly, the deposition rate of WAAM can reach up to 50–130 g/min with almost no limitation of the build volume, compared to 2–10 g/min in laser- or electron beam-based processes [15]. Thus, WAAM is considered as a more economic and efficient option for fabricating medium to large-scale metal parts compared to other metal AM techniques. In recent years, WAAM has drawn significant interests from both academia and industry covering various types of materials. Cong studied the relationship between depositing mode and porosity, microstructure, and properties in WAAM of Al-6.3%Cu alloy [16]. Wu investigated the effects of heat accumulation on stability of deposition, oxidation, geometrical shape, arc characteristics, and metal transfer behavior in WAAM of Ti6Al4V alloy [17]. Xu studied the oxide accumulation mechanisms and the influence of oxides on the subsequent deposition in WAAM of maraging steel wall structure [18]. BAE systems have applied this technique to build large components, such as 1.2 m Ti6Al4V wing spar [19].
A typical application of HWMP is to fabricate stiffened panels, which have wide applications in aviation, aerospace, and automotive industries, etc., due to the advantages of light-weight and strong load-bearing capability, as shown in Figure 1a,b [20]. Generally, a stiffened panel can be fabricated either by joining the stiffeners to a thin plate via fasteners (rivets or bolts, see Figure 1c) and welding (friction stir welding or laser beam welding, see Figure 1d), or by machining from a thick plate (see Figure 1e). The joining methods have limits in reducing the total weight due to the existence of fasteners and extra flanges, whereas the machining method suffers from extremely high buy-to-fly ratios because the majority of the raw material has to be removed. In contrast to these existing methods, HWMP only deposits stiffeners layer-by-layer onto an existing thin plate followed by minor milling of the irregular surfaces, as shown in Figure 1f. This provides the possibility to significantly improve material utilization and efficiency without any loss of surface quality.
The key performance indicators of HWMP mainly include surface quality, material utilization and efficiency. Surface quality greatly affects the functional attributes of the products including friction, wear resistance, fatigue, lubricant, light reflection and coating [21]. Material utilization and efficiency are strongly related to the environmental and economic benefits [22]. The challenge for evaluating these indicators lies in that the deposition parameters (e.g., travel speed, wire-feed rate) and the milling parameters (e.g., spindle speed, tool-feed rate) have comprehensive effects on them. For example, the surface quality achieved by HWMP is dependent upon not only spindle speed and tool-feed rate, just like other independent milling processes, but also travel speed and wire-feed rate. This is because the cutting depth in the milling step is directly determined by the bead geometry produced in the previous deposition step, which is a function of travel speed and wire-feed rate.
The primary aim of this paper is to evaluate the efficacy of HWMP in the fabrication of stiffened panels. The surface quality, material utilization and efficiency are evaluated systematically with consideration of the comprehensive effects of the deposition and the milling parameters. In addition, the optimization is also performed based on a genetic algorithm (GA) to find the best combination of the deposition and the milling parameters in order to maximize its performances.

2. System Description

Figure 2 shows a two-robot cooperative platform for implementing HWMP, developed at Beijing University of Technology (BJUT). The welding torch and the milling tool are mounted on two independent robots. The first robot is RTI2000 (igm Robotersysteme AG, Wiener Neudorf, Austria), equipped with two Fronius Synergic 5000 power sources to implement WAAM based on Tandem GMAW (gas metal arc welding). Tandem GMAW differs from conventional GMAW as two welding wires are passed through the same welding torch and, therefore, provides much higher productivity [24]. Based on preliminary experiments, it is known that tandem GMAW is capable to produce wall structures of widths ranging from about 4 mm to 17 mm, which is especially beneficial for fabricating stiffened panels of different specifications. The wire material used in this study is Al2325 alloy with the chemical composition of Cu 3.9–4.8%, Mn 0.1–1.0%, Ti 0.15%, Mg 0.4–0.8%, Zn 0.3%, etc., in addition to Al, and the substrate material is Al2219 alloy. The wire diameter is 1.2 mm, and the shielding gas is Ar at a rate of 22 L/min. Aluminum alloys are one of the most widely used materials in aircraft components because of their reasonable cost, high stiffness-to-weight and strength-to-weight ratios, and excellent machinability. The second robot is KR500 (KUKA AG, Augsburg, Bavaria, Germany), which is a heavy-duty robot that is suitable for milling applications. It is equipped with a high-speed electric spindle ES779 with a maximum spindle speed of 22,000 rpm. The uncoated carbide alloy milling tool is adopted, which has a diameter of 14 mm and a helix angle of 55°. The working mode is down milling. No cooling and lubricating agent are used.
The work principle of HWMP for fabricating stiffened panels is displayed in Figure 3. Step 1: the welding torch moves along the length of the stiffeners and deposits N layers onto an existing thin plate or the previous layers; Step 2: the top surface of the deposited layers is milled to a prescribed thickness H in order to facilitate the subsequent deposition; Step 3: the two side surfaces of the deposited layers are milled to obtain the desired geometric accuracy and surface quality. These steps alternate until the whole part is created. It should be emphasized that the deposited part must cool down to room temperature before next deposition or milling to avoid excessive heat accumulation. If N is too small, the alternation of deposition and milling would be repeated many times, which decreases the productivity; but if too large, the axial cutting depth is also too large, which increases the cutting force. Therefore, N is determined to be six in this study. The total thickness of six layers is about 12 mm (2 mm for one layer). H is determined to be 8 mm such that the irregular surfaces could be removed completely.

3. Evaluation of Surface Quality, Material Utilization, and Efficiency

3.1. Evaluation of Surface Quality

Generally, the key deposition parameters affecting the bead geometry in Step 1 mainly include wire-feed rate (WFR), travel speed (TS), and welding voltage (WV). The key milling parameters affecting the surface quality in Step 2 and Step 3 mainly include spindle speed (SS), tool-feed rate (TFR), and cutting depth (CD). Only the side surface’s quality in Step 3 is concerned in this study because the top surface will be covered by subsequent layers. Unlike other independent milling processes, the cutting depth in Step 3 is directly determined by the bead geometry produced in Step 1, as shown in Figure 3d. The larger the bead width (BW) than the target width (TW), the larger the cutting depth. The bead width is determined by the deposition parameters and the target width is a constant value for a specific stiffened panel. Therefore, the surface quality (represented by surface roughness, Ra) achieved by HWMP is a result of both the deposition and the milling parameters, as seen in Figure 4.
To model the surface roughness in an efficient way, two cascaded regression models are developed, the first model relating the bead width to the deposition parameters and the second one relating the surface roughness to the milling parameters, as seen in Figure 4. The output of the first model, i.e., bead width, determines the input of the second model, i.e., cutting depth. Then the two models are synthesized to obtain the surface roughness model by establishing a link between cutting depth and bead width. The central composite rotatable design (CCRD) method is applied to obtain each regression model, which has been demonstrated to be an efficient experiment design method with a relatively small number of experiments without losing its accuracy [25,26]. To apply CCRD, the following procedure should be obeyed: (1) identifying predominant factors affecting the response; (2) determining their upper and lower limits; (3) generating experimental design matrix; (4) conducting experiments according to the experimental design matrix; (5) developing the regression model; and (6) validating the adequacy of the developed model by analysis of variance (ANOVA).

3.1.1. Identifying Predominant Factors Affecting the Response and Determining Their Limits

The predominant factors affecting the response in each regression model have been discussed above. Their upper and lower limits that are of interest in this study are given in Table 1. These factors are coded as –1.68, –1, 0, +1, and +1.68. Specifically, the ranges of the three deposition parameters are determined based on preliminary experiments, which allow good bead appearance with little spatter and no visible defects. It should be pointed out the bead width is not a constant value along the build direction due to the presence of the stair-stepping effect, as shown in Figure 3d. To address this issue, the average bead width is used, which is defined as the ratio of the cross-section area to the height of the produced wall.

3.1.2. Generating Experimental Design Matrix and Conducting the Experiments

For three factors chosen with five levels, the required number of experiments is 20 according to CCRD, eight as factorial points, six as star points, and six as center points. As a consequence, the two cascaded regression models require 20 sets of deposition experiments and 20 sets of milling experiments in total. The resulting experimental design matrix is given in Table 2.
According to Column 1–2 in Table 2, 20 sets of deposition experiments were carried out first. A total of six layers were deposited in each experiment, as seen in Figure 5a. The bead width along the build direction was measured with the aid of a laser displacement scanner (HG-C1030, Panasonic, 0.01 mm repeatable precision) and then the average value was calculated, as given in Column 3 of Table 2.
With the wall structures produced by WAAM, 20 sets of milling experiments were carried out subsequently according to Column 4–5 in Table 2, as seen in Figure 5b. The surface roughness in the tool-feed direction was measured with a roughmeter (TR200, 0.01 μm sensitivity, Time, Beijing, China). To eliminate random errors, the surface roughness was measured five times at different locations and repeated twice at each location. The results are given in Column 6 of Table 2.

3.1.3. Developing and Validating the Regression Models

Based on the results of the measured bead width given in Table 2, the regression model (second-order) that describes the dependence of BW on WFR, TS and WV is obtained with the aid of the software Design-Expert (Version 6.0, State-Ease, Minneapolis, MN, USA, 2005) as follows:
B W = 9.73 + 1.23 W FR 0.58 T S 0.019 W V 0.12 W FR T S 0.17 W FR W V 0.15 T S W V + 0.12 W FR 2 + 0.21 T S 2 + 0.03 W V 2
Then ANOVA is undertaken for validating this model and the results are given in Column 1–3 of Table 3. It is seen that the F-value of the model is 33.54, much higher than F0.05(9, 10) = 3.179, indicating that this model is significant at a 95% confidence level, whereas F-value of lack of fit is 1.52, lower than F0.05(5, 5) = 5.05, indicating that lack of fit is not significant. Moreover, the coefficient of determination R2 is very close to 1, i.e., R2 = 0.9679, which means that the model clarifies 96.79% of all deviations. Thus, we can conclude that this obtained regression model is credible and accurate. At a 95% confidence level, only p-values of TS, WFR, and TS2 term are all lower than 0.05, which indicate that only their effects on BW are significant. After omitting the insignificant terms, this regression model is simplified to:
B W = 9.73 + 1.23 W F R 0.58 T S + 0.21 T S 2
Analogously, the regression model (second-order) that describes the dependence of Ra on SS, TFR and CD is also obtained as follows:
R a = 1.60 0.23 S S + 0.063 T FR + 0.079 C D 0.017 S S T FR + 0.014 S S C D + 0.010 T FR C D + 0.11 S S 2 + 0.061 T FR 2 + 0.027 C D 2
The corresponding ANOVA results are given in Column 4–6 of Table 3, which prove that this regression model is also credible and accurate. Only SS, TFR, CD, SS2 and TFR2 have significant effects on Ra at 95% confidence level and as a result the simplified regression model is
R a = 1.60 0.23 S S + 0.063 T FR + 0.079 C D + 0.11 S S 2 + 0.061 T FR 2

3.1.4. Developing Surface Roughness Model

From Figure 3d, it is clearly seen that the bead width and the cutting depth satisfy the following relation:
C D = ( B W T W ) / 2
Through replacing CD in Equation (4) with Equation (5) and combining Equation (2), the final surface roughness model is obtained:
R a = 1.98 0.065 T W + 0.08 W FR 0.0377 T S + 0.0137 T S 2 0.23 S S + 0.11 S S 2 + 0.063 T FR + 0.061 T FR 2
which clearly exhibits the dependence of the surface roughness on both the deposition and the milling parameters. In addition, the target width also affects the surface roughness.

3.2. Evaluation of Material Utilization

Material utilization (MU) is defined as the ratio of the final part’s mass (mpart) to the raw material’s mass (mraw_material) as follows:
M U = m part m raw _ material
The final part’s mass is the sum of the masses of the plate (mplate) and the stiffeners (mstiffener), whereas the raw material’s mass is the sum of the masses of the plate and the beads (mbead). From Figure 3d, we also know that mbead/mstiffener is approximately equal to BW/TW, neglecting the removed mass in Step 2. Therefore, Equation (7) can be converted to:
M U = m plate + m stiffener m plate + m bead m plate + m stiffener m plate + B W T W m stiffener = m plate m stiffener + 1 m p l a t e m stiffener + B W T W = m plate m stiffener + 1 m plate m stiffener + 9.73 + 1.23 W FR 0.58 T S + 0.21 T S 2 T W
which is a function of the wire-feed rate, travel speed, target width, and the ratio of the masses of the plate to the stiffeners.

3.3. Evaluation of Efficiency

Regarding the efficiency (represented by construction time, TC), it is related to two main process parameters, i.e., travel speed and tool-feed rate, the former determining the deposition time (Tdeposition), whereas the latter determining the milling time (Tmilling). Additionally, the cooling time (Tcooling) for the part to cool down to room temperature before next deposition or milling and the tool-changing time (Ttool-changing) for switching the welding torch and the milling tool should also be considered. Therefore, the construction time that the deposition and the milling processes alternate once (i.e., N = 6) can be calculated as follows:
T C = T deposition + T milling + T cooling + T tool _ changing = 6 L T S + 3 L T FR + T cooling + T tool _ changing
where the coefficient 6 in the first term denotes that six layers are deposited, the coefficient 3 in the second term denotes that both the top surface and the two side surfaces are milled and L represents the length of the stiffeners. The last two terms are assumed to remain unchanged regardless of the variation of the process parameters.

3.4. Effects of Process Parameters on the Performances

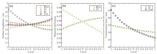
Based on Equations (6), (8) and (9), the effects of single process parameter on surface roughness, material utilization, and construction time are analyzed, as shown in Figure 6. This is obtained by varying one process parameter while keeping the other process parameters at zero level (according to Table 1). The other unknown parameters are set as follows as an example:
T W = 7   mm , L = 1200   mm ,   m plate m stiffener = 4 ,   t cooling = 15   min , t tool _ changing = 2   min
From Figure 6a, it is known that the surface roughness appears to be a nonlinear decreasing function of travel speed and spindle speed. Higher travel speed leads to smaller bead width according to Equation (2) and, therefore, smaller cutting depth according to Equation (5). Both smaller cutting depth and higher spindle speed contribute to lower surface roughness according to Equation (4). On the other hand, the surface roughness increases almost linearly with increased wire-feed rate. This is because higher wire-feed rate leads to larger cutting depth according to Equations (2) and (5) and, therefore, higher surface roughness according to Equation (4). Additionally, the surface roughness decreases slightly and then increases greatly with the increased tool-feed rate. These results basically agree with the observations in previous research. A reasonable increase of spindle speed would decrease the cutting force due to the thermal softening and, therefore, lead to lower surface roughness [27]. An increase of cutting depth and tool-feed rate means removing more volume per unit time, which would result in larger cutting force and, therefore, higher surface roughness [28]. From Figure 6, we can also know that the steeper the slope of a curve, the larger the corresponding parameter’s contribution to the surface roughness. To make a fair comparison, the slopes of these curves are compared at zero level. Then it can be obtained that the order of these parameters’ contribution to the surface roughness is SS > WFR > TFR > TS.
Figure 6b shows the dependence of the material utilization on travel speed and wire-feed rate. Higher wire-feed rate and lower travel speed are likely to lead to larger bead width according to Equation (2) and, therefore, lower material utilization. The two process parameters must match each other in order to ensure a high material utilization. By comparing the slopes of the two curves, it is known that the wire-feed rate plays a dominant role in determining the material utilization. From Figure 6c, it is observed that the construction time is a decreasing function of both the travel speed and the tool-feed rate, which is easy to explain by combining Equation (8). Additionally, the tool-feed rate plays a dominant role in determining the construction time.

4. Parameter Optimization

The optimization is performed to find best combination of the deposition and the milling parameters in order to maximize the performances of HWMP in terms of surface quality, material utilization, and efficiency. The optimization problem can be expressed in the following form:
Objective function:
min Ra(WFR, TS, Ss, TFR), min 1/MU(WFR, TS) and min TC(TS, TFR)
within the ranges of these process parameters:
3.4 m/min ≤ WFR ≤ 5.1 m/min
0.35 m/min ≤ TS ≤ 0.6 m/min
1000 rpm ≤ SS ≤ 8000 rpm
1 mm/s ≤ TFR ≤ 5 mm/s
and subjected to the constraint function:
T W + 1 9.73 0.58 T S + 1.23 W FR + 0.21 T S 2 ( i . e . , B W )
The constraint function (Equation (12)) means that the achieved bead width should be at least 1 mm larger than the target width to ensure that the “stair-stepping effect” can be removed completely.
GA is adopted to solve this optimization problem that is based on natural selection and biological evolution [29,30]. GA has become popular in engineering optimization problems for its wide range of precise search and capability of solving complex non-linear problems. Due to the complexity of the multi-objective optimization problem, the weighted sum method (WSM) is applied first to convert the three objectives (i.e., min Ra, min 1/MU, and min TC) to a single objective (i.e., min (w1Ra + w2/ MU + w3TC)) [31]. w1, w2, and w3 are the weight coefficients and w1 + w2 + w3 = 1. These parameters should be normalized before being converted as follows:
R a * = R a R a _ min R a _ max R a _ min
M U * = M U M U _ min M U _ max M U _ min
T C * = T C T C _ min T C _ max T C _ min
Then the resultant objective function is obtained as follows:
m i n ( w 1 R a * + w 2 / M U * + w 3 T C * ) = min ( w 1 R a R a _ min R a _ max R a _ min + w 2 / M U M U _ min M U _ max M U _ min + w 3 T C T C _ min T C _ max T C _ min )
where w1 is set to 0.6, w2 is set to 0.2 and w3 is set to 0.2 in this study.
By using the MATLAB optimization toolbox, the optimization solutions for different target widths are obtained as given in Table 4. The parameters such as L, mplate/mstiffener, etc., are the same as those in Equation (10). From Table 4, we can observe that for any target width, a high travel speed, and a high spindle speed are recommended because the surface roughness is a decreasing function of the two process parameters according to Figure 6a. Higher travel speed also results in both higher material utilization and efficiency according to Figure 6b,c. Though a low tool-feed rate is beneficial for achieving a low surface roughness according to Figure 6a, it also increases the construction time according to Figure 6c. Therefore, a moderate tool-feed rate is recommended to obtain a good balance between surface roughness and construction time. With regard to wire-feed rate, different target widths correspond to different wire-feed rates, which can be explained through the constraint function (Equation (12)), i.e., larger target width required larger bead width and therefore larger wire-feed rate. In all, a high travel speed, a target width dependent wire-feed rate, a high spindle speed and a moderate tool-feed rate are required to maximize the performances of HWMP. It is interesting to find that the optimized values for the surface roughness, the material utilization and the construction time are basically the same regardless of the target width. The surface roughness remains around 1.3 μm and the material utilization ranges from 96% to 98%.

5. Case Study

For validation of the developed models and the optimization results above, a test part with intersecting stiffeners was fabricated following the steps in Figure 3, as shown in Figure 7. Note that the width and the total length of the stiffeners are 7 mm and 1200 mm respectively, and the ratio of the masses of the plate to the stiffeners is about 4, which are the same as those in Equation (10). Therefore, the corresponding optimal process parameters are WFR = 3.8 m/min, TS = 0.6 m/min, SS = 6694 rpm and TFR = 3.1 mm/s according to Table 4. Furthermore, note that the height of each stiffener is 16 mm, which means that the deposition and the milling processes need to alternate twice here.
After this stiffened panel was fabricated, the actual surface roughness in the tool-feed direction was measured at different locations. The average value is 1.38 μm, which is about 7.0% higher than the predicted value, i.e., 1.29 μm. The actual material utilization is calculated by dividing the final part’s mass (1.82 kg) by the sum of the masses of the plate and the raw metal wire (1.46 kg + 0.55 kg). The result is 91%, which is a little lower than the predicted value, i.e., 97%. This is attributed to the fact that the removed mass from the top surface in Step 2 is neglected in the theoretical evaluation. The actual construction time is about 102 min, which is slightly longer than the predicted value (48.35 × 2 = 96.7 min). This is because the time for the milling tool to move from one surface to another is not considered in the theoretical evaluation. In all, these developed models (Equations (6), (8) and (9)) are capable of predicting the surface quality, material utilization, and efficiency of HWMP with reasonable accuracy.
As a comparison, the performances of the traditional machining for the same stiffened panel are also evaluated. It starts with a thick plate with dimensions 300 mm × 300 mm × 22 mm and then goes through two stages: roughing and finishing. The roughing stage aims to remove extra mass as quickly as possible by employing a large material removal rate (MRR), whereas the finishing stage aims to refine the part to the required accuracy by employing a small MRR. To make a fair comparison, the MRR selected for the finishing stage is the same as that in HMWP, i.e., MRRfinishing = 14.88 mm3/s. That is to say, the achieved surface quality here is assumed to be the same as that in HWMP. The MRR for the roughing stage, i.e., MRRroughing, is assumed to be 10 times that of MRRfinishing, i.e., 148.8 mm3/s. The machining time for each stage can be calculated by dividing the volume to be removed by the corresponding MRR. The tool-changing time is not considered here.
A detailed comparison between HWMP and the traditional machining is summarized in Table 5. HMWP improves the material utilization from 34% to 91% (by 57%) and reduces the construction time from 166 min to 102 min (by 32%). Significant advantages of HWMP over the traditional machining for the fabrication of stiffened panels are demonstrated. It is also observed that the cooling time accounts for about one third of the total construction time in HWMP. To further increase its efficiency, it is necessary to introduce additional cooling methods, such as forced air cooling, to reduce the cooling time as much as possible.

6. Conclusions and Future Work

A hybrid manufacturing process combining WAAM and milling (HWMP) is proposed in this paper, which provides an entirely new method to fabricate stiffened panels in contrast to existing joining or machining methods. The comprehensive effects of the deposition parameters (including wire-feed rate and travel speed) and the milling parameters (including spindle speed and tool-feed rate) on surface quality, material utilization, and efficiency are investigated systematically. Only good matching of the deposition and the milling parameters could maximize the performances of HMWP. Through the optimization, it is obtained that a high travel speed, a target width dependent wire-feed rate, a high spindle speed, and a moderate tool-feed rate are required to obtain a good balance between surface quality, material utilization, and efficiency. This provides a guide to select approximate process parameters for hybrid manufacturing processes. With the optimal process parameters, significant reduction in material consumption and improvement in efficiency can be realized without any loss of accuracy for the fabrication of stiffened panels, compared against the traditional machining. Therefore, HWMP that accords with the concept of sustainable development would be attractive to the manufacturers.
Despite the above advantages, the WAAM process based on welding may introduce undesirable residual stresses and, therefore, distortions due to the large heat input, especially for thin structures. Several measures could be taken to solve this problem. For example, some new welding techniques with lower heat input could be used instead of the conventional GMAW, such as cold metal transfer (CMT), dual-bypass GMAW and hot wire GMAW [32]. Some preheating approaches such as induction heating could also be used to regulate the thermal gradient. Additionally, well-designed fixtures are necessary to reduce the distortions. These works will be considered in the future.

Acknowledgments

This paper was supported by the National Natural Science Foundation of China (No. 51475009) and a China Postdoctoral Science Foundation funded project (No. 2017M610726).

Author Contributions

Fang Li performed the modeling and wrote the manuscript; Shujun Chen contributed to the optimization and the analysis of the data; Junbiao Shi designed and performed the deposition experiments; Hongyu Tian designed and performed the milling experiments; and Yun Zhao helped perform the experiments and analyze the data.

Conflicts of Interest

The authors declare no conflict of interest.

References

  1. Gao, W.; Zhang, Y.; Ramanujan, D.; Ramani, K.; Williams, C.B. The status, challenges, and future of additive manufacturing in engineering. Comput. Aided Des. 2015, 69, 65–89. [Google Scholar] [CrossRef]
  2. Singh, S.; Ramakrishna, S.; Singh, R. Material issues in additive manufacturing: A review. J. Manuf. Process. 2017, 25, 185–200. [Google Scholar] [CrossRef]
  3. Frazier, W.E. Metal Additive Manufacturing: A Review. J. Mater. Eng. Perform. 2014, 23, 1917–1928. [Google Scholar] [CrossRef]
  4. Ding, D.; Pan, Z.; Cuiuri, D.; Li, H. Wire-feed additive manufacturing of metal components: Technologies, developments and future interests. Int. J. Adv. Manuf. Technol. 2015, 81, 465–481. [Google Scholar] [CrossRef]
  5. Kumbhar, N.N.; Mulay, A.V. Post processing methods used to improve surface finish of products which are manufactured by additive manufacturing technologies: A review. J. Inst. Eng. 2016, 1–7. [Google Scholar] [CrossRef]
  6. Flynn, J.M.; Shokrani, A.; Newman, S.T.; Dhokia, V. Hybrid additive and subtractive machine tools—Research and industrial developments. Int. J. Mach. Tools Manuf. 2016, 101, 79–101. [Google Scholar] [CrossRef]
  7. Zhu, Z.; Dhokia, V.; Nassehi, A.; Newman, S.T. A review of hybrid manufacturing processes-state of the art and future perspectives. Int. J. Comput. Integr. Manuf. 2013, 26, 596–615. [Google Scholar] [CrossRef]
  8. Manogharan, G.; Wysk, R.A.; Harrysson, O.L.A. Additive manufacturing–integrated hybrid manufacturing and subtractive processes: Economic model and analysis. Int. J. Comput. Integr. Manuf. 2016, 29, 473–488. [Google Scholar] [CrossRef]
  9. Kapil, S.; Legesse, F.; Kulkarni, P.; Joshi, P.; Desai, A.; Karunakaran, K.P. Hybrid-layered manufacturing using tungsten inert gas cladding. Prog. Addit. Manuf. 2016, 1, 79–91. [Google Scholar] [CrossRef]
  10. Xiong, X.; Zhang, H.; Wang, G.; Wang, G. Hybrid plasma deposition and milling for an aeroengine double helix integral impeller made of superalloy. Robot. Comput. Integr. Manuf. 2010, 26, 291–295. [Google Scholar] [CrossRef]
  11. Song, Y.; Park, S.; Choi, D.; Jee, H. 3D welding and milling: Part I—A direct approach for freeform fabrication of metallic prototypes. Int. J. Mach. Tools Manuf. 2005, 45, 1057–1062. [Google Scholar] [CrossRef]
  12. Zhu, Z.; Dhokia, V.; Newman, S.T.; Nassehi, A. Application of a hybrid process for high precision manufacture of difficult to machine prismatic parts. Int. J. Adv. Manuf. Technol. 2014, 74, 1115–1132. [Google Scholar] [CrossRef]
  13. Pan, Z.; Ding, D.; Wu, B.; Cuiuri, D.; Li, H.; Norrish, J. Arc Welding Processes for Additive Manufacturing: A Review. In Transactions on Intelligent Welding Manufacturing; Chen, S., Zhang, Y., Feng, Z., Eds.; Springer: Singapore, 2017; ISBN 978-981-10-5355-9. [Google Scholar]
  14. Wu, Q.; Ma, Z.; Chen, G.; Liu, C.; Ma, D.; Ma, S. Obtaining fine microstructure and unsupported overhangs by low heat input pulse arc additive manufacturing. J. Manuf. Process. 2017, 27, 198–206. [Google Scholar] [CrossRef]
  15. Ding, D.; Pan, Z.; Cuiuri, D.; Li, H. A tool-path generation strategy for wire and arc additive manufacturing. Int. J. Adv. Manuf. Technol. 2014, 73, 173–183. [Google Scholar] [CrossRef]
  16. Cong, B.; Qi, Z.; Qi, B.; Sun, H.; Zhao, G.; Ding, J. A Comparative study of additively manufactured thin wall and block structure with Al-6.3%Cu alloy Using cold metal transfer process. Appl. Sci. 2017, 7, 275. [Google Scholar] [CrossRef]
  17. Wu, B.; Ding, D.; Pan, Z.; Cuiuri, D.; Li, H.; Han, J.; Fei, Z. Effects of heat accumulation on the arc characteristics and metal transfer behavior in wire arc additive manufacturing of Ti6Al4V. J. Mater. Process. Technol. 2017, 250, 304–312. [Google Scholar] [CrossRef]
  18. Xu, X.; Ding, J.; Ganguly, S.; Diao, C.; Williams, S. Oxide accumulation effects on wire + arc layer-by-layer additive manufacture process. J. Mater. Process. Technol. 2017, 252, 739–750. [Google Scholar] [CrossRef]
  19. Williams, S.W.; Martina, F.; Addison, A.C.; Ding, J.; Pardal, G.; Colegrove, P. Wire + arc additive manufacturing. Mater. Sci. Technol. 2016, 7, 641–647. [Google Scholar] [CrossRef]
  20. Moreira, P.M.G.P.; Richtertrummer, V.; Castro, P.M.S.T.D. Lightweight stiffened panels fabricated using emerging fabrication technologies: Fatigue behaviour. Adv. Struct. Mater. 2010, 8, 151–172. [Google Scholar]
  21. Öktem, H. An integrated study of surface roughness for modelling and optimization of cutting parameters during end milling operation. Int. J. Adv. Manuf. Technol. 2009, 43, 852–861. [Google Scholar] [CrossRef]
  22. Jin, Y.; Du, J.; He, J. Optimization of process planning for reducing material consumption in additive manufacturing. J. Manuf. Syst. 2017, 44, 65–78. [Google Scholar] [CrossRef]
  23. Zhao, C.; Li, J. The manufacturing technology of integral panel on spacecraft. Aerosp. Manuf. Technol. 2006, 4, 44–48. [Google Scholar]
  24. Sproesser, G.; Chang, Y.J.; Pittner, A.; Finkbeiner, M.; Rethmeier, M. Environmental energy efficiency of single wire and tandem gas metal arc welding. Weld. World 2017, 61, 733–743. [Google Scholar] [CrossRef]
  25. Cukor, G.; Jurkovi, Z.; Sekuli, M. Rotatable central composite design of experiments versus Taguchi method in the optimization of turning. Metalurgija 2011, 50, 17–20. [Google Scholar]
  26. Palanikumar, K. Modeling and analysis for surface roughness in machining glass fibre reinforced plastics using response surface methodology. Mater. Des. 2007, 28, 2611–2618. [Google Scholar] [CrossRef]
  27. Ding, T.; Zhang, S.; Wang, Y. Empirical models and optimal cutting parameters for cutting forces and surface roughness in hard milling of AISI H13 steel. Int. J. Adv. Manuf. Technol. 2010, 51, 45–55. [Google Scholar] [CrossRef]
  28. Wang, Z.H.; Yuan, J.T.; Liu, T.T.; Huang, J.; Qiao, L. Study on surface roughness in high-speed milling of AlMn1Cu using factorial design and partial least square regression. Int. J. Adv. Manuf. Technol. 2015, 76, 1783–1792. [Google Scholar] [CrossRef]
  29. Palanisamy, P.; Rajendran, I.; Shanmugasundaram, S. Optimization of machining parameters using genetic algorithm and experimental validation for end-milling operations. Int. J. Adv. Manuf. Technol. 2007, 32, 644–655. [Google Scholar] [CrossRef]
  30. Zain, A.M.; Haron, H.; Sharif, S. Application of GA to optimize cutting conditions for minimizing surface roughness in end milling machining process. Expert Syst. Appl. 2010, 37, 4650–4659. [Google Scholar] [CrossRef]
  31. Marler, R.T.; Arora, J.S. The weighted sum method for multi-objective optimization: New insights. Struct. Multidiscip. Optim. 2010, 41, 853–862. [Google Scholar] [CrossRef]
  32. Xiong, J.; Zhang, G.; Zhang, W. Forming appearance analysis in multi-layer single-pass GMAW-based additive manufacturing. Int. J. Adv. Manuf. Technol. 2015, 80, 1767–1776. [Google Scholar] [CrossRef]
Figure 1. Processing technologies for stiffened panels. (a,b) Applications of stiffened panels [23]; (c) riveting; (d) welding; (e) machining; and (f) HWMP.
Figure 1. Processing technologies for stiffened panels. (a,b) Applications of stiffened panels [23]; (c) riveting; (d) welding; (e) machining; and (f) HWMP.
Applsci 07 01233 g001
Figure 2. Two-robot cooperative platform for implementing HWMP.
Figure 2. Two-robot cooperative platform for implementing HWMP.
Applsci 07 01233 g002
Figure 3. (ac) Work principle of HWMP for fabricating stiffened panels; and (d) the relation between cutting depth and bead width.
Figure 3. (ac) Work principle of HWMP for fabricating stiffened panels; and (d) the relation between cutting depth and bead width.
Applsci 07 01233 g003
Figure 4. Relation between surface roughness and the key process parameters.
Figure 4. Relation between surface roughness and the key process parameters.
Applsci 07 01233 g004
Figure 5. (a) Wall structures produced by WAAM; and (b) milling experiments.
Figure 5. (a) Wall structures produced by WAAM; and (b) milling experiments.
Applsci 07 01233 g005
Figure 6. (a) The effects of single process parameter on surface roughness; (b) the effects of single process parameter on material utilization; and (c) the effects of single process parameter on construction time.
Figure 6. (a) The effects of single process parameter on surface roughness; (b) the effects of single process parameter on material utilization; and (c) the effects of single process parameter on construction time.
Applsci 07 01233 g006
Figure 7. (a) Stereogram; (b) photograph of the produced stiffened panel.
Figure 7. (a) Stereogram; (b) photograph of the produced stiffened panel.
Applsci 07 01233 g007
Table 1. Coding for factor and level.
Table 1. Coding for factor and level.
SymbolFactorUnitLevel
−1.68−1011.68
Regression model 1 (Response: bead width)
WFRWire-feed ratem/min3.43.74.34.85.1
TSTravel speedm/min0.350.40.480.550.6
WVWelding voltageV16.617.318.419.520.2
Regression model 2 (Response: surface roughness)
SSSpindle speedrpm10002400450066008000
TFRTool-feed ratemm/s11.834.25
CDCutting depthmm11.422.63
Table 2. Experimental design matrix and the response.
Table 2. Experimental design matrix and the response.
Regression Model 1Regression Model 2
Exp. No.Coding
(WFR TS WV)
Bead Width (mm)Exp. No.Coding
(SS TFR CD)
Roughness (μm)
1(−1 −1 −1)91(−1 −1 −1)1.74
2(1 −1 −1)11.92(1 −1 −1)1.41
3(−1 1 −1)8.43(−1 1 −1)1.99
4(1 1 −1)10.84(1 1 −1)1.47
5(−1 −1 1)9.55(−1 −1 1)1.97
6(1 −1 1)11.76(1 −1 1)1.58
7(−1 1 1)8.37(−1 1 1)2.15
8(1 1 1)108(1 1 1)1.81
9(−1.682 0 0)89(−1.682 0 0)2.41
10(1.682 0 0)12.510(1.682 0 0)1.52
11(0 −1.682 0)11.511(0 −1.682 0)1.79
12(0 1.682 0)9.512(0 1.682 0)1.86
13(0 0 −1.682)9.913(0 0 −1.682)1.68
14(0 0 1.682)10.114(0 0 1.682)1.78
15(0 0 0)9.615(0 0 0)1.65
16(0 0 0)9.516(0 0 0)1.64
17(0 0 0)9.617(0 0 0)1.67
18(0 0 0)1018(0 0 0)1.53
19(0 0 0)9.519(0 0 0)1.52
20(0 0 0)10.120(0 0 0)1.59
Table 3. ANOVA results of the two regression models.
Table 3. ANOVA results of the two regression models.
Regression Model 1Regression Model 2
SourceF-Valuep-ValueSourceF-Valuep-Value
A-WFR234.16<0.0001A-SS66.73<0.0001
B-TS52.82<0.0001B-TFR5.110.0473
C-WV0.0580.8147C-CD8.200.0169
AB1.420.2607AB0.230.6390
AC2.790.1260AC0.160.7020
BC2.050.1830BC0.0800.7827
A22.300.1604A216.720.0022
B27.010.0244B25.130.0469
C20.150.7086C21.040.3318
Model33.54<0.0001Model11.210.0004
Lack of Fit1.520.3275Lack of Fit4.330.0669
R20.9679R20.9099
Table 4. Optimization results under different target widths.
Table 4. Optimization results under different target widths.
TW (mm)WFR (m/min)TS (m/min)SS (rpm)TFR (mm/s)Ra (μm)MUTC (min)
63.50.666943.11.3196%48.35
73.80.666943.11.2997%48.35
84.20.666953.11.2997%48.35
94.60.666953.11.2998%48.35
105.00.666953.11.2998%48.35
Table 5. Comparison between HWMP and the traditional machining for the stiffened panel.
Table 5. Comparison between HWMP and the traditional machining for the stiffened panel.
Traditional MachiningHWMP
Thick plate’s mass5.35 kgThin plate’s mass1.46 kg
Metal wire’s mass0.55 kg
Final part’s mass1.82 kgFinal part’s mass1.82 kg
Material utilization34%Material utilization91%
Deposition time24 min
Roughing time144 minMilling time38.7 min
Finishing time22 min
Cooling, etc.39.3 min
Construction time166 minConstruction time102 min

Share and Cite

MDPI and ACS Style

Li, F.; Chen, S.; Shi, J.; Tian, H.; Zhao, Y. Evaluation and Optimization of a Hybrid Manufacturing Process Combining Wire Arc Additive Manufacturing with Milling for the Fabrication of Stiffened Panels. Appl. Sci. 2017, 7, 1233. https://doi.org/10.3390/app7121233

AMA Style

Li F, Chen S, Shi J, Tian H, Zhao Y. Evaluation and Optimization of a Hybrid Manufacturing Process Combining Wire Arc Additive Manufacturing with Milling for the Fabrication of Stiffened Panels. Applied Sciences. 2017; 7(12):1233. https://doi.org/10.3390/app7121233

Chicago/Turabian Style

Li, Fang, Shujun Chen, Junbiao Shi, Hongyu Tian, and Yun Zhao. 2017. "Evaluation and Optimization of a Hybrid Manufacturing Process Combining Wire Arc Additive Manufacturing with Milling for the Fabrication of Stiffened Panels" Applied Sciences 7, no. 12: 1233. https://doi.org/10.3390/app7121233

APA Style

Li, F., Chen, S., Shi, J., Tian, H., & Zhao, Y. (2017). Evaluation and Optimization of a Hybrid Manufacturing Process Combining Wire Arc Additive Manufacturing with Milling for the Fabrication of Stiffened Panels. Applied Sciences, 7(12), 1233. https://doi.org/10.3390/app7121233

Note that from the first issue of 2016, this journal uses article numbers instead of page numbers. See further details here.

Article Metrics

Back to TopTop