Next Article in Journal
Decentralized Public Transport Management System Based on Blockchain Technology
Next Article in Special Issue
Nonlinear Dynamics of a Piezoelectric Bistable Energy Harvester Using the Finite Element Method
Previous Article in Journal
Physico-Mechanical Properties of Alkali-Activated Based Composites Using Recycled Tire Fibers
Previous Article in Special Issue
An Efficient Systematic Methodology for Noise and Vibration Analysis of a Reconfigurable Dynamic System Using Receptance Coupling Formulation
 
 
Font Type:
Arial Georgia Verdana
Font Size:
Aa Aa Aa
Line Spacing:
Column Width:
Background:
Article

Recurrence Quantification Analysis (RQA) of Toroidal End Tool Milling Process

1
Department of Manufacturing Techniques and Automation, The Faculty of Mechanical Engineering and Aeronautics, Rzeszow University of Technology, ul. W. Pola 2, 35-959 Rzeszow, Poland
2
Department of Applied Mechanics, Mechanical Engineering Faculty, Lublin University of Technology, Nadbystrzycka 36, 20-618 Lublin, Poland
3
Faculty of Mechanical Engineering, Lodz University of Technology, Stefanowskiego 1/15 Str, 90-537 Lodz, Poland
*
Author to whom correspondence should be addressed.
Appl. Sci. 2025, 15(3), 1347; https://doi.org/10.3390/app15031347
Submission received: 20 November 2024 / Revised: 24 January 2025 / Accepted: 24 January 2025 / Published: 28 January 2025
(This article belongs to the Special Issue Nonlinear Dynamics and Vibration)

Abstract

One type of milling process is the face milling of flat surfaces using a toroidal face cutter. A key feature of this process is that changes in the depth of the cut alter the entering angle, impacting milling dynamics by shifting cutting force proportions. To investigate this phenomenon, an experimental study was conducted on the face milling process using different sets of cutting parameters. Cutting force components were recorded, as these signals provide essential information about the milling process. Statistical indicators were then calculated and analyzed based on the recorded data. Following this, a recursive force analysis was performed, and Recurrence Quantification Analysis (RQA) indicators were computed. Relationships between the RQA indicators and the cutting parameters, specifically the feed per tooth (fz) and axial depth of the cut (ap), were established using response surface methodology. Empirical relationships between these parameters were derived. The results indicate that the RQA indicators like the determinism DET, the entropy ENT, and the length of longest vertical line VMAX are correlated with the cutting parameters for both the feed force (Ff) and the component normal to the feed (FfN). In the axial direction, the RQA indicators DET, ENT, and VMAX and also the percentage of recurrence points in a recurrence plot RR and the longest diagonal line length LMAX are shown to be relevant for analyzing the dynamics of the face milling process.

1. Introduction

Milling is one of the most common machining methods in industrial practice. One type of this process is face milling, which is carried out using face milling cutters [1]. These cutters are characterized by an entering angle of less than 90°, which means that they do not have cutting edges on the cylindrical surface. The toroidal milling cutter is a specific type of face milling tool, which is equipped with round cutting inserts. Its distinguishing feature is the fact that this cutter does not have a fixed entering angle. Moreover, the thickness of the cutting layer depends on the feed or the depth of the cut. As the depth of the cut increases, so does the thickness of the cutting layer [1]. Furthermore, changes in the depth of the cut also result in variations in the entering angle (Figure 1).
As the entering angle and the cross-sectional area of the cutting layer change, the cutting conditions also vary [2,3]. This variation, in turn, affects the dynamics of the milling process, particularly the relative proportions of the cutting force components. Consequently, the load on the tool changes in both the axial and radial directions. Since the axial and radial tool stiffnesses are different, the direction of the resultant cutting force has a significant effect on tool stability. Therefore, selecting appropriate milling parameters—especially the feed rate and depth of cut—is crucial, as these parameters play a decisive role in the efficiency and stability of the milling process.
The dynamics of the milling process have a crucial impact on the surface quality of the machined material [4,5,6]. In toroidal milling, the key cutting parameters are the depth of cut and the feed per tooth, both of which influence the cross-sectional area of the cutting layer. And these factors in turn determine the magnitude of the cutting force and the ratios of its components.
The cutting force is a fundamental parameter of milling processes [7] and is frequently used to study process performance [8]. However, the analysis of cutting force components in milling can be a challenging task due to the interrupted action of the cutting blades, which causes signal fluctuations [9]. Consequently, extensive research has been dedicated to analyzing force signals, and various signal measures and statistical parameters have been proposed [10]. One of these methods is recursive analysis, which is capable of studying time-varying signals.
Recurrence analysis and Recurrence Plot (RP) indicators are widely used in the literature to analyze problems across various scientific fields (Figure 2). These methods, originally popular in medicine, have also been adopted in areas such as biology, mathematics, physics, engineering, and chemistry [11,12,13,14,15,16,17].
In the context of cutting processes, Recurrence Plot (RP) and Recurrence Quantification Analysis (RQA) can be applied to classical machining operations such as turning, milling, and drilling [18,19,20,21,22,23,24,25,26,27]. These statistical methods are used to analyze signals from the cutting process, typically including components of the cutting force, vibration, and cutting power [20,28]. However, they have been used most frequently to investigate process stability [4,29].
The identification of vibrations in cutting processes using recursive analysis has been the focus of numerous recent studies. Lajmert et al. demonstrated that the recurrence plot analysis of cutting force components can effectively detect vibrations in the machining process [30]. Rusinek’s study [29] explored the potential of using Recurrence Quantification Analysis (RQA) indicators to assess the stability of the milling process for an aluminum alloy. In these experiments, cutting tests were conducted with a gradually increasing depth of cut. The study revealed that five recursive measures—DET/RR, LAM/DET, LENT, DIV, and VENT—are correlated with changes in the stability of the milling process and are suitable for process monitoring.
Meanwhile, Litak et al. investigated the relationship between RQA indicators and the dynamics of the milling process [31]. Their research was carried out during a milling process of a composite material, with the spindle speed being the variable process parameter. Changes in the spindle speed induced vibrations and the resulting change in the DET indicator exhibited a nonmonotonic trend. The study concluded that the DET indicator is effective for evaluating the dynamics of the milling process, particularly in mitigating vibrations at higher harmonics. Furthermore, cross-recurrence plot analysis (CRQA) was employed to assess the stability of the turning process [28]. Six CRQA indicators were tested, and the results demonstrated that the parameter values change rapidly upon the onset of vibrations. This analysis, based on spindle power signals, used vibration data solely for identifying process stability.
From these findings, it can be inferred that the type of material being machined does not significantly affect the relationship between the RQA indicators and the stability of the cutting process. Furthermore, a study by the authors [32] established that six fundamental RQA indicators are related to the stability of milling processes for the Inconel 718 alloy. In particular, with the occurrence of vibrations, the parameter values exhibited significant increases or decreases.
Recursive analysis can be used not only to monitor the stability of the cutting process but also to detect defects during milling. Ciecielag, Kecik et al. investigated the application of recurrence plots and RQA indicators for defect detection in the milling process. Their study demonstrated that indicators such as DET, TT, VMAX, RPDE, and recursive times T1 and T2 are effective in identifying material defects [25]. In contrast, another study [26] indicated that a larger set of indicators exhibit a relationship with the occurrence of defects. These indicators include LAM, DET, TRANS, L, ENTR, RPDE, CC, TT, T1, and T2. In particular, these indicators show significant changes in their values at the location of the defect, with variations of up to 60%.
Correlation studies between milling technological indicators and RQA measures were carried out by Ciecielag [33]. He demonstrated that the recursive indicators L and LAM were related to the feed per revolution and cutting speed. Furthermore, the LAM indicator showed a correlation with surface roughness. The study was performed during the milling of thin-walled composite parts, although no statistical analysis was conducted on the results. In a subsequent study, Ciecielag explored the use of RQA indices to detect the type of tool and material composition [27]. He found that the DET, L, and ENTR indices were sensitive to variations in both the type of tool and the grade of composite material.
The face milling process has also been analyzed using recursive analysis. Shridhar et al. examined the potential to identify transient and steady states by cutting through the RQA indicators derived from the vibration signal [34]. Their study proved that the RR, DET, TT, and LAM indicators exhibited value changes corresponding to shifts in the state of the cutting process. These changes were primarily attributed to variations in the cutting speed and depth of cut. However, the correlation between RQA indicators and cutting parameters was not investigated.
Recursive analysis has also been employed to assess surface roughness after turning [35]. In this study, the signal used was acoustic emission. The RQA indicators that demonstrated a relationship with surface roughness included ENTR, DET, LAM, and VMAX. An artificial neural network was utilized to predict the roughness, achieving an accuracy of over 90%. Similarly, recursive methods were applied to estimate surface quality after burnishing [36]. The surface quality parameter in this case was cross-sectional hardness. The study found that the highest cross-sectional hardness corresponded to the lowest values of DET, LAM, and RPDE, indicating that surface quality can be monitored through selected RQA indicators of the vibration signal.
An application of recursive methods is the analysis of cutting tool wear. Gangadhar et al. explored the possibility of identifying cutting tool defects using RP and RQA indicators [37]. Their study demonstrated that both methods are suitable for detecting tool defects. Most of the RQA indicators analyzed showed a correlation with tool damage. Similar findings were reported by Mhalsekar et al. [38], who investigated the wear of the flank during the milling process. They concluded that both the RP and RQA methods are effective for tool wear detection. Of the RQA indicators, RR, TT, LAM, and ENTR were found to be suitable to detect flank wear. In the case of RP, wear could be identified by observing specific color patterns corresponding to tool flank wear.
Recursive methods are extensively used in the analysis of cutting processes, with key applications including tool wear detection, the evaluation of cutting process stability, and chatter detection. Depending on the specific application, various RQA indicators have been found to be useful. However, the relationship between RQA measures and cutting parameters has not been systematically investigated, despite its potential for analyzing the dynamics of the cutting process. To address this gap, we applied recursive analysis to study the toroidal milling process. The objective was to determine the influence of the cutting parameters on the RP and RQA measures. Functional relationships between cutting parameters and the RQA indicators were established, and a statistical analysis of these relationships was performed. The study identified which RQA measures are most relevant to analyzing the dynamics of the toroidal milling process.
To the best of the authors’ knowledge, there are no papers studying the dynamics of the toroidal end tool milling process by means of advanced recurrence techniques. To fill this gap, the current paper investigates the relevance of Response Surface Methodology (RSM) and RQA in evaluating the forces in flat surface toroidal tool milling. The most important indicators of the RQA adopted for the discussed process are identified. The results of classical statistical analysis are also given for comparison purposes.

2. Methodology of the Experiment

Experimental tests of the milling process with a toroidal cutter were conducted in conditions ensuring the stability of the cutting process; thus, the possible influence of self-excited vibrations (chatter) on the results was eliminated. Initially, a modal analysis of the tool, fixed in the spindle, was performed by a modal hammer method. The difference between the impact forcing and response signals was then analyzed. A stability lob diagram (SLD) was determined for the selected cutting parameters using CUTPRO 9 software. Cutting tests were carried out on 42CrMo4 steel with a hardness of 220 HB. Its chemical composition is listed in Table 1 and its basic mechanical properties are listed in Table 2.

2.1. Method of Analysis

To analyze cutting forces, the classical statistical parameters were used, i.e., mean value (MEAN), standard deviation (STD), skewness (SKEW), and kurtosis (KURT). Moreover, the recurrence plot (RP) technique was engaged. This technique offers a visual method for interpreting hidden patterns in dynamical systems by reconstructing their phase space using time-delay embedding. Originally introduced by Eckmann et al. [39], an RP is represented as a square matrix, where each point corresponds to instances where the system revisits a previous state. Specifically, the RP highlights moments (with both axes i and j representing time) when the phase space trajectory returns to nearly the same region. The parameters m, d, and ε denote the embedding dimension, time delay, and threshold, respectively. Detailed explanations for selecting these parameters can be found in [40,41].
The Recurrence Plot (RP) method has evolved to incorporate quantitative measures derived from both point and line patterns within the plot, a technique known as Recurrence Quantification Analysis (RQA). RQA is a nonlinear analysis approach introduced by Zbilut and Webber [42], which quantifies recurrence patterns in the system’s phase space. It includes various complexity measures based on the density of recurrence points and the structures formed by diagonal and vertical lines within the plot. More detailed information on RP and RQA techniques can be found in [41].
In this study, we evaluated all RQA measures and selected six that most effectively indicated stability in milling processes. Among these, Recurrence Rate (RR) calculates the ratio of recurrence points to all possible points in the RP, while Determinism (DET) measures the fraction of recurrence points forming diagonal lines. Additional measures include Average Diagonal Length (L), Maximum Diagonal Length (LMAX), Entropy (ENT), Trapping Time (TT), and Length of Longest Vertical Line (VMAX).
The embedding parameters m and d were estimated using the average mutual information function and the false nearest neighbors method. With these parameters, RPs were created to illustrate the time instances when the system’s phase space trajectory revisits a similar region. Mathematically, an RP is defined by the following matrix:
M i j = θ ε s i s j ,
where θ represents the Heaviside step function, ε is a parameter that sets the threshold, and si and sj are delay vectors. If a recurrence is detected, then Mij is assigned the value 1, otherwise it is equal to 0. These outcomes are visualized in recurrence plots (RPs), where black dots represent Mij = 1 and white dots indicate Mij = 0. However, interpreting patterns in RPs is not a sufficient objective, so Recurrence Quantification Analysis (RQA) is often used to provide statistical descriptions of RPs. In this paper, the following RQA indicators were used:
  • the percentage of recurrence points in a recurrence plot (RR):
R R = 1 N 2 i , j , = 1 N R i , j ,
  • the determinism (DET):
D E T = l = l m i n N l P l l = 1 N l P l ,
  • the average diagonal length (L):
L = l = l m i n N l P l l = l m i n N P l ,
  • the longest diagonal line length (LMAX):
L M A X = m a x l i ; i = 1 ,   , N l ,
  • the Entropy (ENT) is Shannon’s entropy of the diagonal line segment distribution:
ENT = l = l m i n N P l   l n P l ,
  • the trapping time (TT) is the average length of the vertical lines:
T T = v = v m i n N v P v v = v m i n N P v ,
  • the length of the longest vertical line (VMAX):
V M A X = m a x v i ; i = 1 ,   , N v ,
where P(l) is the histogram of the lengths l of the diagonal lines, P(v) is the histogram of the vertical lines’ lengths v, and N denotes the quantity of points on the phase space trajectory. To calculate RP and RQA indicators in this paper, the application to make recurrence plots and conduct recurrence quantification analysis was created by the authors.
Response Surface Methodology (RSM) was used to determine the relationship between the technological parameters and each of the RQA indicators studied. RSM represents a sophisticated statistical approach employed to systematically design experiments aimed at optimizing various parameters [43,44,45]. The data obtained through RSM facilitates the prediction of relationships among variables, derived from the statistical models constructed during the analysis. Furthermore, RSM allows for the simultaneous examination of multiple variables in relation to a desired outcome, thus significantly reducing the number of experiments required for a complete analysis. A predictive model is formulated, and the statistical significance of each variable is rigorously assessed using Analysis of Variance (ANOVA). In addition, three-dimensional response surface plots are generated utilizing specialized software packages, such as DesignExpert (v.3.3), Minitab (v.22.1.0), and Matlab (2024a). These visual representations enable the elucidation of the synergistic effects exhibited by pairs of process variables on the outcome of interest [46].
The most commonly used mathematical form in RMS analysis is the second-order polynomial [44], which can be expressed as follows:
Y = β 0 + i = 1 k β i X i + i = 1 k β i i X i 2 + i = 1 k j > i k β i j X i X j + ϵ ,
The independent variables, denoted as Xi, and the output response, denoted as Y, are used in the model, with β representing the coefficients of the model and k indicating the number of independent variables. In Equation (9), the terms correspond to the following: the constant term (β0), the individual effects of each variable (Xi), the interaction effects between variables (XiXj), and the quadratic effects of each variable (Xi2), in that order. The second-order polynomial is relatively simple and effectively models the behavior of the experimental data, with a limited number of measurements, as is the case with toroidal milling tests. This model can provide accurate results when uncontrolled measurement errors and complex interdependencies between independent variables and the output response are eliminated.
In order to analyze and assess the quality and fit of the model, statistical parameters such as the Contribution, F-value, and p-value are most commonly used. Contribution means the percentage share of the factor in the model. In turn, the F-value is the model mean square divided by the error mean square, so it can be expressed as
F = M S M M S E = S S M d f M S S E d f E
where MSM is the model mean square, MSR is the error mean square, SSM is the model residual sum of squares, SSE is the error residual sum of squares, dfM is the degrees of freedom of the model, and dfE is the degrees of freedom of the error. It tests the hypothesis that all the regression parameters (except the intercept) are zero. Under this whole model hypothesis, the two mean squares have the same expectation. If there is a significant effect in the model, the F-value is higher than expected by chance alone. The p-value parameter is the probability of obtaining an F-statistic that has an F-Snedecor distribution with a value as obtained or greater, given an assumed level of significance and specified degrees of freedom [45,47].

2.2. Experimental Setup

The experimental tests were conducted on a DMU 100 monoBLOCK (Hoffman Estates, IL, USA) machining center (Figure 3). In each test, three cutting force components were recorded using a Kistler 9257B piezoelectric force sensor (Winterthur, Switzerland). The Ff force component was measured in the direction of feed motion (Ff), the FfN component in the direction normal to the feed, and the Fa component along the tool axis. The signals were then amplified using a Kistler 5070 load amplifier. The force signals were converted into digital form with a National Instruments NI USB-6003 digital-to-analog converter (Austin, TX, USA). The data recording and analysis of cutting force components were performed using SignalExpress 2013 V7.0 software.
The test samples (3 in Figure 3) were made of 42CrMo4 steel, with dimensions of 150 × 50 × 20 mm. Two 8 mm diameter holes were drilled into each specimen to allow for rigid attachment to the force gauge. This clamping method ensured maximum fixture stability. Two machining passes were performed on each specimen with defined cutting parameters.
For cutting tests, a Sandvik R300-050Q22-08H toroidal cutter (Stockholm, Sweden) with a diameter of 42 mm was used. A single R300-0828E-PL 1030 circular cutting insert was installed on the cutter. This insert features a relief angle of 8 degrees and a rake angle of 7 degrees and is made of tungsten carbide coated with TiAlN using PVD technology. The insert is specifically designed for machining materials from the P group. Only one cutting edge (one insert) was utilized to eliminate the impact of the tool run-out. Additionally, the use of a single insert removed the potential interference from overlapping force signals caused by multiple cutting edges, thereby improving the accuracy of the force signal analysis. Additionally, to ensure consistent and invariant testing conditions, each cutting test was performed using a new cutting insert. This approach eliminated the influence of tool wear on the cutting process and the analyzed parameters and indicators. Such an experimental setup enabled the investigation of dynamic process variations without the impact of tool wear while maintaining constant workpiece material parameters and ensuring the stability of the cutting process.
In the modal analysis of the tool holder-cutter system, the modal hammer type PCB 086C03 and the accelerometer type PCB M353 B16 were used. Force and acceleration signals were recorded using Carrier NI USB-9162 (Palm Beach Gardens, FL, USA) with an AC/DC NI 9233 measurement card coupled.

2.3. Research Plan

The cutting parameters were selected based on Sandvik’s recommendations for the workpiece material and tool. A cutting speed of vc = 300 m/min was used, with machining performed dry (without coolant). The tool speed was set at n = 2275 rpm to achieve the required cutting speed. The radial depth of cut (ae) was kept constant at 20 mm throughout the tests. The cutting tests followed a structured experimental design. A central composite fractional design (CCFD) statistical plan with three levels and two factors was applied. The two variable cutting parameters were the feed per tooth (fz) and the depth of cut (ap), both of which significantly influence the cross-sectional area of the cutting layer and the overall machining conditions. According to the experimental plan, the minimum, middle, and maximum values were selected for each of the variables. Consequently, the feed rate and depth of cut were assigned three distinct values each, resulting in nine sets of cutting parameters (Table 3). As a result of the experimental design, a total of 12 cutting tests were conducted, with 3 repetitions, in accordance with the experimental plan.

3. Results and Analysis

At the beginning, cutting process stability was estimated (Section 3.1) to find the chatter and chatter-free region of cutting parameters. Next, after milling tests, the statistical analysis of cutting force components (Section 3.2) and recurrence analysis (Section 3.3) were conducted. Finally, a model of relations between RQA and cutting parameters was proposed.

3.1. Cutting Process Stability

The first stage of the research involved determining the stability regions of the milling process. To achieve this, a stability lobe diagram was constructed using CUTPRO software. Modal analysis was performed by an impact test applied to the cutting tool with the modal hammer, and the response measured by an accelerometer was recorded. From these signals, the Frequency Response Function (FRF) was calculated. Using the FRF, the SLD was determined for specific tool and workpiece material parameters (Figure 4).
The analysis of the SLD for the cutting process revealed that the process remains always stable regardless of the spindle speed for depths of cut ap < 4.8 mm. Therefore, the maximum depth of cut used in the experiment was ap = 2.5 mm Additionally, the spindle speed during the tests was kept constant at n = 2275 rpm. Given that only one cutting edge was used, this results in a periodic forcing frequency of 38 Hz in the milling process. With such a low forcing frequency, the process remained consistently in a steady state because the natural frequency of the tool was significantly higher and was equal to 1750 Hz. On the basis of the analysis, it can be concluded that the tests were conducted under stable conditions, effectively eliminating the influence of chatter vibrations on the test results.
Additionally, in order to ensure the stability of the milling process, a short tool overhang was used, as shown in Figure 3. This provided high tool stiffness. Furthermore, a single-edge milling method was applied. As a result, only one cutting edge was engaged at any given moment, meaning the tool was subjected to force generated by just one edge. This approach ensured that, regardless of the engagement angle, the tool load remained constant and minimal, originating from a single cross-sectional area of the machined layer.
Moreover, there is no difference in the SLD for feed f = 0.05 mm/tooth and f = 0.15 mm/tooth.

3.2. Statistical Analysis of Cutting Force Components

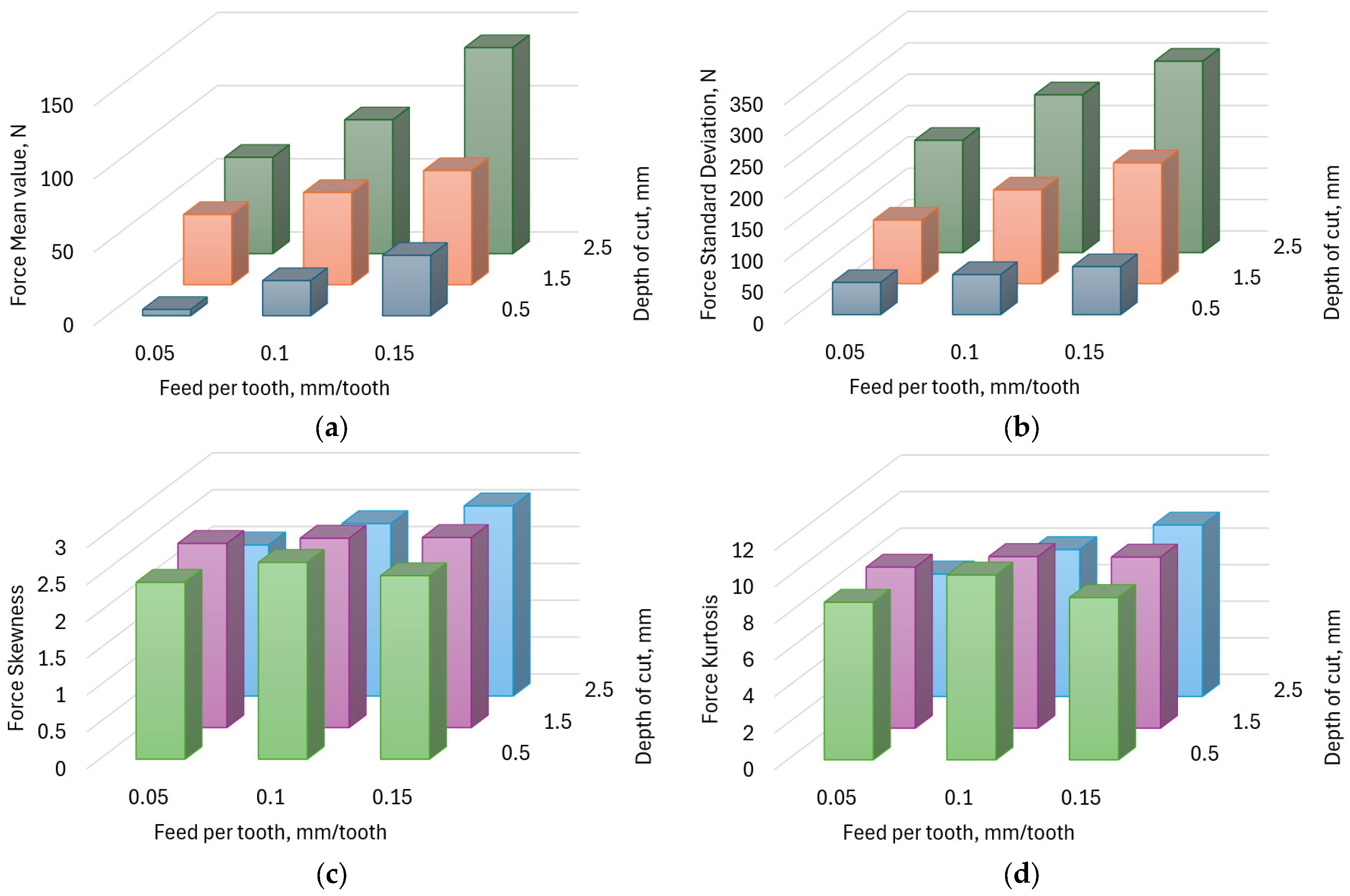
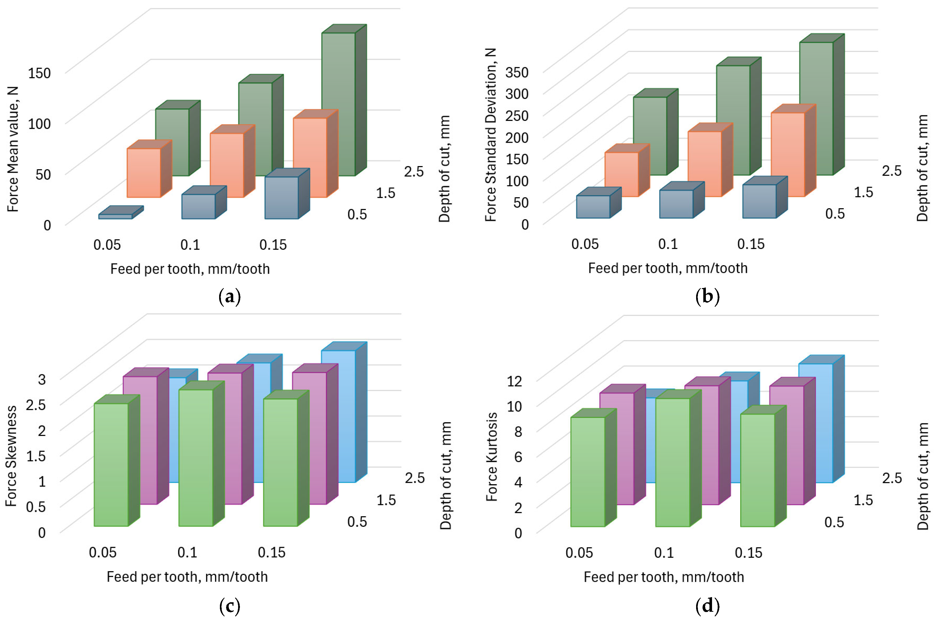
Statistical analysis was performed for three components of the cutting force: Ff, FfN, and Fa. Four statistical parameters were determined for each force component, i.e., the mean value (MEAN), standard deviation (STD), skewness (SKEW), and kurtosis (KURT). Figure 5, Figure 6 and Figure 7 illustrate the variation in these force component parameters as a function of the milling parameters. Very similar changes in the values of the different parameters were observed for each cutting force component. Trends in statistical parameters, particularly the mean value and standard deviation, are comparable for all components of the cutting force. Both parameters increase as the feed rate and depth of cut increase, with the increase being nearly proportional. This indicates that the primary influence on the STD and MEAN values is the size of the cross-sectional area of the cutting layer. Other factors, such as the variation in the specific cutting force with the feed rate or the change in the entering angle with the depth of cut, have a minimal effect on the MEAN and STD parameters.
However, the dynamics of the cutting process depend not only on the cross-sectional size of the cutting layer but also on other factors. The STD and MEAN parameters are particularly effective for evaluating changes in the cutting layer’s cross-section independently of these additional variables. Furthermore, the same analysis technique can be applied to any cutting force component. Therefore, to monitor changes in the cutting layer’s cross-sectional area, it is sufficient to record and analyze the variation of just one cutting force component, regardless of which component is selected.
The remaining two statistical parameters, SKEW and KURT, showed no significant relationship with the technological parameters. Their values fluctuated randomly within the range of feed and depth of cut tested. This suggests that skewness and kurtosis are not influenced by the cross-sectional area of the cutting layer and do not reflect the dynamics of the milling process. These findings are consistent with those of Weremczuk et al., who demonstrated that skewness and kurtosis are more suitable for monitoring the stability of the milling process [10]. Consequently, the utility of these parameters differs from that of the MEAN and STD.

3.3. Recurrence Plots Analysis

The analysis of the statistical parameters of the cutting force components has so far yielded results that are difficult to interpret and lack clarity. Therefore, a recurrence analysis of the force signal was performed. To preserve all relevant information, the signal was analyzed without applying low-pass or high-pass filtering. For each recurrence analysis, 2000 samples were selected, corresponding to approximately three blade cycles at the selected high sampling frequency, which provides a representative signal for a single cutting test.
Delay values (d) were calculated using the mutual information function [40,41] for each signal to minimize the interaction between points within the measured time series. Embedding dimension values (m) were also determined using the nearest-neighbor methodology [40,41]. The final parameter required for recurrence analysis was the recurrence threshold (ε), which was referenced to the standard deviation of the analyzed signal to ensure consistent conditions for comparative analysis. The threshold values were determined experimentally and are presented in Table 4.
Recurrence plots (RP) were generated using the estimated d, m, and ε parameters, resulting in 27 RP diagrams in the three cutting force components for each of the nine cutting tests. RP analysis yielded several insightful observations. In particular, each cutting force component displays a distinct RP pattern (Figure 8). The dark blue squares visible in each graph correspond to the intervals between cuts. This is the time between each cutting cycle of the blade. On the other hand, the boxes at the corners of the squares, i.e., at the intersection of the colored vertical and horizontal stripes, represent the cutting.
It can be seen that the diagram for each of the cutting force components is different. The shape of the field in the diagram and the degree to which it is filled with color is different. These differences indicate completely different dynamics of the cutting process in each of the cutting directions examined.
The cutting process is performed mainly in the feed direction, with the Ff component acting along it. Therefore, the Ff recurrence plot has a time-varying shape. The increasing shape of the field in the Ff diagram is probably due to the change in the cross-sectional area of the cutting layer, which is superimposed on the radial stiffness of the tool. In the milling process, the cross-sectional area of the cutting layer is expressed by the following relation:
AD = b h.
Parameter b represents the width of the chip and can be assumed to be equal to the cutting depth ap. The thickness of the cutting layer, h, is influenced by the feed per tooth fz, as described by the following equation:
h = fz sin(ϕ),
where ϕ is the cutter rotation angle. This means that the thickness h changes at each cutting moment as the angle ϕ of the blade in the material changes. This causes the thickness h and, at the same time, the field AD to increase as the angle ϕ increases during the concurrent cutting process. After reaching a maximum h, the field rapidly decreases and reaches zero as the blade leaves the material. This phenomenon may be the main reason for this shape of the RP of force Ff.
The Fa component operates within the plane that is perpendicular to the cutting velocity vector vc. This is the axial direction in which the stiffness of the tool is greatest. Hence, the RP diagram of the force component Fa is much more uniform than that of the component FfN. Both components Fa and FfN repel the tool from the workpiece but in different directions. Therefore, it can be assumed that the differences between the graphs are due to the different tool stiffnesses in the radial and axial directions. The FfN component represents the force responsible for the radial displacement of the tool relative to the workpiece. The stiffness of the tool in the radial direction is low, resulting in vibrations in this direction. Therefore, scattered and dashed fields are observed in the plot of Ff. The force varies periodically, indicating that vibrations of the tool in the radial direction are probably occurring.
This suggests that each cutting force component must be analyzed individually, as a single universal analysis method cannot be applied to all components.
As the cutting parameters fz and ap vary, the cross-sectional area of the cutting layer also changes. This cross section is defined by the geometric parameters: width (b) and thickness (h). As the cross-sectional area increases, the magnitude of each cutting force component also increases, in accordance with the mechanistic model of cutting force components. In this model, the force components are represented by the following equations [48]:
Ff = kfc b h + kfe b,
FfN = kfNc b h + kfNe b,
Fa = kac b h + kae b.
These equations incorporate experimentally determined coefficients k as well as the cross-sectional parameters b and h of the cutting layer, depth of cut- and feed-dependent. Thus, an increase in feed per tooth fz or depth of cut ap should theoretically result in an increase in each cutting force component. However, in toroidal milling, the entering angle also varies with the depth of cut, which subsequently affects the relationship among the force components. Consequently, changes in cutting forces may not always be directly proportional to the cross-sectional area of the cutting layer. As the entering angle changes, the cutting conditions evolve, necessitating a detailed investigation of the dynamics in toroidal milling.
The response patterns (RP) of each cutting force components were analyzed as a function of fz and ap. For each force component, only the color intensity of the fields changed; their shape and distribution across the diagram remained consistent. The color within the fields slightly intensifies as the feed rate fz increases, but not in all cutting tests. In contrast, changes in color intensity as a function of depth of cut ap are not regular. These changes are insufficient to formulate definitive conclusions about variations in the dynamics of the milling process depending on the ap and fz. Drawing concrete conclusions or identifying clear graph features indicative of milling dynamics remains a challenge. The application of artificial intelligence to detect subtle image changes in recurrence plots could be beneficial in this analysis.

3.4. Relations Between RQA and Cutting Parameters

Since RPs do not provide sufficient insight into the dynamics of the toroidal milling process, a Recurrence Quantification Analysis (RQA) was performed. Seven RQA indices were determined for each cutting test and each cutting force component, with the corresponding values presented in Table 5, Table 6 and Table 7. Due to the complexity of the numerical data, the results are illustrated in graphical form in Figure 9, Figure 10 and Figure 11. Given the large volume of data, the values of the variation in the RQA indicators are shown as a function of feed per tooth at the central value of the ap and as a function of axial feed at the central value of fz. The variation in these RQA measures in relation to the cutting parameters was then analyzed. To better visualize the varying RQA indicator values, the graphs were plotted on a logarithmic scale. Upon analyzing the variation in the RQA measures as a function of ap and fz (Figure 10, Figure 11 and Figure 12), it is evident that the trends of change differ for each component of the cutting force. Additionally, the selected RQA indicators exhibit distinct trends when plotted against feed per tooth versus depth of cut.
The indicator RR exhibits nonmonotonic behavior as a function of feed per tooth fz for the two cutting force components Ff and FfN. Similarly, for the Ff component in relation to the depth of cut ap, this parameter also behaves nonmonotonically. This may suggest that the RR indicator is not directly influenced by the cutting parameters. In contrast, for the Fa force component, the trend of the RR indicator as a function of the cutting parameters shows an overall increase, although the functional relationship is variable.
For the DET indicator, the variations in value are minimal, making it challenging to clearly determine its relationship with the cutting parameters. However, a distinct trend is observed in the DET function for the Fa force component. The TT and L indicators exhibit clearly nonmonotonic trends, particularly for the Ff and Fa components, suggesting a probable lack of correlation between these parameters and increasing cutting conditions. The indicators LMAX and VMAX display a monotonic trend only for the Fa force component, while for other components, both indicators exhibit highly variable behavior. The ENT indicator is difficult to interpret, as its dependence on the cutting parameters cannot be clearly identified for any of the cutting force components.
The analysis of graphs depicting the variation in RQA values as a function of cutting parameters proved insufficient to accurately determine their relationships. Therefore, a response surface methodology (RSM) was employed to analyze these relationships in greater detail. For each RQA indicator and each cutting force component, an attempt was made to fit a mathematical model. However, in many cases, the model fit was either insufficiently robust or unattainable. A threshold criterion was established by which models with a fit level below 70% were discarded from further analysis. Table 8 presents the fitting results for the experimental models that met this criterion.
For the Ff and FfN components, the same three RQA indicators, DET, ENT, and VMAX, are related to the milling parameters. These indicators for the Ff cutting force component are expressed by the following equations:
DETFf = 0.90799 + 0.2197 fz + 0.01777 ap,
ENTFf = 1.300 + 4.73 fz + 1.611 ap − 0.4736 ap2,
VMAXFf = 45.4 + 459 ap − 160.2 ap2,
and for the FfN force component:
DETFfN = 0.95018 + 0.1483 fz + 0.02507 ap − 0.00420 ap2 − 0.0560 fz ap,
ENTFfN = 2.728 − 0.1302 ap,
VMAXFfN = 136.5 + 860 fz + 153.3 ap − 44.5 ap2.
The most significant difference is found in the model for the ENT indicator. For the Ff component, the ENT model depends on both milling parameters, fz and ap; for the FfN component, however, the ENTFfN model is a function of only the depth of cut ap. This difference between the two ENT models is evident when analyzing the graphs in Figure 13b and Figure 14b. For the Ff component, the ENTFf model exhibits a nonmonotonic trend, reaching a maximum at the midpoint of the depth of cut range. This nonmonotonic behavior in the ENTFf function is likely related to the entering angle variations that occur with changes in the depth of cut. Similar nonmonotonic trends are also observed in other RQA indicator models (Figure 12, Figure 13 and Figure 14). The differences between the ENT models of the Ff and FfN forces are also visible in the equations. The ENTFf model (17) has a quadratic factor and two linear factors. The ENTFfN model (20) is very simple and has only one linear factor.
The DET models for the two force components Ff and FfN likewise differ. Although both models incorporate the variables fz and ap, the DETFfN model (19) is more complex, including quadratic and 2-way factors, whereas the DETFf model (16) consists only of linear factors. For the Ff component, the DETFf indicator increases linearly as the cross-sectional area of the cutting layer increases in the feed direction. In contrast, the VMAX indicator for both force components presents a more intricate form. For the FfN component, VMAXFfN depends on both fz and ap, while the VMAXFf varies nonmonotonically solely as a function of ap and is insensitive to changes in feed per tooth fz. Both VMAX indicator models are very similar, differing only in the occurrence of the feed rate. However, it can be observed that for the Ff component of the cutting force, the VMAXFf model exhibits a relatively high error level of 26.41%. This is likely due to the fact that the VMAX parameter depends solely on the cutting depth ap, and its relationship with the feed fz cannot be established or functionally described. Therefore, using the VMAXFf indicator to assess the dynamics of the milling process in the feed direction may be subject to slight error. The analysis of VMAX indicator variability in the feed direction of milling requires further research. Nonetheless, the obtained VMAXFf model is characterized by a low p-value, which indicates the high statistical significance of the model. In most of the models analyzed, satisfactory fits were achieved for the Ff and FfN components, with low p-values for the model factors, indicating strong statistical significance. Elevated p-values were found only in the VMAX models, primarily for the ap factor, suggesting lower statistical significance for this component. However, the overall p-value for each model is below 0.05, which is considered statistically significant.
The RQA indicators for the axial component of the cutting force Fa exhibit completely different variations compared to those for the Ff and FfN components (Figure 14). These indicators for the Fa force component can be expressed by the following formulas:
DETFa = 0.6466 + 0.1153 ap,
ENTFa = −0.626 + 4.03 ap − 1.084 ap2,
VMAXFa = −34.8 + 459 ap − 134.0 ap2,
RRFa = −0.0189 + 0.3142 ap − 0.0917 ap2,
LMAXFa = 18.2 + 194.2 ap,
This distinction arises from the fact that Ff and FfN act within the cutting plane, whereas Fa is perpendicular to them, aligned with the tool axis. The axial cutting force component Fa is a passive force that is primarily responsible for pulling the tool away from the workpiece in the axial direction. Consequently, the analysis of the Fa component leads to conclusions that are different from those derived for the Ff and FfN components. In particular, the RQA measure models for the Fa force differ significantly from those for the Ff and FfN forces, with all Fa models depending solely on the parameter ap.
The feed per tooth fz does not affect any of the RQA indicators determined in the axial direction. Therefore, it can be inferred that each RQA indicator identified for the Fa force component is useful for monitoring changes only in the depth of cut ap. Notably, the DETFa and LMAXFa indicators exhibit linear increases with an increasing depth of cut, indicating sensitivity exclusively to changes in the cross-sectional area of the cutting layer due to increases in ap. In contrast, the ENTFa, VMAXFa, and RRFa indicators vary nonmonotonically, reaching a maximum at the midpoint of the ap range tested. This suggests that these measures are responsive not only to changes in the cross-sectional area but also to variations in milling dynamics associated with changes in the cutter entering angle, to which the axial component of the cutting force Fa is particularly sensitive [1]. None of the RQA indicators for the Fa component are effective in monitoring changes in feed per tooth. Variations in feed rate fz can only be tracked through certain RQA measures for the Ff and FfN components.
Statistically, all models for the Fa component are significant, with elevated p-values observed only for the ap factor in the VMAX model, as seen with the Ff and FfN components. This suggests that VMAX has a lower likelihood of producing repeatable results, implying that the use of this RQA measure to assess the dynamics of the toroidal milling process may introduce some degree of error. Additionally, it can be observed that all RQA indicator models for the Fa cutting force exhibit a relatively high fitting error. This is likely due to the fact that they are related to only one parameter, the cutting depth ap. The lack of a functional relationship with the feed per tooth fz results in an increased fitting error of the models in the process. Nonetheless, in every case, the p-value of the obtained models is below 0.05, indicating the statistical significance of the equations (Figure 14). The influence of the dynamics of the toroidal milling process on RQA parameters requires further research, taking into account other variables such as the material, tool wear, tool overhang, and cutting speed.
Additionally, it can be observed that some RQA indicator models exhibit non-monotonic behavior. In every case, the monotonicity of the function was dependent on the parameter ap. The non-monotonic behavior of these indicators may be attributed to variations in the entering angle, which changes with the depth of cut ap and influences force interactions in a complex manner. The observed non-monotonic behavior of the functions may result from the interaction of the changing cutter entering angle, the size and shape of the cut layer cross-section, and the value of the specific cutting force. Additionally, the mechanical response of the tool-workpiece system, such as elastic deformations and contact stiffness variations, could contribute to these trends due to the changes in the cut layer cross-section. The observed non-monotonic behavior of the function is characteristic of toroidal milling, where changes in cutting depth are accompanied by variations in the entering angle and the shape of the cross-section of the machined layer. Therefore, the obtained research results are unique, as the findings available for conventional face milling cannot be applied to the analysis of the toroidal milling process.

4. Conclusions

The milling of flat surfaces using a toroidal cutter is a multifaceted cutting process, where variations in technological parameters lead to dynamic changes in cutting conditions. Specifically, an increase in the feed per tooth modifies the specific cutting force, while alterations in the depth of cut affect the entering angle. Therefore, the dynamics of toroidal milling are not influenced solely by the cross-sectional area of the cutting layer but by a combination of additional factors. To achieve a comprehensive assessment of the dynamics of toroidal milling, an in-depth analysis was conducted based on signals from the three cutting force components Ff, FfN, and Fa, while maintaining stable cutting conditions throughout the study. In order to analyze the dynamics of the process, the influence of other factors on the machining process, such as tool wear and vibrations, was eliminated.
An analysis of statistical parameters of cutting force components indicated that only the mean value (MEAN) and standard deviation (STD) are influenced by the milling parameters. Both the MEAN and STD increase proportionally with increases in the feed per tooth (fz) and depth of cut (ap), suggesting that they are directly related to the cross-sectional size of the cutting layer, independent of other factors affecting milling dynamics. Consequently, MEAN and STD are reliable indicators for determining the cross-sectional area of the cutting layer and can be calculated from any cutting force component. In contrast, other statistical parameters, such as kurtosis (KUR) and skewness (SKEW), show random variation and are not related to the dynamics of the milling. However, these parameters may serve as indicators for assessing the stability of the cutting process.
Recurrence analysis demonstrated that distinct forms of recurrence plots were obtained for each cutting force component. However, the dynamics of the toroidal milling process could not be reliably assessed using only RP analysis, as changes in milling parameters did not significantly alter the shapes and intensity of areas of the plots. Consequently, an analysis of Recurrence Quantification Analysis (RQA) measures was conducted. Although the variation in the RQA indicators with respect to the feed per tooth fz and depth of cut ap was insufficient, the response surface methodology proved useful in modelling the RQA indicators.
In particular, the axial force component (Fa) exhibited markedly different analysis results compared to the feed force component (Ff) and the normal to the feed force component (FfN). For Ff and FfN, three RQA indicators, DET, ENT, and VMAX, were associated with the milling parameters, although they varied in model forms and influential factors. The VMAX indicator and its ap factors for each cutting force component were characterized by an increased p-value. This means that their usefulness is questionable and the real results may differ from the model ones. In contrast, the RQA indicators of the axial force component were exclusively related to the depth of cut, with DETFa, ENTFa, VMAXFa, RRFa, and LMAXFa proving to be effective in assessing the milling dynamics. Notably, DETFa and LMAXFa appeared primarily dependent on the cross-sectional size of the cutting layer and their models are linear, like the cross-sectional area of the cut layer. Models of ENTFa, VMAXFa, and RRFa have quadratic factors, and this suggests their relationship with the variable entering angle. The models obtained, apart from the VMAX indicator, are characterized by low values of the p-value parameter, which indicates a high probability of obtaining results that coincide with the models. Taking into account the results of the study, a comprehensive analysis of toroidal milling dynamics requires examining selected RQA indicators for each cutting force component separately.
The conducted experimental studies may have potential applications for assessing the dynamics of the milling process using a toroidal cutter. As indicated by the research, the dynamics of the milling process vary depending on cutting parameters such as the cutting depth and feed per tooth. Moreover, the process dynamics differ in each considered direction: the feed direction, normal to the feed direction, and axial direction. Therefore, the selected RQA parameters may be useful for evaluating the dynamics of the process in different directions, specifically the dynamic load on the tool and the workpiece. This, in turn, could be used to predict tool wear, because tool wear, particularly fatigue wear of the cutter’s material, is dependent on the dynamics of the loading. Therefore, future studies should focus on validating the models under different materials, tool geometries, and machining conditions to improve their universality. Moreover, additional studies should investigate RQA performance under dynamic conditions. This could provide additional insights into process monitoring and adaptive control strategies.

Author Contributions

Conceptualization, L.Z. and R.R.; methodology, R.R.; software, P.L., M.P., R.R. and J.L.; validation, R.R., P.L. and J.L.; formal analysis, R.R.; investigation, L.Z. and M.P.; resources, M.P., J.L. and P.L.; data curation, M.P.; writing—original draft preparation, L.Z. and R.R.; writing—review and editing, L.Z. and R.R.; visualization, M.P. and L.Z.; supervision, R.R.; project administration, L.Z.; funding acquisition, L.Z. All authors have read and agreed to the published version of the manuscript.

Funding

The research leading to these results has received funding from the commissioned task entitled “VIA CARPATIA Universities of Technology Network named after the President of the Republic of Poland Lech Kaczyński”, under the special purpose grant from the Minister of Science, contract no. MEiN/2022/DPI/2578 action entitled “In the neighborhood-inter-university research internships and study visits”.

Institutional Review Board Statement

Not applicable.

Informed Consent Statement

Not applicable.

Data Availability Statement

The raw data supporting the conclusions of this article will be made available by the authors on request.

Conflicts of Interest

The authors declare no conflicts of interest.

References

  1. Płodzień, M.; Żyłka, Ł.; Stoić, A. Modelling of the Face-Milling Process by Toroidal Cutter. Materials 2023, 16, 2829. [Google Scholar] [CrossRef] [PubMed]
  2. Gdula, M.; Mrówka-Nowotnik, G. Analysis of Tool Wear, Chip and Machined Surface Morphology in Multi-Axis Milling Process of Ni-Based Superalloy Using the Torus Milling Cutter. Wear 2023, 520–521, 204652. [Google Scholar] [CrossRef]
  3. Gdula, M. Determination and Analysis of Working Diameters and Working Angle of the Torus Cutter Blade in Multi-Axis Machining in the Aspect of Tool Wear. Int. J. Mech. Eng. Robot. Res. 2024, 13, 535–547. [Google Scholar] [CrossRef]
  4. Deng, J.; Wang, F.; Fu, R.; Lin, Y.; He, Q.; Ma, X. Prediction of Time-Varying Dynamics and Chatter Stability Analysis for Surface Milling of Thin-Walled Curved CFRP Workpiece. J. Mater. Process. Technol. 2023, 322, 118186. [Google Scholar] [CrossRef]
  5. Korpysa, J.; Zagórski, I.; Weremczuk, A.; Habrat, W. Process Stability Analysis during Trochoidal Milling of AZ91D Magnesium Alloy Using Different Toolholder Types. Appl. Sci. 2024, 14, 3616. [Google Scholar] [CrossRef]
  6. Sun, Z.; Liu, Y.; Geng, D.; Zhang, D.; Ying, E.; Liu, R.; Jiang, X. Cutting Performance and Surface Integrity during Rotary Ultrasonic Elliptical Milling of Cast Ni-Based Superalloy. J. Mater. Res. Technol. 2025, 35, 980–994. [Google Scholar] [CrossRef]
  7. Habrat, W.; Lisowicz, J.; Tymczyszyn, J.; Skroban, A. Simulation and Experimental Study of the Termo-Mechanical Effect of the Milling Process of 7075 Aluminium Alloy. Adv. Sci. Technol. Res. J. 2024, 18, 58–66. [Google Scholar] [CrossRef]
  8. Machado, J.A.T.; Baleanu, D.; Luo, A.C.J. (Eds.) Discontinuity and Complexity in Nonlinear Physical Systems; Nonlinear Systems and Complexity; Springer International Publishing: Cham, Switzerland, 2014; Volume 6, ISBN 978-3-319-01410-4. [Google Scholar]
  9. Szajna, A.; Bazan, A.; Tymczyszyn, J.; Kawalec, M.; Rydzak, T.; Kubik, P. The Effect of Milling Parameters of Vanadis 4 Extra Steel on Cutting Force Values and Roughness of Machined Surface. Adv. Sci. Technol. Res. J. 2024, 18, 181–190. [Google Scholar] [CrossRef]
  10. Weremczuk, A.; Borowiec, M.; Rudzik, M.; Rusinek, R. Stable and Unstable Milling Process for Nickel Superalloy as Observed by Recurrence Plots and Multiscale Entropy. Eksploat. Niezawodn.-Maint. Reliab. 2018, 20, 318–326. [Google Scholar] [CrossRef]
  11. Abedinzadeh Torghabeh, F.; Modaresnia, Y.; Hosseini, S.A. An Efficient Tool for Parkinson’s Disease Detection and Severity Grading Based on Time-Frequency and Fuzzy Features of Cumulative Gait Signals through Improved LSTM Networks. Med. Nov. Technol. Devices 2024, 22, 100297. [Google Scholar] [CrossRef]
  12. Abrishami Shokooh, L.; Toffa, D.H.; Pouliot, P.; Lesage, F.; Nguyen, D.K. Identification of Global and Local States during Seizures Using Quantitative Functional Connectivity and Recurrence Plot Analysis. Comput. Biol. Med. 2020, 122, 103858. [Google Scholar] [CrossRef] [PubMed]
  13. Aceves-Fernandez, M.A.; Ramos-Arreguin, J.M.; Gorrostieta-Hurtado, E.; Pedraza-Ortega, J.C. Methodology Proposal of EMG Hand Movement Classification Based on Cross Recurrence Plots. Comput. Math. Methods Med. 2019, 2019, 6408941. [Google Scholar] [CrossRef] [PubMed]
  14. Acharya, U.R.; Faust, O.; Ciaccio, E.J.; Koh, J.E.W.; Oh, S.L.; Tan, R.S.; Garan, H. Application of Nonlinear Methods to Discriminate Fractionated Electrograms in Paroxysmal versus Persistent Atrial Fibrillation. Comput. Methods Programs Biomed. 2019, 175, 163–178. [Google Scholar] [CrossRef]
  15. Acharya, U.R.; Faust, O.; Kannathal, N.; Chua, T.; Laxminarayan, S. Non-Linear Analysis of EEG Signals at Various Sleep Stages. Comput. Methods Programs Biomed. 2005, 80, 37–45. [Google Scholar] [CrossRef]
  16. Acharya, U.R.; Yu, W.; Chattopadhyay, S.; Zhu, K.; Ng, E.Y.K.; Swapna, G. Recurrence quantification analysis of body response to functional electrical stimulation on hemiplegic subjects. J. Mech. Med. Biol. 2012, 12, 1250038. [Google Scholar] [CrossRef]
  17. Kleiser, S.; Pastewski, M.; Hapuarachchi, T.; Hagmann, C.; Fauchère, J.-C.; Tachtsidis, I.; Wolf, M.; Scholkmann, F. Characterizing Fluctuations of Arterial and Cerebral Tissue Oxygenation in Preterm Neonates by Means of Data Analysis Techniques for Nonlinear Dynamical Systems. In Oxygen Transport to Tissue XXXVII; Elwell, C.E., Leung, T.S., Harrison, D.K., Eds.; Advances in Experimental Medicine and Biology; Springer: New York, NY, USA, 2016; Volume 876, pp. 511–519. ISBN 978-1-4939-3022-7. [Google Scholar]
  18. Elias, J. Detection of Chatter in Turning Using Recurrence Plot Analysis of Input Current, Vibration of Tool and Speckle Image of Machined Surface. Int. J. Prod. Technol. Manag. 2011, 1, 56–64. [Google Scholar]
  19. Chen, K.; Zhang, X.; Zhao, W. Automatic Feature Extraction for Online Chatter Monitoring under Variable Milling Conditions. Measurement 2023, 210, 112558. [Google Scholar] [CrossRef]
  20. Chen, K.; Zhang, X.; Zhao, Z.; Yin, J.; Zhao, W. Milling Chatter Monitoring under Variable Cutting Conditions Based on Time Series Features. Int. J. Adv. Manuf. Technol. 2021, 113, 2595–2613. [Google Scholar] [CrossRef]
  21. Ciecielag, K.; Kęcik, K.; Zaleski, K. Influence of Defect Diameter on Its Detection in Milling Process of Composite Material Using Recurrence Plot Technique. Compos. Theory Pract. 2017, 17, 194–199. [Google Scholar]
  22. Kecik, K.; Ciecielag, K.; Zaleski, K. Damage Detection by Recurrence and Entropy Methods on the Basis of Time Series Measured during Composite Milling. Int. J. Adv. Manuf. Technol. 2020, 111, 549–563. [Google Scholar] [CrossRef]
  23. Kecik, K.; Ciecieląg, K. The Effect of Cutting Parameters on Defect Detection Based on Recurrence Analysis of Cutting Force Signals Obtained from GFRP Composite Milling. Measurement 2025, 239, 115406. [Google Scholar] [CrossRef]
  24. Kim, Y.; Kim, T.; Youn, B.D.; Ahn, S.-H. Machining Quality Monitoring (MQM) in Laser-Assisted Micro-Milling of Glass Using Cutting Force Signals: An Image-Based Deep Transfer Learning. J. Intell. Manuf. 2022, 33, 1813–1828. [Google Scholar] [CrossRef]
  25. Kecik, K.; Ciecielag, K.; Zaleski, K. Damage Detection of Composite Milling Process by Recurrence Plots and Quantifications Analysis. Int. J. Adv. Manuf. Technol. 2017, 89, 133–144. [Google Scholar] [CrossRef]
  26. Ciecieląg, K.; Kecik, K.; Zaleski, K. Defects Detection from Time Series of Cutting Force in Composite Milling Process by Recurrence Analysis. J. Reinf. Plast. Compos. 2020, 39, 890–901. [Google Scholar] [CrossRef]
  27. Ciecieląg, K. Machinability Measurements in Milling and Recurrence Analysis of Thin-Walled Elements Made of Polymer Composites. Materials 2023, 16, 4825. [Google Scholar] [CrossRef]
  28. Elias, J.; Narayanan Namboothiri, V.N. Cross-Recurrence Plot Quantification Analysis of Input and Output Signals for the Detection of Chatter in Turning. Nonlinear Dyn. 2014, 76, 255–261. [Google Scholar] [CrossRef]
  29. Rusinek, R. Stability Criterion for Aluminium Alloy Milling Expressed by Recurrence Plot Measures. Proc. Inst. Mech. Eng. Part B J. Eng. Manuf. 2012, 226, 1976–1985. [Google Scholar] [CrossRef]
  30. Lajmert, P.; Rusinek, R.; Kruszyński, B. Chatter Identification in Milling of Inconel 625 Based on Recurrence Plot Technique and Hilbert Vibration Decomposition. MATEC Web Conf. 2018, 148, 09003. [Google Scholar] [CrossRef][Green Version]
  31. Litak, G.; Syta, A.; Rusinek, R. Dynamical Changes during Composite Milling: Recurrence and Multiscale Entropy Analysis. Int. J. Adv. Manuf. Technol. 2011, 56, 445–453. [Google Scholar] [CrossRef]
  32. Kecik, K.; Borowiec, M.; Rusinek, R. Verification of the Stability Lobes of Inconel 718 Milling by Recurrence Plot Applications and Composite Multiscale Entropy Analysis. Eur. Phys. J. Plus 2016, 131, 14. [Google Scholar] [CrossRef][Green Version]
  33. Ciecieląg, K. Evaluation of Machinability Indicators in Milling of Thin-Walled Composite Structures. Adv. Sci. Technol. Res. J. 2024, 18, 202–212. [Google Scholar] [CrossRef] [PubMed]
  34. Shridhar, D.M.; Mohan, G.; Shrikantha, S.; Gangadharan, K.V. Determination of Transient And Steady State Cutting in Face Milling Operation Using Recurrence Quantification Analysis. ARPN J. Eng. Appl. Sci. 2009, 4, 36–46. [Google Scholar]
  35. Kamarthi, S.; Sultornsanee, S.; Zeid, A. Recurrence Quantification Analysis to Estimating Surface Roughness in Finish Turning Processes. Int. J. Adv. Manuf. Technol. 2016, 87, 451–460. [Google Scholar] [CrossRef]
  36. Feng, S.; Ding, C.; Qiao, Z.; Yuan, Z.; Zhou, Z.; Hou, W.; Piao, Z. Correlation between Vibration Signal and Surface Quality Based on Recurrence Analysis during Surface Burnishing Process. Mech. Syst. Signal Process. 2023, 200, 110654. [Google Scholar] [CrossRef]
  37. Gangadhar, N.; Madhusudana, C.K.; Kumar, H.; Narendranath, S. Recurrence Quantification Analysis to Classify the Tool Condition of Tungsten Carbide While Machining Die Steel. Int. J. Cond. Monit. 2016, 6, 2–8. [Google Scholar] [CrossRef]
  38. Mhalsekar, S.D.; Rao, S.S.; Gangadharan, K.V. Investigation on Feasibility of Recurrence Quantification Analysis for Detecting Flank Wear in Face Milling. Int. J. Eng. 2010, 2, 23–38. [Google Scholar] [CrossRef]
  39. Eckmann, J.-P.; Kamphorst, S.O.; Ruelle, D. Recurrence Plots of Dynamical Systems. Europhys. Lett. 1987, 4, 973–977. [Google Scholar] [CrossRef]
  40. Marwan, N. Encounters with Neighbours: Current Developments of Concepts Based on Recurrence Plots and Their Applications. Ph.D. Thesis, University of Potsdam, Potsdam, Germany, 2003. [Google Scholar]
  41. Marwan, N.; Carmenromano, M.; Thiel, M.; Kurths, J. Recurrence Plots for the Analysis of Complex Systems. Phys. Rep. 2007, 438, 237–329. [Google Scholar] [CrossRef]
  42. Zbilut, J.P.; Webber, C.L. Embeddings and Delays as Derived from Quantification of Recurrence Plots. Phys. Lett. A 1992, 171, 199–203. [Google Scholar] [CrossRef]
  43. Mohamad Said, K.A.; Mohamed Amin, M.A. Overview on the Response Surface Methodology (RSM) in Extraction Processes. J. Anthropol. Sport Phys. Educ. 2016, 2, 8–17. [Google Scholar] [CrossRef]
  44. Kim, J.; Kim, D.-G.; Ryu, K.H. Enhancing Response Surface Methodology through Coefficient Clipping Based on Prior Knowledge. Processes 2023, 11, 3392. [Google Scholar] [CrossRef]
  45. Breig, S.J.M.; Luti, K.J.K. Response Surface Methodology: A Review on Its Applications and Challenges in Microbial Cultures. Mater. Today Proc. 2021, 42, 2277–2284. [Google Scholar] [CrossRef]
  46. Majid, M.F.; Mohd Zaid, H.F.; Kait, C.F.; Jumbri, K.; Yuan, L.C.; Rajasuriyan, S. Futuristic Advance and Perspective of Deep Eutectic Solvent for Extractive Desulfurization of Fuel Oil: A Review. J. Mol. Liq. 2020, 306, 112870. [Google Scholar] [CrossRef]
  47. Myers, R.H. Response Surface Methodology: Process and Product Optimization Using Designed Experiments, 1st ed.; New York Academy of Sciences Series; John Wiley & Sons, Incorporated: Newark, NJ, USA, 2016; ISBN 978-1-118-91601-8. [Google Scholar]
  48. Rubeo, M.A.; Schmitz, T.L. Milling Force Modeling: A Comparison of Two Approaches. Procedia Manuf. 2016, 5, 90–105. [Google Scholar] [CrossRef]
Figure 1. The influence of the depth of the cut on the cutting layer and entering angle: (a) ap equal 15% of insert radius, (b) ap equal 75% of insert radius.
Figure 1. The influence of the depth of the cut on the cutting layer and entering angle: (a) ap equal 15% of insert radius, (b) ap equal 75% of insert radius.
Applsci 15 01347 g001
Figure 2. Number of journal articles with recurrence plot keywords divided into scientific fields published from 1980 to 2024 “https://www.lens.org/ (accessed on 12 November 2024)”.
Figure 2. Number of journal articles with recurrence plot keywords divided into scientific fields published from 1980 to 2024 “https://www.lens.org/ (accessed on 12 November 2024)”.
Applsci 15 01347 g002
Figure 3. The view of the machine workspace and distribution of cutting forces: (1) cutting tool, (2) dynamometer, (3) test sample, (4) measurement card, (5) charge amplifier, (6) computer with acquisition software.
Figure 3. The view of the machine workspace and distribution of cutting forces: (1) cutting tool, (2) dynamometer, (3) test sample, (4) measurement card, (5) charge amplifier, (6) computer with acquisition software.
Applsci 15 01347 g003
Figure 4. Stability lobe.
Figure 4. Stability lobe.
Applsci 15 01347 g004
Figure 5. Changes in statistical parameters of Ff cutting force component: (a) Mean Value; (b) Standard Deviation; (c) Skewness; (d) Kurtosis.
Figure 5. Changes in statistical parameters of Ff cutting force component: (a) Mean Value; (b) Standard Deviation; (c) Skewness; (d) Kurtosis.
Applsci 15 01347 g005aApplsci 15 01347 g005b
Figure 6. Changes in statistical parameters of FfN cutting force component: (a) Mean Value; (b) Standard Deviation; (c) Skewness; (d) Kurtosis.
Figure 6. Changes in statistical parameters of FfN cutting force component: (a) Mean Value; (b) Standard Deviation; (c) Skewness; (d) Kurtosis.
Applsci 15 01347 g006
Figure 7. Changes in statistical parameters of Fa cutting force component: (a) Mean Value; (b) Standard Deviation; (c) Skewness; (d) Kurtosis.
Figure 7. Changes in statistical parameters of Fa cutting force component: (a) Mean Value; (b) Standard Deviation; (c) Skewness; (d) Kurtosis.
Applsci 15 01347 g007aApplsci 15 01347 g007b
Figure 8. Recurrence plots of cutting force components for fz = 0.15 mm/tooth and ap = 2.5 mm: (a) Ff; (b) FfN; (c) Fa.
Figure 8. Recurrence plots of cutting force components for fz = 0.15 mm/tooth and ap = 2.5 mm: (a) Ff; (b) FfN; (c) Fa.
Applsci 15 01347 g008
Figure 9. Changes in Ff RQA indicators in the function of: (a) depth of cut; (b) feed per tooth.
Figure 9. Changes in Ff RQA indicators in the function of: (a) depth of cut; (b) feed per tooth.
Applsci 15 01347 g009
Figure 10. Changes in FfN RQA indicators in the function of: (a) depth of cut; (b) feed per tooth.
Figure 10. Changes in FfN RQA indicators in the function of: (a) depth of cut; (b) feed per tooth.
Applsci 15 01347 g010
Figure 11. Changes in Fa RQA indicators in the function of: (a) depth of cut; (b) feed per tooth.
Figure 11. Changes in Fa RQA indicators in the function of: (a) depth of cut; (b) feed per tooth.
Applsci 15 01347 g011
Figure 12. Experimental models of RQA indicators of the Ff cutting force component: (a) DET; (b) ENT; (c) VMAX.
Figure 12. Experimental models of RQA indicators of the Ff cutting force component: (a) DET; (b) ENT; (c) VMAX.
Applsci 15 01347 g012
Figure 13. Experimental models of RQA indicators of the FfN cutting force component: (a) DET; (b) ENT; (c) VMAX.
Figure 13. Experimental models of RQA indicators of the FfN cutting force component: (a) DET; (b) ENT; (c) VMAX.
Applsci 15 01347 g013
Figure 14. Experimental models of RQA indicators of the Fa cutting force component: (a) DET; (b) ENT; (c) VMAX; (d) RR; (e) LMAX.
Figure 14. Experimental models of RQA indicators of the Fa cutting force component: (a) DET; (b) ENT; (c) VMAX; (d) RR; (e) LMAX.
Applsci 15 01347 g014
Table 1. Chemical composition of 42CrMo4 steel (%).
Table 1. Chemical composition of 42CrMo4 steel (%).
CMnSiPSCrMo
0.38–0.450.6–0.9max 0.4max 0.025max 0.0350.9–1.20.15–0.3
Table 2. Mechanical properties of 42CrMo4 steel.
Table 2. Mechanical properties of 42CrMo4 steel.
ParameterUnitValue
Densityg/cm37.83
Specific heat capacitykJ/(kg∙K)0.473
Linear expansion coefficientK−111.2
Thermal conductivitykW/(cm∙K)0.42
Young’s modulusGPa217
HardnessHB220
Poisson’s ratio-0.3
Table 3. Nine sets of cutting parameters.
Table 3. Nine sets of cutting parameters.
Test NumberFeed per Tooth fz, mm/toothDepth of Cut ap, mm
10.050.5
20.051.5
30.052.5
40.100.5
50.101.5
60.102.5
70.150.5
80.151.5
90.152.5
Table 4. Values of the recurrence threshold ε for each force component.
Table 4. Values of the recurrence threshold ε for each force component.
FfFfNFa
0.2% SD0.2% SD0.05% SD
Table 5. RQA indicators of Ff.
Table 5. RQA indicators of Ff.
fzapRRDETLLMAXENTTTVMAX
0.050.50.220.938.855272.266.82189
0.051.50.290.9514.754932.7911.91372
0.052.50.170.9612.585762.666.31164
0.10.50.210.9412.025582.468.82219
0.11.50.220.9515.175303.307.20297
0.12.50.200.9713.766302.677.46188
0.150.50.230.9513.804752.669.52296
0.151.50.380.9830.535763.2826.24450
0.152.50.300.9820.476703.1813.41221
Table 6. RQA indicators of FfN.
Table 6. RQA indicators of FfN.
fzapRRDETLLMAXENTTTVMAX
0.050.50.150.9719.556662.589.67250
0.051.50.250.9821.2811082.4511.28321
0.052.50.180.9921.447712.3810.62282
0.10.50.140.9721.267352.7510.52259
0.11.50.190.9820.9817652.5510.46339
0.12.50.260.9927.558082.4216.61348
0.150.50.220.9821.866472.6612.85358
0.151.50.310.9928.286842.5918.45400
0.152.50.260.9925.7222402.4214.34356
Table 7. RQA indicators of Fa.
Table 7. RQA indicators of Fa.
fzapRRDETLLMAXENTTTVMAX
0.050.50.100.643.00801.153.73186
0.051.50.200.749.971913.096.96253
0.052.50.160.8916.084603.4812.02247
0.10.50.110.723.13711.013.9890
0.11.50.240.9230.655113.6721.70448
0.12.50.210.948.834902.1411.77371
0.150.50.130.713.08951.193.89207
0.151.50.260.8910.674262.1714.41354
0.152.50.200.9410.934612.3915.16305
Table 8. Fitting level of experimental models and their factors.
Table 8. Fitting level of experimental models and their factors.
R2, %
RRDETLLMAXENTTTVMAX
Ff-92.6--91.5-73.6
-(ap, fz)--(ap, fz)-(ap)
FfN-97.5--77.5-87.4
-(ap, fz)--(ap)-(ap, fz)
Fa84.276.1-74.973.2-71
(ap)(ap)-(ap)(ap)-(ap)
Disclaimer/Publisher’s Note: The statements, opinions and data contained in all publications are solely those of the individual author(s) and contributor(s) and not of MDPI and/or the editor(s). MDPI and/or the editor(s) disclaim responsibility for any injury to people or property resulting from any ideas, methods, instructions or products referred to in the content.

Share and Cite

MDPI and ACS Style

Zylka, L.; Plodzien, M.; Latalski, J.; Lajmert, P.; Rusinek, R. Recurrence Quantification Analysis (RQA) of Toroidal End Tool Milling Process. Appl. Sci. 2025, 15, 1347. https://doi.org/10.3390/app15031347

AMA Style

Zylka L, Plodzien M, Latalski J, Lajmert P, Rusinek R. Recurrence Quantification Analysis (RQA) of Toroidal End Tool Milling Process. Applied Sciences. 2025; 15(3):1347. https://doi.org/10.3390/app15031347

Chicago/Turabian Style

Zylka, Lukasz, Marcin Plodzien, Jaroslaw Latalski, Pawel Lajmert, and Rafal Rusinek. 2025. "Recurrence Quantification Analysis (RQA) of Toroidal End Tool Milling Process" Applied Sciences 15, no. 3: 1347. https://doi.org/10.3390/app15031347

APA Style

Zylka, L., Plodzien, M., Latalski, J., Lajmert, P., & Rusinek, R. (2025). Recurrence Quantification Analysis (RQA) of Toroidal End Tool Milling Process. Applied Sciences, 15(3), 1347. https://doi.org/10.3390/app15031347

Note that from the first issue of 2016, this journal uses article numbers instead of page numbers. See further details here.

Article Metrics

Back to TopTop