Research on the Collaborative Design of Spiral Bevel Gear Transmission Considering Uncertain Misalignment Errors
Abstract
1. Introduction
2. Parametric Description of Contact Pattern
3. Misalignment Identification
3.1. Tooth Contact Analysis
3.2. Equivalent Misalignment Calculate
4. Flank Redesign Under Equivalent Misalignment
5. Dynamics Analysis
5.1. The Lumped Mass Method
5.2. Structural Dynamics Method
- (1)
- Establishment of meshing model for the spiral bevel gear
- (2)
- Establishment of structural dynamic model
- (3)
- Establishment of structural dynamic model for spiral bevel gears
6. Numerical Example
7. Conclusions
- (1)
- With the digital feature extraction of the contact pattern of the SBG in real-world scenarios, the equivalent misalignment can be identified using the optimal model aimed at reducing the deviation in reference point and direction angle of the CP. The reference point coordinate and the direction angle of the CP named ld are very similar to those of the CP named la. For the CP of the SBG under any groups of misalignments, when their reference point and direction angle are the same, the meshing points on gear surface are exactly the same. The relative curvature relationship between the gear and pinion surfaces is also consistent, which will result in the other numerical characteristics of the contact pattern being the same, and indicating that the equivalent misalignment has achieved a high level of solving accuracy.
- (2)
- According to ease-off, the pinion working surfaces with good performances are redesigned with different groups of equivalent misalignments. And the maximum deviation of the redesigned pinion surfaces with different groups of equivalent misalignments is only 1 µm. For different equivalent misalignments, the absolute positions of the gear pair in the meshing coordinate system are different, which results in different machining parameters for the redesigned pinion. But the relative position of the gear pair is basically the same, which determines that the redesigned pinion surface is also basically the same.
- (3)
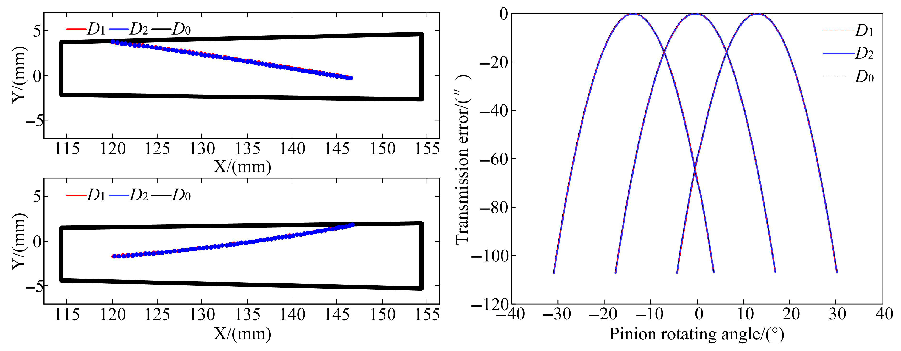
- Using the TCA and LTCA, the meshing performances of the redesigned SBG under equivalent misalignment are compared with the original SBG in real-world scenarios. The TCA results showed that the CP and TE of the redesigned SBG under equivalent misalignment are consistent with the original SBG in real-world scenarios. LTCA results showed that the percentage deviation in the maximum contact stress between the redesigned SBG and original SBG is less than 0.2%, the percentage deviation of the maximum tensile stresses on gear between the redesigned SBG and original SBG is less than 0.4%, and the percentage deviation in the maximum tensile stress on the pinion between the redesigned and original SBG is less than 0.7%. In other words, the maximum contact stresses and maximum tensile stresses of the redesigned SBG under equivalent misalignment are consistent with the original SBG in real-world scenarios, and the tooth stress curves throughout the entire meshing process also basically match, indicating that the loaded deformation and tooth force of the SBG are basically the same. This indicates that the redesigned gear has a good meshing performance, and the equivalence of equivalent misalignment is also verified.
- (4)
- Based on the lumped mass method and structural dynamics theory, the dynamic performances of the redesigned SBG under the different groups of equivalent misalignments are analyzed and compared with the original SBG in real-world scenarios. The dynamic analysis results showed that the percentage deviation in the RMA with the lumped mass method between the redesigned and original SBG is less than 1%, and the percentage deviation in the RMA with the structural dynamics method between the redesigned SBG and original SBG is less than 0.5%. That is to say, the RMA of the original SBG in real-world scenarios and the redesigned SBG under the equivalent misalignment are basically consistent. Although there is a slight deviation between the structural dynamics results and the lumped mass method results, the fluctuation rules of the vibration acceleration curves obtained by the two methods also basically match, indicating that the dynamic performance of the SBG is basically the same. This indicates that the redesigned gear has a good meshing performance, and the equivalence of equivalent misalignment is also verified.
Author Contributions
Funding
Institutional Review Board Statement
Informed Consent Statement
Data Availability Statement
Acknowledgments
Conflicts of Interest
References
- Simon, V. Optimal machine tool setting for hypoid gears improving load distribution. ASME J. Mech. Des. 2001, 123, 577–582. [Google Scholar] [CrossRef]
- Simon, V. Computer simulation of tooth contact analysis of mismatched spiral bevel gears. Mech. Mach. Theory 2007, 42, 365–381. [Google Scholar] [CrossRef]
- He, D.; Ding, H. A new analytical identification approach to the tooth contact points considering misalignments for spiral bevel or hypoid gears. Mech. Mach. Theory 2018, 121, 785–803. [Google Scholar] [CrossRef]
- Tang, J.Y. Error tooth contact analysis of spiral bevel gears transmission. Chin. J. Mech. Eng. 2008, 44, 1138–1139. [Google Scholar] [CrossRef]
- Tang, J.Y.; Du, J. Active design method of spiral bevel gears considering mounting error sensitivity. China Mech. Eng. 2009, 20, 1197–1202. [Google Scholar]
- Hu, Z.H.; Ding, H. Numerical determination to loaded tooth contact performances in consideration of misalignment for the spiral bevel gears. Int. J. Mech. Sci. 2018, 151, 110261. [Google Scholar] [CrossRef]
- Guan, Y.B.; Fang, Z.D. Tooth contact analysis of crown gear coupling with misalignment. Mech. Mach. Theory 2019, 126, 295–311. [Google Scholar] [CrossRef]
- Litvin, F.L.; Chen, J.S.; Sep, T.M.; Wang, J.C. Computerized simulation of transmission errors and shift of bearing contact for face-milled hypoid gear drive. ASME J. Mech. Des. 1995, 117, 262–268. [Google Scholar] [CrossRef]
- Simon, V. Influence of tooth errors and misalignments on tooth contact in spiral bevel gears. Mech. Mach. Theory 2007, 43, 1253–1267. [Google Scholar] [CrossRef]
- Liu, G.L.; Zhang, R.T.; Zhao, N. Quantitative analysis of the influence of installation errors on the contact pattern of spiral bevel gears. Appl. Mech. Mater. 2011, 86, 278–282. [Google Scholar] [CrossRef]
- Vivet, M.; Tamarozzi, T.; Desmet, W.; Mundo, D. On the modelling of gear alignment errors in the tooth contact analysis of spiral bevel gears. Mech. Mach. Theory 2021, 155, 104065. [Google Scholar] [CrossRef]
- Su, Y.L.; Xu, M. Tooth contact analysis of spiral bevel gear based on assembly misalignment. J. Xi’an Univ. Technol. 2017, 33, 107–112. (In Chinese) [Google Scholar] [CrossRef]
- Wang, Z.; Jian, Y. Analysis and study on the influence of installation error on spiral bevel gear tooth surface contact trajectory. J. Mech. Transm. 2014, 38, 21–24. (In Chinese) [Google Scholar]
- Fang, Z.D.; Cao, X.M. Inverse evaluation of equivalent misalignment under real operating mode and redesign of aviation spiral bevel gears. China Mech. Eng. 2007, 18, 3001–3005. (In Chinese) [Google Scholar]
- Ni, G.X.; Song, C.S.; Fang, Z.; Zhang, Z. Effects of geometric design parameters and misalignments on contact ellipse of crossed beveloid gears. Mech. Mach. Theory 2021, 165, 104441. [Google Scholar] [CrossRef]
- Kumar, P.; Hirani, H.; Agrawal, A.K. Effect of gear misalignment on contact area: Theoretical and experimental studies. Measurement 2019, 132, 359–368. [Google Scholar] [CrossRef]
- Yang, X.; Song, C.; Zhu, C.; Liang, C.; Sun, R. Impacts of misalignments on mesh behaviors of face-hobbed hypoid gear considering system deformation. IEEE Access 2019, 7, 79244–79253. [Google Scholar] [CrossRef]
- Guan, Y.; Fang, Z.; Yang, X.; Chen, G. Effects of misalignment and crowning on contact characteristics of crown gear coupling. Proc. Inst. Mech. Eng. Part C J. Mech. Eng. Sci. 2019, 233, 4397–4417. [Google Scholar] [CrossRef]
- Song, B.; Chen, J.; Zhou, Z.; Rong, K.; Zhao, J.; Ding, H. Sensitive misalignment oriented loaded contact pressure regulation model for spiral bevel gears. Mech. Mach. Theory 2023, 188, 105410. [Google Scholar] [CrossRef]
- Yang, L.; Zeng, Q.; Yang, H.; Wang, L.; Long, G.; Ding, X.; Shao, Y. Dynamic characteristic analysis of spur gear system considering tooth contact state caused by shaft misalignment. Nonlinear Dyn. 2022, 109, 1591–1615. [Google Scholar] [CrossRef]
- Lu, X.; Zhang, J.; Ma, L.; Lin, J.; Wang, J.; Wang, J.; Dai, H. Effects of misalignment on the nonlinear dynamics of a two-shaft rotor-bearing-gear coupling system with rub-impact fault. J. Vibroeng. 2017, 19, 5960–5977. [Google Scholar] [CrossRef]
- Wang, P.; Xu, H.; Ma, H.; Han, H.; Yang, Y. Effects of three types of bearing misalignments on dynamic characteristics of planetary gear set-rotor system. Mech. Syst. Signal Process. 2022, 169, 108736. [Google Scholar] [CrossRef]
- Hu, Y.H.; Du, Q.G.; Xie, S.H. Nonlinear dynamic modeling and analysis of spur gears considering uncertain interval shaft misalignment with multiple degrees of freedom. Mech. Syst. Signal Process. 2023, 193, 110261. [Google Scholar] [CrossRef]
- Zhao, G.; Guo, J.N.; Wang, X.F.; Liu, Z.S. Dynamics of rotor-gear coupling-bearing system with misalignment. J. Dalian Univ. Technol. 2011, 132, 359–368. [Google Scholar]
- Xie, S.; Du, Q.; Hu, Y. Nonlinear dynamic modeling and analysis of spur gears considering dynamic contact state under misalignment errors. Int. J. Non-Linear Mech. 2023, 152, 104401. [Google Scholar] [CrossRef]
- Simon, V. Machine-tool settings to reduce the sensitivity of spiral bevel gears to tooth errors and misalignments. ASME J. Mech. Des. 2008, 130, 082603. [Google Scholar] [CrossRef]
- Simon, V. Optimal tooth modifications in face-hobbed spiral bevel gears to reduce the influence of misalignments on elastohydrodynamic lubrication. ASME J. Mech. Des. 2014, 136, 071007. [Google Scholar] [CrossRef]
- Bai, B.; Kuang, Y.; Guo, W.; Mao, S.; Mucchi, E. Influence of misalignment on beveloid gear tooth contact and dynamic characteristics in transfer case transmission of AWD Vehicle. Shock Vib. 2021, 2022, 7565845. [Google Scholar] [CrossRef]
- Cai, X.W.; Fang, Z.D. Redesign of pinion surface for spiral bevel gears with misalignment. J. Harbin Inst. Technol. 2015, 47, 57–62. (In Chinese) [Google Scholar]
- Mu, Y.; Xie, F.; He, X. An ease-off tooth surface redesign for spiral bevel gears considering misalignment under actual working conditions. Trans. Can. Soc. Mech. Eng. 2023, 47, 618–625. [Google Scholar] [CrossRef]
- Chen, P.; Wang, S.; Li, F.; Zou, H. A direct preset method for solving ease-off tooth surface of spiral bevel gear. Mech. Mach. Theory 2023, 179, 105123. [Google Scholar] [CrossRef]
- Wang, Q.; Jiang, J.; Chen, H.; Tian, J.; Su, Y.; Guo, J. Design and analysis for hypoid gears with ease-off flank modification. Appl. Sci. 2022, 12, 822. [Google Scholar] [CrossRef]
- Wang, Q.; Zhou, C.; Gui, L.; Fan, Z. An ease-off based approach to designing a high-order transmission motion for face-milled spiral bevel gears. Int. J. Veh. Des. 2019, 81, 241–264. [Google Scholar] [CrossRef]
- Mu, Y.M.; He, X.M.; Fang, Z.D. Design and dynamic performance analysis of high-contact-ratio spiral bevel gear based on ease-off technology. Int. J. Precis. Eng. Manuf. 2021, 22, 1963–1973. [Google Scholar] [CrossRef]
- Mu, Y.M.; He, X.M.; Fang, Z. An innovative ease-off flank modification method based on the dynamic performance for high-speed spiral bevel gear with high-contact-ratio. Mech. Mach. Theory 2021, 162, 104345. [Google Scholar] [CrossRef]
- Mu, Y.M.; He, X.M. Design and dynamic performance analysis of high-contact-ratio spiral bevel gear based on the higher-order tooth surface modification. Mech. Mach. Theory 2021, 161, 104312. [Google Scholar] [CrossRef]
- Li, G.; Zhu, W.D. An active ease-off topography modification approach for hypoid pinions based on a modified error sensitivity analysis method. ASME J. Mech. Des. 2019, 141, 093302. [Google Scholar] [CrossRef]
- Su, J.Z.; Fang, Z.D.; Cai, X.W. Design and analysis of spiral bevel gears with seventh-order function of transmission error. Chin. J. Aeronaut. 2013, 26, 1310–1316. [Google Scholar] [CrossRef]
- Mu, Y.M.; Hou, X.Y.; He, X.M. Research on active precontrol strategy for shape and performance of helicopter spiral bevel gears. Appl. Sci. 2023, 13, 8527. [Google Scholar] [CrossRef]
- Mu, Y.M.; Fang, Z.D.; Zhang, X.J. Theoretical analysis on meshing impact of spiral bevel gears. J. Huazhong Univ. Sci. Technol. (Nat. Sci. Ed.) 2018, 8, 7–11. [Google Scholar] [CrossRef]
- Mu, Y.M.; Fang, Z.D.; Li, W.L. Impact analysis and vibration reduction design of spiral bevel gears. Proc. Inst. Mech. Eng. Part K J. Multi-Body Dyn. 2019, 233, 668–676. [Google Scholar] [CrossRef]













| Parameter | Pinion | Gear |
|---|---|---|
| Tooth number | 27 | 74 |
| Gear ratio | 2.74 | |
| Module (mm) | 3.85 | |
| Face width (mm) | 40 | |
| Shaft angle (°) | 87 | |
| Pressure angle (°) | 20 | |
| Machining method | Gear grinding | |
| Hand of spiral | LH | RH |
| Mean cone distance(mm) | 134.3815 | 134.3815 |
| Working depth(mm) | 6.5450 | 6.5450 |
| Mean spiral angle (°) | 30 | 30 |
| Pitch angle (°) | 19.6739 | 67.3261 |
| Root angle (°) | 18.8971 | 66.0053 |
| Face angle (°) | 20.9947 | 68.1029 |
| Parameter | Original | Redesign | ||
|---|---|---|---|---|
| Gear | Pinion | Pinion_D1 | Pinion_D2 | |
| Roll ratio | 1.0834 | 2.8523 | 2.9429 | 2.9351 |
| Initial cradle angle setting | −43.5898 | −43.3032 | −43.5669 | −43.5210 |
| Sliding base feed setting (mm) | −1.7409 | 0.3103 | −0.7812 | −0.7145 |
| Increment of machine center to back (mm) | / | −2.8061 | 0.5638 | 0.3581 |
| Vertical offset (mm) | / | −4.8480 | −2.8485 | −3.1281 |
| Third-order coefficients | / | 0.0135 | −0.0064 | −0.0044 |
| Second-order coefficients | / | 0.0438 | 0.0572 | 0.0566 |
| Machine root angle | 66.0382 | 18.9057 | 18.9057 | 18.9057 |
| Parameter | Da | D1 | D2 | |||
|---|---|---|---|---|---|---|
| Gear | Pinion | Gear | Pinion | Gear | Pinion | |
| The direction angle (°) | 23.0272 | 153.0194 | 22.9722 | 153.0079 | 22.9903 | 153.0014 |
| The horizontal coordinate of reference point (mm) | 134.3815 | 134.1618 | 134.3815 | 134.1502 | 134.3815 | 134.1625 |
| The vertical coordinate of reference point (mm) | 0.8514 | 0.6049 | 0.8627 | 0.6061 | 0.8471 | 0.5909 |
| Parameter | D0 | D1 | D2 |
|---|---|---|---|
| The pinion axial error ΔP (mm) | 0 | 0.2351 | 0.2941 |
| The gear axial error ΔG (mm) | 0 | 0.0382 | 0.1390 |
| The center distance error ΔE (mm) | 0 | −0.5511 | −0.5062 |
| The shaft angle error ΔΣ (°) | 0 | 0.5707 | 0.5017 |
| D0 | D1 | D2 | |
|---|---|---|---|
| Maximum contact stress/(MPa) | 1001.5444 | 1000.3946 | 1002.2740 |
| Maximum tensile stress on gear/(MPa) | 309.7505 | 310.9788 | 309.9731 |
| Maximum tensile stress on pinion/(MPa) | 202.5837 | 202.2701 | 201.2235 |
| Equivalent Misalignment | the RMA/(m/s2) | |
|---|---|---|
| Lumped mass method | D0 | 260.6903 |
| D1 | 262.5036 | |
| D2 | 259.8249 | |
| Structural dynamics theory | D0 | 250.3621 |
| D1 | 251.1382 | |
| D2 | 249.8363 |
Disclaimer/Publisher’s Note: The statements, opinions and data contained in all publications are solely those of the individual author(s) and contributor(s) and not of MDPI and/or the editor(s). MDPI and/or the editor(s) disclaim responsibility for any injury to people or property resulting from any ideas, methods, instructions or products referred to in the content. |
© 2025 by the authors. Licensee MDPI, Basel, Switzerland. This article is an open access article distributed under the terms and conditions of the Creative Commons Attribution (CC BY) license (https://creativecommons.org/licenses/by/4.0/).
Share and Cite
Mu, Y.; Xie, F.; He, X.; Hou, X. Research on the Collaborative Design of Spiral Bevel Gear Transmission Considering Uncertain Misalignment Errors. Appl. Sci. 2025, 15, 10239. https://doi.org/10.3390/app151810239
Mu Y, Xie F, He X, Hou X. Research on the Collaborative Design of Spiral Bevel Gear Transmission Considering Uncertain Misalignment Errors. Applied Sciences. 2025; 15(18):10239. https://doi.org/10.3390/app151810239
Chicago/Turabian StyleMu, Yanming, Fangxia Xie, Xueming He, and Xiangying Hou. 2025. "Research on the Collaborative Design of Spiral Bevel Gear Transmission Considering Uncertain Misalignment Errors" Applied Sciences 15, no. 18: 10239. https://doi.org/10.3390/app151810239
APA StyleMu, Y., Xie, F., He, X., & Hou, X. (2025). Research on the Collaborative Design of Spiral Bevel Gear Transmission Considering Uncertain Misalignment Errors. Applied Sciences, 15(18), 10239. https://doi.org/10.3390/app151810239
