Dependence of Nonlinear Elastic Parameters of Consolidated Granular Media on Temperature in the Ambient Range
Abstract
1. Introduction
2. Material and Methods
2.1. Materials and Set-Up
2.2. Measurement Protocol
2.3. Nonlinear Resonant Ultrasonic Spectroscopy Acquisition
2.4. Testing and Repeatability
3. Experimental Results
3.1. Resonance Curves
3.2. Velocity and Damping Dependence on Strain
- : hysteresis is present, given by the difference between the loading and unloading branches;
- : besides the hysteresis (which is even more remarkable than in the conditioned data), it can be observed that the maximum baseline velocity variation does not occur when the conditioning strain is maximum; see the further decrease in velocity observed during the first instances of unloading (blue symbols);
- : the hysteresis, and hence, slow dynamic effects, is completely removed.
4. Temperature Dependence
4.1. Temperature Dependence of Linear Elastic Parameters
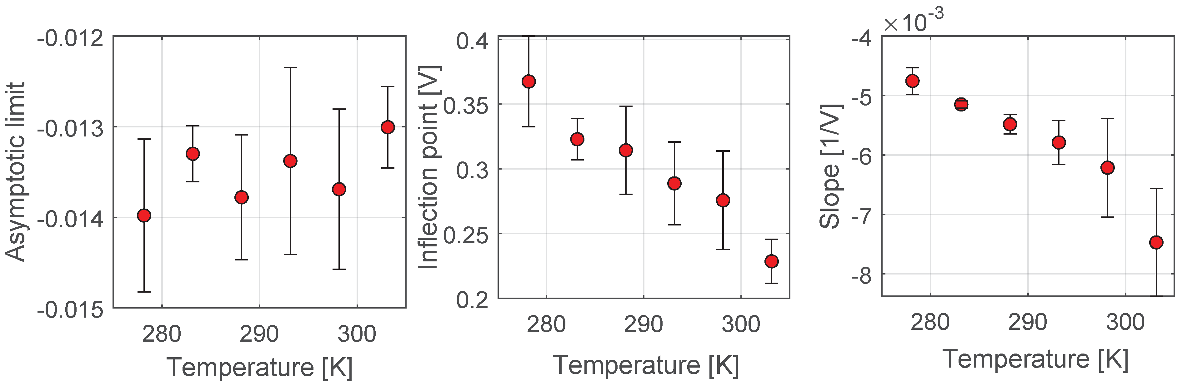
4.2. Temperature Dependence of Nonlinear Fast Elastic Parameters
- The asymptotic value given by , which represents the upper limit of velocity variations for large strains (note that the sigmoidal-like behavior is expected to be valid only till a maximum strain range, beyond which other mechanisms might take place and, thus, such asymptotic value does not really exist);
- The inflection point of the curves, obtained by setting to zero the second derivative of Equation (6);
- The slope of the linear approximation around the inflection point, given by the value of the derivative of Equation (6) at the inflection point. This value could be considered as the equivalent of the hysteretic parameter often used in NRUS measurements, even though it is uncalibrated here. Recall that the hysteretic parameter is not related to the damping coefficient used here (and is called as well).
4.3. Temperature Dependence of Slow Dynamic Parameters
5. Conclusions and Discussion
Author Contributions
Funding
Data Availability Statement
Acknowledgments
Conflicts of Interest
Appendix A. Repeatability

Appendix B. Fitting

Appendix C. Damping

References
- TenCate, J.A.; Pasqualini, D.; Habib, S.; Heitmann, K.; Higdon, D.; Johnson, P.A. Nonlinear and nonequilibrium dynamics in geomaterials. Phys. Rev. Lett. 2004, 93, 065501. [Google Scholar] [CrossRef]
- Lott, M.; Remillieux, M.C.; Garnier, V.; Bas, P.-Y.L.; Ulrich, T.J.; Payan, C. Nonlinear elasticity in rocks: A comprehensive three-dimensional description. Phys Rev. Mat. 2019, 1, 023603. [Google Scholar] [CrossRef]
- Bittner, J.A.; Popovics, J.S. Direct Imaging of Moisture Effects during Slow Dynamic Nonlinearity. Appl. Phys. Lett. 2019, 114, 021901. [Google Scholar] [CrossRef]
- Riviere, J.; Shokouhi, P.; Guyer, R.A.; Johnson, P.A. A set of measures for the systematic classification of the nonlinear elastic behavior of disparate rocks. J. Geophys. Res. Solid Earth 2015, 120, 1587. [Google Scholar] [CrossRef]
- Scalerandi, M.; Bentahar, M.; Mechri, C. Conditioning and Elastic Nonlinearity in Concrete: Separation of Damping and Phase Contributions. Constr. Build. Mater. 2018, 161, 208. [Google Scholar] [CrossRef]
- Chen, J.; Kim, J.-Y.; Kurtis, K.E.; Jacobs, L.J. Theoretical and experimental study of the nonlinear resonance vibration of cementitious materials with an application to damage characterization. J. Acoust. Soc. Am. 2011, 130, 2728. [Google Scholar] [CrossRef]
- Gliozzi, A.S.; Scalerandi, M.; Anglani, G.; Antonaci, P.; Salini, L. Correlation of elastic and mechanical properties of consolidated granular media during microstructure evolution induced by damage and repair. Phys. Rev. Mater. 2018, 2, 013601. [Google Scholar] [CrossRef]
- TenCate, J.A.; Smith, E.; Guyer, R.A. Universal Slow Dynamics in Granular Solids. Phys. Rev. Lett. 2000, 85, 1020. [Google Scholar] [CrossRef]
- Johnson, P.A.; Sutin, A. Slow dynamics and anomalous nonlinear fast dynamics in diverse solids. J. Acoust. Soc. Am. 2005, 117, 124. [Google Scholar] [CrossRef]
- Muir, T.G.; Cormack, J.M.; Slack, C.M.; Hamilton, M.F. Elastic softening of sandstone due to a wideband acoustic pulse. J. Acoust. Soc. Am. 2020, 147, 1006–1014. [Google Scholar] [CrossRef]
- Scalerandi, M.; Mechri, C.; Bentahar, M.; Bella, A.D.; Gliozzi, A.S.; Tortello, M. Experimental evidence of correlations between conditioning and relaxation in hysteretic elastic media. Phys. Rev. Appl. 2019, 12, 044002. [Google Scholar] [CrossRef]
- Zeman, R.; Kober, J.; Nistri, F.; Scalerandi, M. Relaxation of Viscoelastic Properties of Sandstones: Hysteresis and Anisotropy. Rock Mech. Rock Eng. 2024, 57, 6701. [Google Scholar] [CrossRef]
- Tencate, J.A.; Shankland, T.J. Slow dynamics in the nonlinear elastic response of Berea sandstone. Geoph. Res. Lett. 1996, 23, 3019–3022. [Google Scholar] [CrossRef]
- Trarieux, C.; Callé, S.; Moreschi, H.; Renaud, G.; Defontaine, M. Modeling nonlinear viscoelasticity in dynamic acoustoelasticity. Appl. Phys. Lett. 2014, 105, 264103. [Google Scholar] [CrossRef]
- Snieder, R.; Sens-Schönfelder, C.; Wu, R. The Time Dependence of Rock Healing as a Universal Relaxation Process, a Tutorial. Geophys. J. Int. 2017, 208, 1. [Google Scholar] [CrossRef]
- Shokouhi, P.; Riviere, J.; Guyer, R.A.; Johnson, P.A. Slow Dynamics of Consolidated Granular Systems: Multi-Scale Relaxation. Appl. Phys. Lett. 2017, 111, 251604. [Google Scholar] [CrossRef]
- Kober, J.; Gliozzi, A.S.; Scalerandi, M.; Tortello, M. Material Grain Size Determines Relaxation-Time Distributions in Slow-Dynamics Experiments. Phys. Rev. Appl. 2022, 17, 014002. [Google Scholar] [CrossRef]
- Chavazas, M.L.; Bromblet, P.; Berthonneau, J.; Hénin, J.; Payan, C. Impact of relative humidity variations on Carrara marble mechanical properties investigated by nonlinear resonant ultrasound spectroscopy. Constr. Build. Mat. 2024, 431, 136529. [Google Scholar] [CrossRef]
- Maier, S.; Kim, J.Y.; Forstenhäusler, M.; Wall, J.J.; Jacobs, L.J. Noncontact nonlinear resonance ultrasound spectroscopy (NRUS) for small metallic specimens. NDT E Int. 2018, 98, 37–44. [Google Scholar] [CrossRef]
- Bentahar, M.; El Aqra, H.; El Guerjouma, R.; Griffa, M.; Scalerandi, M. Hysteretic elasticity in damaged concrete: Quantitative analysis of slow and fast dynamics. Phys. Rev. B 2006, 73, 014116. [Google Scholar] [CrossRef]
- Bruno, C.L.E.; Gliozzi, A.S.; Scalerandi, M.; Antonaci, P. Analysis of elastic nonlinearity using the Scaling Subtraction Method. Phys. Rev. B 2009, 79, 064108. [Google Scholar] [CrossRef]
- Ohara, Y.; Shintaku, Y.; Horinouchi, S.; Ikeuchi, M.; Yamanaka, K. Enhancement of Selectivity in Nonlinear Ultrasonic Imaging of Closed Cracks Using Amplitude Difference Phased Array. Jap. J. Appl. Phys. 2012, 51, 07GB18. [Google Scholar] [CrossRef]
- Van den Abeele, K.; Carmeliet, J.; Cate, J.A.T.; Johnson, P.A. Nonlinear Elastic Wave Spectroscopy (NEWS) Techniques to Discern Material Damage, Part II: Single-Mode Nonlinear Resonance Acoustic Spectroscopy. Res. Nondestruct. Eval. 2000, 12, 31. [Google Scholar] [CrossRef]
- Chen, J.; Yin, T.; Kim, J.-Y.; Zheng, X.; Yao, Y. Characterization of thermal damage in sandstone using the second harmonic generation of standing waves. Int. J. Rock Mech. Min. Sci. 2017, 91, 81–89. [Google Scholar] [CrossRef]
- van den Abeele, K.; De Visscher, J. Damage assessment in reinforced concrete using spectral and temporal nonlinear vibration techniques. Cem. Concr. Res. 2000, 30, 1453–1464. [Google Scholar] [CrossRef]
- Antonaci, P.; Bruno, C.L.E.; Gliozzi, A.S.; Scalerandi, M. Evolution of damage-induced nonlinearity in proximity of discontinuities in concrete. Int. J. Solids Struct. 2010, 47, 1603–1610. [Google Scholar] [CrossRef]
- Scalerandi, M.; Griffa, M.; Antonaci, P.; Wyrzykowski, M.; Lura, P. Nonlinear elastic response of thermally damaged consolidated granular media. J. Appl. Phys. 2013, 113, 154902. [Google Scholar] [CrossRef]
- Payan, C.; Garnier, V.; Moysan, J. Applying nonlinear resonant ultrasound spectroscopy to improving thermal damage assessment in concrete. J. Acoust. Soc. Am. 2007, 121, EL125. [Google Scholar] [CrossRef]
- Simpson, J.; van Wijk, K.; Adam, L.; Esteban, L. Temperature-Induced Nonlinear Elastic Behavior in Berea Sandstone Explained by a Modified Sheared Contacts Model. J. Geophys. Res.-Solid Earth 2023, 128, B025452. [Google Scholar] [CrossRef]
- Boukari, Y.; Bulteel, D.; Rivard, P.; Abriak, N.-E. Combining nonlinear acoustics and physico-chemical analysis of aggregates to improve alkali-silica reaction monitoring. Cem. Concr. Res. 2015, 67, 44–51. [Google Scholar] [CrossRef]
- Antonaci, P.; Bruno, C.L.E.; Scalerandi, M.; Tondolo, F. Effects of corrosion on linear and nonlinear elastic properties of reinforced concrete. Cem. Concr. Res. 2013, 51, 96–103. [Google Scholar] [CrossRef]
- Bouchaala, F.; Payan, C.; Garnier, V.; Balayssac, J.P. Carbonation assessment in concrete by nonlinear ultrasound. Cem. Concr. Res. 2011, 41, 557–559. [Google Scholar] [CrossRef]
- Johnson, P.A.; Zinszner, B.; Rasolofosaon, P.; Cohen-Tenoudji, F.; Van Den Abeele, K. Dynamic measurements of the nonlinear elastic parameter α in rock under varying conditions. J. Geophys. Res.-Solid Earth 2004, 109, B02202. [Google Scholar] [CrossRef]
- Gao, L.Y.; Shokouhi, P.; Riviere, J. Effect of relative humidity on the nonlinear elastic response of granular media. J. Appl. Phys. 2022, 131, 055101. [Google Scholar] [CrossRef]
- Manogharan, P.; Wood, C.; Marone, C.; Elsworth, D.; Rivière, J.; Shokouhi, P. Experimental Investigation of Elastodynamic Nonlinear Response of Dry Intact Fractured and Saturated Rock. Rock Mech. Rock Eng. 2021, 5, 2665–2678. [Google Scholar] [CrossRef]
- Ulrich, T.J.; Darling, T.W. Observation of anomalous elastic behavior in rock at low temperatures. Geophys. Res. Lett. 2001, 28, 2293. [Google Scholar] [CrossRef]
- Nobili, M.; Scalerandi, M. Temperature effects on the elastic properties of hysteretic elastic media: Modeling and simulations. Phys. Rev. B 2004, 69, 104105. [Google Scholar] [CrossRef]
- Feng, X.; Fehler, M.; Burns, D.; Szabo, S.B.T.L. Effects of humidity and temperature on the non-linear elasticity of rocks. Geophys. J. Int. 2022, 231, 1823–1832. [Google Scholar] [CrossRef]
- Zou, G.; Zeng, H.; Gong, F.; Yin, C.; Li, S.; Peng, S.; Xu, Z. Effects of temperature and water saturation on the elastic moduli of sandstone and mudstone from the Lufeng geothermal field: Experimental results and theoretical model. Geophys. J. Int. 2022, 230, 1147–1165. [Google Scholar] [CrossRef]
- Davis, E.S.; Sturtevant, B.T.; Sinha, D.N.; Pantea, C. Resonant Ultrasound Spectroscopy studies of Berea sandstone at high temperature. J. Geophys. Res.-Solid Earth 2016, 121, 6401–6410. [Google Scholar] [CrossRef]
- Di Bella, A.; Gliozzi, A.S.; Scalerandi, M.; Tortello, M. Analysis of Elastic Nonlinearity Using Continuous Waves: Validation and Applications. Appl. Sci. 2019, 9, 5332. [Google Scholar] [CrossRef]
- Rivière, J.; Renaud, G.; Guyer, R.A.; Johnson, P.A. Pump and probe waves in dynamic acousto-elasticity: Comprehensive description and comparison with nonlinear elastic theories. J. Appl. Phys. 2013, 114, 054905. [Google Scholar] [CrossRef]
- Gregg, J.F.; Anderson, B.E.; Remillieux, M.C. Electromagnetic excitation technique for nonlinear resonant ultrasound spectroscopy. NDT E Int. 2020, 109, 102181. [Google Scholar] [CrossRef]
- Remillieux, M.C.; Guyer, R.A.; Payan, C.; Ulrich, T.J. Decoupling Nonclassical Nonlinear Behavior of Elastic Wave Types. Phys. Rev. Lett. 2016, 116, 115501. [Google Scholar] [CrossRef] [PubMed]
- Mashinskii, E.I. Nonlinear amplitude–frequency characteristics of attenuation in rock under pressure. J. Geophys. Eng. 2006, 3, 291–306. [Google Scholar] [CrossRef]







Disclaimer/Publisher’s Note: The statements, opinions and data contained in all publications are solely those of the individual author(s) and contributor(s) and not of MDPI and/or the editor(s). MDPI and/or the editor(s) disclaim responsibility for any injury to people or property resulting from any ideas, methods, instructions or products referred to in the content. |
© 2025 by the authors. Licensee MDPI, Basel, Switzerland. This article is an open access article distributed under the terms and conditions of the Creative Commons Attribution (CC BY) license (https://creativecommons.org/licenses/by/4.0/).
Share and Cite
Ghorbani Ghezeljehmeidan, A.; Kober, J.; Scalerandi, M.; Zeman, R. Dependence of Nonlinear Elastic Parameters of Consolidated Granular Media on Temperature in the Ambient Range. Appl. Sci. 2025, 15, 1230. https://doi.org/10.3390/app15031230
Ghorbani Ghezeljehmeidan A, Kober J, Scalerandi M, Zeman R. Dependence of Nonlinear Elastic Parameters of Consolidated Granular Media on Temperature in the Ambient Range. Applied Sciences. 2025; 15(3):1230. https://doi.org/10.3390/app15031230
Chicago/Turabian StyleGhorbani Ghezeljehmeidan, Amir, Jan Kober, Marco Scalerandi, and Radovan Zeman. 2025. "Dependence of Nonlinear Elastic Parameters of Consolidated Granular Media on Temperature in the Ambient Range" Applied Sciences 15, no. 3: 1230. https://doi.org/10.3390/app15031230
APA StyleGhorbani Ghezeljehmeidan, A., Kober, J., Scalerandi, M., & Zeman, R. (2025). Dependence of Nonlinear Elastic Parameters of Consolidated Granular Media on Temperature in the Ambient Range. Applied Sciences, 15(3), 1230. https://doi.org/10.3390/app15031230

