Frequency Response Extension Method of MET Vector Hydrophone Based on Dynamic Feedback Network
Abstract
1. Introduction
2. Principles and Background
2.1. Structure and Acoustic Theory of Hydrophone
2.2. Electrochemical Reaction Chamber
2.3. Structure of Force Balance Feedback METH
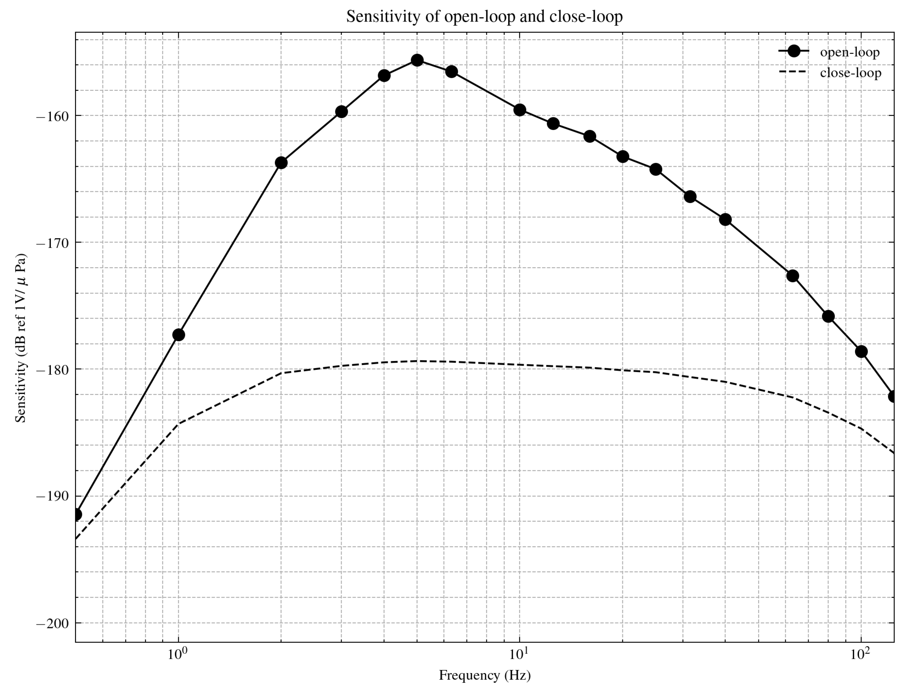
2.4. Open-Loop System Analysis of MET
2.5. Closed-Loop System Analysis of MET
3. Materials and Methods
3.1. Online Update and Adaptive Strategy of Dynamic Feedback Network
| Algorithm 1 Compensation of low-frequency cutoff frequency |
|
| Algorithm 2 Compensation of bandwidth sensitivity |
|
3.2. Calculation of Compensation Method for Low-Frequency Cutoff Frequency
3.3. Calculation of Compensation Method for Bandwidth Sensitivity
4. Results
4.1. Experimental Setup and Open-Loop Test
4.2. Adaptive Adjustment Results of Dynamic Feedback Network and Long-Term Transfer Function Drift
5. Discussion
6. Conclusions
Author Contributions
Funding
Institutional Review Board Statement
Informed Consent Statement
Data Availability Statement
Conflicts of Interest
References
- Kanamori, H. Earthquake physics and real-time seismology. Nature 2008, 451, 271–273. [Google Scholar] [CrossRef] [PubMed]
- Bugaev, A.S.; Antonov, A.N.; Agafonov, B.M.; Belotelov, K.S.; Vergeles, S.S.; Dudkin, P.V.; Egorov, E.V.; Egorov, I.V.; Zhevnenko, D.A.; Zhabin, S.N.; et al. Measuring Devices Based on Molecular-Electronic Transducers. J. Commun. Technol. Electron. 2018, 63, 1339–1351. [Google Scholar] [CrossRef]
- Evseev, I.; Zaitsev, D.; Agafonov, V. Study of Transfer Characteristics of a Molecular Electronic Sensor for Borehole Surveys at High Temperatures and Pressures. Sensors 2019, 19, 2545. [Google Scholar] [CrossRef] [PubMed]
- Chikishev, D.A.; Zaitsev, D.L.; Belotelov, K.S.; Egorov, I.V. The Temperature Dependence of Amplitude- Frequency Response of the MET Sensor of Linear Motion in a Broad Frequency Range. IEEE Sens. J. 2019, 19, 9653–9661. [Google Scholar] [CrossRef]
- Yeo, S.J.; Hong, S.Y.; Song, J.H.; Seol, H.S. Analysis of the effect of vortex reduction structures on submarine tonal noise via frequency-domain method employing thickness noise source. Ocean. Eng. 2022, 257, 111640. [Google Scholar] [CrossRef]
- Kim, G.; Kim, D.; Roh, Y. Design of Wideband Flextensional Hydrophone. Sensors 2024, 24, 4941. [Google Scholar] [CrossRef] [PubMed]
- Ahmadi-Shokouh, J.; Keshavarz, H. A vector-hydrophone’s minimal composition for finite estimation-variance in direction-finding near/without a reflecting boundary. IEEE Trans. Signal Process. 2007, 55, 2785–2794. [Google Scholar] [CrossRef]
- George, P.G.; Rajesh, R.; Sreehari, V.C.; Vivek, K.; Praveen, V.T.; Kumar, S. Experimental Investigations on Stability and Noise Issues of Michelson Interferometer based Fiber Optic Hydrophones. In Proceedings of the 2017 IEEE 3rd International Conference on Sensing, Signal Processing and Security (ICSSS), Chennai, India, 4–5 May 2017; pp. 148–153. [Google Scholar]
- Pan, L.; Li, S.; Chen, J.; Luo, M.; Zhang, L.; Huang, L.; Li, K.H.; Tang, X. Miniaturized GaN-Based Optical Hydrophones for Underwater Low-Frequency Acoustic Detection. IEEE Photonics Technol. Lett. 2024, 36, 1237–1240. [Google Scholar] [CrossRef]
- Chen, Z.; Wan, Z.; Li, Y.; Liu, H.; You, X. Design of low frequency hydrophone based on PVDF piezoelectric materials. Appl. Mech. Mater. 2014, 513–517, 3085–3089. [Google Scholar] [CrossRef]
- Wang, Q.P.; Liu, R.C.; Cheng, P.F.; Feng, F.L.; Jiang, X.F.; Liu, H.C. Features and Technology of Piezoelectric Hydrophone. Adv. Mater. Res. 2011, 199–200, 1832–1835. [Google Scholar] [CrossRef]
- Deng, T.; Chen, D.; Wang, J.; Chen, J.; He, W. A MEMS Based Electrochemical Vibration Sensor for Seismic Motion Monitoring. J. Microelectromech. Syst. 2014, 23, 92–99. [Google Scholar] [CrossRef]
- Zhang, X.; Wang, R.; Cao, W.; Liu, G.; Tan, H.; Li, H.; Wu, J.; Zhang, G.; Zhang, W. MEMS flexible conformal hydrophone based on heterogeneous integration technology. Sens. Rev. 2024, 44, 395–403. [Google Scholar] [CrossRef]
- Yan, H.; Xu, T.; Wang, P.; Zhang, L.; Hu, H.; Bai, Y. MEMS Hydrophone Signal Denoising and Baseline Drift Removal Algorithm Based on Parameter-Optimized Variational Mode Decomposition and Correlation Coefficient. Sensors 2019, 19, 4622. [Google Scholar] [CrossRef] [PubMed]
- Bakhoum, E.G.; Cheng, M.H.M. Frequency-Selective Seismic Sensor. IEEE Trans. Instrum. Meas. 2012, 61, 823–829. [Google Scholar] [CrossRef]
- Liang, T.C.; Lin, Y.L. A fiber-optic sensor for the ground vibration detection. Opt. Commun. 2013, 306, 190–197. [Google Scholar] [CrossRef]
- Zaitsev, D.; Egor, E.; Shabalina, A. High resolution miniature MET sensors for healthcare and sport applications. In Proceedings of the 2018 12th International Conference on Sensing Technology (ICST), Univ Limerick, Dept Elect & Comp Engn, Limerick, Ireland, 4–6 December 2018; pp. 287–292. [Google Scholar]
- Egorov, I.V.; Shabalina, A.S.; Agafonov, V.M. Design and Self-Noise of MET Closed-Loop Seismic Accelerometers. IEEE Sens. J. 2017, 17, 2008–2014. [Google Scholar] [CrossRef]
- Zaitsev, D.L.; Avdyukhina, S.Y.; Agafonov, V.M.; Bugaev, A.S.; Egorov, E.V. A Molecular-Electronic Hydrophone for Low-Frequency Research of Ambient Noise in the World Ocean. Dokl. Earth Sci. 2018, 483, 1579–1581. [Google Scholar] [CrossRef]
- Egorov, V.E.; Shabalina, A.S.; Zaytsev, D.L.; Velichko, G. Low Frequency Hydrophone for Marine Seismic Exploration Systems. In Proceedings of the 5th International Conference on Sensors and Electronic Instrumentation Advances (SEIA), Adeje, Spain, 25–27 September 2019; pp. 69–70. [Google Scholar]
- Agafonov, V.; Krishtop, V. Diffusion sensor of mechanical signals: Frequency response at high frequencies. Russ. J. Electrochem. 2004, 40, 537–541. [Google Scholar] [CrossRef]
- Xu, C.; Wang, J.; Chen, D.; Chen, J.; Liu, B.; Qi, W.; Zheng, X. The Electrochemical Seismometer Based on Fine-Tune Sensing Electrodes for Undersea Exploration. IEEE Sens. J. 2020, 20, 8194–8202. [Google Scholar] [CrossRef]
- Krishtop, V.T.; Zhevnenko, D.A.; Kokhanovsky, V.S.; Dudkin, V.P.; Zlobin, A.S.; Belyaev, A.Y.; Krishtop, V.G. High-sensitive ultra-low frequency hydrophone. In Proceedings of the International Conference on Micro- and Nano-Electronics, Zvenigorod, Russia, 1–5 October 2019; Volume 11022. [Google Scholar]
- Zaitsev, D.; Egorov, I.; Agafonov, V. A Comparative Study of Aqueous and Non-Aqueous Solvents to Be Used in Low-Temperature Serial Molecular-Electronic Sensors. Chemosensors 2022, 10, 111. [Google Scholar] [CrossRef]
- Yang, D.; Wang, X.; Sun, J.; Chen, H.; Ju, C.; Lin, T.; Tian, B.; Zheng, F. Design, Modeling and Simulation of a Liquid Jet Gyroscope Based on Electrochemical Transducers. Micromachines 2021, 12, 1008. [Google Scholar] [CrossRef] [PubMed]
- Ryzhkov, M.; Agafonov, V. Modeling of the MET Sensitive Element Conversion Factor on the Intercathode Distance. Sensors 2020, 20, 5146. [Google Scholar] [CrossRef]
- Zhou, Q.; He, Q.; Chen, Y.; Bao, X. Inlet Effect Caused by Multichannel Structure for Molecular Electronic Transducer Based on a Turbulent-Laminar Flow Model. Sensors 2020, 20, 2154. [Google Scholar] [CrossRef] [PubMed]
- Li, A.; Yang, H.; Yang, D.; Lin, J.; Zheng, F.; Zhang, H.; Tian, R. A Field Self-Adjusting Method for Electrochemical Seismometer Based on Dynamic Feedback Network. IEEE Sens. J. 2022, 22, 4224–4234. [Google Scholar] [CrossRef]
- Krylov, A.A.; Egorov, I.V.; Kovachev, S.A.; Ilinskiy, D.A.; Ganzha, O.Y.; Timashkevich, G.K.; Roginskiy, K.A.; Kulikov, M.E.; Novikov, M.A.; Ivanov, V.N.; et al. Ocean-Bottom Seismographs Based on Broadband MET Sensors: Architecture and Deployment Case Study in the Arctic. Sensors 2021, 21, 3979. [Google Scholar] [CrossRef]
- Antonov, A.; Shabalina, A.; Razin, A.; Avdyukhina, S.; Egorov, I.; Agafonov, V. Low-Frequency Seismic Node Based on Molecular-Electronic Transfer Sensors for Marine and Transition Zone Exploration. J. Atmos. Ocean. Technol. 2017, 34, 1743–1748. [Google Scholar] [CrossRef]
- Xu, C.; Wang, J.; Chen, D.; Chen, J.; Liu, B.; Qi, W.; Liang, T.; She, X. The MEMS-Based Electrochemical Seismic Sensor with Integrated Sensitive Electrodes by Adopting Anodic Bonding Technology. IEEE Sens. J. 2021, 21, 19833–19839. [Google Scholar] [CrossRef]
- Kozlov, V.; Terent’ev, D. Frequency characteristics of a spatially-confined electrochemical cell under conditions of convective diffusion. Russ. J. Electrochem. 2002, 38, 992–999. [Google Scholar] [CrossRef]
- Huang, H.; Agafonov, V.; Yu, H. Molecular Electric Transducers as Motion Sensors: A Review. Sensors 2013, 13, 4581–4597. [Google Scholar] [CrossRef]











Disclaimer/Publisher’s Note: The statements, opinions and data contained in all publications are solely those of the individual author(s) and contributor(s) and not of MDPI and/or the editor(s). MDPI and/or the editor(s) disclaim responsibility for any injury to people or property resulting from any ideas, methods, instructions or products referred to in the content. |
© 2025 by the authors. Licensee MDPI, Basel, Switzerland. This article is an open access article distributed under the terms and conditions of the Creative Commons Attribution (CC BY) license (https://creativecommons.org/licenses/by/4.0/).
Share and Cite
Bian, F.; Li, A.; Yang, H.; Zheng, F.; Yang, D.; Zhang, H.; Zhang, L.; Li, R. Frequency Response Extension Method of MET Vector Hydrophone Based on Dynamic Feedback Network. Appl. Sci. 2025, 15, 1620. https://doi.org/10.3390/app15031620
Bian F, Li A, Yang H, Zheng F, Yang D, Zhang H, Zhang L, Li R. Frequency Response Extension Method of MET Vector Hydrophone Based on Dynamic Feedback Network. Applied Sciences. 2025; 15(3):1620. https://doi.org/10.3390/app15031620
Chicago/Turabian StyleBian, Fang, Ang Li, Hongyuan Yang, Fan Zheng, Dapeng Yang, Huaizhu Zhang, Linhang Zhang, and Ruojin Li. 2025. "Frequency Response Extension Method of MET Vector Hydrophone Based on Dynamic Feedback Network" Applied Sciences 15, no. 3: 1620. https://doi.org/10.3390/app15031620
APA StyleBian, F., Li, A., Yang, H., Zheng, F., Yang, D., Zhang, H., Zhang, L., & Li, R. (2025). Frequency Response Extension Method of MET Vector Hydrophone Based on Dynamic Feedback Network. Applied Sciences, 15(3), 1620. https://doi.org/10.3390/app15031620
