Next Article in Journal
Analysis of Injury Severity in Elderly Pedestrian Traffic Accidents Based on XGBoost
Previous Article in Journal
Comparative Analysis of AI Models for Python Code Generation: A HumanEval Benchmark Study
 
 
Font Type:
Arial Georgia Verdana
Font Size:
Aa Aa Aa
Line Spacing:
Column Width:
Background:
Review

AI-Assisted Multidimensional Optimization of Thermal and Morphological Performance in Small-to-Medium Sports Buildings

1
College of Architecture & Urban Planing, Tongji University, 1239 Si Ping Road, Shanghai 200092, China
2
Key Laboratory of Ecology and Energy-Saving Study of Dense Habitat, Ministry of Education, Tongji University, Shanghai 200092, China
*
Authors to whom correspondence should be addressed.
Appl. Sci. 2025, 15(18), 9912; https://doi.org/10.3390/app15189912
Submission received: 12 August 2025 / Revised: 1 September 2025 / Accepted: 8 September 2025 / Published: 10 September 2025

Abstract

With the advancement of China’s “dual-carbon” strategy, optimizing the thermal performance of small-to-medium-sized sports buildings—key contributors to urban energy consumption and carbon emissions—has become a critical area of green building research. This study conducts a systematic literature review following the PRISMA framework, analyzing 96 high-relevance articles sourced from Web of Science, ScienceDirect, and CNKI. The review focuses on four key dimensions: building morphology, envelope thermal performance, eco-friendly material application, and thermal comfort strategies. Findings indicate that building geometry significantly influences natural ventilation and solar gain; optimizing the envelope system can enhance energy efficiency by 12–18%; and incorporating sustainable materials contributes to lifecycle carbon reduction. Furthermore, effective thermal comfort regulation requires the integration of climate-responsive strategies with intelligent control systems. The growing use of AI-assisted technologies—such as fuzzy logic, reinforcement learning, and real-time environmental feedback—is facilitating a shift from single-dimensional energy-saving approaches to multidimensional coupled optimization. This review establishes a comprehensive theoretical and practical framework for low-carbon design in small-to-medium sports buildings and highlights the urgent need for empirical validation and integrated design approaches across diverse climate zones.

1. Introduction

Since the 20th century, industrialization has sharply increased global energy use and greenhouse gas emissions, destabilizing the climate. The IPCC (2021) identifies carbon control as a core pillar of global environmental policy, reflected in “carbon peaking” and “carbon neutrality” strategies. Buildings contribute significantly, accounting for about 30–34% of global final energy use and related emissions. In 2022 alone, CO2 emissions from buildings reached nearly 10 Gt, or 37% of the global total. Enhancing energy efficiency in buildings has thus become a central research and policy focus.
Among non-residential buildings, sports and recreational facilities stand out for their high energy intensity and complex operational demands. Though they comprise only ~4% of the EU’s non-residential stock, they account for around 10% of energy use in this sector, often surpassing offices and schools in unit-area consumption due to large spans, intensive HVAC needs, and specialized lighting and ventilation systems [1,2].
China, as the world’s second-largest economy, recorded 9.22 trillion kWh in electricity consumption in 2023 (+6.7% YoY), with the building sector contributing roughly 34% of national demand and 37% of energy-related CO2 emissions—a share expected to reach 35% by 2030 [3,4,5]. Among non-residential buildings, small-to-medium sports facilities are increasingly critical due to their large volumes, intensive HVAC loads, and multifunctional usage. From 2003 to 2013, China’s total sports facility area grew by 43%, yet energy intensity varied widely across sites depending on design and operational strategies [6].
Architectural form plays a central role in regulating natural ventilation and solar exposure [7]. Roof geometry, facade openness, spatial connectivity shape airflow dynamics and solar gains, influencing both energy use and thermal comfort [8]. Envelope innovations—such as double-skin facades, reflective coatings, and light-transmitting shading—have demonstrated cooling load reductions and indoor temperature stability in simulation and field studies [9].
Tools like CFD and EnergyPlus, combined with comfort indices (e.g., PMV, SET, UTCI), such as ISO 7730 standard and ANSI/ASHRAE Standard 169–2021, support design optimization under climate-specific conditions [10,11,12,13]. EnergyPlus, an open-source building energy consumption simulation tool developed by the U.S. Department of Energy, focuses on annual energy consumption and heat balance calculations at the macro level and can evaluate the heating, cooling, lighting, and equipment energy consumption of an entire building. Computational Fluid Dynamics (CFD for short), as a practical tool for thermal comfort theory research and HVAC design optimization, focuses more on detailed analysis at the micro scale and can accurately demonstrate the air distribution, temperature stratification, and pollutant transmission status inside a room. In practical application, these two tools often exert synergistic advantages through coupled simulation: first, they rely on EnergyPlus to determine the overall energy consumption data and load status of the building, then use CFD to conduct more accurate analysis of air flow characteristics and thermal environment in key and structurally complex spaces, and finally provide a more solid reference basis for the design of HVAC systems and the optimization scheme of building form.
However, much of the existing research focuses on individual technologies or large-scale venues, lacking integrated frameworks tailored to small-to-medium sports buildings. For example, Ren et al. used knowledge graphs to trace low-carbon design evolution in cold regions, while Li et al. mapped a shift from envelope-first strategies (2000–2010) to PV-storage-flex integrations (2015–2023), yet both neglected morphological and comfort factors [14,15]. Valencia-Solares et al. argued for a paradigm shift from energy reduction to multidimensional optimization, stressing the need for climate-adaptive, thermally responsive strategies in dynamic-use sports spaces [16].
Emerging AI-assisted controls offer promise for addressing thermal complexity. Technologies such as fuzzy logic, reinforcement learning, and real-time environmental feedback are driving the transformation of architectural design from single-dimensional energy-saving methods to multi-dimensional coupled optimization, and the integration of Building Information Modeling (BIM) with these technologies further strengthens this transformation process. As an integrated geometric and data platform, BIM can conveniently export information on building form and envelope structure and directly serve as input for simulation software like CFD and EnergyPlus, enabling more accurate evaluation of the performance of specific designs in terms of energy consumption and thermal comfort while real-time monitoring of building data such as energy consumption, temperature, humidity, and air quality, ultimately achieving an integrated and seamless workflow from architectural design to performance simulation and then to predictive operation management. Merabet et al. (2021) proposed integrating fuzzy logic, deep reinforcement learning, and real-time environmental feedback to create closed-loop, predictive regulation systems for athletic spaces [17]. These developments underscore the need for a multidimensional evaluation framework—outlined in Figure 1—to guide holistic design and simulation of thermal performance in small-to-medium sports venues.

2. Methodology

2.1. Data Retrieval Strategy

This study employs a systematic literature review approach based on the PRISMA framework, selected for its transparency, reproducibility, and methodological rigor. PRISMA ensures explicit reporting of search strategies, inclusion/exclusion criteria, and study selection, thereby strengthening the reliability of the review.
Literature retrieval was sourced from four authoritative databases: Web of Science, ScienceDirect, MDPI, and CNKI (China National Knowledge Infrastructure), focusing on thermal environment optimization in small-to-medium sports buildings [18]. Web of Science, ScienceDirect, and MDPI were chosen for their broad international coverage in architecture, energy, and environmental science. CNKI was included to capture a large body of Chinese-language studies that provide empirical insights particularly relevant to passive design practices in the Chinese context. The search strategy was based on the core keyword “small-to-medium sports gymnasium,” in combination with thematic terms such as “thermal environmental performance,” “architectural morphology,” and “envelope system.”
As shown in Figure 2, the literature screening process consisted of three stages:
First, after removing duplicates, 697 initial records were obtained. Second, studies related to active temperature control technologies, structural design, or operational management were excluded, resulting in 211 articles that specifically focused on passive energy-saving strategies. Finally, based on the inclusion criterion of empirical evidence (either field measurements or simulation-based data), 107 core articles were selected. From these, key data were extracted on morphological parameters (e.g., geometry, orientation, interface configuration), envelope thermal properties, and climate-adaptive design strategies.
As shown in Figure 3, we plotted a temporal distribution chart for all 107 references, illustrating the temporal distribution of the literature. This chart separately indicates the number and growth trends of publications within the last five years, between six and ten years, and over ten years.
The analysis centers on the synergistic interaction between architectural form and envelope systems, exploring the dynamic influence mechanisms of building geometry on thermal environments, the thermal performance and renewable integration potential of envelope systems, and the development paths of climate-responsive optimization models. The results indicate that small-to-medium-sized sports buildings can enhance energy efficiency by 12–18% and keep the PMV index within the ideal ±0.5 range through the integrated design of building form and facade systems. These results validate the feasibility of passive design strategies in optimizing thermal environments and offer a theoretical and technical reference for low-carbon building design.

2.2. Analytical Tools and Parameter Settings

This study employed Bibliometrix 5.0, an R-based open-source bibliometric analysis tool, to conduct quantitative and visual analyses of the collected literature. All data were first preprocessed and converted to a standardized format using the convert2df function, after which key analytical functions from the bibliometrix and biblioshiny packages were used.
For the keyword co-occurrence analysis, the analysis was based on author keywords (field tag DE). The AI model used for this analysis was the Walktrap clustering algorithm. This model, rooted in graph theory, effectively detects communities or clusters within a network by simulating a series of random walks. Its primary function is to identify tightly connected groups of nodes (in this case, keywords) that are only loosely connected to other groups. This method is particularly suitable for revealing latent thematic structures in a body of literature. The model was applied within the Bibliometrix 5.0 software environment to cluster keywords with a minimum cluster frequency threshold of 2. In the cluster map, the x-axis represents term frequency and the y-axis indicates centrality (degree of connection across clusters).
The thematic evolution was analyzed based on the cumulative keyword occurrence and burst detection, with a time slicing strategy from 2000 to 2025 (1-year intervals). This analysis method identifies keywords that have a sudden and significant increase in usage over time, which can signal emerging research fronts or “bursts” of activity. Cumulative trend lines were used to show long-term trajectories of core terms.
All visualizations were rendered using Origin 2025b and exported in high resolution (600 dpi) for figure formatting.

2.2.1. Author Collaboration

In terms of author productivity, DONG Yu stands out as the most prolific author with three publications, ZHANG Qingyuan, YIN Xunzhi, WANG Junqi, and TURRIN Michela follow with two publications each, highlighting their notable engagement in the field. Other authors contributed a single paper, indicating that research output remains relatively dispersed. Overall, while a few scholars demonstrate consistent contributions, a consolidated core group of authors has not yet been fully established. Figure 4a depicts the country-wise distribution of publications, distinguishing between Single Country Publications (SCP) in orange and Multiple Country Publications (MCP) in green. In terms of country-level contribution (as shown in Figure 4a), China leads with the highest number of publications, predominantly through single-country authorship, indicating strong domestic research capacity. Meanwhile, countries like India, Australia, and Greece demonstrate significant international collaboration, suggesting an emerging trend of global cooperation in this domain.

2.2.2. Keyword Co-Occurrence

Figure 4a presents the most frequently occurring keywords in the selected literature, reflecting the main research foci of the field. The top keywords include performance (15), thermal comfort (11), energy consumption (9), design (9), and buildings (6), indicating a strong research focus on building performance optimization, thermal regulation, and energy management. Figure 4b illustrates the temporal evolution of keywords, where the bars represent the active years and blue dots mark burst years, indicating surging attention. Prior to 2010, keywords such as energy consumption, design, buildings, simulation, and performance dominated, reflecting foundational research on building efficiency and modeling. After 2015, a shift toward environmental and comfort-oriented keywords emerged, such as CFD, thermal comfort, energy saving, building envelope, and greenhouse gas emissions, suggesting an increasing emphasis on sustainability and indoor environmental quality. In the most recent years (post-2020), terms like hybrid composites, embodied energy, adaptation, and CLT surged, indicating growing interest in green materials, carbon reduction strategies, and adaptive building design.

2.2.3. Keyword Clustering Analysis and Thematic Evolution

Figure 4b presents a bubble chart of keyword clusters based on co-word analysis. Each bubble represents a cluster of frequently co-occurring terms, with the x-axis indicating frequency and the y-axis indicating centrality. Cluster #2 (thermal comfort, CFD, comfort) is the most active theme with the highest frequency. Cluster #1 (building form, building envelope, energy) has relatively lower frequency but high centrality, suggesting its bridging role across subfields. Clusters #6 and #7 (3D printing, LCA, mechanical properties) show moderate frequency and high centrality, indicating they are influential in specific niches. Clusters #3 and #5 (biochar, biomaterials, circular economy) have lower centrality and frequency, possibly representing emerging or peripheral topics. Figure 5 shows the cumulative occurrences of major keywords over time. Keywords like performance and thermal comfort have long-term presence and continue to grow steadily, suggesting their central role in the field. Terms such as design, simulation, comfort, buildings, and energy have seen increased attention especially since 2015, indicating a broadening of the field’s focus. Mechanical properties is a relatively new keyword with noticeable growth after 2020, highlighting it as an emerging research hotspot (Figure 6).
As is shown in Figure 7a, research themes remained fragmented. Topics such as “stadium” and “air-quality” were located in the niche and declining quadrants, indicating limited thematic development and low relevance. “Thermal comfort” began to emerge as a basic theme, suggesting its potential to become a foundational topic in subsequent years. In period 2011–2015 (Figure 7b), research began consolidating around energy-related concerns; “Energy” moved into the niche themes quadrant, reflecting a more structured but domain-specific development; “Thermal comfort” remained a basic theme, maintaining relevance but still lacking density; “Ventilation” shifted into the declining themes quadrant, indicating reduced short-term interest. The focus started to shift toward energy efficiency and thermal regulation, while ventilation temporarily lost visibility as a central topic. In the third period (Figure 7c) marked the rise of materials and environmental assessment. “Wood” appeared in the motor themes quadrant, signaling its prominence as a sustainable construction material; “Thermal comfort” and “design” remained basic themes, indicating ongoing relevance but moderate specialization; “Life cycle assessment” entered the niche themes quadrant, representing deepening methodological focus; “Sleep” emerged as a declining theme, reflecting limited scholarly interest. The field expanded into environmental impact assessment and sustainable building materials, with thermal comfort remaining central. The most recent period (Figure 7d) shows a clear shift toward performance-driven and user-centric themes. “Performance,” “design,” and “sensation” emerged as motor themes, underscoring the importance of user experience and overall building performance; “Hybrid composites” and “cement” were located in the niche themes quadrant, suggesting active but domain-specific exploration of advanced materials. “Mechanical properties” became a basic theme, indicating growing structural research. “PCM” (Phase Change Materials) appeared in the declining themes quadrant, suggesting fading interest. This phase highlights the transition toward integrated performance optimization and innovative materials, alongside a growing interest in occupant perception and sensory comfort.
Generally, Figure 7 reveals a clear trajectory from dispersed early-stage themes toward consolidated core areas. “Thermal comfort” emerges as a persistent basic theme, gradually accumulating scholarly attention. “Energy” and later “performance” evolve into motor themes, indicating their central role in research development. The recent emergence of topics like “hybrid composites,” “design,” and “sensation” in the motor or niche quadrants highlights the shift toward sustainable materials, user-centric design, and performance-driven building research.
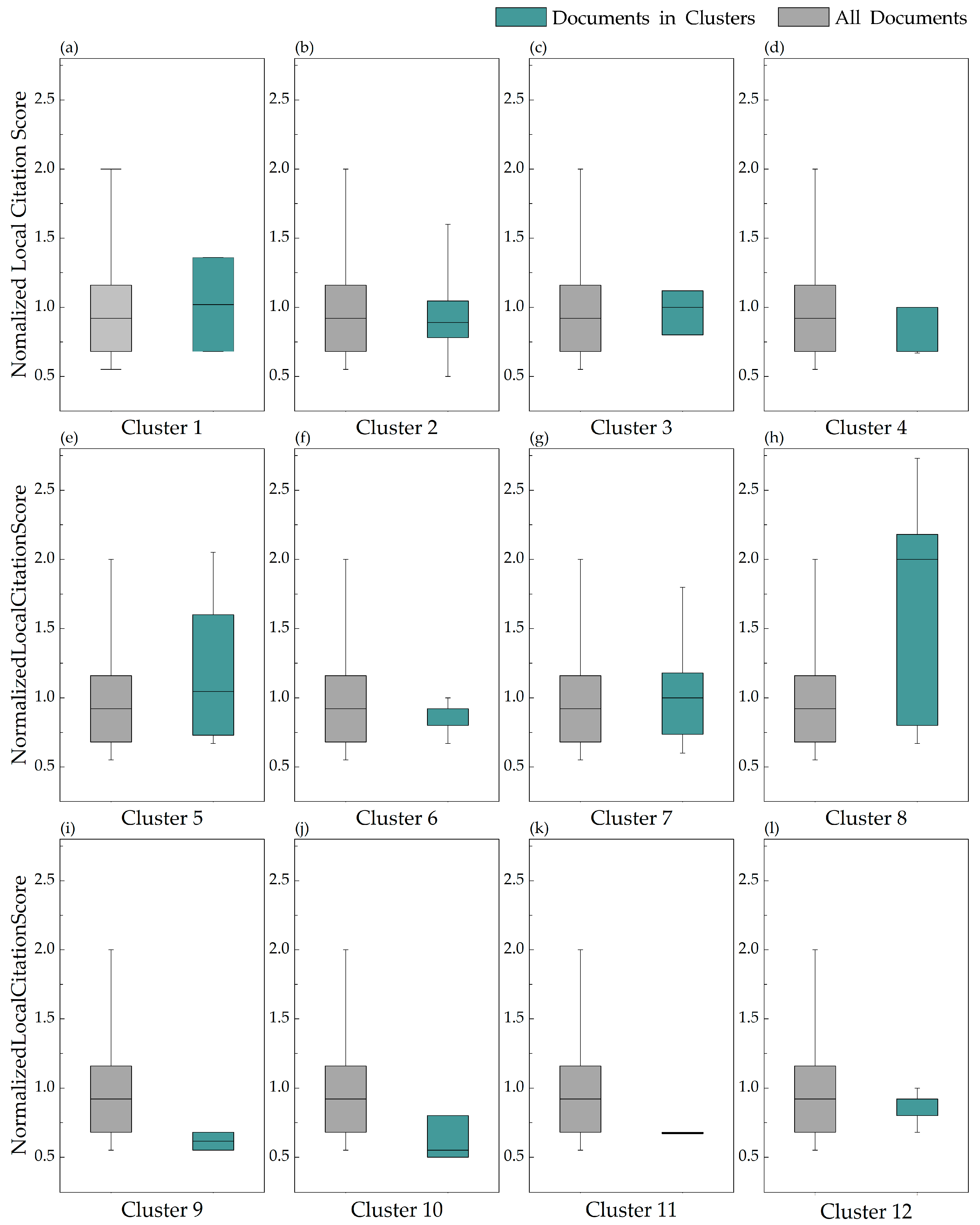
To further analyze the thematic development of each cluster, the Normalized Local Citation Score (NLCS) is taken for each cluster and compared with that of all documents, as shown in Figure 8. NLCS is a field-normalized metric that indicates how frequently a document has been cited within a defined local corpus, relative to the average citation count of that corpus. It reflects the document’s influence in its specific research context, enabling meaningful comparisons across thematic clusters or time periods. A higher NLCS suggests greater local relevance and scholarly attention within the target domain.
The comparative analysis (as shown in Figure 9) reveals clear disparities in citation impact across clusters. Clusters 5 and 8 demonstrate significantly higher citation scores, indicating their roles as high-impact or emerging research frontiers. Clusters 1, 3, 7, and 12 align closely with the overall distribution, suggesting they are core or well-established topics. In contrast, Clusters 4, 6, 9, 10 and 11 show relatively low citation performance, likely representing underexplored or nascent thematic areas.
Beyond the cluster-level impact, a cross-citation analysis of the 95 core publications was conducted to examine their interconnectedness. The findings reveal that certain clusters, particularly those addressing thermal comfort and energy efficiency, exhibit moderate levels of mutual citation. However, many studies remain relatively isolated, reflecting parallel lines of investigation rather than a fully integrated research stream. This indicates that although thematic convergence is emerging, knowledge integration in the field is still at an early stage and requires stronger cross-referencing and cumulative scholarship.
In summary, the bibliometric analysis provides a comprehensive overview of the research landscape by examining publication outputs across authors, countries, and keywords. Research efforts are predominantly led by China and other Asian countries, with a scattered yet active author network. The keyword analysis indicates a thematic shift from traditional energy consumption assessments toward broader topics such as thermal comfort, green materials, and low-carbon design. The cluster analysis of keywords reveals several interdisciplinary and emerging thematic areas, offering valuable insights for future research directions.

3. Morphological Influence

The rapid rise of sports architecture in China, supported by improved living standards and national policy, has led to increased energy use. To address this, energy-efficient design must balance user comfort with passive strategies [19]. Architectural form significantly affects operational energy. Even with similar scale and age, different layouts and window-to-wall ratios can double energy use, underscoring the need for form optimization from the outset [20] (Table 1).
In recent years, the impact of building morphology on the thermal performance of sports buildings has gained increasing attention. Existing studies have systematically explored geometric configurations, facade composition, and climate responsiveness from the perspectives of solar energy utilization, thermal comfort, and carbon emission reduction. Table 1 summarizes representative research over the past two decades on how building form affects thermal performance in sports and other public buildings. Qian et al. devised a method to boost energy efficiency in small-to-medium sports buildings through form and envelope optimization, which encompasses roof configuration and thermal insulation improvement [21]. Notably, early-stage design decisions affect up to 80% of a building’s environmental impact and operational costs [22]. In this phase, architectural design plays a pivotal role—not only in aesthetics but also in energy efficiency.
Research has also demonstrated that building form significantly affects solar energy utilization. Kämpf et al. presented a simulation-driven optimization approach to bolster the solar irradiation on building surfaces, which subsequently enhances energy performance and renewable energy output [23]. Similarly, Azami and Sevinç assessed the operational efficiency of building-integrated photovoltaic (BIPV) systems, revealing that improvements in envelope design can substantially enhance solar energy yield and building-wide energy performance [24]. Similarly, Hachem et al. used parametric analysis to evaluate how geometric form affects solar potential in residential buildings and found that morphological optimization can significantly increase solar energy utilization and improve sustainability [25]. Dong et al. identified 10 common gymnasium forms and assessed their energy performance—EUI, PVPG, and CE—using Ladybug and Honeybee, analyzing how form and orientation affect outcomes in various climate zones [26]. Lin et al. investigated the thermal performance of ice rinks with various envelope designs, finding that longwave radiation made up over 44% of the total load and could be cut by 53.2% via low-emissivity coatings on ceilings [27].
Researchers have conducted extensive investigations into various strategies aimed at reducing building energy use and carbon emissions in sports buildings. Dong et al. discovered that athletic buildings constructed with rein-forced concrete exhibit higher life-cycle energy loads and CO2-equivalent emissions compared to those with timber structures [8]. Yue et al., in their design of the Qingdao University gymnasium, considered wall types, roof types, and HVAC systems, integrating thermal comfort metrics alongside energy optimization [28]. Fan et al. optimized facade shading to reduce energy load and improve daylight comfort [29]. Guo et al. assessed how climate and architectural form affect passive ventilation in subtropical gymnasiums and proposed energy-saving HVAC control strategies during non-event periods. Other studies emphasized the importance of active solar utilization in energy conservation [30]. Jiang et al. conducted an investigation into the impact of stadium shape on solar irradiation in Nanjing, China, revealing that roofs offer substantially greater solar potential than facades, and that variations in roof geometry can cause solar availability to differ by as much as 11% [31]. Manni et al. compared carbon offset potential between high-reflectivity coatings and BIPV systems on a football stadium roof in Italy, finding that BIPV offset up to 1500 kgCO2-eq/m2—much higher than the 100 kgCO2-eq/m2 offered by reflective coatings [32].
Building form also influences air circulation and shading capacity. Several studies have focused on form optimization under specific climate conditions. In the Mediterranean climate, it was found by Zerefos et al. that prismatic buildings outperform rectangular ones in energy efficiency, with annual energy demand varying between 2.51% and 16.01% influenced by geometric orientation [33]. Giouri et al. assessed four distinct high-rise building geometries—square, octagonal, standard rectangular, and elongated rectangular—within a Mediterranean climatic setting, finding that square configurations demonstrated the highest energy performance [34].
Other studies have compared optimal architectural typologies across diverse climatic contexts. Based on climate datasets covering seven regions across North America and Egypt, Ola et al. categorized high-rise structures into three distinct morphological forms and found that the rotor model offered the most favorable energy performance across all climate conditions [35]. Outpatient buildings in five climate zones were analyzed by Yang and Zhang, who examined centralized, corridor, and courtyard forms [36]. Four library building forms—core-type, linear, compact, and articulated—were studied by Deng and team, who outlined suitable energy-saving strategies for different climates [37].
Existing studies on energy-efficient form optimization have primarily focused on planar geometry in residential and office buildings, often assuming flat roofs and overlooking the role of roof morphology. However, in large-scale public facilities such as sports buildings, roof geometry significantly influences thermal performance, yet remains underexplored—especially across diverse climatic conditions. While some research has linked BIPV systems with roof shape and orientation, most limit their scope to simplified geometries and neglect the combined evaluation of energy-saving potential and photovoltaic yield. In this context, incorporating operational carbon emission analysis offers a more integrated framework for assessing both energy consumption and renewable energy generation in roof design.

4. Envelope Systems & Performance

4.1. Thermal Properties of Building Envelopes

The building envelope of sports venues significantly impacts total energy consumption. Via decreasing the carbon intensity of sports infrastructure, an optimized envelope can significantly improve energy efficiency, reduce energy use, and contribute to environmental sustainability within smart cities [38]. The implementation of energy-efficient measures within building envelope systems focuses on insulation, encompassing the application of advanced wall or composite materials with superior insulating characteristics, along with the integration of suitable construction techniques and sustainable practices [39].
Characterized by large spatial volumes, tall structures, and intermittent usage patterns, sports buildings are specialized public facilities. According to a study by Qian et al. in the journal Smart Cities (2024) on small and medium-sized gymnasiums in China, their energy consumption typically consists of three main components: HVAC systems (approximately 59%), lighting and office equipment (approximately 25%), and power equipment (approximately 16%). Given that these percentages are derived from research in the hot and humid climate of southern China, this data provides a crucial reference for reducing energy consumption in sports buildings within similar climate zones [21]. (Figure 10) Reducing energy consumption in sports buildings largely depends on minimizing energy use by air conditioning systems. Therefore, improving the thermal performance of the building envelope is crucial, representing the most effective and economically viable passive energy-saving strategy for small- and medium-sized sports buildings.
Valencia-Solares et al. focused on energy-saving and green technologies, proposing approaches for lowering energy demand in gymnasiums [16]. Wang et al. conducted research aimed at enhancing the airflow and thermal conditions of athletic structures, emphasizing indoor environmental quality and occupant health [41]. Liu and team explored sports buildings’ smart design strategies from the energy use and efficiency optimization angle [42]. Dong et al. conducted a comparative whole-life assessment of the energy performance and carbon mitigation capacity of rein-forced concrete versus timber stadiums [8]. Yang et al. proposed optimizing sports building design through an interactive design framework to achieve energy conservation and emission reduction goals [43]. Fan et al. investigated ways to optimize stadiums’ envelope and facade materials and structures [29].
Despite extensive investigations into sustainable and energy-conscious design strategies for gymnasiums from multiple perspectives, the current body of literature predominantly emphasizes isolated aspects rather than integrated approaches. Guo et al. conducted an investigation into the wind environment and ventilation modes of gymnasiums using CFD simulation techniques [30]. Xiong et al. conducted an in-depth investigation into climate-adaptive strategies aimed at enhancing the low-carbon and energy-efficient performance of gymnasiums [44]. The Wuhu County National Fitness Center was used as a case study by Feng et al. to investigate energy reduction strategies through improved spatial and envelope design, with roof shape selection guidelines proposed based on airflow resistance analysis [45]. Many studies have pointed out that improving the insulation and ventilation efficiency of envelope structures is a key path to achieving passive energy conservation. These studies used simulation, empirical, and optimization methods to systematically analyze the envelope performance of sports buildings (Table 2), providing important reference for formulating subsequent optimization strategies.

4.2. Environment-Friendly Materials and Resource Circulation

4.2.1. Definition and Application Context

Environment-friendly materials (EFM) refer to those that minimize environmental impacts across their life cycle, supporting sustainable development through low-carbon production, recyclability, and reduced ecological damage [46,47]. As construction accounts for high energy and resource use, EFM has become central to green building practices [48,49]. The concept gained traction through international green certifications such as LEED and national policies encouraging sustainable manufacturing and ecological construction [50,51,52,53].
In developing economies, EFM applications are expanding [54]. For instance, plastic composites used in sports facilities offer benefits like durability, ease of processing, and cost-effectiveness [55,56]. China’s updated Green Building Evaluation Standard (GB/T 50378–2019), effective from October 2024, further promotes EFM integration despite challenges like high R&D costs [57].

4.2.2. Key Characteristics and Classification

EFM aim to reduce carbon emissions, energy demand, and environmental damage throughout their use. Core features include [58,59]:
  • Low carbon emissions: achieved via clean energy use and low-emission production.
  • Resource efficiency: including recyclability, renewable content, and minimal waste.
  • Environmental safety: with low pollutant output and minimized ecological risks.
  • Durability: enabling long lifespans and facilitating reuse.
Based on function and material type, EFM are generally categorized into four groups [60,61,62,63]:
  • Low-carbon materials (e.g., high-performance insulation, bamboo, recycled steel) that reduce construction-phase emissions and operational energy.
  • Renewable materials (bamboo, timber) sourced from sustainable forests with low energy input and high strength-to-weight ratios [61].
  • Biodegradable and compostable materials that decompose naturally under specific conditions, reducing long-term environmental impact [62].
  • Recyclable materials (steel, glass, paper, concrete) which support material circularity and reduce landfill use [63].

4.2.3. Integration of EFM in Athletic Facility Construction

In sports building projects, EFM are implemented across design and construction phases. Design strategies prioritize energy-saving orientation, natural lighting and ventilation, renewable energy systems (e.g., PV and wind), and intelligent HVAC controls [64,65,66]. Water conservation is supported via low-flow fixtures and rainwater harvesting, while native landscaping promotes biodiversity (Table 3).
During construction, certified EFMs such as low-VOC coatings, recycled wood, and recyclable metals are used. Pollution and waste control measures—dust suppression, material pre-planning, noise mitigation, and waste sorting—are also critical [67,68,69,70]. These measures form an operational framework aligned with circular economy principles (Table 4).
EFM are generally grouped into four overlapping categories: low-carbon, renewable, biodegradable, and recyclable materials (Table 5). Low-carbon types—such as bamboo, timber, and recycled steel or concrete—help reduce embodied emissions during both construction and operation phases, often enhancing thermal performance through insulation improvements [60]. Renewable materials like sustainably managed timber share similar benefits, combining rapid regeneration with low energy input and high structural strength [61]. Biodegradable and compostable materials, while distinct in decomposition rate and toxicity, both offer reduced long-term environmental impact when designed for safe breakdown in natural conditions [62]. Recyclable materials—including paper, metals, glass, and concrete—contribute to resource conservation and circular economy goals; for example, recycling one ton of paper recovers 850 kg of usable material and saves approximately 3 m3 of timber [63].

4.2.4. Energy and Carbon Savings in Timber Buildings

Timber has regained prominence as a sustainable alternative to concrete, supported by advances in engineered wood technologies like CLT, GLT, and OSB [71,72]. These materials reduce construction waste, enable rapid assembly, and often exhibit negative embodied carbon [73].
Life cycle assessments affirm that timber buildings reduce operational energy and GHG emissions (Table 6). For example:
CLT structures lower HVAC demand by ~10% versus concrete [73].
Timber systems reduce GHG emissions by 0.35–0.56 kg CO2-eq/kg material in residential buildings [74].
When integrated with CHP, CLT can cut life-cycle primary energy use by up to 37% [75].
Compared to light steel frames, CLT can yield ~$2090 annual energy savings [76].
Hybrid steel–timber frames reduce embodied carbon by over 100% versus concrete [77].
Timber-based high-rise structures consume 8% less fossil energy [78].
Masonry alternatives have 1.6–2.7× higher environmental footprints [79].
In cold climates, CLT lowers heating demand by ~12% [80].
Prefabricated timber walls emit 7% less GHGs than block walls [81].
These findings confirm timber’s viability as a low-carbon, high-performance construction solution in sports architecture [8].
Table 6. Comparative energy and carbon performance of Timber buildings.
Table 6. Comparative energy and carbon performance of Timber buildings.
Ref.Authors/YearBuilding Type/RegionComparative MethodEnergy Saving/Carbon ImpactKey Findings
[8]Dong et al., 2020Stadium/ChinaWhole Building LCA (WBLCA).Timber stadium: 19.8% lower energy use; 24.6% less carbon emissions.Timber outperforms RC stadiums in energy and carbon performance across full life cycle.
[73]Chen, 20125-storey CLT vs. concrete/CanadaLife Cycle Assessment (LCA).CLT shows lower embodied energy & GHG emissions.
GHG reduction potential factor 0.35–0.56.
CLT reduces operational + embodied emissions significantly.
[74]Hafner & Schäfer, 2017Timber vs. mineral buildings/EuropeLCA + Substitution Factors.GHG reduction potential factor 0.35–0.56 kg CO2-eq/kg material.Timber buildings offer strong subtitution for fossil-intensive materials.
[75]Tettey et al., 2019Multi-storey residential/SwedenLCA: Primary energy over lifecycle.CLT: 20–37% lower energy use.Frame choice (wood vs. concrete) affects total lifecycle energy use.
[76]Khavari et al., 2016Multi-unit CLT housing/USAEnergy simulation.$2090/year energy cost savings.Wood structure enhances heating efficiency in cold climates.
[77]Chiniforush et al., 2018Steel-Timber Composite vs. concreteEmbodied energy & carbon.107% reduction in embodied carbon.STC systems have double the reduction effect compared to RC buildings.
[78]Pierobon et al., 2019Midrise non-residential/USALCA-based case study.8% reduction in non-renewable energy.CLT hybrids reduce fossil fuel demand in construction.
[79]Pajchrowski et al., 20144 types of buildings/PolandFull lifecycle environmental impact.Traditional wood: 2.7× less impact than brick buildings.Wood offers lower impact than passive masonry systems.
[70]Dong et al., 2019Office buildings/China (Harbin)Energy performance simulation.11.97% lower heating demand in CLT buildings.CLT significantly reduces HVAC load in cold regions.
[81]Marsono & Balasbaneh, 2015Residential buildings/MalaysiaComparative GHG modeling.7% lower GHG with prefabricated wood walls.Wood outperforms masonry in tropical carbon mitigation.
Although timber has proven effective in reducing energy use and carbon emissions, its application in stadium construction across China remains minimal [82]. As national investments in sports infrastructure continue to grow, the resulting increase in energy demand and greenhouse gas emissions underscores the urgency of exploring alternative structural systems. However, existing research on the energy performance and carbon mitigation potential of timber-based stadiums is still sparse. Future investigations should assess the technical feasibility, lifecycle sustainability, and climatic adaptability of timber in stadium design, to advance the development of low-carbon sports architecture.

5. Energy Coupling & Comfort

5.1. Assessment of Outdoor Thermal Comfort

The semi-open design of stadiums exposes occupants to fluctuating environmental conditions—particularly in solar radiation, airflow, and humidity—which results in spatially non-uniform and temporally dynamic thermal environments [10]. Factors such as metabolic rate during physical activity, microclimate variation, and individual physio-logical and psychological adaptation further complicate comfort assessment [83]. Due to these complexities, traditional indoor thermal comfort standards—designed for stable, uniform environments—are poorly suited for outdoor applications, where weather-dependent variables must be incorporated [84].
Current research addresses these challenges via two main strategies: (1) in situ comfort monitoring coupled with climate control schemes, and (2) architectural optimization based on key geometric parameters, such as stadium orientation, opening configuration, and roof form. As shown in Table 7, field studies and simulation models are increasingly used to evaluate comfort conditions and develop suitable thermal indices for stadium environments [85,86].
Computational Fluid Dynamics (CFD) has become a key tool for assessing airflow, heat transfer, and thermal perception in large outdoor or semi-enclosed venues. While widely applied in HVAC and design optimization, relatively few studies simulate human thermal responses directly. For instance, Losi et al. built CFD models to study stadium cooling in hot-humid climates [10], while Ghani et al. compared seven comfort indices and identified WBGT as most suitable for outdoor scenarios, based on CFD simulations and occupant surveys [92]. Table 8 summarizes key CFD-based approaches in stadium design and analysis, highlighting methodological feasibility under varying climatic conditions.

5.2. Thermal Comfort Regulation

Thermal comfort regulation in stadiums involves two primary pathways: individual behavioral adaptation (e.g., clothing, activity, expectations) and environmental control (e.g., temperature, humidity, airflow) [97,98]. While personal adjustments help, large-span venues rely more on passive and architectural strategies to reduce cooling loads and improve comfort at scale [99].
Multiple studies confirm that optimizing stadium form—through external shading, natural ventilation, and day-lighting—can substantially reduce energy demand and enhance user well-being. Wei ranked passive measures, finding external shading and daylighting to be the most impactful [100]. Yang et al. demonstrated that semi-underground de-signs, especially when combined with night ventilation, are highly effective in hot-dry and cold regions due to soil thermal inertia [101]. Li and Huang showed that asymmetric interface layouts and operable double-layer roofs can boost airflow and reduce indoor overheating [102,103]. CFD-based simulations further confirm that roof insulation and opening configurations are critical to regulating indoor climate in semi-open arenas [7].
Despite growing research, most studies remain fragmented, focusing on single-variable optimizations or on residential/offices rather than stadium-specific needs [104,105]. Stadiums have distinct thermal challenges: fluctuating occupancy, high metabolic load zones, and diverse functional use. Future research should embrace multifactorial methods—such as orthogonal simulation and hybrid modeling—to assess the combined impact of form, ventilation, shading, and control logic.
Best practices show that passive strategies—such as translucent PV panels, operable skylights, vegetated façades, and climate-responsive materials—can reduce mechanical cooling reliance. In Singapore and Melbourne, green roofs and geothermal integration cut HVAC energy by 30–60%, with payback periods under 8 years. In Japan, real-time WBGT thresholds guided demand-based cooling, reducing electricity use by 40% [82]. Lifecycle design is equally critical: timber modules, local biomaterials, and prefabrication have lowered embodied carbon by over 70% in pioneering stadiums like the Circular Arena [106,107].
Behavior-driven strategies complement architectural design. Seasonal comfort guidance, nighttime ventilation, and flexible setpoint control have achieved 15–60% energy savings in low-budget venues [108]. Xiong et al. proposed a climate-zoned stadium framework integrating layout, form, and envelope into a CFD-validated performance map for China’s humid and cold regions [43]. These integrated design approaches underscore the potential of architectural and behavioral synergies in achieving low-carbon, thermally adaptive stadiums.

6. Conclusions

This study systematically reviewed thermal performance optimization strategies in small-to-medium-sized sports buildings, emphasizing a multidimensional perspective that integrates architectural form, envelope systems, environmentally friendly materials, and thermal comfort regulation. The review revealed that building morphology—especially roof configuration, orientation, and the openness of façades—directly impacts solar radiation, airflow patterns, and thermal load distribution. Thoughtful morphological design at early stages can significantly enhance passive climate responsiveness, reduce reliance on mechanical systems, and improve indoor comfort.
Envelope systems emerged as a critical determinant of energy efficiency, with optimized insulation, dynamic shading, and advanced fenestration systems contributing to reductions in cooling demand ranging from 12% to 18%. Studies employing simulation tools such as EnergyPlus and CFD consistently demonstrated the effectiveness of double-skin façades, low-emissivity coatings, and climate-adaptive roof structures in maintaining thermal stability across diverse climatic contexts.
The use of environmentally friendly materials—including timber, recycled composites, and low-VOC products—proved effective in lowering embodied carbon and supporting circular construction practices. Life cycle assessments (LCA) further validated the superior performance of timber-structured stadiums in reducing operational energy use and greenhouse gas emissions compared to conventional reinforced concrete buildings. Moreover, integrating renewable energy technologies (such as BIPV) with optimized building envelopes was shown to significantly enhance energy autonomy and carbon offset potential.
In terms of thermal comfort regulation, the review identified a research shift from standard HVAC control to adaptive, user-centered strategies that combine passive ventilation, dynamic shading, and intelligent systems. Semi-outdoor environments such as stadiums pose unique challenges due to spatial variability in temperature, humidity, and radiation; hence, advanced thermal indices and real-time control algorithms are increasingly used to evaluate and manage occupant comfort.
In conclusion, the evidence suggests that low-carbon, high-performance sports buildings are best achieved through early-stage integration of passive design, envelope optimization, sustainable materials, and AI-assisted climate-responsive control systems. Future research should focus on refining these strategies through real-time sensor feedback, adaptive morphological logic, and intelligent envelope operation algorithms, supported by multiscale simulations and post-occupancy evaluations.
Meanwhile, most sports venues in the future will be equipped with real-time “digital twin” virtual entities. Managers can simulate various complex scenarios in this virtual model to achieve predictive management and refined regulation throughout the entire life cycle of the physical venue. This operation and maintenance model, which integrates technologies such as digital twin, will be more deeply integrated with machine learning algorithms. By learning various types of data, it can predict load demands and environmental changes, enabling equipment to operate at the most appropriate time and achieving energy-saving and comfort effects.

Author Contributions

Conceptualization, F.Q. and L.Y.; methodology, F.Q. and L.Y.; software, F.Q., Z.S. and L.Y.; formal analysis, F.Q. and L.Y.; investigation, F.Q. and L.Y.; resources, F.Q. and L.Y.; writing—original draft preparation, F.Q. and L.Y.; writing—review and editing, F.Q., Z.S. and L.Y.; visualization, F.Q., Z.S. and L.Y.; project administration, F.Q. and L.Y. All authors have read and agreed to the published version of the manuscript.

Funding

This research received no external funding.

Data Availability Statement

Data is contained within the article.

Conflicts of Interest

The authors declare no conflicts of interest.

References

  1. Miletić, M.; Komatina, D.; Babić, L.; Lukić, J. Evaluating Energy Retrofit and Indoor Environmental Quality in a Serbian Sports Facility: A Comprehensive Case Study. Appl. Sci. 2024, 14, 9401. [Google Scholar] [CrossRef]
  2. Amicarelli, V.; Bux, C.; Lagioia, G.; Gallucci, T. Energy efficiency policies in non-residential buildings: The Case of the University of Bari Aldo Moro. Amfiteatru Econ. 2019, 21, 845–860. [Google Scholar] [CrossRef]
  3. China Daily. New Energy Storage Projects Set to Boost Green Transition. Available online: https://global.chinadaily.com.cn/a/202401/19/WS65a9dc8aa3105f21a507d374.html (accessed on 19 January 2024).
  4. Li, X. Research on Low-Carbon Architectural Design of Stadiums. Master’s Thesis, Harbin Institute of Technology, Harbin, China, 2017. [Google Scholar]
  5. Zhang, M.; Ge, X.; Zhao, Y.; Xia-Bauer, C. Creating Statistics for China’s Building Energy Consumption Using an Adapted Energy Balance Sheet. Energies 2019, 12, 4293. [Google Scholar] [CrossRef]
  6. Dickson, G.; Zhang, J.J. Sports and urban development: An introduction. Int. J. Sports Mark. Spons. 2020, 22, 1–9. [Google Scholar] [CrossRef]
  7. Huang, X.; Zhang, Q.; Tanaka, I. Optimization of architectural form for thermal comfort in naturally ventilated gymnasium at hot and humid climate by orthogonal experiment. Energies 2021, 14, 3228. [Google Scholar] [CrossRef]
  8. Dong, Y.; Qin, T.; Zhou, S.; Huang, L.; Bo, R.; Guo, H.; Yin, X. Comparative Whole Building Life Cycle Assessment of Energy Saving and Carbon Reduction Performance of Reinforced Concrete and Timber Stadiums—A Case Study in China. Sustainability 2020, 12, 1566. [Google Scholar] [CrossRef]
  9. Li, Y.; Du, H.; Kumaraswamy, S.B. Case-based reasoning approach for decision-making in building retrofit: A review. Build. Environ. 2024, 248, 111030. [Google Scholar] [CrossRef]
  10. Losi, G.; Bonzanini, A.; Aquino, A.; Poesio, P. Analysis of thermal comfort in a football stadium designed for hot and humid climates by CFD. J. Build. Eng. 2021, 33, 101599. [Google Scholar] [CrossRef]
  11. Zampetti, L.; Arnesano, M.; Revel, G. Experimental testing of a system for the energy-efficient sub-zonal heating management in indoor environments based on PMV. Energy Build. 2018, 166, 229–238. [Google Scholar] [CrossRef]
  12. Guo, X.; Sun, Y. A thermal comfort assessment on semi-outdoor sports stadiums located in 3 different climate zones in China. Build. Environ. 2024, 261, 111660. [Google Scholar]
  13. Rajagopalan, P.; Luther, M.B. Thermal and ventilation performance of a naturally ventilated sports hall within an aquatic centre. Energy Build. 2013, 58, 111–122. [Google Scholar] [CrossRef]
  14. Ren, T.; Luo, P.; Liu, X. Towards low-carbon future: A comparative study on low-carbon design of cold region sports buildings at home and abroad based on knowledge graph and its implications. Contemp. Archit. 2024, 12, 55–60. [Google Scholar]
  15. Li, Y.; Nord, N.; Huang, G.; Li, X. Swimming pool heating technology: A state-of-the-art review. Build. Simul. 2021, 14, 421–440. [Google Scholar] [CrossRef]
  16. Valencia-Solares, M.E.; Gijón-Rivera, M.; Rivera-Solorio, C.I. Energy, economic, and environmental assessment of the integration of phase change materials and hybrid concentrated photovoltaic thermal collectors for reduced energy consumption of a school sports center. Energy Build. 2023, 293, 113198. [Google Scholar] [CrossRef]
  17. Merabet, G.C.; Essaidi, M.; Haddou, M.B.; Qolomany, B.; Qadir, J.; Anan, M.; Al-Fuqaha, A.; Abid, M.R.; Benhaddou, D. Intelligent building control systems for thermal comfort and energy-efficiency: A systematic review of artificial intelligence-assisted techniques. Renew. Sustain. Energy Rev. 2021, 144, 110969. [Google Scholar] [CrossRef]
  18. Liberati, A.; Altman, D.G.; Tetzlaff, J.; Mulrow, C.; Gøtzsche, P.C.; Ioannidis, J.P.; Clarke, M.; Devereaux, P.J.; Kleijnen, J.; Moher, D. The PRISMA statement for reporting systematic reviews and meta-analyses of studies that evaluate healthcare interventions: Explanation and elaboration. BMJ 2009, 339, b2700. [Google Scholar] [CrossRef] [PubMed]
  19. D’Agostino, D.; Daraio, L.; Marino, C.; Minichiello, F. Cost-optimal methodology and passive strategies for building energy efficiency: A case-study. Archit. Sci. Rev. 2018, 61, 400–409. [Google Scholar] [CrossRef]
  20. Yang, D.; Ren, S.; Turrin, M.; Sariyildiz, S.; Sun, Y. Multi-disciplinary and multi-objective optimization problem re-formulation in computational design exploration: A case of conceptual sports building design. Autom. Constr. 2018, 92, 242–269. [Google Scholar] [CrossRef]
  21. Qian, F.; Sun, H.; Yang, L. Integrating Smart City Principles in the Numerical Simulation Analysis on Passive Energy Saving of Small and Medium Gymnasiums. Smart Cities 2024, 7, 1971–1991. [Google Scholar] [CrossRef]
  22. Bogenstätter, U. Prediction and Optimization of Life-Cycle Costs in Early Design. Build. Res. Inf. 2000, 28, 376–386. [Google Scholar] [CrossRef]
  23. Kämpf, J.H.; Montavon, M.; Bunyesc, J.; Bolliger, R.; Robinson, D. Optimisation of Buildings’ Solar Irradiation Availability. Sol. Energy 2010, 84, 596–603. [Google Scholar] [CrossRef]
  24. Azami, A.; Sevinç, H. The Energy Performance of Building Integrated Photovoltaics (BIPV) by Determination of Optimal Building Envelope. Build. Environ. 2021, 199, 107856. [Google Scholar] [CrossRef]
  25. Hachem, C.; Athienitis, A.; Fazio, P. Parametric Investigation of Geometric Form Effects on Solar Potential of Housing Units. Sol. Energy 2011, 85, 1864–1877. [Google Scholar] [CrossRef]
  26. Yu, D.; Duan, H.; Li, X.; Zhang, R. Influence of Different Forms on BIPV Gymnasium Carbon-Saving Potential Based on Energy Consumption and Solar Energy in Multi-Climate Zones. Sustainability 2024, 16, 1656. [Google Scholar]
  27. Lin, W.; Liu, X.; Li, S.; Zhang, T. Investigation on thermal environment and heat transfer characteristics in ice rinks with different envelopes. Build. Environ. 2022, 219, 109250. [Google Scholar] [CrossRef]
  28. Yue, N.; Li, L.; Morandi, A.; Zhao, Y. A Metamodel-Based Multi-Objective Optimization Method to Balance Thermal Comfort and Energy Efficiency in a Campus Gymnasium. Energy Build. 2021, 253, 111513. [Google Scholar] [CrossRef]
  29. Fan, Z.; Liu, M.; Tang, S. A Multi-Objective Optimization Design Method for Gymnasium Facade Shading Ratio Integrating Energy Load and Daylight Comfort. Build. Environ. 2022, 207, 108527. [Google Scholar] [CrossRef]
  30. Guo, W.; Liang, S.; He, Y.; Li, W.; Xiong, B.; Wen, H. Combining EnergyPlus and CFD to Predict and Optimize the Passive Ventilation Mode of Medium-Sized Gymnasium in Subtropical Regions. Build. Environ. 2022, 207, 108420. [Google Scholar] [CrossRef]
  31. Jiang, L.; Liu, W.; Liao, H.; Li, J. Investigation of the Geometric Shape Effect on the Solar Energy Potential of Gymnasium Buildings. Energies 2020, 13, 6369. [Google Scholar] [CrossRef]
  32. Manni, M.; Petrozzi, A.; Coccia, V.; Nicolini, A.; Cotana, F. Investigating Alternative Development Strategies for Sport Arenas Based on Active and Passive Systems. J. Build. Eng. 2020, 31, 101340. [Google Scholar] [CrossRef]
  33. Zerefos, S.C.; Tessas, C.A.; Kotsiopoulos, A.M.; Founda, D.; Kokkini, A. The Role of Building Form in Energy Consumption: The Case of a Prismatic Building in Athens. Energy Build. 2012, 48, 97–102. [Google Scholar] [CrossRef]
  34. Giouri, E.D.; Tenpierik, M.; Turrin, M. Zero Energy Potential of a High-Rise Office Building in a Mediterranean Climate: Using Multi-Objective Optimization to Understand the Impact of Design Decisions towards Zero-Energy High-Rise Buildings. Energy Build. 2020, 209, 109666. [Google Scholar] [CrossRef]
  35. Ola, F.B.; Sekarlangit, N.; Michelle, B. Heat Transfer in the Universal Form of High-Rise Buildings in Various Climate Zones. J. Appl. Sci. Eng. 2021, 25, 187–194. [Google Scholar]
  36. Yang, J.; Zhang, Q. Effect of the Spatial Form of Outpatient Buildings on Energy Consumption in Different Climate Zones in China. PLoS ONE 2023, 18, e0293982. [Google Scholar] [CrossRef] [PubMed]
  37. Deng, X.; Wang, M.; Sun, D.; Fan, Z. Effect of Building Form on Energy Consumption of Academic Library Buildings in Different Climate Zones in China. IOP Conf. Ser. Earth Environ. Sci. 2020, 531, 012060. [Google Scholar] [CrossRef]
  38. Xiang, B. Impact of Thermal Performance Parameters of the Envelope Structure on the Energy Consumption of Sports Buildings. Guangdong Build. Mater. 2020, 5, 35–37. [Google Scholar]
  39. Dahal, U.; Krarti, M. Thermal Impacts of Air Cavities Associated with Insulated Panels Deployed for Exterior Building Envelope Assemblies. Energies 2025, 18, 3573. [Google Scholar] [CrossRef]
  40. Beck, H.E.; McVicar, T.R.; Vergopolan, N.; Berg, A.; Lutsko, N.J.; Dufour, A.; Zeng, Z.Z.; Jiang, X.; Dijk, A.V.; Miralles, D.G. High-resolution (1 km) Köppen-Geiger maps for 1901–2099 based on constrained CMIP6 projections. Sci. Data 2023, 10, 724. [Google Scholar] [CrossRef]
  41. Wang, J.; Huang, J.; Fu, Q.; Gao, E.; Chen, J. Metabolism-based ventilation monitoring and control method for COVID-19 risk mitigation in gymnasiums and alike places. Sustain. Cities Soc. 2022, 80, 103719. [Google Scholar] [CrossRef]
  42. Liu, Q.; Ren, J. Research on the building energy efficiency design strategy of Chinese universities based on green performance analysis. Energy Build. 2020, 224, 110242. [Google Scholar] [CrossRef]
  43. Yang, M.; Xi, C.; Wang, J.; Feng, Z.; Cao, S.-J. An interactive design framework for large-scale public buildings based on comfort and carbon abatement. Energy Build. 2023, 279, 112679. [Google Scholar] [CrossRef]
  44. Xiong, D.; Cheng, K.; Chen, J. Climate-Adaptive Design Strategies of Sports Stadia in a Hot Summer and Cold Winter Zone: A Case Study of Nanjing. Buildings 2023, 13, 2238. [Google Scholar] [CrossRef]
  45. Qian, F.; Luo, Y.; Yang, L. Energy-saving design considerations for small and medium-sized sports buildings: A case study of the Wuhu County National Fitness Center. Archit. Sci. 2025, 41, 101–109. [Google Scholar]
  46. Abdur, R.M.; Haque, S.; Athikesavan, M.M.; Kamaludeen, M.B. A review of environmental friendly green composites: Production methods, current progresses, and challenges. Environ. Sci. Pollut. Res. 2023, 30, 16905–16929. [Google Scholar] [CrossRef] [PubMed]
  47. Gowda, T.Y.; Sanjay, M.; Bhat, K.S.; Madhu, P.; Senthamaraikannan, P.; Yogesha, B.; Pham, D. Polymer matrix natural fiber composites: An overview. Cogent Eng. 2018, 5, 1446667. [Google Scholar] [CrossRef]
  48. Aiduang, W.; Chanthaluck, A.; Kumla, J.; Jatuwong, K.; Srinuanpan, S.; Waroonkun, T.; Oranratmanee, R.; Lumyong, S.; Suwannarach, N. Amazing fungi for eco-friendly composite materials: A comprehensive review. J. Fungi 2022, 8, 842. [Google Scholar] [CrossRef]
  49. Chandrashekar, P.H.; Nagarajachari, U.; Girijappa, Y.G.T.; Chandregowda, H.B.; Kalappa, P. Synergistic effects of sisal/glass fiber hybridization and eggshell powder filler on the performance of eco-friendly polymer composites. Polym. Compos. 2024, 46, 1327–1341. [Google Scholar] [CrossRef]
  50. Jerry, Y. Integrated Design of Green Buildings; Harbin Industrial University: Harbin, China, 2014; p. 6. [Google Scholar]
  51. O’Hegarty, R.; Kinnane, O.; Newell, J.; West, R. High performance, low carbon concrete for building cladding applications. J. Build. Eng. 2021, 43, 102566. [Google Scholar] [CrossRef]
  52. Horizon 2020. The EU Framework Programme for Research and Innovation. Available online: https://ec.europa.eu/programmes/horizon2020/en/h2020-sections (accessed on 11 December 2019).
  53. Cao, H.; Li, H.; Zeng, D.; Ge, W. The state-of-art and future development strategies of green manufacturing. China Mech. Eng. 2020, 31, 135–144. [Google Scholar]
  54. Chen, X.; Vand, B.; Baldi, S. Challenges and strategies for achieving high energy efficiency in building districts. Buildings 2024, 14, 1839. [Google Scholar] [CrossRef]
  55. Zhu, J. Application of new plastic composites in sports facilities and equipment under environmental protection. Plast. Ind. 2023, 51, 197–198. [Google Scholar]
  56. Cui, N. Embodiment of the application of green materials in the construction of sports facilities based on environmental sustainability. Environ. Eng. 2022, 40, 349. [Google Scholar]
  57. Qin, X.; Kaewunruen, S. Environment-friendly recycled steel fibre reinforced concrete. Constr. Build. Mater. 2022, 327, 126967. [Google Scholar] [CrossRef]
  58. Ma, J.; Ma, C.; Yang, Y.; Xu, W.; Zhang, G. Biodegradable polyurethane carrying antifoulants for inhibition of marine biofouling. Ind. Eng. Chem. Res. 2014, 53, 12753–12759. [Google Scholar] [CrossRef]
  59. Li, R.; Zhai, C. Constructing sports facilities using environment-friendly materials. Front. Mater. 2024, 11, 1524729. [Google Scholar] [CrossRef]
  60. Cheng, P.; Zhong, T.; Chen, H. Research progress of plant fiber self-bonding molding environmentally friendly materials. Acta Mater. Compos. Sin. 2024, 8, 3897–3909. [Google Scholar]
  61. Amrillah, T.; Prasetio, A.; Supandi, A.R.; Sidiq, D.H.; Putra, F.S.; Nugroho, M.A.; Salsabilla, Z.; Azmi, R. Environment-friendly copper-based chalcogenide thin film solar cells: Status and perspectives. Mater. Horiz. 2023, 10, 313–339. [Google Scholar] [CrossRef] [PubMed]
  62. Qi, C.; Wang, S.; Zhu, X.; Zhang, T.; Gou, Y.; Xie, Z.; Jin, Y.; Wang, Y.; Song, L.; Zhang, M. Environmentalfriendly low-cost direct regeneration of cathode material from spent LiFePO4. J. Alloys Compd. 2022, 924, 166612. [Google Scholar] [CrossRef]
  63. Singhal, S. Biochar as a cost-effective and eco-friendly substitute for binder in concrete: A review. Eur. J. Environ. Civ. Eng. 2022, 27, 984–1009. [Google Scholar] [CrossRef]
  64. Jiang, J. Application of environment protection materials in sports equipment design. Adhesion 2022, 49, 55–59. [Google Scholar]
  65. Zhao, J.; Li, S. Life cycle cost assessment and multi-criteria decision analysis of environment-friendly building insulation materials-A review. Energy Build. 2022, 254, 111582. [Google Scholar] [CrossRef]
  66. Kumar, M.; Kumar, R.; Kumar, R. Material extrusion-based additive manufacturing of sandwiched acrylonitrile butadiene styrene/glass fibers composites: Machine learning approach to model tensile stress. Polym. Compos. 2024, 45, 15100–15112. [Google Scholar] [CrossRef]
  67. Fang, G. Application of green materials in the construction of sports facilities. Mater. Prot. 2021, 54, 217. [Google Scholar]
  68. Rajeshkumar, G.; Seshadri, S.A.; Devnani, G.; Sanjay, M.; Siengchin, S.; Maran, J.P.; Al-Dhabi, N.A.; Karuppiah, P.; Mariadhas, V.A.; Sivarajasekar, N.; et al. Environment friendly, renewable and sustainable poly lactic acid (PLA) based natural fiber reinforced composites–A comprehensive review. J. Clean. Prod. 2021, 310, 127483. [Google Scholar] [CrossRef]
  69. Chawla, S.; Varghese, B.S.; Chithra, A.; Hussain, C.G.; Keçili, R.; Hussain, C.M. Environmental impacts of post-consumer plastic wastes: Treatment technologies towards eco-sustainability and circular economy. Chemosphere 2022, 308, 135867. [Google Scholar] [CrossRef] [PubMed]
  70. Bhuyan, S.; Gogoi, N. Natural fibers: Innovative sustainable and eco-friendly. Int. J. Curr. Microbiol. Appl. Sci. 2020, 9, 1004–1011. [Google Scholar] [CrossRef]
  71. Tzempelikos, A.; Lee, S. Cool Roofs in the US: The Impact of Roof Reflectivity, Insulation and Attachment Method on Annual Energy Cost. Energies 2021, 14, 7656. [Google Scholar] [CrossRef]
  72. Olaoye, T.S.; Dewsbury, M.; Künzel, H. Empirical investigation of the hygrothermal diffusion properties of permeable building membranes subjected to variable relative humidity condition. Energies 2021, 14, 4053. [Google Scholar] [CrossRef]
  73. Chen, Y.J. Comparison of Environmental Performance of a Five-Storey Building Built with Cross-Laminated Timber and Concrete; Department of Wood Science, University of British Columbia: Vancouver, BC, Canada, 2012; p. 31. [Google Scholar]
  74. Hafner, A.; Schäfer, S. Comparative LCA study of different timber and mineral buildings and calculation method for substitution factors on building level. J. Clean. Prod. 2017, 167, 630–642. [Google Scholar] [CrossRef]
  75. Tettey, U.Y.A.; Dodoo, A.; Gustavsson, L. Effect of different frame materials on the primary energy use of a multi storey residential building in a life cycle perspective. Energy Build. 2019, 185, 259–271. [Google Scholar] [CrossRef]
  76. Khavari, A.M.; Pei, S.; Tabares-Velasco, P.C. Energy Consumption Analysis of Multistory Cross-Laminated Timber Residential Buildings: A Comparative Study. J. Archit. Eng. 2016, 22, 04016002. [Google Scholar] [CrossRef]
  77. Chiniforush, A.A.; Akbarnezhad, A.; Valipour, H.; Xiao, J. Energy implications of using steel-timber composite(STC) elements in buildings. Energy Build. 2018, 176, 203–215. [Google Scholar] [CrossRef]
  78. Pierobon, F.; Huang, M.; Simonen, K.; Ganguly, I. Environmental benefits of using hybrid CLT structure in midrise non-residential construction: An LCA based comparative case study in the U.S. Pacific Northwest. J. Build. Eng. 2019, 26, 100862. [Google Scholar] [CrossRef]
  79. Pajchrowski, G.; Noskowiak, A.; Lewandowska, A.; Strykowski, W. Wood as a building material in the light of environmental assessment of full life cycle of four buildings. Constr. Build. Mater. 2014, 52, 428–436. [Google Scholar] [CrossRef]
  80. Dong, Y.; Cui, X.; Yin, X.; Chen, Y.; Guo, H. Assessment of Energy Saving Potential by Replacing Conventional Materials by Cross Laminated Timber (CLT)—A Case Study of Office Buildings in China. Appl. Sci. 2019, 9, 858. [Google Scholar] [CrossRef]
  81. Marsono, A.K.B.; Balasbaneh, A.T. Combinations of building construction material for residential building for the global warming mitigation for Malaysia. Constr. Build. Mater. 2015, 85, 100–108. [Google Scholar] [CrossRef]
  82. Samper Hernandez, D.; Blanchet, P.; Dadras Chomachayi, M.; Cogulet, A. Full-Scale Comparison of Two Envelope Systems for Lightweight Wooden Framing in Cold Climates. Buildings 2024, 14, 3020. [Google Scholar] [CrossRef]
  83. Rosso, F.; Pisello, A.L.; Jin, W.; Ghandehari, M.; Cotana, F.; Ferrero, M. Cool marble building envelopes: The effect of aging on energy performance and aesthetics. Sustainability 2016, 8, 753. [Google Scholar] [CrossRef]
  84. Ma, Y.; Saha, S.C.; Miller, W.; Guan, L. Comparison of different solar-assisted air conditioning systems for Australian office buildings. Energies 2017, 10, 1463. [Google Scholar] [CrossRef]
  85. Chidiac, S.E.; Marjaba, G.E. BECOP: A New Metric for Measuring the Energy Performance of the Building Envelope. Buildings 2022, 12, 553. [Google Scholar] [CrossRef]
  86. Lu, X.; Memari, A.M. Comparison of the experimental measurement methods for building envelope thermal transmittance. Buildings 2022, 12, 282. [Google Scholar] [CrossRef]
  87. Kang, D.H.; Mo, P.H.; Choi, D.H.; Song, S.Y.; Yeo, M.S.; Kim, K.W. Effect of mrt variation on the energy consumption in a pmv-controlled office. Build. Environ. 2010, 45, 1914–1922. [Google Scholar] [CrossRef]
  88. Lee, D.-S.; Kim, E.-J.; Cho, Y.-H.; Kang, J.-W.; Jo, J.-H. A field study on application of infrared thermography for estimating mean radiant temperatures in large stadiums. Energy Build. 2019, 202, 109360. [Google Scholar] [CrossRef]
  89. Enríquez, E.; Fuertes, V.; Cabrera, M.; Seores, J.; Muñoz, D.; More, W.; Fernández, J. Model to evaluate the thermal comfort factor: Dynamic measurement of heat flow in building materials. J. Build. Eng. 2018, 20, 344–352. [Google Scholar] [CrossRef]
  90. Bouyer, J.; Vinet, J.; Delpech, P.; Carre, S. Thermal comfort assessment in semioutdoor environments: Application to comfort study in stadia. J. Wind Eng. Ind. Aerod. 2007, 95, 963–976. [Google Scholar] [CrossRef]
  91. Szucs, A.; Moreau, S.; Allard, F. Aspects of stadium design for warm climates. Build. Environ. 2009, 44, 1206–1214. [Google Scholar] [CrossRef]
  92. Ghani, S.; Mahgoub, A.O.; Bakochristou, F.; ElBialy, E.A. Assessment of thermal comfort indices in an open air-conditioned stadium in hot and arid environment. J. Build. Eng. 2021, 40, 102378. [Google Scholar] [CrossRef]
  93. Van Hooff, T.; Blocken, B.; Van Harten, M. 3D CFD simulations of wind flow and wind-driven rain shelter in sports stadia: Influence of stadium geometry. Build. Environ. 2011, 46, 22–37. [Google Scholar] [CrossRef]
  94. Uchida, T.; Araya, R. Practical applications of the large-eddy simulation technique for wind environment assessment around new national stadium, Japan (Tokyo Olympic Stadium). Open J. Fluid Dynam. 2019, 9, 269–304. [Google Scholar]
  95. Stamou, I.A.; Katsiris, I.; Schaelin, A. Evaluation of thermal comfort in Galatsi arena of the Olympics “Athens 2004” using a CFD model. Appl. Therm. Eng. 2008, 10, 1206–1215. [Google Scholar] [CrossRef]
  96. Ghani, S.; ElBialy, E.A.; Bakochristou, F.; Gamaledin, S.M.A.; Rashwan, M.M.; Hughes, B. Thermal performance of stadium’s field of play in hot climates. Energy Build. 2017, 139, 702–718. [Google Scholar] [CrossRef]
  97. ASHRAE Standard 55-2020; Thermal Environmental Conditions for Human Occupancy. American Society of Heating, Refrigerating and Air-Conditioning Engineers, Inc.: Atlanta, GA, USA, 2020.
  98. ASHRAE. Chapter 9, Thermal Comfort, ASHRAE Handbook—Fundamentals; American Society of Heating, Refrigerating and Air Conditioning Engineers, Inc.: Atlanta, GA, USA, 2017. [Google Scholar]
  99. ISO 7730:2025; Ergonomics of the Thermal Environment—Analytical Determination and Interpretation of Thermal Comfort Using Calculation of the PMV and PPD Indices and Local Thermal Comfort Criteria. International Organization for Standardization: Geneva, Switzerland, 2005.
  100. Wei, Z. Research on the Construction of Green and Environmental Protection Modern Gymnasium. J. Physics Conf. Ser. 2021, 1802, 022050. [Google Scholar]
  101. Yang, L.; Fu, R.; He, W.; He, Q.; Liu, Y. Adaptive thermal comfort and climate responsive building design strategies in dry–hot and dry–cold areas: Case study in Turpan, China. Energy Build. 2020, 209, 1–16. [Google Scholar]
  102. Li, J. Effect of Form Asymmetry of Gymnasium on Natural Ventilation and Thermal Comfort of Exercise Site. J. South China Univ. Technol. 2013, 41, 83–89. [Google Scholar]
  103. Huang, X.; Ma, X.; Zhang, Q. Effect of building interface form on thermal comfort in gymnasiums in hot and humid climates. Front. Arch. Res. 2019, 8, 32–43. [Google Scholar] [CrossRef]
  104. Sayadi, S.; Hayati, A.; Salmanzadeh, M. Optimization of Window-to-Wall Ratio for Buildings Located in Different Climates: An IDA-Indoor Climate and Energy Simulation Study. Energies 2021, 14, 1974. [Google Scholar]
  105. Li, H.X.; Li, Y.; Jiang, B.; Zhang, L.; Wu, X.; Lin, J. Energy performance optimization of building envelope retrofit through integrated orthogonal arrays with data envelopment analysis. Renew. Energy 2020, 149, 1414–1423. [Google Scholar]
  106. Adamu, Z.A.; Price, A.D.F. Natural ventilation with heat recovery: A biomimetic concept. Buildings 2015, 5, 405–423. [Google Scholar] [CrossRef]
  107. Adriaenssens, S.; Rhode-Barbarigos, L.; Kilian, A.; Baverel, O.; Charpentier, V.; Horner, M.; Buzatu, D. Dialectic form finding of passive and adaptive shading enclosures. Energies 2014, 7, 5201–5220. [Google Scholar] [CrossRef]
  108. Ciancio, V.; Falasca, S.; Golasi, I.; de Wilde, P.; Coppi, M.; de Santoli, L.; Salata, F. Resilience of a building to future climate conditions in three European cities. Energies 2019, 12, 4506. [Google Scholar] [CrossRef]
Figure 1. Research Framework.
Figure 1. Research Framework.
Applsci 15 09912 g001
Figure 2. PRISMA flow diagram.
Figure 2. PRISMA flow diagram.
Applsci 15 09912 g002
Figure 3. Distribution of Publication Times of Studies.
Figure 3. Distribution of Publication Times of Studies.
Applsci 15 09912 g003
Figure 4. (a) Country-Level Scientific Production (b) Co-word Cluster Map of Keywords.
Figure 4. (a) Country-Level Scientific Production (b) Co-word Cluster Map of Keywords.
Applsci 15 09912 g004
Figure 5. (a) Most Frequent Keywords (b) Temporal Distribution and Burst Detection of Keywords.
Figure 5. (a) Most Frequent Keywords (b) Temporal Distribution and Burst Detection of Keywords.
Applsci 15 09912 g005
Figure 6. Time distribution of keyword clustering.
Figure 6. Time distribution of keyword clustering.
Applsci 15 09912 g006
Figure 7. Cumulative Occurrence of Core Keywords Over Time: (a) “Performance” and “Thermal Comfort” from 2000−2025; (b) “Design” and “Buildings” from 2000−2025; (c) “Simulation” and “Comfort” from 2000−2025; (d) “Wood” and “Energy” from 2000−2025; (e) “Impact” and “Mechanical-Properties” from 2000−2025; (f) Overall Core Keywords from 2000−2025.
Figure 7. Cumulative Occurrence of Core Keywords Over Time: (a) “Performance” and “Thermal Comfort” from 2000−2025; (b) “Design” and “Buildings” from 2000−2025; (c) “Simulation” and “Comfort” from 2000−2025; (d) “Wood” and “Energy” from 2000−2025; (e) “Impact” and “Mechanical-Properties” from 2000−2025; (f) Overall Core Keywords from 2000−2025.
Applsci 15 09912 g007
Figure 8. Thematic Map of Research Topics (a) 2000–2010 (b) 2011–2015 (c) 2016–2020 (d) 2021–2025.
Figure 8. Thematic Map of Research Topics (a) 2000–2010 (b) 2011–2015 (c) 2016–2020 (d) 2021–2025.
Applsci 15 09912 g008
Figure 9. Normalized Local Citation Score (NLCS) Comparison Between Clustered Topics and Overall Literature (a) Cluster 1 (b) Cluster 2 (c) Cluster 3 (d) Cluster 4 (e) Cluster 5 (f) Cluster 6 (g) Cluster 7 (h) Cluster 8 (i) Cluster 9 (j) Cluster 10 (k) Cluster 110 (l) Cluster 12.
Figure 9. Normalized Local Citation Score (NLCS) Comparison Between Clustered Topics and Overall Literature (a) Cluster 1 (b) Cluster 2 (c) Cluster 3 (d) Cluster 4 (e) Cluster 5 (f) Cluster 6 (g) Cluster 7 (h) Cluster 8 (i) Cluster 9 (j) Cluster 10 (k) Cluster 110 (l) Cluster 12.
Applsci 15 09912 g009
Figure 10. Koppen-Geiger climate classification map for Eastern Asia (1991–2020). Reprinted with permission from Ref. [40]. 2023, Beck et al.
Figure 10. Koppen-Geiger climate classification map for Eastern Asia (1991–2020). Reprinted with permission from Ref. [40]. 2023, Beck et al.
Applsci 15 09912 g010
Table 1. Summary of morphological influence on the thermal environment and energy performance in stadium and public building studies.
Table 1. Summary of morphological influence on the thermal environment and energy performance in stadium and public building studies.
Ref.Core Research ThemeYearComfort Standards/Energy EvaluationLocationClimatic ClassificationMethodological Approach
[21]Integrated smart city concepts for small/medium gym passive simulation2024Energy useChinaVariousNumerical simulation
[22]Life-cycle cost impact of early design decisions2000GeneralGeneralTheoretical model
[23]Solar irradiation optimization via building form2010Solar availabilityEuropeTemperateParametric simulation
[24]BIPV energy performance via optimized envelope2021Energy yieldN/ASimulation
[25]Geometry impact on solar potential in housing units2011Solar potentialCanadaColdParametric analysis
[26]Multi-climate comparison of BIPV gym building forms2024EUI, PV potential, CO2ChinaMultipleEnergyPlus, PVGIS
[27]Envelope type influences on ice rink heat transfer2022Radiation ratioChinaColdCFD + measurement
[28]Multi-objective optimization of comfort and energy2021PMV, EUIChinaTemperateMetamodel + simulation
[29]Shading optimization for energy and daylighting2022Energy load, daylight comfortChinaWarm summerOptimization algorithm
[30]CFD-EnergyPlus passive ventilation optimization2022Passive ventilationChinaSubtropicalCoupled simulation
[31]Gym roof geometry affects solar potential (up to 11%)2020Solar gainChinaHot summer, cold winterEnergy modeling
[32]BIPV vs. cool roof in CO2 compensation2020kgCO2-eq/m2ItalyMediterraneanCarbon offset modeling
[33]Prismatic vs. rectangular forms in Athens energy demand2012Annual energy useGreeceMediterraneanForm simulation
[34]Shape-energy trade-offs in high-rise buildings2020Energy performanceGreeceMediterraneanMulti-objective optimization
[35]Rotor-shaped high-rise performs best across 7 climates2021Energy useNorth America, EgyptMulti-zoneComparative study
[36]Low-energy spatial typologies for outpatient buildings2023Energy useChina5 climate zonesSimulation
[37]Optimal library forms by climate (dot, slab, comb)2020Energy demandChina4 climate zonesTypology analysis
Table 2. Key studies on envelope thermal performance and energy-saving strategies in stadium buildings.
Table 2. Key studies on envelope thermal performance and energy-saving strategies in stadium buildings.
Ref.AuthorsYearFocusMethodKey Findings
[16]Valencia-Solares et al.2023Phase change material & hybrid PV/T system integration in school sports center.Energy, economic & environmental assessmentPCMs and hybrid systems can significantly reduce operational energy in sports facilities.
[29]Fan et al.2022Multi-objective optimization of façade shading ratio.Parametric simulation + optimizationBalanced energy load and daylight comfort via optimized shading design.
[30]Guo et al.2022Passive ventilation mode prediction and optimization in subtropical gym.Coupled EnergyPlus + CFDCFD + EnergyPlus improves airflow design, reducing cooling demand.
[8]Dong et al.2020Life cycle energy and carbon comparison: RC vs. timber stadium.Life Cycle Assessment (LCA)Timber stadiums show lower total energy use and CO2 emissions.
[38]Xiang2020Thermal performance parameters of building envelope in sports buildings.Empirical analysisBetter envelope parameters (e.g., insulation) can reduce HVAC energy use significantly.
[41]Wang et al.2022COVID-19 risk mitigation through metabolism-based ventilation in gymnasiums.Ventilation modeling and real-time monitoringImproved airflow control reduces infection risk and enhances air quality.
[42]Liu & Ren2020Energy-efficient envelope design in Chinese university buildings.Green performance simulationOptimized envelopes enhance both energy savings and comfort metrics.
[43]Yang et al.2023Interactive design for public buildings balancing comfort and carbon reduction.Parametric modeling + simulationEarly-stage interaction improves overall envelope efficiency and carbon outcome.
[44]Xiong et al.2023Climate-adaptive envelope design in hot summer/cold winter zones (Nanjing case).Simulation-based case studyRegion-specific strategies improve comfort and reduce energy in dual-climate gyms.
[45]Qian et al.2025Envelope design and roof form optimization in Wuhu County gym.Field case + airflow analysisRoof shape significantly affects natural ventilation and passive cooling outcomes.
Table 3. Five key dimensions of green design in sports facilities and their corresponding strategies.
Table 3. Five key dimensions of green design in sports facilities and their corresponding strategies.
Design DimensionObjectiveTechnical StrategiesGreen Materials/Tools
Energy-saving designReduce building operational energy and emissions.Optimize building orientation and layout; enhance insulation; install smart HVAC/lighting control systems.High-performance insulation; automated control systems.
Water resource managementReduce freshwater dependency and promote reuse.Install low-flow fixtures; integrate rainwater harvesting systems for irrigation and cleaning.Water-saving devices; rainwater tanks; greywater systems.
Environmental landscape planningEnhance ecological value and reduce landscape maintenance load.Use native plants; integrate green space and biodiversity corridors.Low-maintenance vegetation; permeable surfaces.
Renewable energy utilizationProvide clean energy for facility operations.Install photovoltaic panels; apply small-scale wind turbines.PV modules; solar collectors; wind turbines.
Material circularityMinimize environmental impact of material lifecycle.Use recyclable/reusable EFM materials; focus on life cycle assessment and waste reuse.EFM materials: low-VOC coatings, recycled composites, biodegradable plastics.
Table 4. Key environmental protection strategies for athletic facility construction.
Table 4. Key environmental protection strategies for athletic facility construction.
Environmental FocusPractical StrategiesKey Materials/TechniquesEnvironmental Impact
1. Green material selectionUse certified low-impact materials to reduce source pollution.Low-VOC coatings, recycled steel & timber, PLA-based composites.Reduce chemical emissions and non-renewable resource use.
2. Construction waste minimizationPrecise material estimation; on-site sorting and recycling.Prefabricated components; BIM-based quantity control; on-site waste segregation.Lower construction landfill output; promote resource reuse.
3. Pollution control (dust, hazardous waste)Use low-emission machinery; apply anti-dust measures.Electric machinery, dust spray systems, sealed hazardous waste containers.Reduce air and soil pollution, control PM2.5 and toxic leakage.
4. Noise mitigationApply sound barriers; use low-noise equipment; control construction timing.Acoustic barriers, mufflers, scheduling tools.Minimize impact on surrounding residents and ecological areas.
Table 5. Overview of EFM in athletic facility construction.
Table 5. Overview of EFM in athletic facility construction.
Material CategoryRepresentative MaterialsKey PropertiesArchitectural Applications
Low-carbon materialsRecycled steel, bamboo, plant-fiber composites, biochar concreteLow embodied energy, carbon sequestration potentialStructural framing, insulation, flooring
Renewable materialsBamboo, engineered wood (CLT, GLT), corkFast regrowth, biodegradable, thermal insulationWall and roof panels, interior finishes
Biodegradable materialsPLA composites, bioplastics, chitosan-based boardsCompostable, non-toxic, rapidly degrading under natural conditionsTemporary structures, wallboard, acoustic panels
Recyclable materialsGlass, aluminum, paper, recycled concreteReusable, high circularity, energy-saving in remanufacturingFaçade systems, recycled aggregate, formwork
Table 7. Review of methodologies and findings on thermal comfort in open-air athletic environments.
Table 7. Review of methodologies and findings on thermal comfort in open-air athletic environments.
AuthorMethod/TechniqueResearch FocusKey Findings
Kang et al. [87]The regulation of HVAC systems based on parameters such as Mean Radiant Temperature (MRT) and Predicted Mean Vote (PMV) has been widely studied.Updating indoor temperature targets and simulating human adaptation to environmental conditions.Proposed a dynamic indoor temperature adjustment strategy, optimizing thermal comfort by integrating MRT and PMV.
Zampetti et al. [11]Divided the test room into subzones and applied PID logic for air-conditioning control.Adjusted HVAC settings based on PMV measurements in each subzone to optimize local comfort.Improved spatial thermal comfort uniformity through subzone division and PID control.
Lee et al. [88]Utilizing an infrared-based sampling method, MRT was assessed in various stadium zones using only one instrument.Solving the issue of crowd density hindering traditional thermal comfort measurement in large spaces.Proposed an efficient infrared sampling technique that makes thermal comfort assessment in large spaces more feasible.
Fuertes et al. [89]Combined experimental and numerical analysis to evaluate building materials’ thermal impact.Classified materials based on transient heat flux when in contact with human skin.Developed a classification system for thermal comfort parameters of building materials to inform material selection in architectural design.
Bouyer et al. [90]Global morphological classification of stadium architecture (ancient and modern) combined with wind tunnel analysis.This study examined how variations in architectural features—including façade permeability and roof aperture angle—affect stadium microclimates.Revealed the critical role of roof shape in thermal comfort; used PET mapping to quantify the impact of different designs on microclimate.
Szucs et al. [91]Parametric wind tunnel modeling to analyze the influence of construction site environment on thermal comfort.Explored how architectural geometry affects airflow and thus thermal comfort.Found that air movement within bowl-shaped structures (seating and roof enclosures) is key to thermal comfort, and airflow patterns can be optimized through parametric analysis.
Table 8. CFD Applications in Stadium Research.
Table 8. CFD Applications in Stadium Research.
AuthorResearch MethodResearch FocusKey FindingsLimitations
Van Hooff et al. [93]Lagrangian particle tracking.Evaluated the protective effect of different roof shapes against wind and rain.Quantified the influence of roof geometry on weather shielding for spectators.Did not specify thermal comfort parameters.
Uchida et al. [94]Customized CFD model.Assessed how wind loads affect Tokyo Olympic Stadium’s structural performance.Focused on aerodynamic forces acting on the structure.Did not assess human comfort or internal environment.
Anastasios et al. [95]CFD (ANSYS CFX software version 5.6).Mapped PMV/PPD comfort in a fully enclosed arena (Galatsi Arena).Provided data on airflow velocity and temperature distribution to support comfort index calculations.Limited to a fully enclosed venue in temperate climate.
Ghani et al. [96]Combined experimental and numerical simulation.Analyzed thermal behavior of Khalifa Stadium in Qatar.Focused on site thermal performance; lacked user comfort data.Did not directly relate to human thermal comfort indices (e.g., PMV–PPD).
Disclaimer/Publisher’s Note: The statements, opinions and data contained in all publications are solely those of the individual author(s) and contributor(s) and not of MDPI and/or the editor(s). MDPI and/or the editor(s) disclaim responsibility for any injury to people or property resulting from any ideas, methods, instructions or products referred to in the content.

Share and Cite

MDPI and ACS Style

Qian, F.; Shi, Z.; Yang, L. AI-Assisted Multidimensional Optimization of Thermal and Morphological Performance in Small-to-Medium Sports Buildings. Appl. Sci. 2025, 15, 9912. https://doi.org/10.3390/app15189912

AMA Style

Qian F, Shi Z, Yang L. AI-Assisted Multidimensional Optimization of Thermal and Morphological Performance in Small-to-Medium Sports Buildings. Applied Sciences. 2025; 15(18):9912. https://doi.org/10.3390/app15189912

Chicago/Turabian Style

Qian, Feng, Zedao Shi, and Li Yang. 2025. "AI-Assisted Multidimensional Optimization of Thermal and Morphological Performance in Small-to-Medium Sports Buildings" Applied Sciences 15, no. 18: 9912. https://doi.org/10.3390/app15189912

APA Style

Qian, F., Shi, Z., & Yang, L. (2025). AI-Assisted Multidimensional Optimization of Thermal and Morphological Performance in Small-to-Medium Sports Buildings. Applied Sciences, 15(18), 9912. https://doi.org/10.3390/app15189912

Note that from the first issue of 2016, this journal uses article numbers instead of page numbers. See further details here.

Article Metrics

Back to TopTop