Abstract
Silicon-[18F]fluorine (Si-18F) radiochemistry has recently emerged alongside other unconventional approaches such as aluminum-18F and boron-18F based labeling strategies, reshaping the landscape of modern 18F-radiochemistry. All these novel methodologies are driven by the demand for more convenient 18F-labeling procedures to further disseminate one of the most sophisticated imaging technologies, Positron Emission Tomography (PET). The PET methodology requires special radionuclides such as 18F (one of the most prominent examples) to be introduced into bioactive molecules. Si-18F radiochemistry contributed greatly towards the development of new radiopharmaceuticals for PET imaging. Herein, we describe the radiochemical basics of Si-18F bond formation, the application of Si-18F tracers for PET imaging, and additionally, the inherent chemical intricacies of this methodology.
1. Introduction: Fluorine-18, an Important Nuclide for PET Imaging
PET can be considered as one of the major advances in modern imaging technologies [1]. The method itself relies on the use of positron-emitting radionuclides which decay by positron emission (β+ emission). These PET radionuclides are proton rich, unstable and lose energy by the conversion of a proton into a neutron, an electron neutrino and a positron (β+).
Figure 1.
A β+ emitting radionuclide (e.g., fluorine-18) is attached to a biomolecule. After the β+ particle is emitted, it travels within the tissue, depending on its β+ energy. After coming to rest, the β+ forms a hydrogen atom-like system (with a positron instead of a proton center) with an electron from the surrounding environment and finally disintegrates under emission of two diametrically opposed gamma rays of 511 keV. These photons can be detected in “coincidence” (meaning at the same time within a certain time frame) and used for reconstruction of a 3D image of the radioactive decay and thus tracer accumulation.
Figure 1.
A β+ emitting radionuclide (e.g., fluorine-18) is attached to a biomolecule. After the β+ particle is emitted, it travels within the tissue, depending on its β+ energy. After coming to rest, the β+ forms a hydrogen atom-like system (with a positron instead of a proton center) with an electron from the surrounding environment and finally disintegrates under emission of two diametrically opposed gamma rays of 511 keV. These photons can be detected in “coincidence” (meaning at the same time within a certain time frame) and used for reconstruction of a 3D image of the radioactive decay and thus tracer accumulation.

A positron is the antimatter counterpart of an electron and it can annihilate with an electron of the environment under full conversion of the positron-electron masses into energy. The conversion energy which is equivalent to 2 electron masses (a positron weighs the same as an electron) is 1,022 keV. As a result of the conservation of energy and momentum at annihilation, two gamma rays of 511 keV are emitted in an angle of 180° which are capable of penetrating most materials, including living tissue (Figure 1). These can be detected simultaneously by two radioactivity detectors outside of the object/subject within a certain time window. A PET camera consists of a multitude of such detectors (usually bismuth germanium oxide (BGO) crystal detectors) arranged in a circular shape stretching over many layers and a subject (e.g., a human) can be placed inside that cavity. A computer system hooked up to these detectors registers coincidence detection of two gamma rays between two independent detectors at a time. In the end, after processing many of those events and subsequent data reconstructions, a 3D image of the object is obtained. The PET technique has been proven very useful in the detection of cancer, cardiovascular disease, metabolic disorders and for imaging of certain structures in the human brain as receptors or proteins which are associated with known afflictions, such as Parkinson's and Alzheimer's disease. One of the most useful radionuclides for PET imaging is 18F. With a half-life of 109 min and low positron energy of 640 keV, 18F can yield PET images of high resolution when PET scanners of the newest generation are used. In order to take advantage of the favorable physical characteristics of 18F, methods have to be found to stably introduce 18F into any useful molecule serving a biological purpose such as binding to a specific brain receptor or accumulating in tumor tissue. Until recently, 18F was only incorporated into organic compounds by electrophilic or nucleophilic reactions resulting in the formation of a carbon-18F bond [2,3,4]. The problem is that both electrophilic (e.g., using [18F]F2) and nucleophilic (using [18F]F−) reactions are not 100% specific and other radioactive products besides those intended are formed. This necessitates usually an extensive purification of the 18F-tracer molecule by means of High Performance Liquid Chromatography (HPLC) and subsequent solid phase cartridge extraction, the former being a rather time consuming and costly process. Furthermore, the synthesis of 18F-tracers for PET imaging requires a fully equipped radiochemistry unit, including a cyclotron in a reasonable distance which produces the 18F by bombarding H218O enriched water with protons, initiating a nuclear reaction converting the 18O atom into a 18F atom (18O(p,n)18F). However, this is only the first step in a long chain of procedures and reactions finally yielding the 18F-labeled radiotracer. The actual radiochemistry is the most involved process and there is a demand for easier and less skill-demanding methods to introduce 18F into organic compounds to disseminate the usage of PET in medicine and life science. A breakthrough would be the finding of labeling procedures which closely resemble the kit-like production of SPECT (Single Photon Emission Computed Tomography) radiopharmaceuticals. SPECT imaging remains the dominating imaging modality in nuclear medicine for diagnostic purposes, as the synthesis of the SPECT tracers is easy and requires only minimal technical skills and equipment. Although PET has many advantages over SPECT, it still suffers from its complicated infrastructural requirements and its difficulties to produce the required imaging agents. The main aim of modern 18F-radiochemistry should therefore focus on more reliable and standardized synthetic methods to introduce 18F into biomolecules like peptides and proteins, as these are increasingly screened as promising PET imaging agents. One-step labeling procedures of these complex compounds would be preferable and the purification of the final imaging agent should be possible without HPLC. The advent of novel 18F-labeling methods has just begun. The introduction of Si-18F [5,6,7], B-18F [5,6] and Al-18F [8,9,10,11,12] radiochemistry has set the foundation for the development of novel radiotracers and has the potential to reshape the landscape of 18F-radiochemistry if some hurdles can be overcome in time. This review article deals primarily with Si-18F radiochemistry and the interested reader is advised to further consult various excellent review articles on 18F-radiochemistry [13,14,15,16,17,18] and original publications about B-18F and Al-18F chemistry.
2. Basics of Silicon-18F Radiochemistry
Up until recently, only sporadic attempts to bind 18F to a different atom other than carbon have been reported in the literature. One reason might be that for many years, mainly small radiolabeled compounds were in the focus of 18F labeling chemistry for PET imaging. Those small compounds are most of the time not amenable to heteroatomic modifications because of their sensitive nature and their very specific structure-related target binding. Only a few years ago, radiochemists started to use 18F to label even complex molecules, such as peptides and proteins. Even today, the 18F labeling of these compounds of high molecular weight is challenging, and requires elaborate pathways to introduce the radionuclide. Direct labeling approaches for peptides based on C-18F bond formation are rare and not universally applicable. Thus, so-called prosthetic labeling sythons, already bearing the 18F atom (attached to a carbon), have to be employed which is even more important in the case of proteins, bearing a multitude of different functional groups. It seems that C-18F radiochemistry has reached its limits and alternative strategies have to be found to advance the field further in terms of convenience, applicability and reliability. The use of Si-F bond formation in radiochemistry dates back to 1958 [19] and a few more papers on that subject have been published before the first in vivo application was reported [20,21,22].
At first glance, the use of silicon for binding 18F appears not to be a promising choice. Despite the fact that the bond energy of the Si-F bond is ca. 90 kJ higher than that of the C-F bond (570 kJ·mol−1vs. 480 kJ·mol−1), the kinetic stability of the Si-F bond against hydrolysis is very low due to strong bond polarization. This is an apparent obstacle for the use of Si-18F bearing compounds as potential tracer probes for PET, since under physiological conditions present in the blood, the Si-18F bond would undergo immediate hydrolysis, resulting in the detachment of the 18F from the biomolecule. This was proved to be true in 1985 by Rosenthal and co-workers [23], who labeled a simple compound like chlorotrimethylsilane with anionic 18F− in good radiochemical yields of 65% in one step. The resulting [18F]fluorotrimethylsilane is a volatile compound which was shown to be quickly taken up in the bloodstream when inhaled by rats. It quickly turned out that the in vivo stability of the Si-18F bond was rather low and the corresponding silanole was more or less formed immediately, resulting in the predominant uptake of 18F− into the bones, forming fluoroapatite. Even back in 1985, the authors already suggested the use of bulkier substituents on the Si atom to shield the Si-F bond from hydrolysis. Interestingly, Gatley described a purification method for 18F− using [18F]fluorotrimethylsilane, exploiting the easy hydrolysis of the Si-18F bond in nearly anhydrous acetonitrile to form highly nucleophilic 18F− a few years later [24]. This is the first example in the literature where highly nucleophilic 18F− was prepared without azeotropic water removal, which was then used in the synthesis of [18F]2-fluoro-2-deoxy-D-glucose (FDG), the most prominent 18F-radiotracer to date [25]. The need of bulky substituents at the Si atom was reiterated later by Walsh et al. [26]. They suggested the use of alkoxy silanes as potential precursor compounds for the 18F-labeling with aqueous HF, actually a reaction already well known to organic chemists for the deprotection of silylated alcohols. The key to prevent fast hydrolysis is the introduction of sterically hindered substituents, a fact which was discovered and proven to be valid almost simultaneously by Blower and co-workers [27] and Schirrmacher and Jurkschat in 2006 [28]. Alkoxysilanes as well as hydroxylsilanes and chlorosilanes readily react with 18F− in excellent to quantitative yields. Some compounds displayed a reasonably high stability towards hydrolysis in neutral and acidic media, but underwent fast hydrolysis under even slightly basic conditions. On closer examination, the requirement for a Si-18F compound to be useful in vivo is not to be stable over a wide range of pH values, but rather at the very slightly basic conditions of pH 7.4 as encountered in vivo. The aim should therefore be to achieve a hydrolytic stability of the Si-18F bond under physiological conditions rather than over a wide pH range. The first two structurally simple model compounds which were injected into animals to investigate the in vivo stability were characterized by bulky substituents such as aryl and tert-butyl groups attached to the Si atom (16 and 17, Figure 5B). The Si-18F compound bearing two aryl and one tert-butyl group, although stable for many hours under neutral or acidic conditions, displayed a rapid loss of the 18F label in vivo. This has been proven by a strong radioactivity signal from the bones. After replacing one of the two aryl groups with a tert-butyl group, the resulting triorganofluorosilane 16, labeled with 18F, showed a remarkable in vivo stability and served as a lead structure to develop this labeling chemistry further for more practical applications. However, it was noticed early that chlorosilanes do not work as building blocks for the 18F-labeling of more complex molecules as a result of their tendency to hydrolyze rapidly. The bioconjugation of chlorosilane synthons to peptides or proteins would fail simply because the chemical processing of any conjugation product entails HPLC and other aqueous workup, inevitably leading to the formation of the corresponding silanole. However, even silanols can serve as 18F-labeling precursors. This has been elegantly demonstrated by Ametamey and co-workers in 2008 and this attractive labeling concept is discussed in depth alongside other appealing leaving groups attached to Si [29]. Historically, before OH, H and alkoxy groups were employed as leaving groups for 18F-labeling, two different labeling strategies for silicon-bearing synthons were developed, both of which are still in heavy use. Perrin's group was the first to describe radioactive tetrafluorosiliconates “ate” salts, being elegantly obtained from their triethoxysilane precursors [5]. Almost parallel to these findings, Schirrmacher and Jurkschat observed that non-radioactive fluorine can be effectively replaced by radioactive 18F− in a simple and convenient isotopic exchange [30].
3. [18F]Tetrafluorosiliconates “Ate” Salts
Perrin and co-workers from TRIUMF convincingly demonstrated that biotinylated (aminopropyl)triethoxysilane (1) reacts quantitatively with aqueous 18F− directly from the target water (target water is 18O enriched water containing 18F-anions) (Figure 2) [5]. In order to target the required stoichiometric silicon to fluoride ratio of 1:4, the experimental labeling setup required the addition of a non-radioactive fluoride source and their experimental conditions are characterized by very low solvent amounts. In a typical labeling experiment, 16 MBq of 18F− in 5 μL buffer together with 3.3–4.4 equivalents of 19F− were used for radiolabeling. This solution was then added to 1 in 5 μL of DMF, MeOH, MeCN, DMSO or water. The group is currently devoted to transfer their seminal findings to true no-carrier-added conditions. This is the first convincing example of nucleophilic 18F− aqueous radiochemistry, giving a stable product in high radiochemical yields. Perrin’s group is also working extensively on the field of boron-18F chemistry which they have impressively advanced over the last few years.
Figure 2.
Radioactive 18F-labeling of 1 yielding the [18F]tetrafluorosiliconate “ate” salt 2 in quantitative yields in aqueous buffered solution.
Figure 2.
Radioactive 18F-labeling of 1 yielding the [18F]tetrafluorosiliconate “ate” salt 2 in quantitative yields in aqueous buffered solution.

4. Silicon-Fluoride-Acceptors (SiFAs): An introduction
Isotopic exchange reactions in 18F-radiochemistry have been deemed an inherently inferior way of labeling and considered only as a last resort if other labeling strategies fail. The reason behind this is the intention to maximize the specific activity of the compound (that is the proportion of radioactive to 18F-labeled plus 19F-bearing compound). Usually, in conventional C-18F radiochemistry, when activated fluoroarenes are subjected to isotopic exchange reactions, specific activities in the low kBq/µmol range are accomplishable, most of the time not high enough to enable an in vivo application. Specific activity is an important issue, since the in vivo target of PET tracers are most often receptors or enzymes, which are present in low amounts only. If the specific activity is too low, the receptors are occupied with non-radioactive ligands leading to a loss of the signal resulting from specific binding, and potentially leading to pharmacologic effects. Normally, the amount of labeling precursor needed for isotopic exchange reactions is in the mmol range (a few mg). Unfortunately, the 19F-labeled molecule cannot be chemically distinguished from the 18F-labeled compound, meaning that both compounds are inseparable. This impediment in classical 18F-C chemistry turns into an advantage in the case of 19F for 18F exchange at the Si atom. In conventional labeling chemistry, the labeling precursor, being chemically different from the labeled product, has to be removed from the reaction mixture prior to the in vivo application. In isotopic exchange reactions however, labeling precursor and labeled compound are identical, which eliminates the need for purification. If a sufficient specific activity can be achieved with isotopic exchange, the overall labeling procedure would be far more convenient, reducing the synthetic effort.
It was found that the fluorosilane tBu2PhSiF (16) could be labeled by isotopic exchange in high radiochemical yields and high specific activities of up to 230 GBq/μmol, using as little as 1 μg of the 19F-fluorosilane in acetonitrile. The purification was exceptionally easy, since the only components in the labeling mixture that had to be removed were un-reacted 18F− (less than 5%), Kryptofix 2.2.2 (a cryptand forming a complex with potassium, the counterion of 18F−, yielding a highly reactive “naked” 18F− anion in dipolar aprotic solvents) and K2CO3. This could be easily achieved by simply purifying the [18F]fluorosilane using a C18 solid phase cartridge. All other components of the labeling reaction mixture pass through the cartridge and are therefore separated from the 18F-product. This surprisingly efficient isotopic exchange reaction was termed SiFA for Silicon-Fluoride-Acceptor. A great variety of SiFA compounds have been synthesized to date (Figure 3), and successfully labeled with 18F. In the current wave of click chemistry, Tietze and Schmuck recently reported on the synthesis of SiFA azide (12) as a new building block for PET imaging using Click Chemistry [31].
Figure 3.
Structures of small molecule SiFA building blocks.
Figure 3.
Structures of small molecule SiFA building blocks.

SiFA compound 3, bearing an aldehyde functionality, displayed a remarkably high rate of isotopic exchange even when high radioactivity amounts of 18F− were used. Up to 3 GBq of 18F− reacted with just 1 μg (3.75 nmol) of 3 within 10 min at room temperature and yielded the [18F]fluorosilane in 97% radiochemical yield (RCY). The calculated specific activity is between 225 and 640 GBq/μmol.
Under regular basic labeling conditions, the active esters could initially not be labeled with 18F− as a result of their tendency to hydrolyze quickly. Very recently, Kostikov and co-workers found a way to circumvent this problem by adding oxalic acid to the labeling cocktail [32]. The N-succinimidyl-3-(di-tert-butyl[18F]fluorosilyl) benzoate ([18F]SiFB), an active ester in the style of the most frequently-used 18F-active ester [18F]SFB, was obtained in high radiochemical yields and used for protein labeling (cf. Section 9). To shed some light on the mechanism and unanticipated efficiency of the isotopic exchange, Density Functional Theory (DFT) calculations were performed on three model fluorosilanes in the gas phase as well as in acetonitrile as a solvent.
The Gibbs free energies calculated in the gas phase and acetonitrile were −50 to −40 kcal/mol and +5 to 10 kcal/mol in acetonitrile, respectively. The fluoride ion in acetonitrile exhibits a drastically reduced basicity which accounts for the large difference in Gibbs energies in the gas and solution phases. The formation of the pentacoordinate siliconate is therefore less favored and results in a very fast isotopic exchange, as observed experimentally. In a follow-up study from 2011, it was shown that the activation energy (AE) of the isotopic exchange in acetonitrile is 15.7 kcal/mol [32]. This data was acquired from an Arrhenius plot of ln k against 1/T within a temperature range of −20 °C to 0 °C. Comparing these 15.7 kcal/mol to the AE of the simple carbon-18F formation (e.g., the synthesis of 2-[18F]fluoroethyl tosylate), which was just 1.3 kcal/mol higher, it became apparent that the 4 times larger pre-exponential factor of the isotopic exchange is responsible for the faster rate constant. Even at very low temperatures, the isotopic exchange was very fast and yielded the radioactive SiFA in high yields.
5. The synthesis of SiFAs
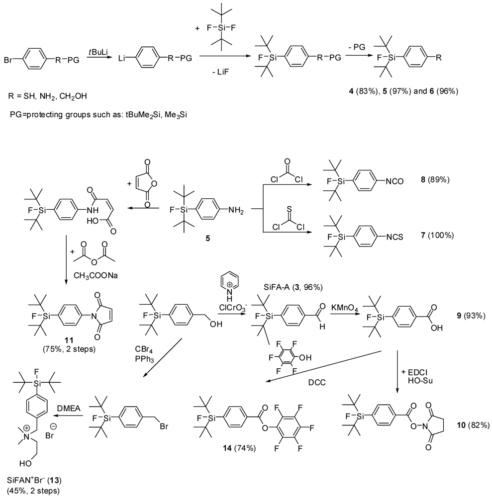
Jurkschat and his group developed the vast majority of the already described SiFA compounds, with the exception of a most recently described SiFA building block bearing a positive charge. Since the Si-F bond is very stable, the synthesis and purification of all fluorosilanes is straightforward and very convenient. The synthesis of most triorganofluorosilanes follows the scheme below (Figure 4).
Figure 4.
Syntheses of various small SiFA building blocks intended for bioconjugation.
Figure 4.
Syntheses of various small SiFA building blocks intended for bioconjugation.

First, silyl-protected functionalized p-bromobenzenes are reacted with tert-butyllithium and subsequently di-tert-butyldifluorosilane at −78 °C. The product tri-organofluorosilanes (4–6) are obtained after final silyl-protecting group removal, releasing the respective functional group that can be further derivatized or used for bioconjugation reactions. In addition to relatively stable -SH, -NH2, -COOH and -CH2OH groups in para position to the Si atom, compounds comprising sensitive and highly reactive functional groups such as -CHO, -NCO, -NCS and even active esters (succinimidyl- as well as pentafluorophenyl esters) could also be synthesized following the outlined synthetic procedures.
6. SiFAs and Their High Lipophilicity
Despite the ease of the isotopic exchange and its specificity, the SiFA chemistry exhibits a very unfortunate characteristic: its inherent, structure-related lipohilicity. Why is lipophilicity an issue? The ultimate utilization of the SiFA chemistry will be in the field of diagnostic radiotracer development for PET. This means that the new SiFA-based tracer probes will be administered intravenously to an animal or even to a human being for the purpose of acquiring in vivo information about certain diseases related to the specific binding of the tracer. However, if the lipophilicity of the injected compound is too high, the administered tracer will most probably end up in the liver, accumulating there and being no longer available for binding to its intended binding site. Compounds exhibiting a very high lipophilicity show such a rapid first pass effect. The liver basically siphons these compounds out of the blood stream obviating a proper binding to the target.
In terms of brain imaging, a certain degree of lipophilicity is required for passive transport across the blood-brain barrier, as only lipophilic, lipid soluble compounds pass through that protective membrane. However, if a compound is too lipophilic (logD > 4), a passive diffusion across the blood brain-barrier is less likely and the compound is trapped in the lipid layer.
The first small model SiFA compounds (Figure 5) all exhibited a very high lipophilicity, as displayed by the 1-octanol:bufferpH7.4 partition coefficient (logD) of >4, basically as a result of the hydrophobic tert-butyl groups. None of these compounds are water soluble, but dissolve readily in organic solvents. Most of the time, compounds for PET imaging are used in nanomolar quantities. In this concentration range, the solubility product plays only a minor role, and so compounds usually insoluble in water can nevertheless be used for in vivo applications. When SiFA compound [18F]17 was administered to a rat, dynamic PET data were acquired over 1h. The liver uptake was initially high and the radioactivity uptake in bones became predominant over time, suggesting the hydrolysis of the Si-18F bond. As already pointed out, just one tert-butyl group is not sufficiently bulky to protect the Si-18F bond from hydrolysis. These results were independently corroborated by Ametamey and co-workers and are discussed in detail later. However, when the bis-tert-butyl SiFA [18F]16 was administered to rats, the compound did not lose its radiolabel in vivo (no bone uptake) and was primarily metabolized in the liver and excreted via the colon. The lipophilicity introduced by the SiFA moiety was later shown to be responsible for a SiFA-peptide conjugate to accumulate almost exclusively in the liver and not bind to its tumor target (cf. Section 8). One can certainly conclude that the high lipophilicity of the SiFA moiety is the biggest hurdle in the clinical setting. Efforts are currently underway to overcome this obstacle by reducing the high lipophilicity of the SiFA building blocks by introducing charges and hydrophilic moieties. Kostikov et al. in 2011 synthesized the first positively-charged SiFA compound, termed SiFAN+Br−, as a lead compound for a new generation of SiFA building blocks with reduced lipophilicity [32]. The compound could be labeled in high radiochemical yields of up to 90% by isotopic exchange and specific activities of 20 GBq/µmol could be achieved.
Figure 5.
(A) Isotopic exchange mechanism resulting in a pentacoordinated silicon intermediate. The back-reaction yielding the original 19F-SiFA compound is statistically not favored. (B) Density Functional Theory calculations on three model SiFAs result in a Gibbs free energy of −50 to −40 kcal/mol in gas phase and +5 to 10 kcal/mol in acetonitrile.
Figure 5.
(A) Isotopic exchange mechanism resulting in a pentacoordinated silicon intermediate. The back-reaction yielding the original 19F-SiFA compound is statistically not favored. (B) Density Functional Theory calculations on three model SiFAs result in a Gibbs free energy of −50 to −40 kcal/mol in gas phase and +5 to 10 kcal/mol in acetonitrile.

These first results of adding a positive charge to the SiFA molecule are encouraging. In the following sections, we will discuss practical examples of silicon-18F chemistry used for peptide as well as protein labeling. At the end, we will present the first few small molecules modified with a silicon 18F motif intended for PET imaging. Before these approaches are elucidated further, another silicon 18F labeling strategy has to be highlighted, which was developed in parallel to the SiFA chemistry.
7. Silicon Building Blocks Containing H, OH and Alkoxy Moieties as Leaving Groups
In 2008, a group of researchers around Klar and Ametamey published their pioneering work on silicon-based building blocks for the one-step 18F-radiolabeling of peptides (cf. Section 8). This innovative labeling approach, based on the exchange of leaving groups such as alkoxyl moieties, OH and H by 18F− under slightly acidic conditions, ultimately arrived at the same silicon-18F building block structures as described by Schirrmacher and Jurkschat in 2006. It was confirmed that the steric hindrance as exerted by iso-propyl or tert-butyl groups is crucial for the compounds’ hydrolytic stability. A very important finding was that the linker group used for further bioconjugation does not necessarily need to be an aryl group. Allyl linkers were proven to be hydrolytically stable as well, which significantly expands the potential structural variation of the silicon building blocks. Before labeling larger organic compounds such as peptides, some silicon-based building blocks modified with hydrogen, methyl, iso-propyl, tert-butyl, aryl and various n-alkyl moieties were successfully labeled with 18F− (Figure 6). Some of the investigated compounds could be labeled in very high RCYs. It became apparent that in case of H as a leaving group, the addition of acid did not significantly influence the formation of the Si-18F bond and was therefore regarded as the most promising strategy for further investigations. Using alkoxyl moieties or OH leaving groups requires the presence of protons to amplify the leaving group’s exchange tendency via oxygen protonation. This can be difficult to achieve, since the 18F−, in the form of its potassium-Kryptofix2.2.2 complex salt, is highly basic and before protonating the leaving group, the protons neutralize the K2CO3 (in the form of a [K+/Kryptofix]2/CO32− salt, also present in the labeling cocktail). This labeling strategy requires elevated labeling temperatures ranging from 30 °C up to 90 °C, which is in stark contrast to the SiFA labeling procedure (isotopic exchange) that works at room temperature or below. In particular, the hydrolytically stabilizing tert-butyl group-bearing building blocks require higher reaction temperatures, most probably as a result of steric effects.
Figure 6.
Radioactive labeling of silicon building blocks bearing different leaving groups (LG = alkoxyl moiety, OH, H), sterically demanding residues (R = iso-propyl, tert-butyl) and linker structures (Linker).
Figure 6.
Radioactive labeling of silicon building blocks bearing different leaving groups (LG = alkoxyl moiety, OH, H), sterically demanding residues (R = iso-propyl, tert-butyl) and linker structures (Linker).

The hydrolytic stability of a large variety of different silicon building blocks was investigated in detail by Ametamey and co-workers [33]. Macroscopic amounts of the organofluorosilanes (15 compounds were tested) showed variable stability toward hydrolysis in a mixture of acetonitrile and buffer at pH 7. Although these conditions do not exactly resemble physiological conditions (pH 7.4 and no co-solvent), the trend of hydrolytic susceptibility discovered experimentally should not be influenced by this difference in pH and the fact that acetonitrile is present as co-solvent. However, the actual hydrolytic half-lives might be different and potentially shorter under true physiological conditions, especially when using very small amounts of 18F-silicon building blocks. It would be interesting to compare the data from the hydrolysis experiments conducted by the investigators using macroscopic amounts of fluorosilanes with the 18F-labeled analogs under true nca conditions.
It could clearly be demonstrated that iso-propyl groups, when combined with a di-methyl substituted aryl system, result in a comparable hydrolytic stability of the Si-18F bond as two tert-butyl groups and an un-substituted aryl system. Figure 7 is an excerpt of the original published table of compounds, highlighting the substituents substantially impacting on hydrolytic stability. Interestingly, the substitution on the phenyl residue as one of three substituents connected to the silicon atom plays an important role for the hydrolytic stability, hinting at the possibility of electronic effects in addition to steric effects.
Figure 7.
(A) Silicon building blocks with very low hydrolytic stability. Compound 21, bearing two iso-butyl groups exhibits a relatively high stability towards hydrolysis. (B) Silicon building blocks with highest hydrolytic stability. C: Influence of the substituent on the phenyl moiety on hydrolytic stability. (*t1/2: hydrolytic half-life).
Figure 7.
(A) Silicon building blocks with very low hydrolytic stability. Compound 21, bearing two iso-butyl groups exhibits a relatively high stability towards hydrolysis. (B) Silicon building blocks with highest hydrolytic stability. C: Influence of the substituent on the phenyl moiety on hydrolytic stability. (*t1/2: hydrolytic half-life).

Column A (Figure 7) corroborates the results on hydrolytic stability found by Schirrmacher et al. in 2006 [28]. Attaching three aryl substituents to Si results in a very low hydrolytic stability. Although the aryl moiety is considered to be a bulky substituent, water molecules seem to easily attack the Si atom in an SN2 kind of way. Replacing two of the three aryl residues by iso-butyl-groups stabilizes the Si-F bond significantly. The silicon building blocks displayed in column B show the highest stability towards hydrolysis. The tert-butyl groups undoubtedly impart the highest amount of hydrolytic stability which corroborates the findings made for the SiFA compounds. In order to be on par with two tert-butyl groups, two iso-propyl groups have to be accompanied by an aryl residue having a higher grade of substitution. As shown under B, two methyl groups ortho to the Si atom combined with two iso-propyl residues result in a comparable hydrolytic stability. The substitution pattern of the aryl group also seems to have a profound influence on the hydrolytic stability of the Si-18F bond. Column C reveals that a longer alkyl chain positioned para to the silicon atom leads to a higher stability, most probably due to increasing hyperconjugation and an increasing +I effect. The electron releasing effect of the alkyl chain stabilizes the highly polarized Si-F bond, affecting primarily the ortho and para position. In contrast, the 2-hydroxy ethyl chain in the meta position (compound 27) does not exhibit this stabilizing effect which is reflected by its shorter hydrolytic half-life in comparison to the para substituted compound (26). The likely mechanism of hydrolysis and final loss of fluoride is shown in Figure 8.
Ametamey and co-workers furthermore found some DFT function on the basis of the already characterized 2-(phenylazo)phenyl-allyldifluorosilane which structurally resembles the situation in fluorosilanes. The most fitting functional to describe the bond length of the Si-F bond of their model compounds was found to be the TPSS/RI/TZVP(P) functional. Besides the Si-F bond length, angles, partial charges as well as ligand exchange energies for the hydrolysis reaction were determined on that basis [33].
Figure 8.
SN2 mechanism of Si-F bond hydrolysis with the common pentacoordinate transition state (ii) as described in the literature. According to Ametamey and co-workers, water is a spectator in this mechanism.
Figure 8.
SN2 mechanism of Si-F bond hydrolysis with the common pentacoordinate transition state (ii) as described in the literature. According to Ametamey and co-workers, water is a spectator in this mechanism.

A model for the hydrolysis of Si-F compounds was derived from these data in combination with the experimentally acquired hydrolysis data from the aforementioned 15 model compounds. For the most stable compounds 22, 23 and 24, the bond lengths of the intermediate ii were 1.831, 1.817 and 1.827 Å respectively. After careful consideration of the obtained data, a linear relationship between the Si-F bond length difference between structure ii and iii and the corresponding half-lives were found to be reliable predictors of stability. However, the model was constructed on the simplified assumption that the hydrolytic half-lives are most probably impacted by kinetic and/or equilibrium effects, depending on the steric hindrance imparted by the organic rests attached to the Si atom. The radioactive labeling of the corresponding alkoxyl- and H-derivatized silanes demonstrated that steric hindrance impedes an easy access of the 18F− ion and reduces radiochemical yields. Even at 90 °C, the labeling precursor of 23,bearing an H atom as leaving group, could only be labeled in 48% radiochemical yield. In all investigated cases, where either the H- or alkoxyl-derivatized silanes were used as precursors, an amount of 5 mg was used, which is a substantial amount that has to be separated by preparative HPLC after the reaction if the 18F-labeled fluorosilane is required in pure form. The labeling experiments were extended to peptides which will be discussed in Section 8.
8. Peptides
Peptides, having an intermediate size between small molecules and proteins, normally show a relatively high stability towards even harsh labeling conditions, making a one-step labeling feasible. However, the many different unprotected functional groups of the amino acid side chains can possibly hamper a selective one-step 18F-introduction by nucleophilic substitution. Therefore, 18F-labeling reactions of peptides normally imply multistep syntheses consisting of the production of a secondary labeling precursor bearing the F-18 label, which has then to be reacted with the peptide. Although the synthesis of several secondary labeling precursors has been improved in recent years, yielding the labeled peptides in high yields and relatively short reaction times, the multi-step syntheses of 18F-labeled peptides using these synthons still require long preparation times—which is unfavorable, considering the short half-life of 18F—as well as complex and costly in terms of technical equipment [34,35,36].
An alternative to the conventional secondary labeling precursor approach is the recently developed technique to introduce 18F by reaction with Al3+ and the subsequent complication of the system formed by NOTA and NO2A derivatives or the 18F-labeling of the preformed Al-NOXA complex [8,11,12,37] This method allows for a one-step and straightforward introduction of 18F-fluoride, even into complex peptidic compounds at elevated temperatures of 100–110°C within 15 min, and will probably attract increasing attention within the next years. A modification of this technique involving the use of a NO2A chelator derivatized with a maleimide functionality also allowed for protein 18F-labeling in a two-step labeling reaction applying i) the fast complication of Al-18F by the chelator and ii) the efficient conjugation of the formed complex to the studied antibody fragment [12].
Another alternative to the use of conventional C-18F secondary labeling precursors is the SiFA-technique for introduction of 18F into peptides. There, the 19F against 18F isotopic exchange reaction on the SiFA moiety proved to be applicable for the one-step introduction of 18F even into complex molecules such as peptides. The isotopic exchange is thereby so efficient that it takes place even at room temperature and within short reaction times, as demonstrated on the example of the clinically relevant peptide Tyr3-octreotate (TATE). The labeled compound 29 (Figure 9) was obtained in high radiochemical yields (RCYs) of 55–65% after purification and within 25 min overall synthesis time [28]. Important advantages of this procedure are the mild labeling conditions applied which result in the formation of only one radiolabeled product, making an HPLC purification dispensable.
However, in the first attempts of peptide labeling using this strategy, the achieved specific activities (SAs) of the labeled peptides were rather low (between 3–5 GBq/µmol) even when testing different reaction conditions. This resulted in the development of a two-step labeling approach in order to achieve higher specific activities which consisted of i) the 18F-radiolabeling of SiFA-derivatized aldehyde (3) under mild conditions in high RCYs of up to 97% and high SAs of 225–680 GBq/µmol and ii) the subsequent chemo- and regioselective conjugation of the obtained aldehyde to different aminooxy-functionalized peptides [30]. The second step also proceeded efficiently and gave the products in short overall synthesis times of 40 min, comparably high specific activities and overall RCYs of 50–55% after HPLC purification. Using this experimental setup, Tyr3-octreotate, cRGD and BZH3, which have gained widespread interest in clinical imaging of different malignant diseases, could be radiolabeled with 18F (Figure 9). Furthermore, this approach has the advantage of being applicable to the 18F-labeling of various aminooxy-derivatized peptides.
Figure 9.
Structures of 18F-SiFA-TATE (29), 18F-SiFA-cRGD (30) and 18F-SiFA-BZH3 (31).
Figure 9.
Structures of 18F-SiFA-TATE (29), 18F-SiFA-cRGD (30) and 18F-SiFA-BZH3 (31).

In order to circumvent a two-step labeling reaction requiring a final HPLC purification which reduces the convenience and lengthens the preparation time (despite the fast reaction kinetics of the SiFA approach), optimized labeling conditions were developed. These allow for an efficient reaction at room temperature yielding the product within 30 min in high RCYs of 38% after purification and specific activities between 29 and 56 GBq/µmol, which is sufficient for receptor imaging in vivo. The key to these favorable results is the use of very small nanomolar amounts of the respective 19F-labeling precursors (10 to 25 nmol) [38].
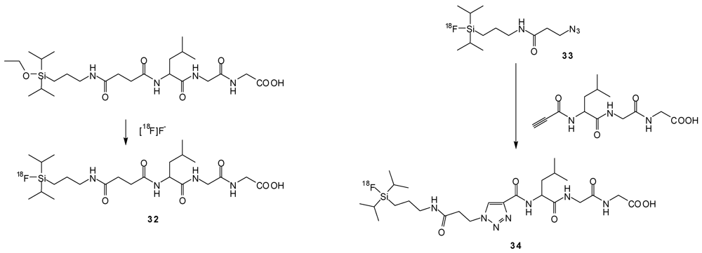
In order to allow for a more modular synthesis of SiFA-peptides, enabling not only a terminal but also an intra-sequential introduction of the SiFA building block, a SiFA-containing amino acid derivative (15) was developed and shown to be useful for the intra-sequential SiFA-derivatization as demonstrated on the standard Fmoc-based SPPS of three model Tyr3-octreotate derivatives [39].
In later studies, when comparing the substitution pattern on the silicon atom with regard to radiolabeling efficiency and hydrolytic stability, an investigation was mounted to see if silicon moieties containing substituents sterically, not as demanding as tert-butyl groups, could be used—in order to achieve a high incorporation rate of 18F into the silicon building block by substitution of H-, OH- and alkoxy-residues [29,33,40,41] Although it was found that, in general, the silicon moieties comprising smaller substituents on the silicon atom exhibited a higher isotopic exchange efficiency than the corresponding bulky tert-butyl-containing ones [29,33], it was also shown that the hydrolytic stability of the tert-butyl substituted building blocks was by far the highest [29,40]. This effect of limited hydrolytic stability was also observed in the case of the corresponding model peptides [29,41] and bombesin derivatives [40] modified with isopropyl-containing silicon building blocks. With regard to 18F-labeling, relatively high amounts of precursor (e.g., alkoxyl-silanes) had to be used. Belentova and co-workers needed 6 mg (11 μmol) of a small model peptide derivatized with an alkoxyl-silane moiety (Figure 10) [41]. Of course, the use of such high amounts of precursor peptides necessitates a final HPLC purification of the 18F-labeled peptide.
Figure 10.
Course of labeling reactions described by Balentova et al.
Figure 10.
Course of labeling reactions described by Balentova et al.

Of crucial importance are, not only the used labeling conditions, achievable RCYs and specific activities, but also the in vivo behavior of the 18F-labeled peptides that were obtained. In a study carried out by Höhne et al. [40], a 18F-silyl-bombesin derivative (35, Figure 11), exhibiting a most favorable in vitro binding affinity to the GRP receptor (IC50 = 22.9 nM), was evaluated in vivo in a PC-3 tumor-bearing mouse model. In this study, the 18F-labeled bombesin derivative unfavorably showed a low and unspecific in vivo tumor uptake of only 0.6 %ID/g at 1 h p.i., despite its high affinity to the target receptor. This effect can most probably be attributed to the high lipophilicity of the tracer caused by the stable but bulky and unfortunately highly hydrophobic silicon-containing moiety, resulting in the observed high accumulation in liver, gallbladder and intestine.
Figure 11.
Structure of the 18F-silyl-bombesin derivative 35 used for in vivo biodistribution studies in tumor-bearing mice.
Figure 11.
Structure of the 18F-silyl-bombesin derivative 35 used for in vivo biodistribution studies in tumor-bearing mice.

Thus, attempts were made to compensate the high lipophilicity of the organo-silicon moiety by introducing hydrophilic substituents into the peptide sequence in order to achieve a more favorable in vivo biodistribution of SiFA-derivatized peptides [38]. In order to increase the hydrophilicity of peptidic compounds, PEG and carbohydrate building blocks have been used before [42,43,44]. Thus, Tyr3-octreotate derivatives were synthesized, comprising a SiFA moiety and a carbohydrate and/or a PEG moiety. The resulting peptide derivatives 36 and 37 (Figure 12) were radiolabeled, their lipophilicity and in vitro binding affinities towards the Somatostatin receptors were determined, and their in vivo biodistribution characteristics determined and compared to the non-modified SiFA-Tyr3-octreotate 29 (Figure 12). The derivatization of the Tyr3-octreotate with hydrophilic building blocks showed only a minor influence on the binding affinities to the target receptors, resulting in potent target receptor binders while at the same time compensating, at least to some extent, the high lipophilicity of the organo-silicon moiety (log POW36 = 1.23, log POW37 = 0.96 vs. log POW29 = 1.59). This positive effect was also reflected in the successful visualization of the tumor in vivo in an AR42J tumor-bearing mouse model by 37, whereas the non-modified 18F-SiFA-peptide 29 showed only a very low and unspecific accumulation in the tumor tissue due to its high lipophilicity [38].
Figure 12.
Structures of 18F-SiFA-TATE (29), 18F-SiFA-Glc-TATE (36) and 18F-SiFA-Glc-PEG-TATE (37).
Figure 12.
Structures of 18F-SiFA-TATE (29), 18F-SiFA-Glc-TATE (36) and 18F-SiFA-Glc-PEG-TATE (37).

Thus, although many improvements have been made in the radiolabeling of peptides with 18F using silicon building blocks carrying bulky substituents, some efforts still have to be undertaken to optimize the in vivo biodistribution properties of the resulting 18F-silicon-derivatized peptides.
9. Protein Labeling
The successful labeling of proteins with the radionuclide 18F has always been challenging. Unlike peptides, which are structurally manageable, proteins contain a vast number of side chain functionalities which cannot be masked by protecting groups to enable a direct one-step 18F labeling strategy. Hence, the labeling of proteins requires prosthetic groups, small molecules which are 18F-labeled prior to the actual protein labeling. These molecules bear functional groups, such as active esters, which react readily with nucleophilic groups in the protein via acylation. [18F]SFB is currently the most common protein labeling agent. Besides active esters, Click Chemistry has also been employed, especially the maleimide-thiol click reaction. Of all Si-18F approaches, so far only the SiFA 19F by 18F-exchange chemistry has been used to develop small silicon-containing prosthetic groups for protein labeling. The first attempt to synthesize a SiFA-based active ester was made by Jurkschat and co-workers in 2009. The non-radioactive labeling precursors were obtained according to Figure 13 but could not be labeled with 18F by isotopic exchange under basic labeling conditions. The active ester moiety was simply hydrolyzed during the isotopic exchange and no SiFA active ester could be isolated. Using a different strategy, rat serum albumin (RSA), a 64 kDa protein isolated from rat serum, was labeled with two different SiFA synthons, a maleimide-18F-SiFA ([18F]11) and a thiol-18F-SiFA ([18F]4) (Figure 13). In order to use the maleimide-SiFA, the protein was derivatized with 2-iminithiolane to provide additional thiol groups to react with the maleimide group of the SiFA synthon (Figure 13). In case of thiol-SiFA used for protein labeling, the protein was modified, complementary with sulfosuccinimidyl-4-(N-maleimidomethyl)cyclohexane-1-carboxylate sodium salt (sulfo-SMCC). Both SiFA prosthetic groups [18F]11 and [18F]4 readily reacted with the modified RSA via Click Chemistry and provided the 18F-labeled proteins in good yields. This method is very convenient, since the number of derivatization sites introduced at the protein modification step (maleimide or thiol introduction) can be easily determined by Ellman's assay.
Figure 13.
Kit-like labeling of RSA using two different SiFA sythons: A) sulfo-SMCC modified RSA reacts with thiol-SiFA ([18F]4); B) 2-iminothiolane modified RSA reacts with maleimide-SiFA ([18F]11).
Figure 13.
Kit-like labeling of RSA using two different SiFA sythons: A) sulfo-SMCC modified RSA reacts with thiol-SiFA ([18F]4); B) 2-iminothiolane modified RSA reacts with maleimide-SiFA ([18F]11).

The labeled RSA was used in small animal PET imaging, visualizing the blood pool. However, one adverse feature of this strategy, despite being one of the most convenient procedures described so far, is that the proteins have to be modified before the actual labeling occurs. This requires certain special knowledge from the user and could be deemed as being less comfortable. To resolve this inconvenience, Schirrmacher and co-workers endeavored to mimic a well-known concept in bio-conjugation—the use of isothiocyanates for the modification and labeling of proteins. The goal of their study was to develop a radioactive counterpart to fluorescein isothiocyanate which is the most commonly applied fluorescent labeling agent for lysine containing proteins. Following that idea, SiFA isothiocyanate (SiFA-NCS or SiFA-ITC) was synthesized and 18F-labeled at room temperature via isotopic exchange [45]. The amount of SiFA used was very low (10–12 nmol) and the radiochemical yields were surprisingly high, keeping in mind that the isothiocyanate moiety is very labile. After 10 min reaction time, 95% of the introduced 18F− was incorporated into the SiFA-NCS. The 18F-SiFA-NCS reacts with primary amino functions of lysine residues. Three different proteins, varying in molecular weight (66–144 kDa), were labeled in radiochemical yields between 30–80%, depending on the SiFA/protein ratio. RSA was again chosen to serve as an in vivo blood pool imaging agent for PET. One shortcoming of this SiFA synthon is its inherent tendency towards hydrolysis and therefore associated challenging storage. The compound has to be meticulously stored under protecting gas and any exposure to humidity has to be avoided. Nevertheless, the use of isothiocyanates omits the necessity of modifying the protein but rather depends on lysine residues in the protein.
Figure 14.
Radioactive labeling of RSA and other proteins (not shown) using (A) [18F]SiFA-isothiocyante ([18F]SiFA-ITC, [18F]7), (B) [18F]SiFB and (C) the non-silicon containing most frequently applied protein labeling synthon [18F]SFB. (D) The PET images show the biodistribution of [18F]SFB (a and a') and [18F]SiFB (b and b') labeled RSA in rats (coronal plane sum images t = 5–60 min). The biodistribution was identical, validating the usefulness of [18F]SiFB as an alternative labeling agent for proteins.
Figure 14.
Radioactive labeling of RSA and other proteins (not shown) using (A) [18F]SiFA-isothiocyante ([18F]SiFA-ITC, [18F]7), (B) [18F]SiFB and (C) the non-silicon containing most frequently applied protein labeling synthon [18F]SFB. (D) The PET images show the biodistribution of [18F]SFB (a and a') and [18F]SiFB (b and b') labeled RSA in rats (coronal plane sum images t = 5–60 min). The biodistribution was identical, validating the usefulness of [18F]SiFB as an alternative labeling agent for proteins.

As already mentioned, by far the most common 18F-labeling agent for proteins is [18F]SFB. In contrast to 18F-labeled SiFA active esters, the preparation of non-radioactive SiFA active esters has never posed a problem. The Si-F bond is stable under a great variety of reaction conditions and an active ester moiety, such as a succinimidyl ester, can be introduced without problems. The challenge, however, is to undertake the isotopic exchange reaction without disintegration of the highly reactive active ester moiety. The SiFA labeling so far described uses a highly basic labeling cocktail containing large amounts of carbonate ions in addition to 18F−. Although not being an exceptionally good nucleophile under aqueous conditions, 18F−, in the presence of carbonate dissolved with Kryptofix2.2.2 to complexate the counter ion in dipolar aprotic solvents, is remarkably reactive. Under common labeling conditions, the [18F]SiFA active esters could not be detected, either on radio-TLC, or on HPLC, but only the hydrolyzed products. Very recently, Kostikov and co-workers devised a modified composition of the 18F-labeling solution. Strictly speaking, the isotopic exchange reaction on SiFAs does not mechanistically require a basic labeling environment. Thus, their hypothesis was that the basic 18F-containing reaction mixture in acetonitrile can be simply neutralized by addition of a suitable acid. Indeed, the addition of oxalic acid to the labeling cocktail proved to be highly efficient and the isotopic exchange using SiFB (Figure 14B) proceeded without hydrolysis of the active ester moiety. [18F]SiFB is very similar to the already mentioned SiFA active esters (cf. Figure 3). For stability reasons, the ester moiety was placed meta to the silicon atom, instead of para. The amount of oxalic acid added proved to be crucial. In all experiments, the less basic potassium oxalate had been used instead of carbonate and it was found that a ratio of oxalate/oxalic acid of 2:1 yielded the highest isotopic exchange yields. The reduction in complexity of synthesis and purification of [18F]SiFB in comparison to [18F]SFB was enormous. Depending on the [18F]SiFB synthesis, if either a full batch of 18F− or just an aliquot of 18F− was used, 25–50 min of reaction time could be saved. No HPLC purification had to be performed. The synthesis merely requires a reaction vial and a solid phase extraction cartridge. The subsequent protein labeling was as efficient as that using [18F]SFB. [18F]SiFB, and [18F]SFB labeled RSA were injected into healthy rats. The biodistribution of both proteins was identical (Figure 14D) which conclusively demonstrated the applicability of [18F]SiFB as a labeling synthon for proteins.
10. Small Molecules
Although several examples of 18F-radiolabeled peptides and proteins using the organo-silicon building block strategy for 18F-introduction can be found, small biologically-active molecules have rarely been labeled using this approach. This can be attributed to the high lipophilicity exerted by the bulky hydrophobic substituents on the silicon core used to achieve a high in vivo stability of the Si-18F-bond. This high lipophilicity can result in a dramatically altered in vivo biodistribution of the labeled substances, especially in the case of small molecules. Thus, examples for small molecules containing organo-silicon building blocks for the introduction of 18F are rare, but some approaches have been described recently [46,47,48].
One example is the preparation of 18F-labeled silicon-based nitromidazoles (Figure 15) that were designed as possible alternatives to the clinically relevant tracer [18F]FMISO and intended for hypoxia-imaging [46]. The radiosynthesis of these compounds—bearing methyl, iso-propyl-, phenyl- and naphthyl-moieties in order to stabilize the Si-18F-bond—started from the corresponding alkoxy-silanes and gave good 18F-incorporation yields at elevated temperatures of 75 °C for 20 min, but a final HPLC purification of the tracers was necessary.
Figure 15.
Structuresof 18F- silicon-based nitromidazoles 40–43 intended for hypoxia-imaging.
Figure 15.
Structuresof 18F- silicon-based nitromidazoles 40–43 intended for hypoxia-imaging.

Stability studies confirmed the expected stability characteristics of the different 18F-fluorinated compounds: a very low stability of 40 (t1/2 < 5’), a low stability of 42 (t1/2 = 5’) and 41 (t1/2 = 15’) and an at least moderate stability of 43 (t1/2 = 130’). Interestingly, and despite its short half-life, more favorable results could be obtained in the in vivo experiments in tumor-bearing animals with hypoxic tumor areas using 40 compared to 43. In the case of 40, hypoxic tumor areas could at least be visualized, despite a very high background activity, as confirmed by [18F]FDG landmarking experiments, whereas in the case of 43, only an unspecific uptake into the lungs was observed which was attributed to an accumulation of the tracer in the pulmonary capillaries. Thus, an optimization of the in vivo properties of the compounds regarding stability and biodistribution profile remains necessary.
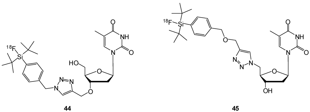
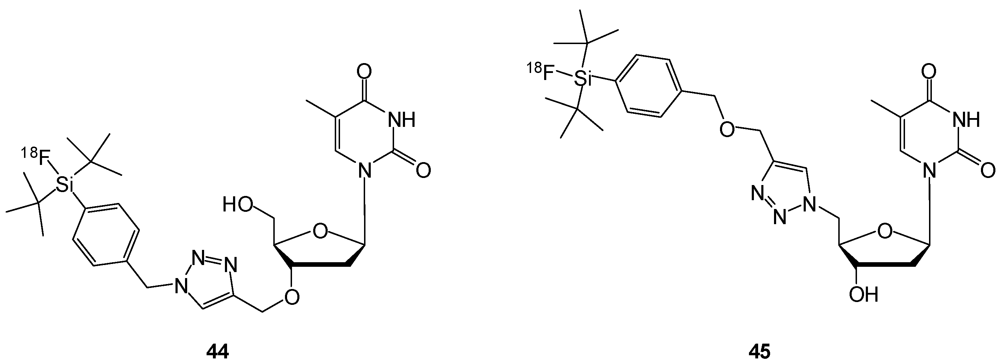
Recently, attempts were made to radiolabel nucleosides and nucleotides using the silicon-18F-labeling strategy [47]. In order to synthesize the labeling precursors, silicon building blocks, comprising azide and alkyne functionalities were synthesized, introduced into thymidine, derivatized accordingly via copper-catalyzed 1,3-dipolar cycloaddition, and subsequently radiolabeled with 18F by an H against 18F exchange reaction (Figure 16 shows the structures of the 18F-labeled products).
Figure 16.
Structuresof the 18F-labeled thymidine derivatives 44 and 45.
Figure 16.
Structuresof the 18F-labeled thymidine derivatives 44 and 45.

Starting from these mono-nucleosides, also model di-nucleotides and a model decameric oligodeoxynucleotide containing all four bases, were synthesized and the labeling conditions were optimized. As the H against 18F-exchange reaction on the silicon core proceeds less efficiently than the isotopic exchange reaction, elevated temperatures were required to introduce the 18F-label. Nevertheless, all substances—nucleosides, di-nucleotides and the decameric oligodeoxynucleotide—were compatible with the applied reaction temperatures of 60 °C, 165 °C and 100 °C, respectively, neither affecting the phosphodiester linkage nor the purine bases. However, up to now, no in vivo data are available that would provide information about the biodistribution characteristics of such lipophilic nucleosides and nucleotides.
Another class of SiFA-building-block-containing small molecules described recently was that of organo-silicon-derivatized D2-receptor ligands (Figure 17), derived from the clinically-relevant compounds [18F]FP ([18F]fallypride) and [18F]DMFP ([18F]desmethoxyfallypride) [48].
Figure 17.
Structuresof the 18F-SiFA D2-receptor ligands 46–49.
Figure 17.
Structuresof the 18F-SiFA D2-receptor ligands 46–49.

The synthesized 19F-precursors were evaluated regarding their D2-receptor affinities in vitro, showing less influence of the bulky SiFA-system on the receptor affinities than anticipated: SiFA-M-FP, SiFA-DMFP, SiFA-FP and SiFA-DDMFP showed Ki values of 4.2 nM, 13.6 nM, 33.0 nM and 62.7 nM, respectively, being in a comparable range to FP and DMFP that showed Ki values of 0.1 nM and 0.6 nM in the same assay. As anticipated, the derivative with a short linker and thus some distance between the binding motive and the SiFA moiety (49) showed the highest affinity to the target receptor. However, this compound gave only poor results in 18F-labeling experiments, due to its limited stability. In contrast, the other derivatives 46–48 showed very favorable results in the labeling experiments, as high RCYs and SAs were synthesized within very short preparation times and showed high plasma stabilities. Again, the in vivo biodistribution properties remain to be determined.
11. Conclusions
The recent advent of silicon-18F chemistry has already impressively demonstrated that novel labeling techniques in radiopharmaceutical sciences invigorate not only basic research, but also the development of clinically-oriented applications. The enumeration of different approaches towards new imaging agents on the basis of silicon-18F bond formation presented in this overview is hopefully a prelude to a new generation of imaging agents for PET. The advancements in the field over a short period of time already improved the labeling of peptides and proteins. Small compounds still pose problems, especially with regard to the inherently high lipophilicity of all described organo-silicon building blocks so far. This issue becomes more pronounced with compounds of low molecular weight, because the effect of the organo-silicon building blocks on the compounds’ overall lipophilicity weighs heavier. It cannot be concluded yet whether Si-18F radiochemistry will be fully accepted by the radiopharmaceutical community. This holds true not only for silicon, but also for all of the other highly-innovative labeling approaches, including aluminum- as well as boron-18F chemistry introduced most recently. As PET becomes more and more the most prominent in vivo imaging modality, novel radiochemistry approaches will always be needed as a driving force to further advance all disciplines reliant on radiochemistry.
Conflict of Interest
The authors declare no conflict of interest.
References
- Wahl, R.L.; Buchanan, J.W. Principles and Practice of Positron Emission Tomography; Lippincott Williams & Wilkins: Philadelphia, USA, 2002. [Google Scholar]
- Cai, L.S.; Lu, S.Y.; Pike, V.W. Chemistry with [18F]fluoride ion. Eur. J. Org. Chem. 2008, 2853–2873. [Google Scholar]
- Schubiger, P.A.; Lehmann, L.; Friebe, M. Chemistry—The Driving Force in Molecular Imaging; Springer: Berlin Heidelberg, Germay, 2007; Volume 97, pp. 1291–1297. [Google Scholar]
- Wester, H.J. Munich Molecular Imaging Series; Scintomics: Fürstenfeldbruck, Germany, 2010; Volume 1, pp. 5–74. [Google Scholar]
- Ting, R.; Adam, M.J.; Ruth, T.J.; Perrin, D.M. Arylfluoroborates and alkylfluorosilicates as potential PET imaging agents: High-yielding aqueous biomolecular F-18-labeling. J. Am. Chem. Soc. 2005, 127, 13094–13095. [Google Scholar]
- Ting, R.; Harwig, C.; auf dem Keller, U.; McCormick, S.; Austin, P.; Overall, C.M.; Adam, M.J.; Ruth, T.J.; Perrin, D.M. Toward [18F]-labeled aryltrifluoroborate radiotracers: In vivo Positron Emission Tomography imaging of stable aryltrifluoroborate clearance in mice. J. Am. Chem. Soc. 2008, 130, 12045–12055. [Google Scholar]
- Keller, U.A.D.; Bellac, C.L.; Li, Y.; Lou, Y.M.; Lange, P.F.; Ting, R.; Harwig, C.; Kappelhoff, R.; Dedhar, S.; Adam, M.J.; Ruth, T.J.; Benard, F.; Perrin, D.M.; Overall, C.M. Novel matrix metalloproteinase inhibitor [18F]marimastat-aryltrifluoroborate as a probe for in vivo Positron Emission Tomography imaging in cancer. Cancer Res. 2010, 70, 7562–7569. [Google Scholar]
- McBride, W.J.; D’Souza, C.A.; Sharkey, R.M.; Karacay, H.; Rossi, E.A.; Chang, C.H.; Goldenberg, D.M. Improved 18F labeling of peptides with a fluoride-aluminum-chelate complex. Bioconjugate Chem. 2010, 21, 1331–1340. [Google Scholar] [CrossRef]
- McBride, W.J.; Sharkey, R.M.; Karacay, H.; D'Souza, C.A.; Rossi, E.A.; Laverman, P.; Chang, C.H.; Boerman, O.C.; Goldenberg, D.M. A novel method of 18F radiolabeling for PET. J. Nucl. Med. 2009, 50, 991–998. [Google Scholar] [CrossRef]
- Laverman, P.; McBride, W.J.; Sharkey, R.M.; Eek, A.; Joosten, L.; Oyen, W.J.G.; Goldenberg, D.M.; Boerman, O.C. A novel facile method of labeling octreotide with 18F-fluorine. J. Nucl. Med. 2010, 51, 454–461. [Google Scholar] [CrossRef]
- McBride, W.J.; D’Souza, C.A.; Karacay, H.; Sharkey, R.M.; Goldenberg, D.M. New lyophilized kit for rapid radiofluorination of peptides. Bioconjugate Chem. 2012, 23, 538–547. [Google Scholar] [CrossRef]
- McBride, W.J.; D’Souza, C.A.; Sharkey, R.M.; Goldenberg, D.M. The radiolabeling of proteins by the [18F]AlF method. Appl. Radiat. Isotopes 2012, 70, 200–204. [Google Scholar] [CrossRef]
- Mu, L.; Schubiger, A.P.; Ametamey, S.M. [18F]Fluorosilicon- and [18F]Fluoroboron-based biomolecules for PET imaging. Curr. Radiophar. 2010, 3, 224–242. [Google Scholar] [CrossRef]
- Ametamey, S.M.; Honer, M.; Schubiger, P.A. Molecular imaging with PET. Chem. Rev. 2008, 108, 1501–1516. [Google Scholar] [CrossRef]
- Schirrmacher, R.; Wangler, C.; Schirrmacher, E. Recent developments and trends in 18F-radiochemistry: Syntheses and applications. Mini-Rev. Org. Chem. 2007, 4, 317–329. [Google Scholar] [CrossRef]
- Smith, G.E.; Sladen, H.L.; Biagini, S.C.G.; Blower, P.J. Inorganic approaches for radiolabelling biomolecules with fluorine-18 for imaging with Positron Emission Tomography. Dalton Trans 2011, 40, 6196–6205. [Google Scholar] [CrossRef]
- Miller, P.W.; Long, N.J.; Vilar, R.; Gee, A.D. Synthesis of C-11, F-18, O-15, and N-13 radiolabels for Positron Emission Tomography. Angew Chem. Int. Ed. 2008, 47, 8998–9033. [Google Scholar] [CrossRef]
- Mamat, C.; Ramenda, T.; Wuest, F.R. Recent applications of click chemistry for the synthesis of radiotracers for molecular imaging. Mini-Rev. Org. Chem. 2009, 6, 21–34. [Google Scholar] [CrossRef]
- Gens, T.A.; Wethington, J.A.; Brosi, A.R. The exchange of F-18 between metallic fluorides and silicon tetrafluoride. J. Phys. Chem.-Us 1959, 62, 1593–1593. [Google Scholar]
- Poole, R.T.; Winfield, J.M. Radiotracers in fluorine chemistry. 4. F-18 exchange between labeled alkylfluorosilanes and fluorides, or fluoride methoxides, of Tungsten(Vi), Molybdenum(Vi), Tellurium(Vi), and Iodine(V). J. Chem. Soc. Dalton 1976, 1557–1560. [Google Scholar]
- Winfield, J.M. Preparation and use of 18-fluorine labeled inorganic-compounds. J. Fluorine Chem. 1980, 16, 1–17. [Google Scholar] [CrossRef]
- Sanyal, D.K.; Winfield, J.M. Radiotracers in fluorine chemistry. 8. F-18 exchange-reactions involving Uranium(VI) or Uranium(V) fluorides—Evidence for surface complexation and comparisons with ligand-exchange reactions. J. Fluorine Chem. 1984, 24, 75–92. [Google Scholar] [CrossRef]
- Rosenthal, M.S.; Bosch, A.L.; Nickles, R.J.; Gatley, S.J. Synthesis and some characteristics of no-carrier added [18F]fluorotrimethylsilane. Int. J. Appl. Radiat. Isotop. 1985, 36, 318–319. [Google Scholar] [CrossRef]
- Gatley, S.J. Rapid production and trapping of [18F] Fluorotrimethylsilane, and its use in nucleophilic fluorine-18 labeling without an aqueous evaporation step. Appl. Radiat. Isotope. 1989, 40, 541–544. [Google Scholar] [CrossRef]
- Hamacher, K.; Coenen, H.H.; Stocklin, G. Efficient stereospecific synthesis of no-carrier-added 2-[18F]-Fluoro-2-deoxy-D-glucose using aminopolyether supported nucleophilic-substitution. J. Nucl. Med. 1986, 27, 235–238. [Google Scholar]
- Walsh, J.C.; Fleming, L.M.; Satyamurthy, N.; Barrio, J.R.; Phelps, M.E.; Gambhir, S.S.; Toyokuni, T. Application of silicon-fluoride chemistry for the development of amine-reactive F-18-labeling agents for biomolecules. J. Nucl. Med 2000, 41, 249p–249p. [Google Scholar]
- Choudhry, U.; Martin, K.E.; Biagini, S.; Blower, P.J. Alkoxysilane groups for instant labeling of biomolecules with 18F. Nucl. Med. Commun. 2006, 27. [Google Scholar]
- Schirrmacher, R.; Bradtmöller, G.; Schirrmacher, E.; Thews, O.; Tillmanns, J.; Siessmeier, T.; Buchholz, H.G.; Bartenstein, P.; Wängler, B.; Niemeyer, C.M.; Jurkschat, K. 18F-labeling of peptides by means of an organosilicon-based fluoride acceptor. Angew Chem. Int. Ed. 2006, 45, 6047–6050. [Google Scholar]
- Mu, L.J.; Hohne, A.; Schubiger, R.A.; Ametamey, S.M.; Graham, K.; Cyr, J.E.; Dinkelborg, L.; Stellfeld, T.; Srinivasan, A.; Voigtmann, U.; Klar, U. Silicon-based building blocks for one-step 18F-radiolabeling of peptides for PET imaging. Angew Chem. Int. Ed. 2008, 47, 4922–4925. [Google Scholar]
- Schirrmacher, E.; Wangler, B.; Cypryk, M.; Bradtmoller, G.; Schafer, M.; Eisenhut, M.; Jurkschat, K.; Schirrmacher, R. Synthesis of p-(Di-tert-butyl[18F]fluorosilyl)benzaldehyde ([18F]SiFA-A) with high specific activity by isotopic exchange: A convenient Labeling synthon for the 18F-labeling of n-amino-oxy derivatized peptides. Bioconjugate Chem. 2007, 18, 2085–2089. [Google Scholar] [CrossRef]
- Tietze, L.F.; Schmuck, K. SiFA azide: A new building block for PET imaging using click chemistry. Synlett 2011, 1697–1700. [Google Scholar] [CrossRef]
- Kostikov, A.P.; Iovkova, L.; Chin, J.; Schirrmacher, E.; Wangler, B.; Wangler, C.; Jurkschat, K.; Cosa, G.; Schirrmacher, R. N-(4-(di-tert-butyl[(18)F]fluorosilyl)benzyl)-2-hydroxy-N, N-dimethylethylammonium bromide ([18F]SiFAN+Br−): A novel lead compound for the development of hydrophilic SiFA-based prosthetic groups for (18)F-labeling. J. Fluorine Chem. 2011, 132, 27–34. [Google Scholar] [CrossRef]
- Hohne, A.; Yu, L.; Mu, L.J.; Reiher, M.; Voigtmann, U.; Klar, U.; Graham, K.; Schubiger, P.A.; Ametamey, S.M. Organofluorosilanes as model compounds for 18F-labeled Silicon-based PET tracers and their hydrolytic stability: Experimental data and theoretical calculations (PET = Positron Emission Tomography). Chem. Eur. J. 2009, 15, 3736–3743. [Google Scholar]
- Kiesewetter, D.O.; Jacobson, O.; Lang, L.X.; Chen, X.Y. Automated radiochemical synthesis of [18F]FBEM: A thiol reactive synthon for radiofluorination of peptides and proteins. Appl. Radiat. Isotopes 2011, 69, 410–414. [Google Scholar] [CrossRef]
- Speranza, A.; Ortosecco, G.; Castaldi, E.; Nardelli, A.; Pace, L.; Salvatore, M. Fully automated synthesis procedure of 4-[18F]fluorobenzaldehyde by commercial synthesizer: Amino-oxi peptide labelling prosthetic group. Appl. Radiat. Isotopes 2009, 67, 1664–1669. [Google Scholar] [CrossRef]
- Thonon, D.; Goblet, D.; Goukens, E.; Kaisin, G.; Paris, J.; Aerts, J.; Lignon, S.; Franci, X.; Hustinx, R.; Luxen, A. Fully automated preparation and conjugation of N-succinimidyl 4-[18F]fluorobenzoate ([18F]SFB) with RGD peptide using a GE FASTlab (TM) synthesizer. Mol. Imaging Biol. 2011, 13, 1088–1095. [Google Scholar] [CrossRef]
- D'Souza, C.A.; McBride, W.J.; Sharkey, R.M.; Todaro, L.J.; Goldenberg, D.M. High-yielding aqueous 18F-labeling of peptides via Al18F chelation. Bioconjugate Chem. 2011, 22, 1793–1803. [Google Scholar]
- Wängler, C.; Waser, B.; Alke, A.; Iovkova, L.; Buchholz, H.G.; Niedermoser, S.; Jurkschat, K.; Fottner, C.; Bartenstein, P.; Schirrmacher, R.; Reubi, J.C.; Wester, H.J.; Wängler, B. One-step 18F-labeling of carbohydrate-conjugated octreotate-derivatives containing a Silicon-Fluoride-Acceptor (SiFA): In vitro and in vivo evaluation as tumor imaging agents for Positron Emission Tomography (PET). Bioconjugate Chem. 2010, 21, 2289–2296. [Google Scholar]
- Iovkova, L.; Konning, D.; Wangler, B.; Schirrmacher, R.; Schoof, S.; Arndt, H.D.; Jurkschat, K. SiFA-modified phenylalanine: A key compound for the efficient synthesis of 18F-labelled peptides. Eur. J. Inorg. Chem. 2011, 2238–2246. [Google Scholar]
- Höhne, A.; Mu, L.; Honer, M.; Schubiger, P.A.; Ametamey, S.M.; Graham, K.; Stellfeld, T.; Borkowski, S.; Berndorff, D.; Klar, U.; Voigtmann, U.; Cyr, J.E.; Friebe, M.; Dinkelborg, L.; Srinivasan, A. Synthesis, 18F-labeling, and in vitro and in vivo studies of bombesin peptides modified with silicon-based building blocks. Bioconjugate Chem. 2008, 19, 1871–1879. [Google Scholar] [CrossRef]
- Balentova, E.; Collet, C.; Lamande-Langle, S.; Chretien, F.; Thonon, D.; Aerts, J.; Lemaire, C.; Luxen, A.; Chapleur, Y. Synthesis and hydrolytic stability of novel 3-[[18F]fluoroethoxybis (1-methylethyl)silyl]propanamine-based prosthetic groups. J. Fluorine Chem. 2011, 132, 250–257. [Google Scholar] [CrossRef]
- Schottelius, M.; Rau, F.; Reubi, J.C.; Schwaiger, M.; Wester, H.A. Modulation of pharmacokinetics of radioiodinated sugar-conjugated somatostatin analogues by variation of peptide net charge and carbohydration chemistry. Bioconjugate Chem. 2005, 16, 429–437. [Google Scholar] [CrossRef]
- Schottelius, M.; Wester, H.J.; Reubi, J.C.; Senekowitsch-Schmidtke, R.; Schwaiger, M. Improvement of pharmacokinetics of radioiodinated Tyr3-octreotide by conjugation with carbohydrates. Bioconjugate Chem. 2002, 13, 1021–1030. [Google Scholar] [CrossRef]
- Antunes, P.; Ginj, M.; Walter, M.A.; Chen, J.H.; Reubi, J.C.; Maecke, H.R. Influence of different spacers on the biological profile of a DOTA-somatostatin analogue. Bioconjugate Chem. 2007, 18, 84–92. [Google Scholar] [CrossRef]
- Rosa-Neto, P.; Wängler, B.; Iovkova, L.; Boening, G.; Reader, A.; Jurkschat, K.; Schirrmacher, E. [18F]SiFA-isothiocyanate: A new highly effective radioactive labeling agent for lysine-containing proteins. Chembiochem 2009, 10, 1321–1324. [Google Scholar] [CrossRef]
- Bohn, P.; Deyine, A.; Azzouz, R.; Bailly, L.; Fiol-Petit, C.; Bischoff, L.; Fruit, C.; Marsais, F.; Vera, P. Design of silicon-based misonidazole analogues and 18F-radiolabelling. Nucl. Med. Biol. 2009, 36, 895–905. [Google Scholar] [CrossRef]
- Schulz, J.; Vimont, D.; Bordenave, T.; James, D.; Escudier, J.M.; Allard, M.; Szlosek-Pinaud, M.; Fouquet, E. Silicon-based chemistry: An original and efficient one-step approach to [18F]-nucleosides and [18F]-oligonucleotides for PET imaging. Chem. Eur. J. 2011, 17, 3096–3100. [Google Scholar]
- Iovkova-Berends, L.; Wangler, C.; Zoller, T.; Hofner, G.; Wanner, K.T.; Rensch, C.; Bartenstein, P.; Kostikov, A.; Schirrmacher, R.; Jurkschat, K.; Wangler, B. t-Bu2SiF-derivatized D2-receptor ligands: The first SiFA-containing small molecule radiotracers for target-specific PET-imaging. Molecules 2011, 16, 7458–7479. [Google Scholar]
© 2012 by the authors; licensee MDPI, Basel, Switzerland. This article is an open-access article distributed under the terms and conditions of the Creative Commons Attribution license (http://creativecommons.org/licenses/by/3.0/).