Distribution Characteristics and Hazard Assessment of Ground Collapse in the Mining Activity Areas of the Turpan–Hami Basin
Abstract
1. Introduction
2. Study Area Overview
3. Data Sources and Research Methods
3.1. Data Sources
- Over 90% of collapse points were accurately confirmed via field investigations, ensuring the reliability of the core dataset for hazard assessment; the positional deviation of the remaining unverified points is constrained to ±30 m, which is consistent with the spatial resolution of the remote sensing imagery.
- This study focuses on large-scale spatial distribution patterns and multi-factor coupling mechanisms of ground collapse in the Turpan–Hami Basin (study area ≈ 5.3 × 104 km2), where collapse clusters typically span several square kilometers. Compared with this analytical spatial scale, the ±30 m positional deviation is negligible and will not interfere with the identification of overall distribution laws.
- The GBDT-LR model relies on the aggregate spatial correlation between multiple geographic factors and collapse occurrence, rather than the precise coordinates of individual points. Thus, minor positional errors in a small subset of samples do not alter the identified disaster-causing mechanisms or degrade the model’s predictive performance.
3.2. Research Methods
3.2.1. Preliminary Screening and Selection of Models
3.2.2. GBDT-LR
3.2.3. SHAP Analysis Method
3.2.4. Geohazard Potential Index (G) for Mining Intensity and Depth
3.2.5. Coefficient of Variation (CV) for Groundwater Level Change
4. Results
4.1. Spatial Distribution Characteristics of Disasters
4.2. Analysis of Factors Influencing the Spatial Distribution of Disasters
4.3. Hazard Assessment Results
5. Discussion
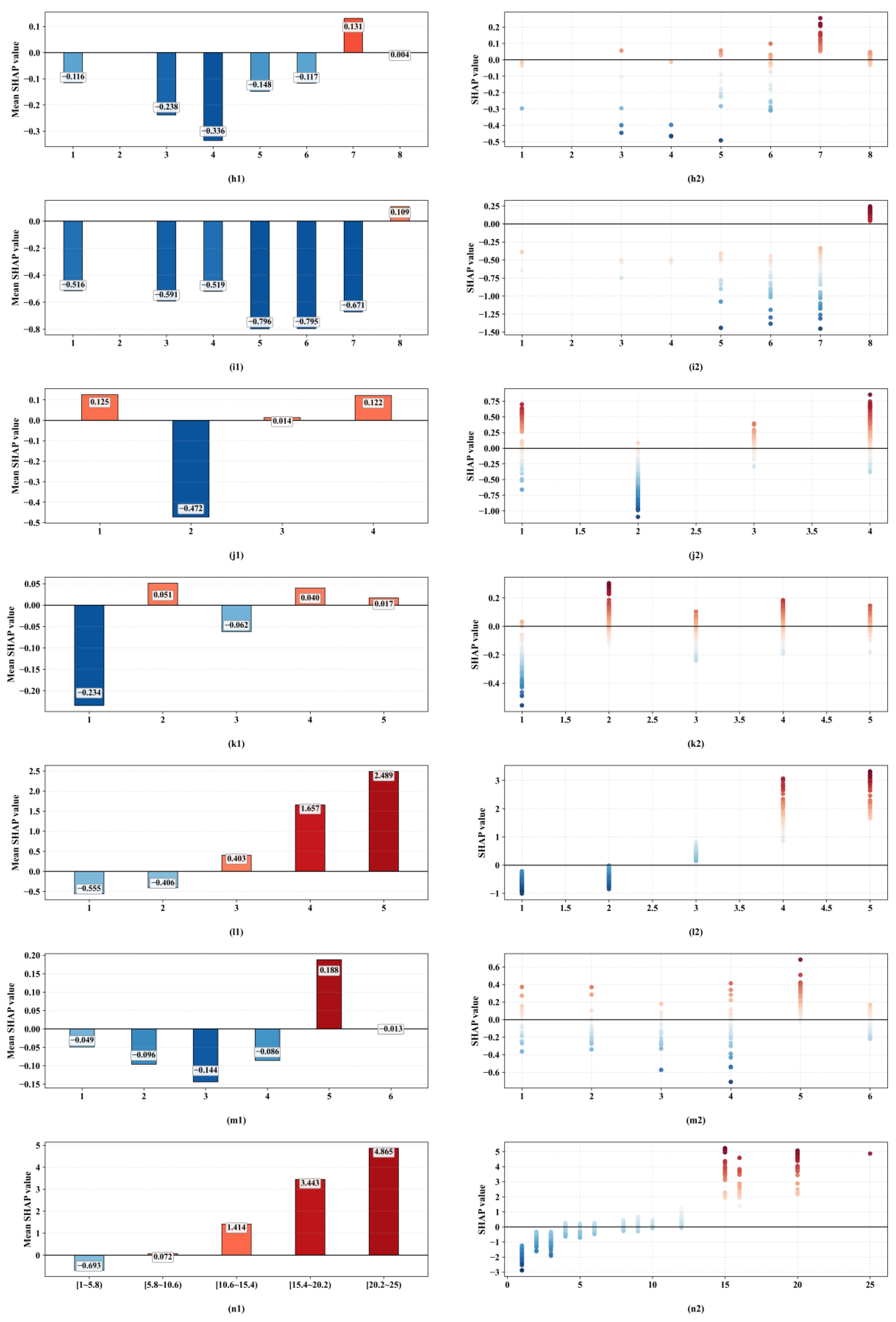
5.1. Quantitative Analysis with SHAP
5.2. Comparison Between GBDT-LR and LR
5.3. Disaster Formation Mechanisms
6. Conclusions
Author Contributions
Funding
Institutional Review Board Statement
Informed Consent Statement
Data Availability Statement
Acknowledgments
Conflicts of Interest
Abbreviations
| GBDT | Gradient Boosting Decision Tree; |
| LR | Logistic Regression; |
| GIS | Geographic Information System; |
| SHAP | SHapley Additive exPlanations; |
| G | Geohazard Potential Index; |
| CV | Coefficient of Variation; |
| DEM | Digital Elevation Model; |
| NDVI | Normalized Difference Vegetation Index; |
| PGA | Peak Ground Acceleration; |
| ROC | Receiver Operating Characteristic; |
| AUC | Area Under the Curve; |
| BP | Back Propagation; |
| RF | Random Forest; |
| SVM | Support Vector Machine; |
| RBF | Radial Basis Function; |
| WoE | Weights of Evidence Model; |
| IV | Information Value Model; |
| EWM | Entropy Weight Method. |
Appendix A
| Data Name | Data Source |
|---|---|
| Elevation (DEM) | ASTER GDEM data (30 m resolution) from the Geospatial Data Cloud website |
| Rainfall | World Clim Dataset: https://www.worldclim.org/data/worldclim21.html (accessed on 5 February 2026) |
| NDVI | [73] Didan, K. (2015). MOD13A3 MODIS/Terra vegetation Indices Monthly L3 Global 1km SIN Grid V006 [Data set]. NASA Land Processes Distributed Active Archive Center. https://doi.org/10.5067/MODIS/MOD13A3.006 Date Accessed: 5 February 2026 |
| PGA | [74] GB 18306-2015; Seismic Ground Motion Parameters Zonation Map of China (Scale 1:4,000,000). Standards Press of China: Beijing, China, 2015. |
| Water System | https://www.openstreetmap.org/ (accessed on 5 February 2026) |
| Roads | Open-source geospatial data provided by the OpenStreetMap project |
| Faults | [75] Qi, S. (2022). Geological structure database of Qinghai Tibet Plateau. National Tibetan Plateau/Third Pole Environment Data Center. https://doi.org/10.11888/SolidEar.tpdc.272224 Date Accessed: 5 February 2026. |
| Lithology | [76] Qi, S. (2021). Engineering geological petrofabric database of Qinghai Tibet Plateau. National Tibetan Plateau/Third Pole Environment Data Center. https://data.tpdc.ac.cn/zh-hans/data/34828cc5-11ec-4e1f-916d-86d5598f09bb (accessed on 5 February 2026) |
| Groundwater Level Change | [39] Wang, M.; Yao, J.; Chang, H.; Liu, R.; Xu, N.; Liu, Z.; Gong, H.; Zheng, H.; Wang, J.; Guo, X.; Cao, Y.; Zhao, Y.; Lu, H. Monthly groundwater level grid dataset of China region (2005–2022). National Tibetan Plateau/Third Pole Environment Data Center. The data set is provided by National Tibetan Plateau/Third Pole Environment Data Center (http://data.tpdc.ac.cn). (Accessed on 5 February 2026) |
Appendix B


References
- Whittaker, B.N.; Reddish, D.J. Subsidence: Occurrence, Prediction, and Control; Developments in Geotechnical Engineering; Elsevier Science Pub. Co.: Amsterdam, The Netherlands; New York, NY, USA, 1989. [Google Scholar]
- Gutiérrez, F.; Cooper, A.H.; Johnson, K.S. Identification, Prediction, and Mitigation of Sinkhole Hazards in Evaporite Karst Areas. Environ. Geol. 2008, 53, 1007–1022. [Google Scholar] [CrossRef]
- Delle Rose, M.; Parise, M. Karst Subsidence in South-Central Apulia, Southern Italy. Int. J. Speleol. 2002, 31, 181–199. [Google Scholar] [CrossRef]
- Chen, K.; Chen, L.; Zhang, Z.; Chang, J.; He, Q.; He, Q.; Fang, H.; Liu, Z.; Huang, Y.; Zhao, M. Susceptibility and Risk Assessment of Geological Disasters in Xinjiang Based on Empirical Investigation. J. Eng. Geol. 2023, 31, 1156–1166. (In Chinese) [Google Scholar] [CrossRef]
- Gacu, J.; Kantoush, S.; Candelario, R.; Falculan, J.; Moaje, K.V.; Famaran, M.J.; Nepomuceno, M.; Ebon, J.A.; Parungao, R.; Ignacio, R.; et al. Integrated Multi-Hazard Risk Assessment Under Compound Disasters Using Analytical Hierarchy Process (AHP). Heliyon 2025, 11, e43173. [Google Scholar] [CrossRef]
- Kucuker, D.M.; Cedano Giraldo, D. Assessment of Soil Erosion Risk Using an Integrated Approach of GIS and Analytic Hierarchy Process (AHP) in Erzurum, Turkiye. Ecol. Inform. 2022, 71, 101788. [Google Scholar] [CrossRef]
- Jena, R.; Pradhan, B.; Beydoun, G.; Nizamuddin; Ardiansyah; Sofyan, H.; Affan, M. Integrated Model for Earthquake Risk Assessment Using Neural Network and Analytic Hierarchy Process: Aceh Province, Indonesia. Geosci. Front. 2020, 11, 613–634. [Google Scholar] [CrossRef]
- Jiang, J.; Shen, W.; Wang, Y. A Risk Assessment Approach for Road Collapse along Tunnels Based on an Improved Entropy Weight Method and K-Means Cluster Algorithm. Ain Shams Eng. J. 2024, 15, 102805. [Google Scholar] [CrossRef]
- Park, I.; Lee, J.; Saro, L. Ensemble of Ground Subsidence Hazard Maps Using Fuzzy Logic. Cent. Eur. J. Geosci. 2014, 6, 207–218. [Google Scholar] [CrossRef]
- Park, J.H.; Kang, J.; Kang, J.; Mun, D. Machine-Learning-Based Ground Sink Susceptibility Evaluation Using Underground Pipeline Data in Korean Urban Area. Sci. Rep. 2022, 12, 20911. [Google Scholar] [CrossRef]
- Zhi, D.; Li, J.; Yang, F.; Chen, X.; Wu, C.; Wang, B.; Zhang, H.; Hu, J.; Jin, J. Whole Petroleum System in Jurassic Coal Measures of Taibei Sag in Tuha Basin, NW China. Pet. Explor. Dev. 2024, 51, 519–534. [Google Scholar] [CrossRef]
- Sha, Y. Ground Subsidence Detection of Beiquan Mining Area Based on Stacking Time-Series InSAR. Geomat. Sci. Technol. 2020, 8, 60–67. [Google Scholar] [CrossRef]
- Bell, F.G.; Stacey, T.R.; Genske, D.D. Mining Subsidence and Its Effect on the Environment: Some Differing Examples. Environ. Geol. 2000, 40, 135–152. [Google Scholar] [CrossRef]
- Ding, Q.; Zhang, J.; Zhang, H.; Huang, J.; Sun, Y.; Bai, F.; Tu, Z.; Li, J. Study on Groundwater Dynamics and Its Relationship with Land Subsidence in Turpan Basin. Earth Sci. 2025, 50, 737–751. (In Chinese) [Google Scholar] [CrossRef]
- Guo, W.; Zhao, G.; Bai, E.; Ma, C.; Nie, X.; Chen, J.; Zhang, H. Research Status and Prospect on Cultivated Land Damage at Surface Subsidence Basin Due to Longwall Mining in the Central Coal Grain Compound Area. J. China Coal Soc. 2023, 48, 388–401. [Google Scholar]
- Niu, L.; Gulibostan, T.; Wang, T.; Feng, Z. Analysis on Distribution Characteristics and Main Controlling Factors of Geological Disasters in Xinjiang. West-China Explor. Eng. 2023, 11, 38–41. (In Chinese) [Google Scholar]
- Wang, Y.; Feng, G.; Li, Z.; Luo, S.; Wang, H.; Xiong, Z.; Zhu, J.; Hu, J. A Strategy for Variable-Scale InSAR Deformation Monitoring in a Wide Area: A Case Study in the Turpan–Hami Basin, China. Remote Sens. 2022, 14, 3832. [Google Scholar] [CrossRef]
- Brenning, A. Spatial Prediction Models for Landslide Hazards: Review, Comparison and Evaluation. Nat. Hazards Earth Syst. Sci. 2005, 5, 853–862. [Google Scholar] [CrossRef]
- Chen, J.; Huang, G.; Chen, W. Towards Better Flood Risk Management: Assessing Flood Risk and Investigating the Potential Mechanism Based on Machine Learning Models. J. Environ. Manag. 2021, 293, 112810. [Google Scholar] [CrossRef]
- Ma, M.; Wang, T.; Yang, J.; Chen, Z.; Wang, J.; Liu, R.; Miao, X. XAI-Driven Flood Risk Assessment: Integrating Machine Learning and Hydrological Model. Geosci. Front. 2026, 17, 102244. [Google Scholar] [CrossRef]
- Yang, K.; Niu, R.; Song, Y.; Dong, J.; Zhang, H.; Chen, J. Dynamic Hazard Assessment of Rainfall-Induced Landslides Using Gradient Boosting Decision Tree with Google Earth Engine in Three Gorges Reservoir Area, China. Water 2024, 16, 1638. [Google Scholar] [CrossRef]
- Feng, W.; Tang, Y.; Hong, B. Landslide Hazard Assessment Methods along Fault Zones Based on Multiple Working Conditions: A Case Study of the Lixian–Luojiabu Fault Zone in Gansu Province (China). Sustainability 2022, 14, 8098. [Google Scholar] [CrossRef]
- Shi, L.; Gong, H.; Chen, B.; Shao, Z.; Zhou, C. Land Subsidence Simulation Considering Groundwater and Compressible Layers Based on an Improved Machine Learning Method. J. Hydrol. 2025, 656, 133008. [Google Scholar] [CrossRef]
- Mao, X.; Li, J.; Zhang, H. Zircon U-Pb SHRIMP Ages from the Late Paleozoic Turpan-Hami Basin, NW China. J. Earth Sci. 2014, 25, 924–931. [Google Scholar] [CrossRef]
- Master Plan for Mineral Resources of Xinjiang Uygur Autonomous Region (2016–2020). Available online: https://zrzyt.xinjiang.gov.cn/xjgtzy/c106587/201809/d017e4f6584344b8a30ad060cda51835.shtml (accessed on 4 May 2025).
- Ma, S.; Shao, X.; Xu, C. Landslide Susceptibility Mapping in Terms of the Slope-Unit or Raster-Unit, Which Is Better? J. Earth Sci. 2023, 34, 386–397. [Google Scholar] [CrossRef]
- Hosmer, D.W., Jr.; Lemeshow, S.; Sturdivant, R.X. Introduction to the Logistic Regression Model. In Applied Logistic Regression, 3rd ed.; John Wiley & Sons, Inc.: Hoboken, NJ, USA, 2013; pp. 1–33. [Google Scholar] [CrossRef]
- Zhang, Y.C.; Qin, S.W.; Zhai, J.J.; Li, G.J.; Peng, S.Y.; Liu, X.; Chen, J.J. Susceptibility Assessment of Debris Flow Based on GIS and Weight Information for the Changbai Mountain Area. Hydrogeol. Eng. Geol. 2018, 45, 150–158. (In Chinese) [Google Scholar] [CrossRef]
- Yang, D.H.; Zhu, J.Y.; Liu, S.; Ma, B.; Dai, X.S. Comparative Analyses of Susceptibility Assessment for Landslide Disasters Based on Information Value, Weighted Information Value and Logistic Regression Coupled Model in Luoping County, Yunnan Province. Chin. J. Geol. Hazard Control 2023, 34, 43–53. (In Chinese) [Google Scholar] [CrossRef]
- Zeng, T.; Jin, B.; Glade, T.; Xie, Y.Y.; Li, Y.; Zhu, Y.H.; Yin, K.L. Assessing the Imperative of Conditioning Factor Grading in Machine Learning-Based Landslide Susceptibility Modeling: A Critical Inquiry. CATENA 2024, 236, 107732. [Google Scholar] [CrossRef]
- Gao, D.; Li, K.; Cai, Y.; Wen, T. Landslide Displacement Prediction Based on Time Series and PSO-BP Model in Three Georges Reservoir, China. J. Earth Sci. 2024, 35, 1079–1082. [Google Scholar] [CrossRef]
- Friedman, J.H. Greedy Function Approximation: A Gradient Boosting Machine. Ann. Stat. 2001, 29, 1189–1232. Available online: http://www.jstor.org/stable/2699986 (accessed on 10 February 2026). [CrossRef]
- Wang, Y.; Chen, J.; Li, S.; Zhang, P.; Chen, X.; Ma, S.; Ouyang, H.; Bian, H.; Mao, T.; Zhang, Z.; et al. A Conditional Probability-Based Model for Mountainous Geological Hazard Susceptibility Assessment. Appl. Sci. 2025, 15, 12653. [Google Scholar] [CrossRef]
- Merghadi, A.; Yunus, A.P.; Dou, J.; Whiteley, J.; ThaiPham, B.; Bui, D.T.; Avtar, R.; Abderrahmane, B. Machine Learning Methods for Landslide Susceptibility Studies: A Comparative Overview of Algorithm Performance. Earth-Sci. Rev. 2020, 207, 103225. [Google Scholar] [CrossRef]
- Fan, L.M. Study on Coal Mining Intensity and Geological Disasters in Yushenfu Area. China Coal 2014, 40, 52–55. (In Chinese) [Google Scholar]
- Lan, T.W.; Zhang, Z.J.; Yuan, Y.N. Study on Evaluation Method of Mine Geological Dynamic Environment and Classification of Rock Burst Mine Types. Coal Geol. Explor. 2023, 51, 104–113. (In Chinese) [Google Scholar]
- Li, Z.; Wu, G.Y.; Si, S.J. Value Method of Sub-index for Rock Burst Hazard Assessment Based on Mining Depth and Tectonic Stress. Coal Sci. Technol. 2024, 52, 38–47. (In Chinese) [Google Scholar]
- Yang, C.C. Optimization of Stope Structural Parameters and Engineering Application of Sublevel Filling Method in a Mine. Min. Res. Dev. 2019, 39, 15. (In Chinese) [Google Scholar]
- Wang, M.; Yao, J.; Chang, H.; Liu, R.; Xu, N.; Liu, Z.; Gong, H.; Zheng, H.; Wang, J.; Guo, X.; et al. Underground Well Water Level Observation Grid Dataset from 2005 to 2022. Sci. Data 2025, 12, 728. [Google Scholar] [CrossRef]
- Yi, X.; Shang, Y.; Meng, H.; Meng, Q.; Shao, P.; Ahmed, I. Regional Landslide Hazard and Risk Assessment Considering Landslide Spatial Aggregation and Hydrological Slope Units. Appl. Sci. 2025, 15, 8068. [Google Scholar] [CrossRef]
- Hu, Y.; Zhang, Z.; Lin, S. Evaluation of Landslide Susceptibility in Ili Valley, Xinjiang Based on the Coupling of WOE Model and Logistic Regression. J. Eng. Geol. 2023, 31, 1350–1363. (In Chinese) [Google Scholar] [CrossRef]
- Belenguer-Plomer, M.A.; Barrilero, O.; Saameño, P.; Mendes, I.; Lazzarini, M.; Albani, S.; El Beyrouthy, N.; Al Sayah, M.; Rueche, N.; Edjossan-Sossou, A.M.; et al. Remote Sensing as a Sentinel for Safeguarding European Critical Infrastructure in the Face of Natural Disasters. Appl. Sci. 2025, 15, 8908. [Google Scholar] [CrossRef]
- Wang, X.; Hu, S.; Lian, B.; Wang, J.; Zhan, H.; Wang, D.; Liu, K.; Luo, L.; Gu, C. Formation Mechanism of a Disaster Chain in Loess Plateau: A Case Study of the Pucheng County Disaster Chain on August 10, 2023, in Shaanxi Province, China. Eng. Geol. 2024, 331, 107463. [Google Scholar] [CrossRef]
- Zhu, N.; Liu, F.; Sun, D. Mechanisms of Groundwater Damage to Overlying Rock in Goaf. Processes 2024, 12, 936. [Google Scholar] [CrossRef]
- Yi, S.; Zhang, Y.; Yi, H.; Li, X.; Wang, X.; Wang, Y.; Chu, T. Study on the Instability Activation Mechanism and Deformation Law of Surrounding Rock Affected by Water Immersion in Goafs. Water 2022, 14, 3250. [Google Scholar] [CrossRef]
- Li, Z.; Wu, G.; Si, S.; Gao, X.; Liu, X.; Zhang, D.; Zhang, C.; Liu, J. Valuation Method for Sub-indicators of Rock Burst Risk Based on Mining Depth and Tectonic Stress. Coal Sci. Technol. 2024, 52, 38–47. (In Chinese) [Google Scholar] [CrossRef]
- Li, Z.; Liu, P.; He, S.; Gu, F.; Li, Z.; Huang, X.; Wang, L. Research on the Collapsing Pattern of Overburden Rock and Pore Development Characterization in the Mining Hollow Area. Sci. Rep. 2025, 15, 31979. [Google Scholar] [CrossRef]
- Tan, X.; Chen, W.; Wang, L.; Qin, C. Spatial Deduction of Mining-Induced Stress Redistribution Using an Optimized Non-Negative Matrix Factorization Model. J. Rock Mech. Geotech. Eng. 2023, 15, 2868–2876. [Google Scholar] [CrossRef]
- Diddle, B.; Agioutantis, Z.; Maldonado Esguerra, E.; Romero Benitez, J.D.; Parra Valencia, M. Prediction of Dynamic and Final Vertical and Horizontal Movements Due to Longwall Mining. Rock Mech. Rock Eng. 2025, 58, 4403–4420. [Google Scholar] [CrossRef]
- Yang, G.; Chen, Y.; Liu, X.; Yang, R.; Zhang, Y.; Zhang, J. Stability Analysis of a Slope Containing Water-Sensitive Mudstone Considering Different Rainfall Conditions at an Open-Pit Mine. Int. J. Coal Sci. Technol. 2023, 10, 64. [Google Scholar] [CrossRef]
- Lu, Y.; Jin, C.; Wang, Q.; Li, G.; Han, T. Deformation and Failure Characteristic of Open-Pit Slope Subjected to Combined Effects of Mining Blasting and Rainfall Infiltration. Eng. Geol. 2024, 331, 107437. [Google Scholar] [CrossRef]
- Liu, H.; Motoda, H. Feature Selection for Knowledge Discovery and Data Mining; Springer Science & Business Media: Cham, Switzerland, 2012. [Google Scholar]
- Van Westen, C.J.; Castellanos, E.; Kuriakose, S.L. Spatial Data for Landslide Susceptibility, Hazard, and Vulnerability Assessment: An Overview. Eng. Geol. 2008, 102, 112–131. [Google Scholar] [CrossRef]
- Luo, H.; Xu, Q.; Jiang, Y.; Meng, R.; Pu, C. The Prediction Method of Large-Scale Land Subsidence Based on Multi-Temporal InSAR and Machine Learning. Earth Sci. 2024, 49, 1736–1745. (In Chinese) [Google Scholar]
- Noël, C.; Fryer, B.; Baud, P.; Violay, M. Water Weakening and the Compressive Brittle Strength of Carbonates: Influence of Fracture Toughness and Static Friction. Int. J. Rock Mech. Min. Sci. 2024, 177, 105736. [Google Scholar] [CrossRef]
- Zhai, G.; Dai, J.; Chen, G.; Pan, Z.; Liang, C.; Liu, Z.; Jiang, X. Mechanism Mode and Prevention and Control Measures of Karst Collapses Induced by Foundation Pit Excavation. Carbonates Evaporites 2024, 39, 88. [Google Scholar] [CrossRef]
- Guzy, A.; Witkowski, W.T. Land Subsidence Estimation for Aquifer Drainage Induced by Underground Mining. Energies 2021, 14, 4658. [Google Scholar] [CrossRef]
- Qian, L.; Zang, S. Differentiation Rule and Driving Mechanisms of Collapse Disasters in Changbai County. Sustainability 2022, 14, 2074. [Google Scholar] [CrossRef]
- Wang, W.; Wang, C.; Zhang, L.; Yan, Y.; Wang, L.; Guo, J. Monitoring Mining-Induced Subsidence from Satellite Imagery Using Transformer-Based Deep Learning Trained on Gridded Subsidence Measurements. J. Environ. Manag. 2025, 394, 127536. [Google Scholar] [CrossRef]
- Kim, K.-D.; Lee, S.; Oh, H.-J.; Choi, J.-K.; Won, J.-S. Assessment of Ground Subsidence Hazard near an Abandoned Underground Coal Mine Using GIS. Environ. Geol. 2006, 50, 1183–1191. [Google Scholar] [CrossRef]
- Zhu, S.; Wu, L.; Peng, J. An Improved Chebyshev Semi-Iterative Method for Simulating Rainfall Infiltration in Unsaturated Soils and Its Application to Shallow Landslides. J. Hydrol. 2020, 590, 125157. [Google Scholar] [CrossRef]
- Song, Z.; Li, X.; Lizárraga, J.J.; Zhao, L.; Buscarnera, G. Spatially Distributed Landslide Triggering Analyses Accounting for Coupled Infiltration and Volume Change. Landslides 2020, 17, 2811–2824. [Google Scholar] [CrossRef]
- Yin, Z.; Qin, G.; Guo, L.; Tang, X.; Wang, J.; Li, H. Coupling Antecedent Rainfall for Improving the Performance of Rainfall Thresholds for Suspended Sediment Simulation of Semiarid Catchments. Sci. Rep. 2022, 12, 4816. [Google Scholar] [CrossRef]
- Ma, T.; Tang, F.; Zhang, F. Multi-scale soil moisture dynamics in arid mined Loess Plateau arise from crack evolution and microstructure collapse. Sci. Rep. 2025, 15, 44524. [Google Scholar] [CrossRef]
- Huang, X.; Li, X.; Li, H.; Duan, S.; Yang, Y.; Du, H.; Xiao, W. Study on the Movement of Overlying Rock Strata and Surface Movement in Mine Goaf under Different Treatment Methods Based on PS-InSAR Technology. Appl. Sci. 2024, 14, 2651. [Google Scholar] [CrossRef]
- Bai, J.; Dou, L.; Li, X.; Ma, X.; Lu, F.; Han, Z. Evolution Laws of Stress–Energy and Progressive Damage Mechanisms of Surrounding Rock Induced by Mining Disturbance. Appl. Sci. 2023, 13, 7759. [Google Scholar] [CrossRef]
- Li, Y.; Guo, S.; Zheng, B.; Zou, Y.; Song, S.; Zhang, Y.; Yan, J.; Waqar, M.F.; Zada, K.; Qi, S.; et al. Analysis of Ancient Rongcharong Landslide Dam Failure Events in the Suwalong Reach of the Upper Reaches of the Jinsha River. J. Earth Sci. 2025, 36, 2005–2022. [Google Scholar] [CrossRef]
- Xiao, H.; Guo, G.; Liu, W. Hazard Degree Identification and Coupling Analysis of the Influencing Factors on Goafs. Arab. J. Geosci. 2017, 10, 68. [Google Scholar] [CrossRef]
- Yan, Z.; Su, C.; Zhang, G.; Xu, Z.; Yang, X.; Zhang, C.; Sheng, C. Analysis on the Distribution and Formation Mechanism of Ground Collapse in Gypsum Mining Area in Yingcheng of Hubei Province. Chin. J. Geol. Hazard Control 2025, 36, 57–64. (In Chinese) [Google Scholar] [CrossRef]
- Luo, Y.; Yang, L.; Xing, Y. Mechanisms of Karst Ground Collapse Under Groundwater Fluctuations: Insights from Physical Model Test and Numerical Simulation. Water 2025, 17, 3588. [Google Scholar] [CrossRef]
- He, X.; Lang, Q.; Zhang, J.; Zhang, Y.; Jin, Q.; Xu, J. Interpretable Machine Learning for Explaining and Predicting Collapse Hazards in the Changbai Mountain Region. Sensors 2025, 25, 1512. [Google Scholar] [CrossRef]
- Tao, G.; Guo, L.; Xiao, H.; Chen, Q.; Nimbalkar, S.; Feng, S.; Wu, Z. Assessment of Vegetation Cover and Rainfall Infiltration Effects on Slope Stability. Appl. Sci. 2025, 15, 9831. [Google Scholar] [CrossRef]
- Didan, K. MOD13A3 MODIS/Terra Vegetation Indices Monthly L3 Global 1km SIN Grid V006 [Data Set]; NASA Land Processes Distributed Active Archive Center: Sioux Falls, SD, USA, 2015. [Google Scholar] [CrossRef]
- GB 18306-2015; Seismic Ground Motion Parameters Zonation Map of China (Scale 1:4,000,000). Standards Press of China: Beijing, China, 2015.
- Qi, S. Geological Structure Database of Qinghai Tibet Plateau; National Tibetan Plateau/Third Pole Environment Data Center: Beijing, China, 2022. [Google Scholar] [CrossRef]
- Qi, S. Engineering Geological Petrofabric Database of Qinghai Tibet Plateau; National Tibetan Plateau/Third Pole Environment Data Center: Beijing, China, 2021; Available online: https://data.tpdc.ac.cn/zh-hans/data/34828cc5-11ec-4e1f-916d-86d5598f09bb (accessed on 5 February 2026).









| Tier | Model | Mean AUC | AUC Std Dev |
|---|---|---|---|
| First Tier | RF | 0.9507 | 0.0123 |
| First Tier | XGBoost | 0.9498 | 0.0089 |
| First Tier | GBDT-LR Coupled | 0.9447 | 0.0163 |
| Second Tier | SVM with RBF Kernel | 0.9157 | 0.0236 |
| Third Tier | WoE-LR Coupled | 0.8945 | 0.0173 |
| Third Tier | IV-LR Coupled | 0.8945 | 0.0173 |
| Third Tier | EWM-LR Coupled | 0.8945 | 0.0173 |
| Third Tier | NaiveBayes-LR Coupled | 0.8945 | 0.0173 |
| Rock Category | Uniaxial Saturated Compressive Strength (UCS/MPa) | Representative Rock Types |
|---|---|---|
| Hard Rock Formation | UCS > 60 | Unweathered or slightly weathered granite, gneiss, diorite, quartzite, limestone or conglomerate with siliceous cementation. |
| Harder Rock Formation | 60 ≥ UCS > 30 | Slightly weathered hard rocks; unweathered or slightly weathered welded tuff, marble, dolomite, limestone, slate, sandstone with calcareous cementation; magmatic rocks with relatively coarse crystalline grains, etc. |
| Weaker Rock Formations | 30 ≥ UCS > 15 | Highly weathered hard rocks; slightly weathered hard rocks; sandstone and conglomerate with calcareous cementation. |
| Weak Rock Formation | 15 ≥ UCS > 5 | Schist; phyllite; mudstone; coal; sandstone and conglomerate with argillaceous cementation. |
| Loose Rock Formation | UCS ≤ 5 | Completely weathered rocks of various types, poorly lithified rocks, and Quaternary loose deposits. |
| Model | AUC | Accuracy | Recall | Precision | F1 Score | Kappa Coefficient |
|---|---|---|---|---|---|---|
| LR | 0.813 | 0.757 | 0.819 | 0.729 | 0.771 | 0.514 |
| GBDT-LR Coupled | 0.871 | 0.810 | 0.876 | 0.773 | 0.821 | 0.619 |
| Disaster-Causing Factor (Ranked by Factor Weight in this Study) | Comprehensive LR Coefficient | Impact Direction | Number of Matched High-Order Features |
|---|---|---|---|
| Elevation-related | −0.001 | Inhibitory | 435 |
| Distance to goaf-related | 0.167 | Promotive | 222 |
| Rainfall-related | −0.006 | Inhibitory | 157 |
| Slope-related | −0.002 | Inhibitory | 325 |
| NDVI-related | −0.002 | Inhibitory | 381 |
| Aspect-related | 0.000 | Promotive | 386 |
| Lithology × mining intensity interaction | 0.029 | Promotive | 14 |
| Other auxiliary factors | 0.033 | Promotive | 49 |
Disclaimer/Publisher’s Note: The statements, opinions and data contained in all publications are solely those of the individual author(s) and contributor(s) and not of MDPI and/or the editor(s). MDPI and/or the editor(s) disclaim responsibility for any injury to people or property resulting from any ideas, methods, instructions or products referred to in the content. |
© 2026 by the authors. Licensee MDPI, Basel, Switzerland. This article is an open access article distributed under the terms and conditions of the Creative Commons Attribution (CC BY) license.
Share and Cite
Wang, T.; Jin, C.; Liang, N.; Li, Y.; Song, S.; Ying, J.; Zhao, Y.; Zheng, B. Distribution Characteristics and Hazard Assessment of Ground Collapse in the Mining Activity Areas of the Turpan–Hami Basin. Appl. Sci. 2026, 16, 3354. https://doi.org/10.3390/app16073354
Wang T, Jin C, Liang N, Li Y, Song S, Ying J, Zhao Y, Zheng B. Distribution Characteristics and Hazard Assessment of Ground Collapse in the Mining Activity Areas of the Turpan–Hami Basin. Applied Sciences. 2026; 16(7):3354. https://doi.org/10.3390/app16073354
Chicago/Turabian StyleWang, Tao, Chao Jin, Ning Liang, Yongchao Li, Shuaihua Song, Jingjing Ying, Yiqing Zhao, and Bowen Zheng. 2026. "Distribution Characteristics and Hazard Assessment of Ground Collapse in the Mining Activity Areas of the Turpan–Hami Basin" Applied Sciences 16, no. 7: 3354. https://doi.org/10.3390/app16073354
APA StyleWang, T., Jin, C., Liang, N., Li, Y., Song, S., Ying, J., Zhao, Y., & Zheng, B. (2026). Distribution Characteristics and Hazard Assessment of Ground Collapse in the Mining Activity Areas of the Turpan–Hami Basin. Applied Sciences, 16(7), 3354. https://doi.org/10.3390/app16073354
