Numerical Descriptions of Hot Flow Behaviors across β Transus for as-Forged Ti–10V–2Fe–3Al Alloy by LHS-SVR and GA-SVR and Improvement in Forming Simulation Accuracy
Abstract
:1. Introduction
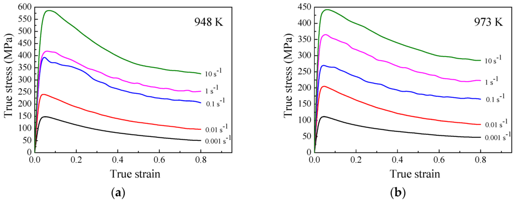
2. Acquisition of Experimental Stress-Strain Data
3. Development of Support Vector Regression for the Hot Flow Behaviors of as-Forged Ti–10V–2Fe–3Al Alloy
3.1. The Basic Principles of SVR
3.2. The Influence of Parameters Selection on the Performance of SVR
- (1)
- Penalty factor C
- (2)
- The parameter of the basis kernel function (RBF)
- (3)
- The non-sensitive loss function
3.3. The Prediction Model of Flow Behaviors Based on SVR and Latin Hypercube Sampling
3.3.1. The Basic Principles of LHS
3.3.2. The Establishment of the Prediction Model LHS-SVR for the Flow Behaviors
- Step 1
- Determine the searching sampling space and sample size . The domain of definition of was uniformly divided into intervals. Then, the n-dimension space was divided into hypercubes. Generate an matrix, and each column of the matrix is a random permutation of {1, 2, 3, ..., }. Each row of the matrix represents a selected hypercube. The central points of all selected hypercubes are the sampling points.
- Step 2
- The MSE-values of all sample points were calculated by the cross-validation method.
- Step 3
- Search the optimal parameter combination.
- Step 4
- Reset the searching sampling space; increase the searching sample size.
- Step 5
- Search the optimal parameter combination again.
- Step 6
- Output the optimal parameter combination.
3.4. The Prediction Model of Flow Behaviors Based on SVR and Genetic Algorithm
3.4.1. The Basic Principles of GA
3.4.2. The Establishment of Prediction Model GA-SVR for the Flow Behaviors
- Step 1
- Initialize the population of the GA-SVR. The parameters C, and were encoded to chromosomes of individuals. The population number was set as 20. The search space was preset in the intervals: .
- Step 2
- The fitness values of all individuals were calculated by the fitness function expressed as Equation (7).
- Step 3
- The population was renewed by the operators of selection, crossover and mutation. The crossover probability PC-value is usually set in the range of 0.6–0.9. A larger PC will rapidly generate new chromosomes in populations; nevertheless, it will increase the risk of premature convergence and lose excellent gene structure. A smaller PC will slow down the genetic evolution process. Here, the PC-value was set as 0.75. The mutation operator determines the local searching ability of GA-SVR, so it should be set as a smaller value. Here, the Pm-value was set as 0.02. The cross-validation method was adopted to estimate the precision of GA-SVR.
- Step 4
- Stop criterion: The process of the GA-SVR was stopped when the iteration times achieve the predetermined times. Otherwise, the cyclic process as shown in Figure 6 will continuously proceed. Here, the iteration time was set as 50. The best individual in the last population was outputted as an approximate optimal solution. Additionally, then, the best individual was decoded into the parameter combination.
4. Comparisons of the Mathematical Regression Model, ANN, LHS-SVR and GA-SVR of as-Forged Ti–10V–2Fe–3Al Alloy
4.1. The Existing Mathematical Regression Model and ANN of as-Forged Ti–10V–2Fe–3Al Alloy
4.2. Comparisons of Study Abilities of the ANN, LHS-SVR and GA-SVR
4.3. Comparisons of the Generalization Abilities of the Mathematical Regression Model, ANN, LHS-SVR and GA-SVR
4.4. Comparisons of the Modelling Efficiencies of the Mathematical Regression Model, ANN, LHS-SVR and GA-SVR
5. Applications of LHS-SVR in Material Computations
6. Conclusions
- (1)
- The study ability and generalization ability of SVR rely on the three parameters C, and , especially the mutual impacts among them. An SVR with appropriate parameters C, and will accurately study the stress-strain curves and appropriately ignore some singular points of stress-strain data to accord with the overall trend of the stress-strain curves.
- (2)
- The R-value and AARE-value between the training samples and fitted values of LHS-SVR and GA-SVR are 0.999997 and 0.0599255% and 0.999961 and 0.379903%, respectively, which show that LHS-SVR and GA-SVR can accurately learn the hot flow behaviors that accompany WH, DRV and DRX in wide temperature and strain rate intervals. The study abilities of these models were shown as follows in ascending order: ANN < GA-SVR < LHS-SVR.
- (3)
- After the comparisons of the generalization abilities of these models at the strain of 0.5, LHS-SVR and GA-SVR have larger R-values and lower AARE-values of 0.999975 and 0.074450% and 0.999923 and 0.529599%, respectively, which indicate that LHS-SVR and GA-SVR can accurately predict the highly non-linear flow behaviors. The generalization abilities of these models were shown as follows in ascending order: the mathematical regression model < ANN < GA-SVR < LHS-SVR.
- (4)
- The intelligence algorithm LHS-SVR can automatically calculate the parameter combinations in the search space to find the optimal value, which improves the computational efficiency compared to the mathematical regression model and ANN. Based on the selection, crossover and mutation operators, the GA-SVR can self-adaptively and dynamically search the optimal parameter combination, which greatly improves the computational efficiency compared to LHS-SVR. The modeling efficiencies of these models were shown as follows in ascending order: the mathematical regression model < ANN < LHS-SVR < GA-SVR.
- (5)
- Hot flow behaviors of materials at different conditions (such as different strain rates and temperatures) are highly non-linear and complicated; therefore, calculating stresses by interpolation means in finite element software is inaccurate. The flow behaviors outside experimental conditions were predicted by the well-trained LHS-SVR, which enhance the simulation precision of the load-stroke curve and can further improve the related research fields where stress-strain data play important roles, such as improving the accuracy of finite element simulation results and improving processing maps.
Acknowledgments
Author Contributions
Conflicts of Interest
References
- Li, L.; Ye, B.; Liu, S.; Hu, S.; Li, B. Inverse analysis of the stress–strain curve to determine the materials models of work hardening and dynamic recovery. Mater. Sci. Eng. A 2015, 636, 243–248. [Google Scholar] [CrossRef]
- Quan, G.-Z.; Li, G.-S.; Chen, T.; Wang, Y.-X.; Zhang, Y.-W.; Zhou, J. Dynamic recrystallization kinetics of 42CrMo steel during compression at different temperatures and strain rates. Mater. Sci. Eng. A 2011, 528, 4643–4651. [Google Scholar] [CrossRef]
- Quan, G.-Z.; Wang, Y.; Yu, C.-T.; Zhou, J. Hot workability characteristics of as-cast titanium alloy Ti–6Al–2Zr–1Mo–1V: A study using processing map. Mater. Sci. Eng. A 2013, 564, 46–56. [Google Scholar] [CrossRef]
- Lin, Y.C.; Li, Q.-F.; Xia, Y.-C.; Li, L.-T. A phenomenological constitutive model for high temperature flow stress prediction of Al–Cu–Mg alloy. Mater. Sci. Eng. A 2012, 534, 654–662. [Google Scholar] [CrossRef]
- Li, H.-Y.; Hu, J.-D.; Wei, D.-D.; Wang, X.-F.; Li, Y.-H. Artificial neural network and constitutive equations to predict the hot deformation behavior of modified 2.25Cr–1Mo steel. Mater. Des. 2012, 42, 192–197. [Google Scholar] [CrossRef]
- Quan, G.-Z.; Lv, W.-Q.; Mao, Y.-P.; Zhang, Y.-W.; Zhou, J. Prediction of flow stress in a wide temperature range involving phase transformation for as-cast Ti–6Al–2Zr–1Mo–1V alloy by artificial neural network. Mater. Des. 2013, 50, 51–61. [Google Scholar] [CrossRef]
- Jh, H. The effect heat treatment and carbon content on the work hardening characteristics of several steels. Trans. ASM 1944, 32, 123–133. [Google Scholar]
- Guan, Z.; Ren, M.; Zhao, P.; Ma, P.; Wang, Q. Constitutive equations with varying parameters for superplastic flow behavior of Al–Zn–Mg–Zr alloy. Mater. Des. 2014, 54, 906–913. [Google Scholar] [CrossRef]
- Fan, X.G.; Yang, H.; Gao, P.F. Prediction of constitutive behavior and microstructure evolution in hot deformation of Ta15 titanium alloy. Mater. Des. 2013, 51, 34–42. [Google Scholar] [CrossRef]
- Sadough Vanini, S.A. Investigation of strain rate and temperature effects on mechanical behavior of functionally graded steels (FGSs) under hot compression. Int. J. Phys. Sci. 2012, 7, 5230–5238. [Google Scholar] [CrossRef]
- Voyiadjis, G.Z.; Abed, F.H. Microstructural based models for bcc and fcc metals with temperature and strain rate dependency. Mech. Mater. 2005, 37, 355–378. [Google Scholar] [CrossRef]
- Peng, W.; Zeng, W.; Wang, Q.; Yu, H. Comparative study on constitutive relationship of as-cast Ti60 titanium alloy during hot deformation based on arrhenius-type and artificial neural network models. Mater. Des. 2013, 51, 95–104. [Google Scholar] [CrossRef]
- Xiao, J.; Li, D.S.; Li, X.Q.; Deng, T.S. Constitutive modeling and microstructure change of Ti–6Al–4V during the hot tensile deformation. J. Alloy. Compd. 2012, 541, 346–352. [Google Scholar] [CrossRef]
- Sajadifar, S.V.; Yapici, G.G. Workability characteristics and mechanical behavior modeling of severely deformed pure titanium at high temperatures. Mater. Des. 2014, 53, 749–757. [Google Scholar] [CrossRef]
- Kotkunde, N.; Deole, A.D.; Gupta, A.K.; Singh, S.K. Comparative study of constitutive modeling for Ti–6Al–4V alloy at low strain rates and elevated temperatures. Mater. Des. 2014, 55, 999–1005. [Google Scholar] [CrossRef]
- Akbari, Z.; Mirzadeh, H.; Cabrera, J.-M. A simple constitutive model for predicting flow stress of medium carbon microalloyed steel during hot deformation. Mater. Des. 2015, 77, 126–131. [Google Scholar] [CrossRef]
- Liu, J.; Zeng, W.; Lai, Y.; Jia, Z. Constitutive model of Ti17 titanium alloy with lamellar-type initial microstructure during hot deformation based on orthogonal analysis. Mater. Sci. Eng. A 2014, 597, 387–394. [Google Scholar] [CrossRef]
- Quan, G.-Z.; Zhang, Z.-H.; Pan, J.; Xia, Y.-F. Modelling the hot flow behaviors of AZ80 alloy by BP-ANN and the applications in accuracy improvement of computations. Mater. Res. 2015, 18, 1331–1345. [Google Scholar] [CrossRef]
- Haghdadi, N.; Zarei-Hanzaki, A.; Khalesian, A.R.; Abedi, H.R. Artificial neural network modeling to predict the hot deformation behavior of an A356 aluminum alloy. Mater. Des. 2013, 49, 386–391. [Google Scholar] [CrossRef]
- Quan, G.-Z.; Zou, Z.-Y.; Wen, H.-R.; Pu, S.-A.; Lv, W.-Q. A characterization of hot flow behaviors involving different softening mechanisms by ANN for as-forged Ti–10V–2Fe–3Al alloy. High. Temp. Mater. Process. 2015, 34, 651–665. [Google Scholar]
- Wang, H.; Li, E.; Li, G.Y. The least square support vector regression coupled with parallel sampling scheme metamodeling technique and application in sheet forming optimization. Mater. Des. 2009, 30, 1468–1479. [Google Scholar] [CrossRef]
- Lou, Y.; Ke, C.; Li, L. Accurately predicting high temperature flow stress of AZ80 magnesium alloy with particle swarm optimization-based support vector regression. Appl. Math. Inf. Sci. 2013, 7, 1093–1102. [Google Scholar] [CrossRef]
- Desu, R.K.; Guntuku, S.C.; Aditya, B.; Gupta, A.K. Support vector regression based flow stress prediction in austenitic stainless steel 304. Procedia Mater. Sci. 2014, 6, 368–375. [Google Scholar] [CrossRef]
- Stein, M. Large sample properties of simulations using latin hypercube sampling. Technometrics 1987, 29, 143–151. [Google Scholar] [CrossRef]
- Sakai, T.; Belyakov, A.; Kaibyshev, R.; Miura, H.; Jonas, J.J. Dynamic and post-dynamic recrystallization under hot, cold and severe plastic deformation conditions. Prog. Mater. Sci. 2014, 60, 130–207. [Google Scholar] [CrossRef]
- Quan, G.-Z.; Kang, B.-S.; Ku, T.-W.; Song, W.-J. Identification for the optimal working parameters of Al–Zn–Mg–Cu alloy with the processing maps based on dmm. Int. J. Adv. Manuf. Technol. 2011, 56, 1069–1078. [Google Scholar] [CrossRef]
- Keerthi, S.S.; Lin, C.-J. Asymptotic behaviors of support vector machines with gaussian kernel. Neural Comput. 2003, 15, 1667–1689. [Google Scholar] [CrossRef] [PubMed]
- Chai, R.-X.; Guo, C.; Yu, L. Two flowing stress models for hot deformation of XC45 steel at high temperature. Mater. Sci. Eng. A 2012, 534, 101–110. [Google Scholar] [CrossRef]

















| R-Value | AARE-Value | ||||
|---|---|---|---|---|---|
| ANN | LHS-SVR | GA-SVR | ANN | LHS-SVR | GA-SVR |
| 0.9999 | 0.999997 | 0.999961 | 0.402% | 0.0599255% | 0.379903% |
| Model | R-Value | AARE-Value | |||||||
|---|---|---|---|---|---|---|---|---|---|
| Phase | Regression Model | ANN | LHS-SVR | GA-SVR | Regression Model | ANN | LHS-SVR | GA-SVR | |
| - | 0.99981 | 0.999962 | 0.999889 | - | 0.576% | 0.090345% | 0.510988% | ||
| - | 0.99984 | 0.999964 | 0.999898 | - | 0.691% | 0.186643% | 0.669569% | ||
| Strain of 0.5 | 0.9902 | 0.9998 | 0.999975 | 0.999923 | 6.583% | 0.572% | 0.074450% | 0.529599% | |
| Model | Mathematical Regression Model | ANN | LHS-SVR | GA-SVR |
|---|---|---|---|---|
| The time in modelling an accurate model | More than 180 min | More than 60 min | About 20 min | About 10 min |
© 2016 by the authors; licensee MDPI, Basel, Switzerland. This article is an open access article distributed under the terms and conditions of the Creative Commons Attribution (CC-BY) license (http://creativecommons.org/licenses/by/4.0/).
Share and Cite
Quan, G.-Z.; Zhang, Z.-H.; Zhang, L.; Liu, Q. Numerical Descriptions of Hot Flow Behaviors across β Transus for as-Forged Ti–10V–2Fe–3Al Alloy by LHS-SVR and GA-SVR and Improvement in Forming Simulation Accuracy. Appl. Sci. 2016, 6, 210. https://doi.org/10.3390/app6080210
Quan G-Z, Zhang Z-H, Zhang L, Liu Q. Numerical Descriptions of Hot Flow Behaviors across β Transus for as-Forged Ti–10V–2Fe–3Al Alloy by LHS-SVR and GA-SVR and Improvement in Forming Simulation Accuracy. Applied Sciences. 2016; 6(8):210. https://doi.org/10.3390/app6080210
Chicago/Turabian StyleQuan, Guo-Zheng, Zhi-Hua Zhang, Le Zhang, and Qing Liu. 2016. "Numerical Descriptions of Hot Flow Behaviors across β Transus for as-Forged Ti–10V–2Fe–3Al Alloy by LHS-SVR and GA-SVR and Improvement in Forming Simulation Accuracy" Applied Sciences 6, no. 8: 210. https://doi.org/10.3390/app6080210
APA StyleQuan, G.-Z., Zhang, Z.-H., Zhang, L., & Liu, Q. (2016). Numerical Descriptions of Hot Flow Behaviors across β Transus for as-Forged Ti–10V–2Fe–3Al Alloy by LHS-SVR and GA-SVR and Improvement in Forming Simulation Accuracy. Applied Sciences, 6(8), 210. https://doi.org/10.3390/app6080210
