A Dynamic Analysis of Angular Contact Ball Bearing 7205C Used for a Scraper Conveyor
Abstract
1. Introduction
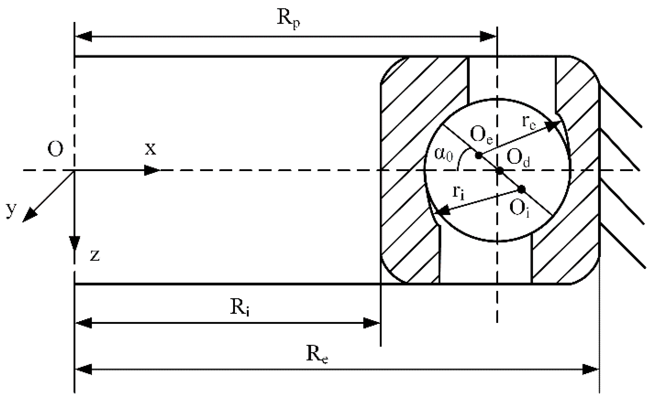
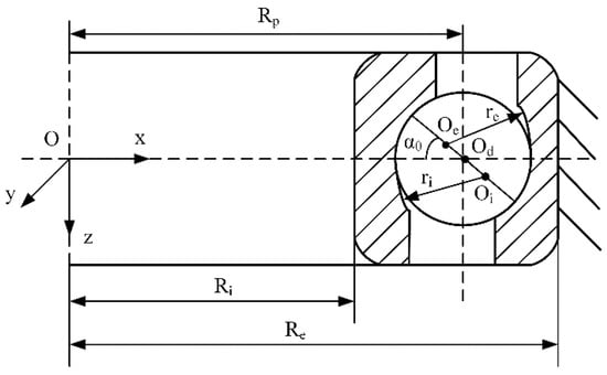
2. A Dynamic Model of the Angular Contact Ball Bearing
3. A Dynamic Analysis of the Angular Contact Ball Bearing
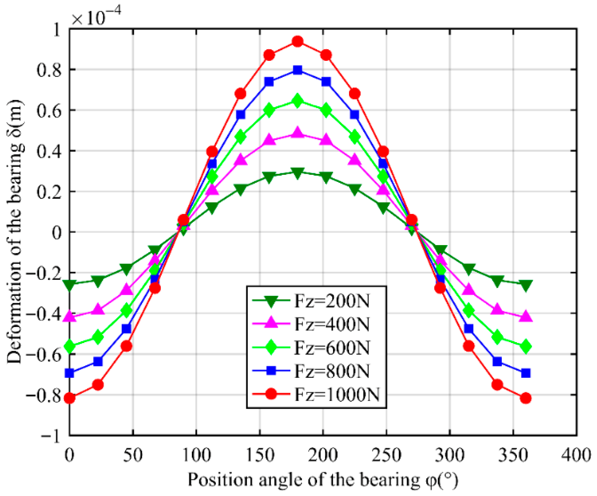
3.1. The Effect of Axial Force on the Performance of the Bearing
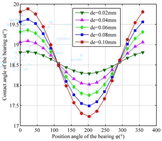
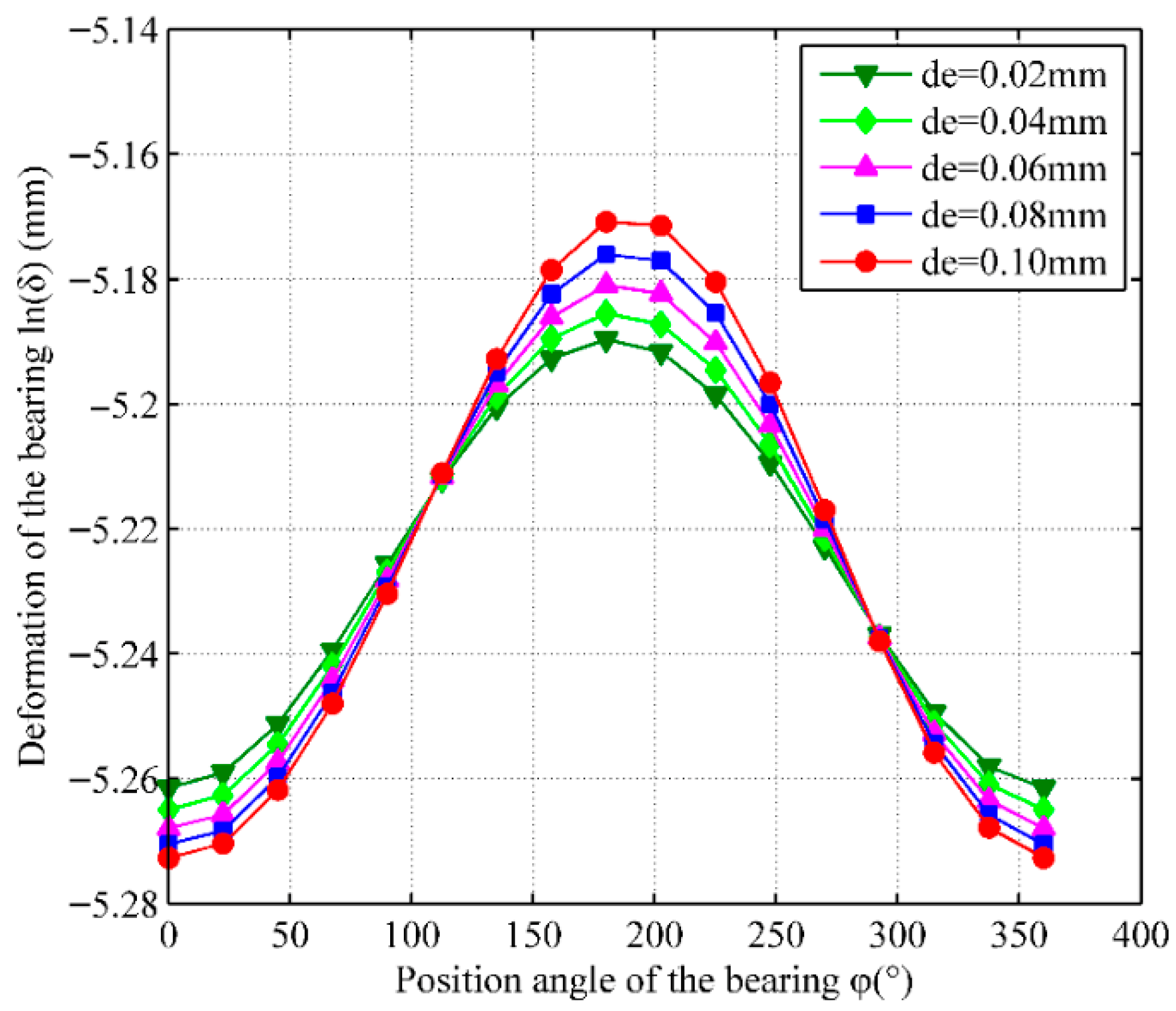
3.2. Effect of Mass Eccentricity on the Performance of the Bearing
3.3. The Effect of Drive Shaft Speed on the Performance of the Bearing
4. Conclusions
- (1)
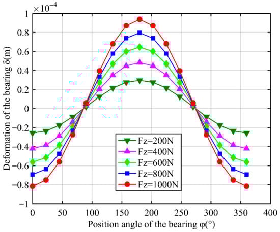
- At the same position angle, both the deformation and stiffness of ball bearings are directly proportional to the axial force. When axial force Fz reaches 1000 N, radial stiffness Kx is increased by 27.9% and Ky is increased by 47.5%. Angular stiffnesses Kθx and Kθy are increased by 78.6% and 84.6%, respectively. Compared to radial stiffness, axial force exerts a more pronounced effect on angular stiffness. Simultaneously, increasing the axial force reduces contact angle amplitude, thereby enhancing the operational stability of ball bearing systems.
- (2)
- As mass eccentricity de of the drive shaft increases, deformation δ exhibits periodic variation. When azimuth φ reaches 90° and 270°, the total deformation tends toward the same value, indicating that deformation δ is less affected by mass eccentricity de. When mass eccentricity de is 0.1 mm, Kx is increased by 0.13% and Ky is increased by 0.21%. Compared to the axial force, the mass eccentricity of the drive shaft has a relatively minor effect on the stiffness of the ball bearing.
- (3)
- The effect of drive shaft rotational speed on ball bearing performance is relatively complex. As the drive shaft speed increases, the mass eccentricity of the drive shaft causes the amplitude of the contact angle to grow. When drive shaft rotational speed w reaches 2500 rad/s, the amplitude of contact angle α is approximately 0.09°, representing a 3.4% increase in contact angle α.
Author Contributions
Funding
Institutional Review Board Statement
Informed Consent Statement
Data Availability Statement
Conflicts of Interest
References
- Ma, H.; Zhang, P.; Dong, Y.; Wang, X.; Xia, R.; Li, B. Study on the rigid-discrete coupling effect of scraper conveyor under different chain speed-load conditions. Simul. Model. Pract. Theory 2024, 134, 102943. [Google Scholar] [CrossRef]
- Feng, L.; Ding, Z.; Yin, Y.; Wang, Y.; Zhang, Q.; Liu, X.; Yuan, Z.; Li, H. Scraper conveyor gearbox fault diagnosis based on multi-source heterogeneous data fusion. Measurement 2025, 247, 116797. [Google Scholar] [CrossRef]
- Wang, Z.; Zhang, Y.; Sun, C.; Chang, X.; Wang, C. Nonlinear dynamic characteristics of carriage belt conveyors on small-radius curves. Int. J. Non-Linear Mech. 2025, 176, 105139. [Google Scholar] [CrossRef]
- Shi, J.; Hu, J.; Luo, Y.; Yu, Y.; Baddour, N.; Huang, W.; Shen, C.; Zhu, Z. Three-dimensional dynamic modeling and vibration analysis of roller bearings under compound fault excitation. J. Sound Vib. 2025, 613, 119188. [Google Scholar] [CrossRef]
- Liu, W.; Xu, L.; Geng, J.; Wang, Y. Dynamic sliding wear analysis of the needle roller bearings in RV reducer considering thermal influence. Wear 2025, 580–581, 206279. [Google Scholar] [CrossRef]
- Ma, S.; Li, B.; Li, H. The dynamical analysis for two-dimensional magnetic bearing system under α-stable Lévy noise excitation based on PINNs. Chaos Solitons Fractals 2025, 200, 117106. [Google Scholar] [CrossRef]
- Xu, H.; Tian, J. Dynamic interaction analysis of ball-cage-guide ring in high-speed angular contact ball bearings under combined loads. Appl. Math. Model. 2025, 145, 116129. [Google Scholar] [CrossRef]
- Mo, S.; Zhang, Y.; Liu, Y.; Yao, B.; Chen, S.; Huang, Y.; Shi, W.; Peng, N.; Houjoh, H.; Zhang, W. The thermo-mechanical coupling dynamic analysis of gear-rotor-bearing system with multiple dynamic clearances. Mech. Mach. Theory 2025, 215, 106169. [Google Scholar] [CrossRef]
- Hu, J.; Shi, J.; Huang, W.; Zhu, Z. Characteristic analysis of rolling bearing dynamic response under raceway multiple faults. Measurement 2025, 256, 118108. [Google Scholar] [CrossRef]
- Tian, Y.; Zhang, C.; Yang, L. Analysis of the longitudinal coupled dynamic characteristics of shaft-shell system considering the lubrication of thrust bearing. Eur. J. Mech./A Solids 2025, 113, 105726. [Google Scholar] [CrossRef]
- Gao, L.; Zhang, K.; Wang, Z. Nonlinear dynamic analysis of ceramic bearing-spindle system considering fit clearance dynamic variations. Int. J. Non-Linear Mech. 2025, 175, 105104. [Google Scholar] [CrossRef]
- Sun, X.; Chocholaty, B.; Liu, Y.; Marburg, S. Nonlinear dynamic behavior of a rotor-bearing system considering time-varying misalignment. Int. J. Mech. Sci. 2024, 284, 109772. [Google Scholar] [CrossRef]
- Zhang, T. Wear Vibration Characteristics and Reliability Analysis of the Meshing Transmission System in Scraper Conveyors; China University of Mining and Technology: Xuzhou, China, 2024. [Google Scholar] [CrossRef]
- Zhao, L.; Li, C. Study on Dynamic Characteristics of Low-Speed Heavy-Load Bearings in High-Seam Coal Cutters. Mod. Manuf. Eng. 2015, 420, 119–122+131. [Google Scholar]
- Wang, W.; Zhang, T.; Yang, W.; Zhang, Y.M.; Zhou, Y.X. Dynamic Modeling and Vibration Failure Analysis of Rigid-Flexible Coupled Chain Meshing Transmission Systems. J. Vib. Shock 2024, 43, 278–286. [Google Scholar] [CrossRef]
- Chang, X. Research on Fault Diagnosis of Scraper Conveyor Motor Bearings Based on Combined Denoising and Improved SVM; Taiyuan University of Technology: Taiyuan, China, 2024. [Google Scholar] [CrossRef]
- Wan, C. Analysis Methods for Rolling Bearings; China Machine Press: Beijing, China, 1985. [Google Scholar]
- Chen, S.; Zhang, C. Analytical Derivation and Computer Solution of Bearing Stiffness Matrix. Bearings 2006, 2, 1–4. [Google Scholar] [CrossRef]
- Li, S. Study on the Dynamic Performance of Ultra-High-Speed Electric Spindle Ball Bearing-Rotor System; Shanghai University: Shanghai, China, 2006. [Google Scholar]
- Wu, H. Study on Dynamic Characteristics of Rolling Bearings and Dynamical Model of Bearing-Rotor System; East China University of Science and Technology: Shanghai, China, 2011. [Google Scholar]
- Ren, H. Stiffness Analysis Methods and Experimental Determination of Rolling Bearings. J. Dyn. Control 2018, 16, 97–102. [Google Scholar]














| Parameters | Values |
|---|---|
| Radius of pitch circle Rp | 27 mm |
| Radius of inner ring Ri | 20 mm |
| Radius of outer ring Re | 48 mm |
| Number of rolling elements n | 16 |
| Radius of curvature of inner ring ri | 4.108 mm |
| Radius of curvature of outer ring re | 4.108 mm |
| Initial contact angle | 15° |
| Modulus of elasticity E | 206 Gpa |
| Poisson’s ratio | 0.3 |
| Grease model | Changcheng 7018 (Sinopec Lubricant Company Limited, Beijing, China) |
Disclaimer/Publisher’s Note: The statements, opinions and data contained in all publications are solely those of the individual author(s) and contributor(s) and not of MDPI and/or the editor(s). MDPI and/or the editor(s) disclaim responsibility for any injury to people or property resulting from any ideas, methods, instructions or products referred to in the content. |
© 2025 by the authors. Licensee MDPI, Basel, Switzerland. This article is an open access article distributed under the terms and conditions of the Creative Commons Attribution (CC BY) license (https://creativecommons.org/licenses/by/4.0/).
Share and Cite
Hu, S.; Zhang, C.; Sun, L.; Gao, Y.; Yu, T. A Dynamic Analysis of Angular Contact Ball Bearing 7205C Used for a Scraper Conveyor. Appl. Sci. 2025, 15, 12087. https://doi.org/10.3390/app152212087
Hu S, Zhang C, Sun L, Gao Y, Yu T. A Dynamic Analysis of Angular Contact Ball Bearing 7205C Used for a Scraper Conveyor. Applied Sciences. 2025; 15(22):12087. https://doi.org/10.3390/app152212087
Chicago/Turabian StyleHu, Shaoping, Chao Zhang, Longfeng Sun, Yanchong Gao, and Tianbiao Yu. 2025. "A Dynamic Analysis of Angular Contact Ball Bearing 7205C Used for a Scraper Conveyor" Applied Sciences 15, no. 22: 12087. https://doi.org/10.3390/app152212087
APA StyleHu, S., Zhang, C., Sun, L., Gao, Y., & Yu, T. (2025). A Dynamic Analysis of Angular Contact Ball Bearing 7205C Used for a Scraper Conveyor. Applied Sciences, 15(22), 12087. https://doi.org/10.3390/app152212087

