Bloch Surface Waves for MoS2 Emission Coupling and Polariton Systems
Abstract
:1. Introduction
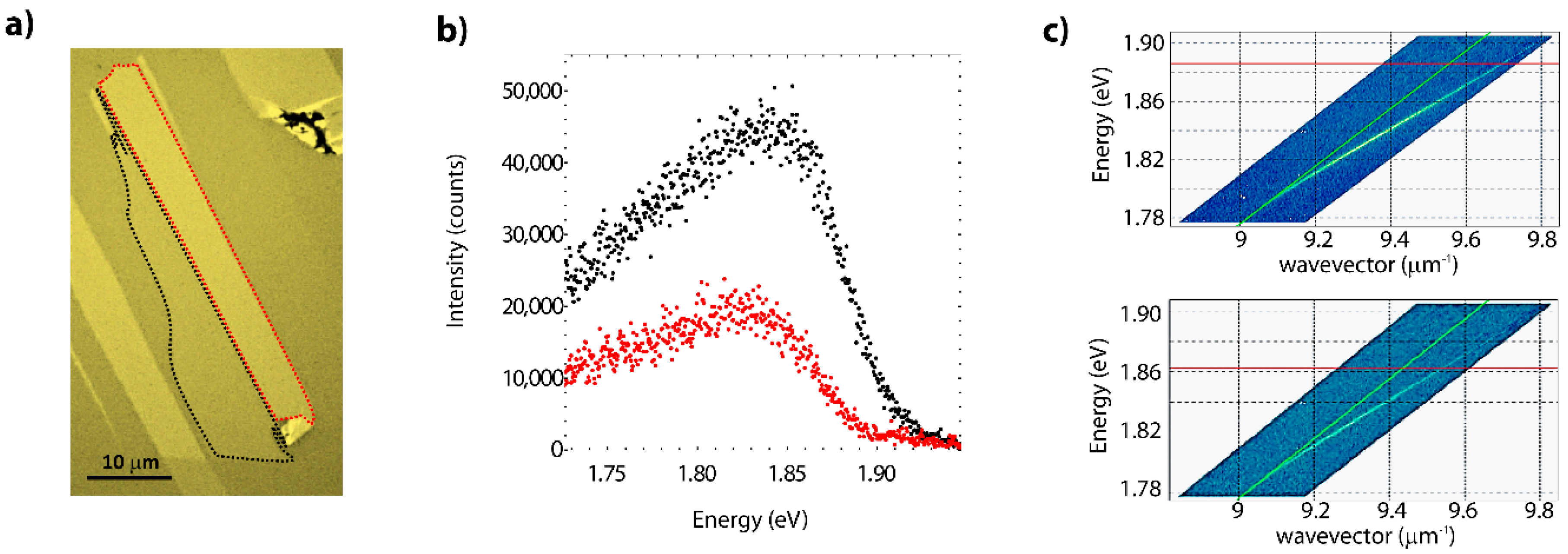
2. Coupling MoS2 Mono- and Bi-Layer Emission
3. Bloch Surface Wave Polaritons
4. Conclusions
Acknowledgments
Author Contributions
Conflicts of Interest
References
- Liedberg, B.; Nylander, C.; Lundström, I. Biosensing with Surface Plasmon Resonance—How It All Started. Biosens. Bioelectron. 1995, 10, 1–9. [Google Scholar] [CrossRef]
- Sinibaldi, A.; Danz, N.; Descrovi, E.; Munzert, P.; Schulz, U.; Sonntag, F.; Dominici, L.; Michelotti, F. Direct comparison of the performance of Bloch surface wave and surface plasmon polariton sensors. Sens. Actuators B Chem. 2012, 174, 292–298. [Google Scholar] [CrossRef]
- Sinibaldi, A.; Sampaoli, C.; Danz, N.; Munzert, P.; Sonntag, F.; Centola, F.; Occhicone, A.; Tremante, E.; Giacomini, P.; Michelotti, F. Bloch Surface Waves Biosensors for High Sensitivity Detection of Soluble ERBB2 in a Complex Biological Environment. Biosensors 2017, 7, 33. [Google Scholar] [CrossRef] [PubMed]
- Paeder, V.; Musi, V.; Hvozdara, L.; Herminjard, S.; Herzig, H.P. Detection of protein aggregation with a Bloch surface wave based sensor. Sens. Actuators B Chem. 2011, 157, 260–264. [Google Scholar] [CrossRef]
- Kang, X.-B.; Wen, L.-W.; Wang, Z.-G. Design of guided Bloch surface wave resonance bio-sensors with high sensitivity. Opt. Commun. 2017, 383, 531–536. [Google Scholar] [CrossRef]
- Li, Y.; Yang, T.; Song, S.; Pang, Z.; Du, G.; Han, S. Phase properties of Bloch surface waves and their sensing applications. Appl. Phys. Lett. 2013, 103, 41116. [Google Scholar] [CrossRef]
- Sinibaldi, A.; Descrovi, E.; Giorgis, F.; Dominici, L.; Ballarini, M.; Mandracci, P.; Danz, N.; Michelotti, F. Hydrogenated amorphous silicon nitride photonic crystals for improved-performance surface electromagnetic wave biosensors. Biomed. Opt. Express 2012, 3, 2405–2410. [Google Scholar] [CrossRef] [PubMed]
- Descrovi, E.; Sfez, T.; Quaglio, M.; Brunazzo, D.; Dominici, L.; Michelotti, F.; Herzig, H.P.; Martin, O.J.; Giorgis, F. Guided Bloch Surface Waves on Ultrathin Polymeric Ridges. Nano Lett. 2010, 10, 2087–2091. [Google Scholar] [CrossRef] [PubMed]
- Kim, M.-S.; Vosoughi Lahijani, B.; Descharmes, N.; Straubel, J.; Negredo, F.; Rockstuhl, C.; Hayrinen, M.; Kuittinen, M.; Roussey, M.; Herzig, H.P. Subwavelength Focusing of Bloch Surface Waves. ACS Photonics 2017, 4, 1477–1483. [Google Scholar] [CrossRef]
- Kovalevich, T.; Boyer, P.; Suarez, M.; Salut, R.; Kim, M.S.; Herzig, H.P.; Bernal, M.P.; Grosjean, T. Polarization controlled directional propagation of Bloch surface wave. Opt. Express 2017, 25, 5710–5715. [Google Scholar] [CrossRef] [PubMed]
- Dubey, R.; Lahijani, B.V.; Barakat, E.; Häyrinen, M.; Roussey, M.; Kuittinen, M.; Herzig, H.P. Near-field characterization of a Bloch-surface-wave-based 2D disk resonator. Opt. Lett. 2016, 41, 4867–4870. [Google Scholar] [CrossRef] [PubMed]
- Yu, L.; Barakat, E.; Sfez, T.; Hvozdara, L.; Di Francesco, J.; Herzig, H.P. Manipulating Bloch surface waves in 2D: A platform concept-based flat lens. Light Sci. Appl. 2014, 3, e124. [Google Scholar] [CrossRef]
- Angelini, A.; Barakat, E.; Munzert, P.; Boarino, L.; De Leo, N.; Enrico, E.; Giorgis, F.; Herzig, H.P.; Pirri, C.F.; Descrovi, E. Focusing and Extraction of Light mediated by Bloch Surface Waves. Sci. Rep. 2014, 4, 5428. [Google Scholar] [CrossRef] [PubMed]
- Yu, L.; Barakat, E.; Di Francesco, J.; Herzig, H.P. Two-dimensional polymer grating and prism on Bloch surface waves platform. Opt. Express 2015, 23, 31640–31647. [Google Scholar] [CrossRef] [PubMed]
- Sfez, T.; Descrovi, E.; Dominici, L.; Nakagawa, W.; Michelotti, F.; Giorgis, F.; Herzig, H.P. Near-field analysis of surface electromagnetic waves in the bandgap region of a polymeric grating written on a one-dimensional photonic crystal. Appl. Phys. Lett. 2008, 93, 61108. [Google Scholar] [CrossRef]
- Sfez, T.; Descrovi, E.; Yu, L.; Quaglio, M.; Dominici, L.; Nakagawa, W.; Michelotti, F.; Giorgis, F.; Herzig, H.P. Two-dimensional optics on silicon nitride multilayer: Refraction of Bloch surface waves. Appl. Phys. Lett. 2010, 96, 151101. [Google Scholar] [CrossRef]
- Andalib, P.; Granpayeh, N. All-optical ultracompact photonic crystal AND gate based on nonlinear ring resonators. JOSA B 2009, 26, 10–16. [Google Scholar] [CrossRef]
- Liu, Y.; Qin, F.; Meng, Z.M.; Zhou, F.; Mao, Q.H.; Li, Z.Y. All-optical logic gates based on two-dimensional low-refractive-index nonlinear photonic crystal slabs. Opt. Express 2011, 19, 1945–1953. [Google Scholar] [CrossRef] [PubMed]
- Noshad, M.; Abbasi, A.; Ranjbar, R.; Kheradmand, R. Novel All-Optical Logic Gates Based on Photonic Crystal Structure. J. Phys. Conf. Ser. 2012, 350, 12007. [Google Scholar] [CrossRef]
- Almeida, V.R.; Barrios, C.A.; Panepucci, R.R.; Lipson, M. All-optical control of light on a silicon chip. Nature 2004, 431, 1081–1084. [Google Scholar] [CrossRef] [PubMed]
- Pöllinger, M.; Rauschenbeutel, A. All-optical signal processing at ultra-low powers in bottle microresonators using the Kerr effect. Opt. Express 2010, 18, 17764–17775. [Google Scholar] [CrossRef] [PubMed]
- Amo, A.; Liew, T.C.H.; Adrados, C.; Houdré, R.; Giacobino, E.; Kavokin, A.V.; Bramati, A. Exciton–polariton spin switches. Nat. Photonics 2010, 4, 361–366. [Google Scholar] [CrossRef]
- Gao, T.; Eldridge, P.S.; Liew, T.C.H.; Tsintzos, S.I. Polariton condensate transistor switch. Phys. Rev. B. 2012, 85, 235102. [Google Scholar] [CrossRef]
- Sturm, C.; Tanese, D.; Nguyen, H.S.; Flayac, H.; Galopin, E.; Lemaître, A.; Sagnes, I.; Solnyshkov, D.; Amo, A.; Malpuech, G.; et al. All-optical phase modulation in a cavity-polariton Mach–Zehnder interferometer. Nat. Commun. 2014, 5, 3278. [Google Scholar] [CrossRef] [PubMed]
- Ballarini, D.; De Giorgi, M.; Cancellieri, E.; Houdré, R.; Giacobino, E.; Cingolani, R.; Bramati, A.; Gigli, G.; Sanvitto, D. All-optical polariton transistor. Nat. Commun. 2013, 4, 1778. [Google Scholar] [CrossRef] [PubMed]
- Amlani, I.; Orlov, A.O.; Toth, G.; Bernstein, G.H.; Lent, C.S.; Snider, G.L. Digital Logic Gate Using Quantum-Dot Cellular Automata. Science 1999, 284, 289–291. [Google Scholar] [CrossRef] [PubMed]
- Kim, W.Y.; Kim, H.D.; Kim, T.T.; Park, H.S.; Lee, K.; Choi, H.J.; Lee, S.H.; Son, J.; Park, N.; Min, B. Graphene–ferroelectric metadevices for nonvolatile memory and reconfigurable logic-gate operations. Nat. Commun. 2016, 7, 10429. [Google Scholar] [CrossRef] [PubMed]
- Wang, Q.H.; Kalantar-Zadeh, K.; Kis, A.; Coleman, J.N.; Strano, M.S. Electronics and optoelectronics of two-dimensional transition metal dichalcogenides. Nat. Nanotechnol. 2012, 7, 699–712. [Google Scholar] [CrossRef] [PubMed]
- Sordan, R.; Traversi, F.; Russo, V. Logic gates with a single graphene transistor. Appl. Phys. Lett. 2009, 94, 73305. [Google Scholar] [CrossRef]
- Chen, W.; Yang, L.; Wang, P.; Zhang, Y.; Zhou, L.; Yang, T.; Wang, Y.; Yang, J. Electro-optical logic gates based on graphene–silicon waveguides. Opt. Commun. 2016, 372, 85–90. [Google Scholar] [CrossRef]
- Yin, Z.; Li, H.; Li, H.; Jiang, L.; Shi, Y.; Sun, Y.; Lu, G.; Zhang, Q.; Chen, X.; Zhang, H. Single-Layer MoS2 Phototransistors. ACS Nano 2012, 6, 74–80. [Google Scholar] [CrossRef] [PubMed]
- Radisavljevic, B.; Radenovic, A.; Brivio, J.; Giacometti, V.; Kis, A. Single-layer MoS2 transistors. Nat. Nanotechnol. 2011, 6, 147–150. [Google Scholar] [CrossRef] [PubMed]
- Lopez-Sanchez, O.; Lembke, D.; Kayci, M.; Radenovic, A.; Kis, A. Ultrasensitive photodetectors based on monolayer MoS2. Nat. Nanotechnol. 2013, 8, 497–501. [Google Scholar] [CrossRef] [PubMed]
- Zeng, S.; Hu, S.; Xia, J.; Anderson, T.; Dinh, X.Q.; Meng, X.M.; Coquet, P.; Yong, K.T. Graphene–MoS2 Hybrid Nanostructures enhanced Surface Plasmon Resonance Biosensors. Sens. Actuators B Chem. 2015, 207, 801–810. [Google Scholar] [CrossRef]
- Zeng, H.; Dai, J.; Yao, W.; Xiao, D.; Cui, X. Valley polarization in MoS2 monolayers by optical pumping. Nat. Nanotechnol. 2012, 7, 490–493. [Google Scholar] [CrossRef] [PubMed]
- Mak, K.F.; He, K.; Shan, J.; Heinz, T.F. Control of valley polarization in monolayer MoS2 by optical helicity. Nat. Nanotechnol. 2012, 7, 494–498. [Google Scholar] [CrossRef] [PubMed]
- Schuller, J.A.; Karaveli, S.; Schiros, T.; He, K.; Yang, S.; Kymissis, I.; Shan, J.; Zia, R. Orientation of luminescent excitons in layered nanomaterials. Nat. Nanotechnol. 2013, 8, 271–276. [Google Scholar] [CrossRef] [PubMed]
- Lerario, G.; Cannavale, A.; Ballarini, D.; Dominici, L.; De Giorgi, M.; Liscidini, M.; Gerace, D.; Sanvitto, D.; Gigli, G. Room temperature Bloch surface wave polaritons. Opt. Lett. 2014, 39, 2068. [Google Scholar] [CrossRef] [PubMed]
- Mak, K.F.; Lee, C.; Hone, J.; Shan, J.; Heinz, T.F. Atomically Thin MnS2: A New Direct-Gap Semiconductor. Phys. Rev. Lett. 2010, 105, 136805. [Google Scholar] [CrossRef] [PubMed]
- Liscidini, M.; Gerace, D.; Sanvitto, D.; Bajoni, D. Guided Bloch surface wave polaritons. Appl. Phys. Lett. 2011, 98, 121118. [Google Scholar] [CrossRef]
- Pirotta, S.; Patrini, M.; Liscidini, M.; Galli, M.; Dacarro, G.; Canazza, G.; Guizzetti, G.; Comoretto, D.; Bajoni, D. Strong coupling between excitons in organic semiconductors and Bloch surface waves. Appl. Phys. Lett. 2014, 104, 51111. [Google Scholar] [CrossRef]
- Lerario, G.; Ballarini, D.; Fieramosca, A.; Cannavale, A.; Genco, A.; Mangione, F.; Gambino, S.; Dominici, L.; De Giorgi, M.; Gigli, G.; et al. High-speed flow of interacting organic polaritons. Light Sci. Appl. 2017, 6, e16212. [Google Scholar] [CrossRef]




© 2017 by the authors. Licensee MDPI, Basel, Switzerland. This article is an open access article distributed under the terms and conditions of the Creative Commons Attribution (CC BY) license (http://creativecommons.org/licenses/by/4.0/).
Share and Cite
Lerario, G.; Ballarini, D.; Dominici, L.; Fieramosca, A.; Cannavale, A.; Holwill, M.; Kozikov, A.; Novoselov, K.S.; Gigli, G. Bloch Surface Waves for MoS2 Emission Coupling and Polariton Systems. Appl. Sci. 2017, 7, 1217. https://doi.org/10.3390/app7121217
Lerario G, Ballarini D, Dominici L, Fieramosca A, Cannavale A, Holwill M, Kozikov A, Novoselov KS, Gigli G. Bloch Surface Waves for MoS2 Emission Coupling and Polariton Systems. Applied Sciences. 2017; 7(12):1217. https://doi.org/10.3390/app7121217
Chicago/Turabian StyleLerario, Giovanni, Dario Ballarini, Lorenzo Dominici, Antonio Fieramosca, Alessandro Cannavale, Matthew Holwill, Aleksey Kozikov, Kostya S. Novoselov, and Giuseppe Gigli. 2017. "Bloch Surface Waves for MoS2 Emission Coupling and Polariton Systems" Applied Sciences 7, no. 12: 1217. https://doi.org/10.3390/app7121217
APA StyleLerario, G., Ballarini, D., Dominici, L., Fieramosca, A., Cannavale, A., Holwill, M., Kozikov, A., Novoselov, K. S., & Gigli, G. (2017). Bloch Surface Waves for MoS2 Emission Coupling and Polariton Systems. Applied Sciences, 7(12), 1217. https://doi.org/10.3390/app7121217

