Two-Stage Online Task Assignment in Mobile Crowdsensing
Abstract
1. Introduction
- We study an online task assignment scenario where workers and tasks both arrive at random time slots. Under the constraint of the sensing cost budget, we propose a real-time task assignment model with the goal of maximizing task sensing quality. Based on this, we design a two-stage task assignment scheme.
- We introduce a proactive task pre-assignment mechanism that, for the first time, equips the MCS platform with the ability to decide whether to accept an incoming task based on a prediction of future worker supply. To achieve this, we devise a novel subarea task load indicator, which dynamically quantifies the balance between task demand and the predicted availability of workers in a subarea. This prevents the platform from accepting tasks that are unlikely to be completed, directly addressing the low completion rate problem in uncertain online environments.
- We design a dynamic worker recruitment algorithm whose novelty lies in its adaptive selection quantity. Unlike conventional algorithms that select a fixed number of candidates or use a static threshold, our method dynamically adjusts the number of workers to recruit based on the real-time subarea task load, which enables the platform to adjust its selection strategy according to task demand.
- Finally, we test the proposed method using real-world datasets. Experimental results demonstrate that the proposed method effectively addresses the real-time assignment challenges in MCS.
2. Related Work
2.1. Offline Task Assignment
2.2. Online Task Assignment
3. Preliminary
3.1. System Model
3.2. Sensing Quality
3.3. Problem Formulation
4. Two-Stage Real-Time Task Assignment
4.1. Task Pre-Assignment Strategy Based on Worker Quantity Prediction
| Algorithm 1 Adaptive task pre-assignment strategy. |
|
4.2. Real-Time Worker Recruitment
| Algorithm 2 Dynamic worker selection algorithm. |
|
5. Performance Evaluation
5.1. Evaluation of Worker Quantity Prediction
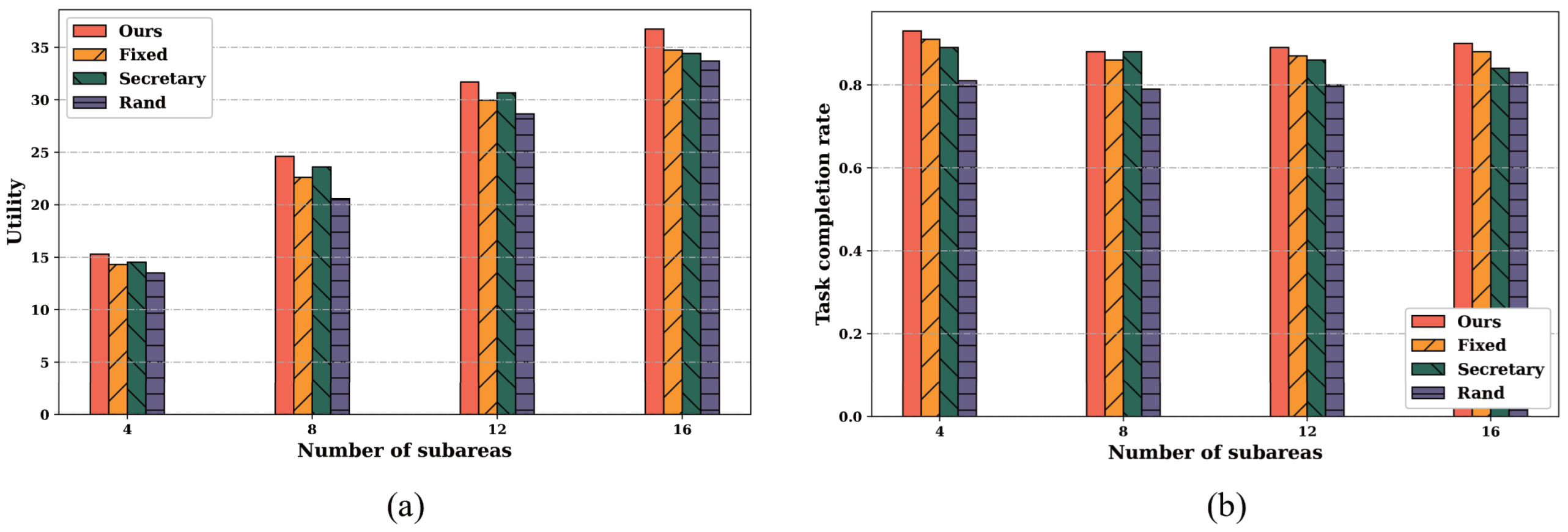
5.2. Comparative Analysis of Task Assignment Strategies
6. Conclusions and Future Work
Author Contributions
Funding
Institutional Review Board Statement
Informed Consent Statement
Data Availability Statement
Conflicts of Interest
References
- Marchang, N.; Tripathi, R. KNN-ST: Exploiting spatio-temporal correlation for missing data inference in environmental crowd sensing. IEEE Sens. J. 2020, 21, 3429–3436. [Google Scholar] [CrossRef]
- Liu, T.; Zhu, Y.; Yang, Y.; Ye, F. ALC2: When active learning meets compressive crowdsensing for urban air pollution monitoring. IEEE Internet Things J. 2019, 6, 9427–9438. [Google Scholar] [CrossRef]
- Lashkari, B.; Rezazadeh, J.; Farahbakhsh, R.; Sandrasegaran, K. Crowdsourcing and sensing for indoor localization in IoT: A review. IEEE Sens. J. 2019, 19, 2408–2434. [Google Scholar] [CrossRef]
- Mathew, S.S.; El Barachi, M.; Kuhail, M.A. CrowdPower: A novel crowdsensing-as-a-service platform for real-time incident reporting. Appl. Sci. 2022, 12, 11156. [Google Scholar] [CrossRef]
- Zhu, H.; Shou, T.; Guo, R.; Jiang, Z.; Wang, Z.; Wang, Z.; Yu, Z.; Zhang, W.; Wang, C.; Chen, L. RedPacketBike: A graph-based demand modeling and crowd-driven station rebalancing framework for bike sharing systems. IEEE Trans. Mob. Comput. 2022, 22, 4236–4252. [Google Scholar] [CrossRef]
- Hettiachchi, D.; Kostakos, V.; Goncalves, J. A survey on task assignment in crowdsourcing. ACM Comput. Surv. (CSUR) 2022, 55, 1–35. [Google Scholar] [CrossRef]
- Yang, G.; Guo, D.; Wang, B.; He, X.; Wang, J.; Wang, G. Participant-Quantity-Aware Online Task Allocation in Mobile Crowd Sensing. IEEE Internet Things J. 2023, 10, 22650–22663. [Google Scholar] [CrossRef]
- Liu, W.; Wang, E.; Yang, Y.; Wu, J. Worker selection towards data completion for online sparse crowdsensing. In Proceedings of the IEEE INFOCOM 2022-IEEE Conference on Computer Communications, London, UK, 2–5 May 2022; IEEE: New York, NY, USA, 2022; pp. 1509–1518. [Google Scholar]
- Guo, X.; Tu, C.; Hao, Y.; Yu, Z.; Huang, F.; Wang, L. Online User Recruitment with Adaptive Budget Segmentation in Sparse Mobile Crowdsensing. IEEE Internet Things J. 2023, 11, 8526–8538. [Google Scholar] [CrossRef]
- Liu, W.; Yang, Y.; Wang, E.; Wu, J. User recruitment for enhancing data inference accuracy in sparse mobile crowdsensing. IEEE Internet Things J. 2019, 7, 1802–1814. [Google Scholar] [CrossRef]
- Ji, J.J.; Guo, Y.N.; Gao, X.Z.; Gong, D.W.; Wang, Y.P. Q-learning-based hyperheuristic evolutionary algorithm for dynamic task allocation of crowdsensing. IEEE Trans. Cybern. 2021, 53, 2211–2224. [Google Scholar] [CrossRef]
- Wu, L.; Xiong, Y.; Wu, M.; He, Y.; She, J. A task assignment method for sweep coverage optimization based on crowdsensing. IEEE Internet Things J. 2019, 6, 10686–10699. [Google Scholar] [CrossRef]
- Wang, L.; Yu, Z.; Wu, K.; Yang, D.; Wang, E.; Wang, T.; Mei, Y.; Guo, B. Towards robust task assignment in mobile crowdsensing systems. IEEE Trans. Mob. Comput. 2022, 22, 4297–4313. [Google Scholar] [CrossRef]
- Yang, Y.; Liu, W.; Wang, E.; Wu, J. A prediction-based user selection framework for heterogeneous mobile crowdsensing. IEEE Trans. Mob. Comput. 2018, 18, 2460–2473. [Google Scholar] [CrossRef]
- Zeng, H.; Xiong, Y.; She, J.; Yu, A. A Task Assignment Scheme Designed for Online Urban Sensing Based on Sparse Mobile Crowdsensing. IEEE Internet Things J. 2025, 12, 17791–17806. [Google Scholar] [CrossRef]
- Liu, W.; Yang, Y.; Wang, E.; Wang, H.; Wang, Z.; Wu, J. Dynamic online user recruitment with (non-) submodular utility in mobile crowdsensing. IEEE/ACM Trans. Netw. 2021, 29, 2156–2169. [Google Scholar] [CrossRef]
- Yucel, F.; Bulut, E. Online stable task assignment in opportunistic mobile crowdsensing with uncertain trajectories. IEEE Internet Things J. 2021, 9, 9086–9101. [Google Scholar] [CrossRef]
- Peng, S.; Liu, K.; Wang, S.; Xiang, Y.; Zhang, B.; Li, C. Time window-based online task assignment in mobile crowdsensing: Problems and algorithms. Peer-to-Peer Netw. Appl. 2023, 16, 1069–1087. [Google Scholar] [CrossRef]
- Duque, R.; Arbelaez, A.; Díaz, J.F. Online over time processing of combinatorial problems. Constraints 2018, 23, 310–334. [Google Scholar] [CrossRef]
- Gao, H.; Liu, C.H.; Tang, J.; Yang, D.; Hui, P.; Wang, W. Online quality-aware incentive mechanism for mobile crowd sensing with extra bonus. IEEE Trans. Mob. Comput. 2018, 18, 2589–2603. [Google Scholar] [CrossRef]
- Singh, U.; Determe, J.F.; Horlin, F.; De Doncker, P. Crowd forecasting based on wifi sensors and lstm neural networks. IEEE Trans. Instrum. Meas. 2020, 69, 6121–6131. [Google Scholar] [CrossRef]
- Cho, E.; Myers, S.A.; Leskovec, J. Friendship and mobility: User movement in location-based social networks. In Proceedings of the 17th ACM SIGKDD International Conference on Knowledge Discovery and Data Mining, San Diego, CA, USA, 21–24 August 2011; pp. 1082–1090. [Google Scholar]
- Yang, D.; Zhang, D.; Zheng, V.W.; Yu, Z. Modeling user activity preference by leveraging user spatial temporal characteristics in LBSNs. IEEE Trans. Syst. Man, Cybern. Syst. 2014, 45, 129–142. [Google Scholar] [CrossRef]













| Method | Avg. | ||||||||
|---|---|---|---|---|---|---|---|---|---|
| LSTM | 8.39 | 6.58 | 7.26 | 10.11 | 6.33 | 9.92 | 17.36 | 8.06 | 9.25 |
| SMA | 8.42 | 12.96 | 14.11 | 69.07 | 22.55 | 52.36 | 51.28 | 40.82 | 33.95 |
| ARIMA | 4.56 | 11.70 | 11.68 | 28.88 | 15.59 | 28.45 | 44.93 | 19.61 | 20.68 |
| Method | Avg. | ||||||||
|---|---|---|---|---|---|---|---|---|---|
| LSTM | 4.01 | 3.96 | 4.72 | 4.58 | 2.37 | 1.71 | 1.67 | 1.70 | 3.09 |
| SMA | 3.57 | 4.33 | 6.40 | 6.68 | 4.69 | 4.47 | 4.45 | 4.07 | 4.83 |
| ARIMA | 2.22 | 4.20 | 7.35 | 7.37 | 4.18 | 3.36 | 2.99 | 2.04 | 4.21 |
Disclaimer/Publisher’s Note: The statements, opinions and data contained in all publications are solely those of the individual author(s) and contributor(s) and not of MDPI and/or the editor(s). MDPI and/or the editor(s) disclaim responsibility for any injury to people or property resulting from any ideas, methods, instructions or products referred to in the content. |
© 2025 by the authors. Licensee MDPI, Basel, Switzerland. This article is an open access article distributed under the terms and conditions of the Creative Commons Attribution (CC BY) license (https://creativecommons.org/licenses/by/4.0/).
Share and Cite
Zeng, H.; Xiong, Y.; She, J. Two-Stage Online Task Assignment in Mobile Crowdsensing. Appl. Sci. 2025, 15, 9094. https://doi.org/10.3390/app15169094
Zeng H, Xiong Y, She J. Two-Stage Online Task Assignment in Mobile Crowdsensing. Applied Sciences. 2025; 15(16):9094. https://doi.org/10.3390/app15169094
Chicago/Turabian StyleZeng, Hongjian, Yonghua Xiong, and Jinhua She. 2025. "Two-Stage Online Task Assignment in Mobile Crowdsensing" Applied Sciences 15, no. 16: 9094. https://doi.org/10.3390/app15169094
APA StyleZeng, H., Xiong, Y., & She, J. (2025). Two-Stage Online Task Assignment in Mobile Crowdsensing. Applied Sciences, 15(16), 9094. https://doi.org/10.3390/app15169094

