The Interphase Influences on the Particle-Reinforced Composites with Periodic Particle Configuration
Abstract
:1. Introduction
2. The Theoretical Method
2.1. Microstructure of the RVE
2.2. Constitutive Equations of the PRC with Interfacial Debonding
3. Nonlinear Mechanical Properties for the PRC with Interfacial Debonding
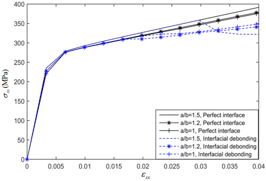
3.1. Model Validation
3.2. Intrinsic Microstructure Parameters
3.2.1. PVF Influences on the Mechanical Properties of the PRC
3.2.2. Particle Shape Influences on the Mechanical Properties of the PRC
3.3. Extrinsic Parameter
4. Biaxial Failure Prediction for the PRC with Interfacial Debonding
4.1. Effect of Interfacial Debonding
4.2. Effect of Interfacial Cohesive Strength
4.3. Effect of Particle Shape
5. Conclusions
- (1)
- The micromechanical model can be used to predict mechanical properties of the PRC with interfacial debonding effectively.
- (2)
- The particle volume fraction effects on stiffness behaviors for the PRC with and without interfacial debonding show different variations. The stiffness behaviors become softer with the increasing volume fraction in some regions when the interfacial debonding is considered.
- (3)
- The SiC particle-reinforced A356 aluminum composites with interfacial debonding show obvious rate-dependency of the deformation, and higher strain rates increase the stiffness properties.
- (4)
- For the PRC in the compression-compression biaxial loading, interfacial bonding’s influences on failure strength can be ignored. However, the obvious difference can be seen in the tensile-tensile loading.
- (5)
- The higher interfacial strength of particle-reinforced composites tends to increase the biaxial failure strength, while the obvious differences can only be found in regions I, II, and IV.
Acknowledgments
Author Contributions
Conflicts of Interest
References
- Wang, Y.; Ye, J.; Tian, W. Shape memory polymer composites of poly (styrene-b-butadiene-b-styrene) copolymer/liner low density polyethylene/Fe3O4 nanoparticles for remote activation. Appl. Sci. 2016, 333, 333–341. [Google Scholar] [CrossRef]
- Teng, H. Prediction of the effective Young’s modulus of a particulate composite containing fractured particles. Finite Elem. Anal. Des. 2013, 65, 32–38. [Google Scholar] [CrossRef]
- Cao, Y.; Feng, Y.; Wang, W. Estimation of lamina stiffness and strength of quadriaxial non-crimp fabric composites based on semi-laminar considerations. Appl. Sci. 2016, 6, 267–283. [Google Scholar] [CrossRef]
- Ludovic, R.; Moukrane, D.; Sophie, G.; Jérôme, D.; David, T.; Elisabeth, A.G. Structure evolutions in a Ti–6Al–4V matrix composite reinforced with TiB, characterised using high energy X-ray diffraction. J. Alloys Compd. 2015, 624, 179–188. [Google Scholar]
- Chen, Q.; Chen, X.; Zhai, Z.; Yang, Z. A new and general formulation of three-dimensional finite-volume micromechanics for particulate reinforced composites with viscoplastic phases. Compos. B Eng. 2016, 85, 216–232. [Google Scholar] [CrossRef]
- Kargar, M.; Behravesh, A.H.; Taheri, H.M. Experimental investigation on mechanical properties of extruded foamed pvc-wood composites reinforced with continuous glass fibers. Polym. Compos. 2016, 37, 1674–1680. [Google Scholar] [CrossRef]
- Taupin, V.; Berbenni, S.; Fressengeas, C.; Bouaziz, O. On particle size effects: An internal length mean field approach using field dislocation mechanics. Acta Mater. 2010, 58, 5532–5544. [Google Scholar] [CrossRef]
- Thomas, P.C.; Jose, T.E.; Thomas, S.P. High-performance nanocomposites based on arcylonitrile-butadiene rubber with fillers of different particle size: mechanical and morphological studies. Polym. Compos. 2010, 31, 1515–1524. [Google Scholar] [CrossRef]
- Diler, E.A.; Ipek, R. Main and interaction effects of matrix particle size, reinforcement particle size and volume fraction on wear characteristics of Al–SiCp composites using central composite design. Compos. B Eng. 2013, 50, 371–380. [Google Scholar] [CrossRef]
- Kumar, K.R.; Mohanasundaram, K.M.; Arumaikkannu, G. Effect of particle size on mechanical properties and tribological behaviour of aluminium/fly ash composites. Sci. Eng. Compos. Mater. 2012, 19, 247–253. [Google Scholar] [CrossRef]
- Saito, A.; Takahashi, H. The influence of filler geometrical shape on the friction and wear of particle filled polymers. Sci. Eng. Compos. Mater. 1997, 6, 95–109. [Google Scholar] [CrossRef]
- Rasool, A.; Böhm, H.J. Effects of particle shape on the macroscopic and microscopic linear behaviors of particle reinforced composites. Int. J. Eng. Sci. 2012, 58, 21–34. [Google Scholar] [CrossRef]
- Bourkas, G.; Prassianakis, I.; Kytopoulos, V.; Sideridis, E.; Younis, C. Estimation of elastic moduli of particulate composites by new models and comparison with moduli measured by tension, dynamic, and ultrasonic tests. Adv. Mater. Sci. Eng. 2010, 2010, 1–13. [Google Scholar] [CrossRef]
- Galli, M.; Cugnoni, J.; Botsis, J. Numerical and statistical estimates of the representative volume element of elastoplastic random composites. Eur. J. Mech. A. Solids 2012, 33, 31–38. [Google Scholar] [CrossRef]
- Han, G.; Guan, Z.; Ji, Z.; Du, S. Initial damage induced by thermal residual stress and microscopic failure analysis of carbon-fiber reinforced composite under shear loading. Compos. Interfaces 2015, 22, 315–329. [Google Scholar] [CrossRef]
- Xu, K.; Qian, X. An FEM Analysis with Consideration of random void defects for predicting the mechanical properties of 3D braided composites. Adv. Mater. Sci. Eng. 2014, 2014, 1921–1926. [Google Scholar] [CrossRef]
- Gao, H.; Huang, Y. Taylor-based nonlocal theory of plasticity. Int. J. Solids Struct. 2001, 38, 2615–2637. [Google Scholar] [CrossRef]
- Huang, Y.; Qu, S.; Hwang, K.C.; Li, M.; Gao, H. A conventional theory of mechanism-based strain gradient plasticit. Int. J. Plast. 2004, 20, 753–782. [Google Scholar] [CrossRef]
- Abedini, A.; Chen, Z.T. A micromechanical model of particle-reinforced metal matrix composites considering particle size and damage. Comput. Mater. Sci. 2014, 85, 200–205. [Google Scholar] [CrossRef]
- McWilliams, B.A.; Ramesh, K.T.; Yen, C.F. Probabilistic response of heterogeneous particle reinforced metal matrix composites with particle size dependent strengthening. Comput. Mater. Sci. 2013, 79, 15–24. [Google Scholar] [CrossRef]
- Zhang, X.X.; Xiao, B.L.; Andrä, H.; Ma, Z.Y. Homogenization of the average thermo-elastoplastic properties of particle reinforced metal matrix composites: The minimum representative volume element size. Compos. Struct. 2014, 113, 459–468. [Google Scholar] [CrossRef]
- Moumen, A.E.; Imad, A.; Kanit, T.; Hilali, E.; Minor, H.E. A multiscale approach and microstructure design of the elastic composite behavior reinforced with natural particles. Compos. B Eng. 2014, 66, 247–254. [Google Scholar] [CrossRef]
- Mandal, D.; Viswanathan, S. Effect of re-melting on particle distribution and interface formation in SiC reinforced 2124Al matrix composite. Mater. Charact. 2013, 86, 21–27. [Google Scholar] [CrossRef]
- Sideridis, E. The influence of particle distribution and interphase on the thermal expansion coefficient of particulate composites by the use of a new model. Compos. Interfaces 2016, 23, 231–254. [Google Scholar] [CrossRef]
- Lee, H.K.; Pyo, S.H. Micromechanics-based elastic damage modeling of particulate composites with weakened interfaces. Int. J. Solids Struct. 2007, 44, 8390–8406. [Google Scholar] [CrossRef]
- Zhou, R.J.; Thomas, B. Polypropylene/SiO2 nanocomposites filled with different nanosilicas: Thermal and mechanical properties, morphology and interphase characterization. J. Mater. Sci. 2011, 46, 1228–1238. [Google Scholar] [CrossRef]
- Hutar, P.; Majer, Z.; Nahlik, L.; Shestakova, L.; Knesl, Z. Influence of particle size on the fracture toughness of a PP-based particulate composite. Mech. Compos. Mater. 2009, 45, 281–286. [Google Scholar] [CrossRef]
- Shao, J.C.; Xiao, B.L.; Wang, Q.Z.; Ma, Z.Y.; Yang, K. An enhanced FEM model for particle size dependent flow strengthening and interface damage in particle reinforced metal matrix composites. Compos. Sci. Technol. 2011, 71, 39–45. [Google Scholar] [CrossRef]
- Yuan, Z.; Li, F.; Xue, F.; He, M.; Hussain, M.Z. Analysis of the stress states and interface damage in a particle reinforced composite based on a micromodel using cohesive elements. Mater. Sci. Eng. A 2014, 589, 288–302. [Google Scholar] [CrossRef]
- García, I.G.; Mantič, V.; Graciani, E. A model for the prediction of debond onset in spherical-particle-reinforced composites under tension. Application of a coupled stress and energy criterion. Compos. Sci. Technol. 2015, 106, 60–67. [Google Scholar] [CrossRef]
- Aghdam, M.M.; Shahbaz, M. Effects of interphase damage and residual stresses on mechanical behavior of particle reinforced metal-matrix composites. Appl. Compos. Mater. 2014, 21, 429–440. [Google Scholar] [CrossRef]
- Majer, Z.; Hutar, P.; Nahlik, L. Determination of the effect of interphase on the fracture toughness and stiffness of a particulate polymer composite. Mech. Compos. Mater. 2013, 49, 475–482. [Google Scholar] [CrossRef]
- Aboudi, J.; Arnold, S.M.; Bednarcyk, B.A. Micromechanics of Composite Materials—A Generalized Multiscale Analysis Approach; Elsevier: New York, NJ, USA, 2013. [Google Scholar]
- Aboudi, J. Mechanics of Composite Materials—A Unified Micromechanical Approach; Elsevier: London, UK, 1991. [Google Scholar]
- Bednarcyk, B.A.; Arnold, S.M. Micromechanics-based deformation and failure prediction for longitudinally reinforced titanium composites. Compos. Sci. Technol. 2001, 61, 705–729. [Google Scholar] [CrossRef]
- Lloyd, D.J. Particle reinforced aluminum and magnesium matrix composites. Int. Mater. Rev. 1994, 39, 1–23. [Google Scholar] [CrossRef]
- Qu, S.; Siegmund, T.; Huang, Y.; Wu, P.D.; Zhang, F.; Hwang, K.C. A study of particle size effect and interface fracture in aluminum alloy composite via an extended conventional theory of mechanism-based strain-gradient plasticity. Compos. Sci. Technol. 2005, 65, 1244–1253. [Google Scholar] [CrossRef]
- Ye, J.; Chen, X.; Zhai, Z.; Li, B.; Zi, Y.; He, Z. Effects of thermal stress and imperfect interfacial bonding on the mechanical behavior of composites subjected to off-axis loading. Mater. Sci. Eng. A 2010, 527, 7530–7537. [Google Scholar] [CrossRef]
- Chen, X.F.; Ye, J.J.; Zhai, Z.; Duan, Y.G.; He, Z.J. Micromechanical analysis of off-axis loading of fiber reinforced composites with imperfect interface bonding. Int. J. Mech. Sci. 2012, 54, 113–120. [Google Scholar] [CrossRef]
- Yang, B.J.; Kim, B.R.; Lee, H.K. Predictions of viscoelastic strain rate dependent behavior of fiber-reinforced polymeric composites. Compos. Struct. 2012, 94, 1420–1429. [Google Scholar] [CrossRef]
- Shams, A.; Porfiri, M. Analysis of particle–matrix interfacial debonding using the proper generalized decomposition. Compos. Struct. 2014, 111, 602–618. [Google Scholar] [CrossRef]
- Ye, J.J.; Qiu, Y.Y.; Chen, X.F.; Ma, J.; Zhai, Z. Working temperature variation effect on the failure envelope of continuous fiber-reinforced composites. Compos. Interfaces 2015, 22, 531–542. [Google Scholar] [CrossRef]
- Tang, Z.; Zhang, B. Prediction of biaxial failure envelopes for composite laminates based on Generalized Method of Cells. Compos. B Eng. 2012, 43, 914–925. [Google Scholar] [CrossRef]







© 2017 by the authors; licensee MDPI, Basel, Switzerland. This article is an open access article distributed under the terms and conditions of the Creative Commons Attribution (CC BY) license (http://creativecommons.org/licenses/by/4.0/).
Share and Cite
Ye, J.; Chu, C.; Zhai, Z.; Wang, Y.; Shi, B.; Qiu, Y. The Interphase Influences on the Particle-Reinforced Composites with Periodic Particle Configuration. Appl. Sci. 2017, 7, 102. https://doi.org/10.3390/app7010102
Ye J, Chu C, Zhai Z, Wang Y, Shi B, Qiu Y. The Interphase Influences on the Particle-Reinforced Composites with Periodic Particle Configuration. Applied Sciences. 2017; 7(1):102. https://doi.org/10.3390/app7010102
Chicago/Turabian StyleYe, Junjie, Chenchen Chu, Zhi Zhai, Yongkun Wang, Baoquan Shi, and Yuanying Qiu. 2017. "The Interphase Influences on the Particle-Reinforced Composites with Periodic Particle Configuration" Applied Sciences 7, no. 1: 102. https://doi.org/10.3390/app7010102
APA StyleYe, J., Chu, C., Zhai, Z., Wang, Y., Shi, B., & Qiu, Y. (2017). The Interphase Influences on the Particle-Reinforced Composites with Periodic Particle Configuration. Applied Sciences, 7(1), 102. https://doi.org/10.3390/app7010102
