Multidisciplinary Design Optimization of a Swash-Plate Axial Piston Pump
Abstract
:1. Introduction
2. Working Principle of the Pump
2.1. Motion Analysis
2.2. Flow Analysis
3. Integrated Hydraulic-Mechanical Modeling and Co-Simulation
3.1. Hydraulic-Mechanical Coupling Analysis
3.2. Integrated Modeling
3.3. Co-Simulation
4. Multidisciplinary Design Optimization (MDO) of the Pump
4.1. MDO Procedure
4.2. Integrated Optimization
5. Numerical Simulation of Flow Field for the Optimized Pump
6. Experiment
6.1. Experimental Setup
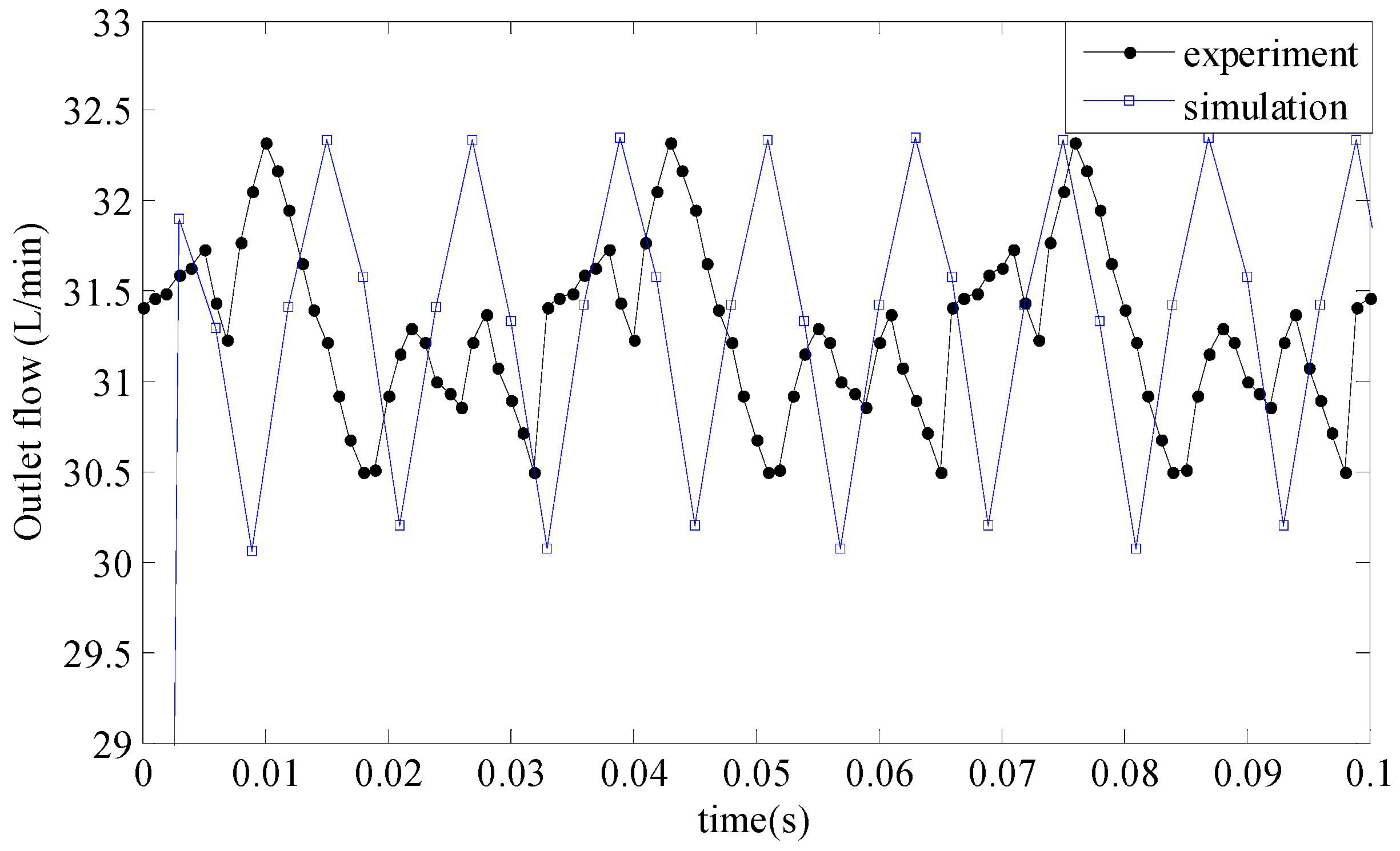
6.2. Results and Discussion
7. Conclusions
- (1)
 - The co-simulation system for the pump is established, and a hydraulic-mechanical coupling analysis is realized. The hydraulic-mechanical coupling model is integrated to form a design optimization framework. The MDO procedure is employed to optimize the pump.
 - (2)
 - Through the integration and optimization, the flow ripple rates under six load conditions are improved. The maximum reducing rate is 25% in load conditions of 40 MPa, and the minimum reducing rate is 14.5% in load condition of 20 MPa.
 - (3)
 - CFD simulation and experimental results show that the distribution of pressure is more uniform in flow field after optimization, which shows that the hydrodynamic shock of piston pump is obviously improved by optimization. It is indicated that the MDO procedure is effective and feasible in the design process for a piston pump.
 
Acknowledgments
Author Contributions
Conflicts of Interest
References
- Montazeri, M.J.; Ebrahimi, R. Multidisciplinary optimization of a pump–fed system in a cryogenic LPE using a systematic approach based on genetic algorithm. Aerosp. Sci. Technol. 2016, 49, 185–196. [Google Scholar] [CrossRef]
 - Cho, I.S.; Jung, J.Y. A study on the pressure ripple characteristics in a bent-axis type oil hydraulic piston pump. J. Mech. Sci. Technol. 2013, 27, 3713–3719. [Google Scholar] [CrossRef]
 - Mikami, A.; Imoto, K.; Tanabe, T.; Niidome, T.; Mori, Y.; Takeshima, H.; Narumiya, S.; Numa, S. Geometric and kinematic modeling of a variable displacement hydraulic bent-axis piston pump. J. Comput. Nonlinear Dyn. 2010, 5, 2040–2049. [Google Scholar]
 - Vasiliu, N.; Costin, I.; Călinoiu, C.; Vasiliu, D.; Bontos, M.D. Designing the Controller of a Servo Valve by Simulation. Stud. Inform. Control 2016, 25, 51–58. [Google Scholar]
 - Wachutka, G. Coupled-field modeling of microdevices and microsystems. In Proceedings of the International Conference on Simulation of Semiconductor Processes and Devices, Kobe, Japan, 4–6 September 2002; pp. 9–14.
 - Kim, J.H.; Jeon, C.S.; Hong, Y.S. Constant pressure control of a swash plate type axial piston pump by varying both volumetric displacement and shaft speed. Int. J. Precis. Eng. Manuf. 2015, 16, 2395–2401. [Google Scholar] [CrossRef]
 - Xu, B.; Lee, K.M.; Song, Y.; Wang, Q.; Yang, H. A numerical and experimental investigation of parametric effect on flow ripple. Proc. Inst. Mech. Eng. Part C J. Mech. Eng. Sci. 2015, 229, 1989–1996. [Google Scholar] [CrossRef]
 - Lee, J.K.; Jung, J.K.; Chai, J.B.; Jin, W.L. Mathematical modeling of reciprocating pump. J. Mech. Sci. Technol. 2015, 29, 3141–3151. [Google Scholar] [CrossRef]
 - Cho, I.S. A study on the optimum design for the valve plate of a swash plate-type oil hydraulic piston pump. J. Mech. Sci. Technol. 2015, 29, 2409–2413. [Google Scholar] [CrossRef]
 - Mandal, N.P.; Saha, R.; Mookherjee, S.; Sanyal, D. Pressure compensator design for a swash plate axial piston pump. J. Dyn. Syst. Meas. Control 2013, 136, 167–175. [Google Scholar] [CrossRef]
 - Bae, J.H.; Chung, W.J.; Kim, S.B.; Jang, J.H. A study on pressure and flow pulsation of swash plate type variable piston pump through analysis of pulsation variables and valve plate notch design for automation of hydraulic system. In Proceedings of the IEEE International Conference on Mechatronics and Automation, Tianjin, China, 3–6 August 2014; pp. 418–423.
 - Xue, G.S.; Lin, W.; Baek, S.H.; Park, Y.C. Multidisciplinary optimization of a butterfly valve. ISA Trans. 2009, 48, 370–377. [Google Scholar]
 - Zhao, B.J.; Qiu, J.; Zhao, Y.F.; Zhang, C.H.; Chen, H.L. Multi-objective and multidisciplinary optimization of double-channel pump. Trans. Chin. Soc. Agric. Mach. 2015, 46, 96–101. [Google Scholar]
 - Shi, L.J.; Tang, F.P.; Xie, R.S.; Qi, L.L.; Yang, Z.D. Design of axial flow pump modification and its effect based on CFD calculation. Nongye Gongcheng Xuebao/Trans. Chin. Soc. Agric. Eng. 2015, 31, 97–102. [Google Scholar]
 - He, Y.; Mcphee, J. Multidisciplinary design optimization of mechatronic vehicles with active suspensions. J. Sound Vib. 2005, 283, 217–241. [Google Scholar] [CrossRef]
 - Jang, D.H.; Lee, S.K.; Kwon, J.H.; Park, S.H. A study on pressure, flow fluctuation and noise in the cylinder of swash plate type axial piston pump. Trans. Korea Fluid Power Syst. Soc. 2009, 6, 1–9. [Google Scholar]
 - Choudhuri, K.; Chakraborty, S.; Chakraborti, P.; Dutta, P. Stress analysis and design optimization of piston, slipper assembly in an axial piston pump. J. Sci. Ind. Res. 2014, 73, 318–323. [Google Scholar]
 - Ma, J.E.; Xu, B.; Zhang, B.; Yang, H.Y. Flow ripple of axial piston pump with computational fluid dynamic simulation using compressible hydraulic oil. Chin. J. Mech. Eng. 2010, 23, 45–52. [Google Scholar] [CrossRef]
 - Xu, B.; Hu, M.; Zhang, J. Impact of typical steady-state conditions and transient conditions on flow ripple and its test accuracy for axial piston pump. Chin. J. Mech. Eng. 2015, 28, 1012–1022. [Google Scholar] [CrossRef]
 - Singh, R.R.; Nataraj, M. Analysis and optimization of pump performance variables using genetic algorithm and taguchi quality concept: A case study. Parasitol. Res. 2016, 115, 1529–1536. [Google Scholar]
 - Kim, J.; Yoon, G.H.; Noh, J.; Lee, J.; Kim, K.; Park, H.; Hwang, Y.; Lee, Y. Development of optimal diaphragm-based pulsation damper structure for high-pressure GDI pump systems through design of experiments. Mechatronics 2013, 23, 369–380. [Google Scholar] [CrossRef]
 - Mao, Y.; Zeng, L.; Lu, Y. Modeling and optimization of cavitation on a textured cylinder surface coupled with the wedge effect. Tribol. Int. 2016, 104, 212–224. [Google Scholar] [CrossRef]
 - Wang, G.R.; Chu, F.; Tao, S.Y.; Jiang, L.; Zhu, H. Optimization design for throttle valve of managed pressure drilling based on CFD erosion simulation and response surface methodology. Wear 2015, 338–339, 114–121. [Google Scholar] [CrossRef]
 

















| Parameter | Value | 
|---|---|
| Piston’s diameter | 14.5 mm | 
| Radial clearance of piston | 0.02 mm | 
| Working pressure | 30 MPa | 
| Swash-plate angle | 12.5° | 
| Radius of pistons distribution circle | 29 mm | 
| Spindle speed | 1500 r/min | 
| Design Variables | Description | Constraints | 
|---|---|---|
| Wrap angle of piston chamber (°) | ||
| Equivalent diameter of suction port (mm) | ||
| Equivalent diameter of delivery port (mm) | ||
| Wrap angle of silencing groove in inlet zone (°) | ||
| Wrap angle of silencing groove in outlet zone (°) | ||
| Opening degree of silencing groove in inlet zone | ||
| Opening degree of silencing groove in outlet zone | 
| Parameter | Value | 
|---|---|
| Density () | 889 | 
| Viscosity () | 0.048 | 
| Thermal conductivity () | 0.0264 | 
| Specific heat () | 1006 | 
© 2016 by the authors; licensee MDPI, Basel, Switzerland. This article is an open access article distributed under the terms and conditions of the Creative Commons Attribution (CC-BY) license (http://creativecommons.org/licenses/by/4.0/).
Share and Cite
Liu, G.; Zhou, Z.; Qian, X.; Wu, X.; Pang, W. Multidisciplinary Design Optimization of a Swash-Plate Axial Piston Pump. Appl. Sci. 2016, 6, 399. https://doi.org/10.3390/app6120399
Liu G, Zhou Z, Qian X, Wu X, Pang W. Multidisciplinary Design Optimization of a Swash-Plate Axial Piston Pump. Applied Sciences. 2016; 6(12):399. https://doi.org/10.3390/app6120399
Chicago/Turabian StyleLiu, Guangjun, Zhaocheng Zhou, Xin Qian, Xiaofeng Wu, and Weihai Pang. 2016. "Multidisciplinary Design Optimization of a Swash-Plate Axial Piston Pump" Applied Sciences 6, no. 12: 399. https://doi.org/10.3390/app6120399
APA StyleLiu, G., Zhou, Z., Qian, X., Wu, X., & Pang, W. (2016). Multidisciplinary Design Optimization of a Swash-Plate Axial Piston Pump. Applied Sciences, 6(12), 399. https://doi.org/10.3390/app6120399
        
                                                