Yield, Polyphenol and Carotenoid Content, and Mycotoxin Occurrence in Grains of Four Winter Barley Varieties Grown in Different Nitrogen Fertilization Conditions in Poland
Abstract
Featured Application
Abstract
1. Introduction
2. Materials and Methods
2.1. Field Experiment
2.2. Chemicals
2.3. Dry Matter Content
2.4. HPLC Analysis of Phenolic Acids and Flavonoids
2.5. HPLC Analysis of Carotenoids
2.6. LC-MS/MS Analysis of Mycotoxins
2.7. Statistical Analyses
3. Results and Discussion
3.1. Grain Yield
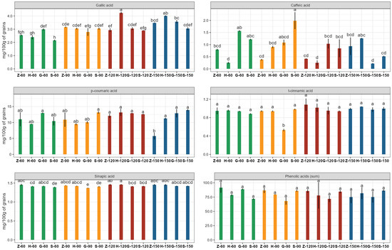
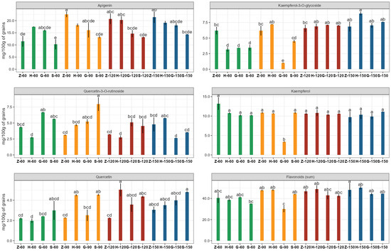
3.2. Polyphenols and Carotenoids Content
3.3. Mycotoxins Occurrence
3.4. Relations Between Experimental Factors and Parameters Tested
4. Conclusions
Supplementary Materials
Author Contributions
Funding
Data Availability Statement
Acknowledgments
Conflicts of Interest
Abbreviations
| 13C17-AB1 | 13C17–aflatoxin B1 |
| 15Ac-DON | 15-acetyldeoxynivalenol |
| 3-AcDON | 3-acetyldeoxynivalenol |
| AFLB1 | Aflatoxin B1 |
| AFLB2 | Aflatoxin B2 |
| AFLG1 | Aflatoxin G1 |
| AFLG2 | Aflatoxin G2 |
| ANOVA | Analysis of variance |
| CSS | Check sample survey |
| CUR | Curtain gas |
| DON | Deoxynivalenol |
| FB1 | Fumonisin B1 |
| FB2 | Fumonisin B2 |
| GAE | Gallic acid equivalent |
| HPLC | High-performance liquid chromatography |
| HT-2 | HT-2 toxin |
| ILS | Internal standard |
| IRMM | Institute for Reference Materials and Measurements |
| LCL | Lowest calibration level |
| LC-MS/MS | Liquid chromatography tandem mass spectrometry |
| LDL | Low-density lipoprotein |
| LOD | Limit of detection |
| LOQ | Limit of quantification |
| MRM | Multiple reaction monitoring |
| N | Nitrogen |
| NIV | Nivalenol |
| OTA | Ochratoxin A |
| PCA | Principal component analysis |
| RT | Retention time |
| T-2 | T-2 toxin |
| ZEN | Zearalenone |
References
- Rodríguez, A.; van Grinsven, H.J.M.; van Loon, M.P.; Doelman, J.C.; Beusen, A.H.W.; Lassaletta, L. Costs and Benefits of Synthetic Nitrogen for Global Cereal Production in 2015 and in 2050 under Contrasting Scenarios. Sci. Total Environ. 2024, 912, 169357. [Google Scholar] [CrossRef] [PubMed]
- Soare, E.; Bold, N.; Stoicea, P.; David, L.; Dobre, C.A.; Firățoiu, A.R. Survey on the Worldwide Barley Production and Trade. Bulg. J. Agric. Sci. 2023, 29, 119–124. [Google Scholar]
- Meints, B.; Vallejos, C.; Hayes, P. Multi-Use Naked Barley: A New Frontier. J. Cereal Sci. 2021, 102, 103370. [Google Scholar] [CrossRef]
- Yuan, C.; Hu, R.; He, L.; Hu, J.; Liu, H. Extraction and Prebiotic Potential of β-Glucan from Highland Barley and Its Application in Probiotic Microcapsules. Food Hydrocoll. 2023, 139, 108520. [Google Scholar] [CrossRef]
- Chen, L.; Cui, C.; Wang, Z.; Che, F.; Chen, Z.; Feng, S. Structural Characterization and Antioxidant Activity of β-Glucans from Highland Barley Obtained with Ultrasonic–Microwave-Assisted Extraction. Molecules 2024, 29, 684. [Google Scholar] [CrossRef]
- Panizo-Casado, M.; Déniz-Expósito, P.; Rodríguez-Galdón, B.; Afonso-Morales, D.; Ríos-Mesa, D.; Díaz-Romero, C.; Rodríguez-Rodríguez, E.M. The Chemical Composition of Barley Grain (Hordeum vulgare L.) Landraces from the Canary Islands. J. Food Sci. 2020, 85, 1725–1734. [Google Scholar] [CrossRef]
- Kaur, A.; Purewal, S.S.; Phimolsiripol, Y.; Punia Bangar, S. Unraveling the Hidden Potential of Barley (Hordeum vulgare): An Important Review. Plants 2024, 13, 2421. [Google Scholar] [CrossRef]
- Hussain, A.; Larsson, H.; Johansson, E. Carotenoid Extraction from Locally and Organically Produced Cereals Using Saponification Method. Processes 2021, 9, 783. [Google Scholar] [CrossRef]
- Pandey, S.; Kunwar, N. Impact of Barley Product on Human Health and Inhibiting Factors for Consuming the Barley Product. Asian J. Agric. Ext. Econ. Sociol. 2023, 41, 146–152. [Google Scholar] [CrossRef]
- Matsuoka, T.; Hosomi, K.; Park, J.; Goto, Y.; Nishimura, M.; Maruyama, S.; Murakami, H.; Konishi, K.; Miyachi, M.; Kawashima, H.; et al. Relationships between Barley Consumption and Gut Microbiome Characteristics in a Healthy Japanese Population: A Cross-Sectional Study. BMC Nutr. 2022, 8, 1–10. [Google Scholar] [CrossRef]
- Dixon, R.A.; Dickinson, A.J. A Century of Studying Plant Secondary Metabolism—From “What?” To “Where, How, and Why?”. Plant Physiol. 2024, 195, 48–66. [Google Scholar] [CrossRef] [PubMed]
- Hajji, T.; Mansouri, S.; Vecino-Bello, X.; Cruz-Freire, J.M.; Rezgui, S.; Ferchichi, A. Identification and Characterization of Phenolic Compounds Extracted from Barley Husks by LC-MS and Antioxidant Activity in Vitro. J. Cereal Sci. 2018, 81, 83–90. [Google Scholar] [CrossRef]
- Lang, Y.; Gao, N.; Zang, Z.; Meng, X.; Lin, Y.; Yang, S.; Yang, Y.; Jin, Z.; Li, B. Classification and Antioxidant Assays of Polyphenols: A Review. J. Future Foods 2024, 4, 193–204. [Google Scholar] [CrossRef]
- Bartel, I.; Mandryk, I.; Horbańczuk, J.O.; Wierzbicka, A.; Koszarska, M. Nutraceutical Properties of Syringic Acid in Civilization Diseases—Review. Nutrients 2024, 16, 10. [Google Scholar] [CrossRef]
- Rahman, M.M.; Rahaman, M.S.; Islam, M.R.; Rahman, F.; Mithi, F.M.; Alqahtani, T.; Almikhlafi, M.A.; Alghamdi, S.Q.; Alruwaili, A.S.; Hossain, M.S.; et al. Role of Phenolic Compounds in Human Disease: Current Knowledge and Future Prospects. Molecules 2022, 27, 233. [Google Scholar] [CrossRef]
- Amarowicz, R. Natural Phenolic Compounds Protect LDL against Oxidation. Eur. J. Lipid Sci. Technol. 2016, 118, 677–679. [Google Scholar] [CrossRef]
- Trono, D. Carotenoids in Cereal Food Crops: Composition and Retention throughout Grain Storage and Food Processing. Plants 2019, 8, 551. [Google Scholar] [CrossRef]
- Niaz, M.; Zhang, B.; Zhang, Y.; Yan, X.; Yuan, M.; Cheng, Y.Z.; Lv, G.; Fadlalla, T.; Zhao, L.; Sun, C.; et al. Genetic and Molecular Basis of Carotenoid Metabolism in Cereals. Theor. Appl. Genet. 2023, 136, 1–14. [Google Scholar] [CrossRef]
- Paznocht, L.; Kotíková, Z.; Šulc, M.; Lachman, J.; Orsák, M.; Eliášová, M.; Martinek, P. Free and Esterified Carotenoids in Pigmented Wheat, Tritordeum and Barley Grains. Food Chem. 2018, 240, 670–678. [Google Scholar] [CrossRef]
- Kumar, P.; Banik, S.P.; Ohia, S.E.; Moriyama, H.; Chakraborty, S.; Wang, C.K.; Song, Y.S.; Goel, A.; Bagchi, M.; Bagchi, D. Current Insights on the Photoprotective Mechanism of the Macular Carotenoids, Lutein and Zeaxanthin: Safety, Efficacy and Bio-Delivery. J. Am. Nutr. Assoc. 2024, 43, 505–518. [Google Scholar] [CrossRef]
- Tola, M.; Kebede, B. Occurrence, Importance and Control of Mycotoxins: A Review. Cogent. Food Agric. 2016, 2, 1191103. [Google Scholar] [CrossRef]
- Zhang, C.; Qu, Z.; Hou, J.; Yao, Y. Contamination and Control of Mycotoxins in Grain and Oil Crops. Microorganisms 2024, 12, 567. [Google Scholar] [CrossRef] [PubMed]
- Ji, F.; He, D.; Olaniran, A.O.; Mokoena, M.P.; Xu, J.; Shi, J. Occurrence, Toxicity, Production and Detection of Fusarium Mycotoxin: A Review. FPPN 2019, 1, 1–14. [Google Scholar] [CrossRef]
- Shi, H.; Schwab, W.; Yu, P. Natural Occurrence and Co-Contamination of Twelve Mycotoxins in Industry-Submitted Cool-Season Cereal Grains Grown under a Low Heat Unit Climate Condition. Toxins 2019, 11, 160. [Google Scholar] [CrossRef]
- Sinphithakkul, P.; Poapolathep, A.; Klangkaew, N.; Imsilp, K.; Logrieco, A.F.; Zhang, Z.; Poapolathep, S. Occurrence of Multiple Mycotoxins in Various Types of Rice and Barley Samples in Thailand. J. Food Prot. 2019, 82, 1007–1015. [Google Scholar] [CrossRef]
- Malir, F.; Ostry, V.; Pfohl-Leszkowicz, A.; Malir, J.; Toman, J. Ochratoxin A: 50 Years of Research. Toxins 2016, 8, 191. [Google Scholar] [CrossRef]
- Benkerroum, N. Chronic and Acute Toxicities of Aflatoxins: Mechanisms of Action. Int. J. Environ. Res. Public Health 2020, 17, 423. [Google Scholar] [CrossRef]
- Zadravec, M.; Markov, K.; Lešić, T.; Frece, J.; Petrović, D.; Pleadin, J. Biocontrol Methods in Avoidance and Downsizing of Mycotoxin Contamination of Food Crops. Processes 2022, 10, 655. [Google Scholar] [CrossRef]
- Krnjaja, V.; Mandić, V.; Lević, J.; Stanković, S.; Petrović, T.; Vasić, T.; Obradović, A. Influence of N-Fertilization on Fusarium Head Blight and Mycotoxin Levels in Winter Wheat. Crop Prot. 2015, 67, 251–256. [Google Scholar] [CrossRef]
- Hofer, K.; Barmeier, G.; Schmidhalter, U.; Habler, K.; Rychlik, M.; Hückelhoven, R.; Hess, M. Effect of Nitrogen Fertilization on Fusarium Head Blight in Spring Barley. Crop Prot. 2016, 88, 18–27. [Google Scholar] [CrossRef]
- Bernhoft, A.; Wang, J.; Leifert, C. Effect of Organic and Conventional Cereal Production Methods on Fusarium Head Blight and Mycotoxin Contamination Levels. Agronomy 2022, 12, 797. [Google Scholar] [CrossRef]
- Polish Norm PN-EN 12145 2001; Fruits and Vegetable Juices-Determination of Dry Matter-Gravimetric Method. The Polish Committee for Standarization: Warsaw, Poland, 2001.
- Kazimierczak, R.; Średnicka-Tober, D.; Leszczyńska, D.; Nowacka, A.; Hallmann, E.; Barański, M.; Kopczyńska, K.; Gnusowski, B. Evaluation of Phenolic Compounds and Carotenoids Content and Mycotoxins Occurrence in Grains of Seventeen Barley and Eight Oat Cultivars Grown under Organic Management. Appl. Sci. 2020, 10, 6369. [Google Scholar] [CrossRef]
- Spanjer, M.; Rensen, P.; Scholten, J. LC-MS/MS Multi-Method for Mycotoxins after Single Extraction, with Validation Data for Peanut, Pistachio, Wheat, Maize, Cornflakes, Raisins and Figs. Food Addit. Contam. Part A Chem. Anal. Control Expo. Risk Assess. 2008, 25, 472–489. [Google Scholar] [CrossRef] [PubMed]
- Wenzl, T.; Haedrich, J.; Schaechtele, A.; Robouch, P.; Stroka, J. Guidance Document on the Estimation of LOD and LOQ for Measurements in the Field of Contaminants in Feed and Food; UR 28099; Publications Office of the European Union: Luxembourg, 2016; pp. 1–58. ISBN 9789279617683. [Google Scholar]
- A Language and Environment for Statistical Computing; R Core Team: Vienna, Austria, 2024.
- Mühleisen, J.; Piepho, H.P.; Maurer, H.P.; Longin, C.F.H.; Reif, J.C. Yield Stability of Hybrids versus Lines in Wheat, Barley, and Triticale. Theor. Appl. Genet. 2014, 127, 309–316. [Google Scholar] [CrossRef] [PubMed]
- Scapino, M.; Meloni, R.; Blandino, M. A Comparison of the Agronomic Management of a Winter Barley Hybrid and a Conventional Genotype: Effect of the Seeding Rate, Soil Tillage and Nitrogen Fertilization. Front. Agron. 2025, 7, 1546989. [Google Scholar] [CrossRef]
- Maresma, Á.; Martínez-Casasnovas, J.A.; Santiveri, F.; Lloveras, J. Nitrogen Management in Double-Annual Cropping System (Barley-Maize) under Irrigated Mediterranean Environments. Eur. J. Agron. 2019, 103, 98–107. [Google Scholar] [CrossRef]
- Preiti, G.; Calvi, A.; Romeo, M.; Badagliacca, G.; Bacchi, M. Seeding Density and Nitrogen Fertilization Effects on Agronomic Responses of Some Hybrid Barley Lines in a Mediterranean Environment. Agronomy 2021, 11, 1942. [Google Scholar] [CrossRef]
- Tuppad, P.; Kishore, A.; Kharad, S.S.; Sharma, J.D. Effect of Nitrogen Levels on the Growth and Yield of Barley (Hordeum vulgare L.) Varieties. Ecol. Environ. Conserv. 2023, 29, 156–160. [Google Scholar] [CrossRef]
- Dang, B.; Zhang, W.G.; Zhang, J.; Yang, X.J.; Xu, H. De Evaluation of Nutritional Components, Phenolic Composition, and Antioxidant Capacity of Highland Barley with Different Grain Colors on the Qinghai Tibet Plateau. Foods 2022, 11, 2025. [Google Scholar] [CrossRef]
- Han, Z.; Gao, H.; Ye, L.; Adil, M.F.; Ahsan, M.; Zhang, G. Identification of QTLs Associated with P-Coumaric Acid and Ferulic Acid in Barley. Euphytica 2019, 215, 198. [Google Scholar] [CrossRef]
- Abdel-Aal, E.S.M.; Choo, T.M.; Dhillon, S.; Rabalski, I. Free and Bound Phenolic Acids and Total Phenolics in Black, Blue, and Yellow Barley and Their Contribution to Free Radical Scavenging Capacity. Cereal Chem. 2012, 89, 198–204. [Google Scholar] [CrossRef]
- Gałązka, A.; Gawryjołek, K.; Żuchowski, J. Evaluation of the Content of Phenolic Acids and Their Antioxidant Activity in Winter Cereal Seeds. J. Elem. 2017, 22, 593–605. [Google Scholar] [CrossRef]
- Gani, A.; SM, W.; FA, M. Whole-Grain Cereal Bioactive Compounds and Their Health Benefits: A Review. J. Food Process. Technol. 2012, 3, 146–156. [Google Scholar] [CrossRef]
- Yang, T.; Duan, C.; Zeng, Y.; Du, J.; Yang, S.; Pu, X.; Yang, S. HPLC Analysis of Flavonoids Compounds of Purple, Normal Barley Grain. Adv. Mat. Res. 2013, 634–638, 1486–1490. [Google Scholar] [CrossRef]
- Shoeva, O.Y.; Mock, H.-P.; Kukoeva, T.V.; Bö Rner, A.; Khlestkina, E.K. Regulation of the Flavonoid Biosynthesis Pathway Genes in Purple and Black Grains of Hordeum Vulgare. PLoS ONE 2016, 11, e0163782. [Google Scholar] [CrossRef]
- Han, Z.; Ahsan, M.; Adil, M.F.; Chen, X.; Nazir, M.M.; Shamsi, I.H.; Zeng, F.; Zhang, G. Identification of the Gene Network Modules Highly Associated with the Synthesis of Phenolics Compounds in Barley by Transcriptome and Metabolome Analysis. Food Chem. 2020, 323, 126862. [Google Scholar] [CrossRef]
- Mencin, M.; Abramovič, H.; Jamnik, P.; Mikulič Petkovšek, M.; Veberič, R.; Terpinc, P. Abiotic Stress Combinations Improve the Phenolics Profiles and Activities of Extractable and Bound Antioxidants from Germinated Spelt (Triticum spelta L.) Seeds. Food Chem. 2021, 344, 128704. [Google Scholar] [CrossRef]
- Nowak, R.; Szczepanek, M.; Kobus-Cisowska, J.; Stuper-Szablewska, K.; Graczyk, R.; Błaszczyk, K. Relationships Between Photosynthetic Efficiency and Grain Antioxidant Content of Barley Genotypes Under Increasing Nitrogen Rates. Agriculture 2024, 14, 1913. [Google Scholar] [CrossRef]
- Surányi, S.; Izsáki, Z. Plant Analysis Application for Environmentally Friendly Fertilization of Winter Barley (Hordeum vulgare L.). Appl. Ecol. Environ. Res. 2018, 14, 5213–5226. [Google Scholar] [CrossRef]
- Wang, S.; Peng, J.; Dong, W.; Wei, Z.; uz Zafar, S.; Jin, T.; Liu, E. Optimizing Irrigation and Nitrogen Fertilizer Regimes to Increase the Yield and Nitrogen Utilization of Tibetan Barley in Tibet. Agronomy 2024, 14, 1775. [Google Scholar] [CrossRef]
- Liu, R.H. Whole Grain Phytochemicals and Health. J. Cereal Sci. 2007, 46, 207–219. [Google Scholar] [CrossRef]
- Idehen, E.; Tang, Y.; Sang, S. Bioactive Phytochemicals in Barley. J. Food Drug. Anal. 2017, 25, 148–161. [Google Scholar] [CrossRef] [PubMed]
- Carvalho, D.O.; Curto, A.F.; Guido, L.F. Determination of Phenolic Content in Different Barley Varieties and Corresponding Malts by Liquid Chromatography-Diode Array Detection-Electrospray Ionization Tandem Mass Spectrometry. Antioxidants 2015, 4, 563–576. [Google Scholar] [CrossRef] [PubMed]
- Shirley, B.W. Flavonoids in Seeds and Grains: Physiological Function, Agronomic Importance and the Genetics of Biosynthesis. Seed. Sci. Res. 1998, 8, 415–422. [Google Scholar] [CrossRef]
- Liu, Z.; Liu, Y.; Pu, Z.; Wang, J.; Zheng, Y.; Li, Y.; Wei, Y. Regulation, Evolution, and Functionality of Flavonoids in Cereal Crops. Biotechnol Lett. 2013, 35, 1765–1780. [Google Scholar] [CrossRef]
- Agati, G.; Tattini, M. Multiple Functional Roles of Flavonoids in Photoprotection. New Phytol. 2010, 186, 786–793. [Google Scholar] [CrossRef]
- Jin, H.M.; Dang, B.; Zhang, W.G.; Zheng, W.C.; Yang, X.J. Polyphenol and Anthocyanin Composition and Activity of Highland Barley with Different Colors. Molecules 2022, 27, 3411. [Google Scholar] [CrossRef]
- Movludi, A.; Ebadi, A.; Jahanbakhsh, S.; Davari, M.; Parmoon, G. The Effect of Water Deficit and Nitrogen on the Antioxidant Enzymes’ Activity and Quantum Yield of Barley (Hordeum vulgare L.). Not. Bot. Horti Agrobot. Cluj Napoca 2014, 42, 398–404. [Google Scholar] [CrossRef]
- The Commission of the European Communities. Commission Regulation (EU) 2024/1022 of 8 April 2024 Amending Regulation (EU) 2023/915 as Regards Maximum Levels of Deoxynivalenol in Food. Off. J. Eur. Union 2024, 1–4. [Google Scholar]
- The Commission of the European Communities. Commission Regulation (EC) No 1881/2006 of 19 December 2006 Setting Maximum Levels for Certain Contaminants in Foodstuffs. Off. J. Eur. Union 2006, 364, 5–24. [Google Scholar]
- The Commission of the European Communities. Commission Regulation (EU) 2024/1038 of 9 April 2024 Amending Regulation (EU) 2023/915 as Regards Maximum Levels of T-2 and HT-2 Toxins in Food. Off. J. Eur. Union 2024, 1–5. [Google Scholar]
- The Commission of the European Communities. Commission Regulation (EU) 2023/915 on Maximum Levels for Certain Contaminants in Food and Repealing Regulation (EC) No 1881/2006. Off. J. Eur. Union 2023, 103–157. [Google Scholar]
- Mesterhazy, A. Updating the Breeding Philosophy of Wheat to Fusarium Head Blight (FHB): Resistance Components, QTL Identification, and Phenotyping—A Review. Plants 2020, 9, 1702. [Google Scholar] [CrossRef] [PubMed]
- Borowik, P.; Dyshko, V.; Tkaczyk, M.; Okorski, A.; Polak-Śliwińska, M.; Tarakowski, R.; Stocki, M.; Stocka, N.; Oszako, T. Analysis of Wheat Grain Infection by Fusarium Mycotoxin-Producing Fungi Using an Electronic Nose, GC-MS, and QPCR. Sensors 2024, 24, 326. [Google Scholar] [CrossRef] [PubMed]
- Mousavi Khaneghah, A.; Kamani, M.H.; Fakhri, Y.; Coppa, C.F.S.C.; de Oliveira, C.A.F.; Sant’Ana, A.S. Changes in Masked Forms of Deoxynivalenol and Their Co-Occurrence with Culmorin in Cereal-Based Products: A Systematic Review and Meta-Analysis. Food Chem. 2019, 294, 587–596. [Google Scholar] [CrossRef]
- Gonçalves, C.; Stroka, J. Cross-Reactivity Features of Deoxynivalenol (DON)-Targeted Immunoaffinity Columns Aiming to Achieve Simultaneous Analysis of DON and Major Conjugates in Cereal Samples. Food Addit. Contam. Part A Chem. Anal. Control Expo. Risk Assess. 2016, 33, 1053–1062. [Google Scholar] [CrossRef]
- Alizadeh, A.; Braber, S.; Akbari, P.; Kraneveld, A.; Garssen, J.; Fink-Gremmels, J. Deoxynivalenol and Its Modified Forms: Are There Major Differences? Toxins 2016, 8, 334. [Google Scholar] [CrossRef]
- Zhang, H.; Sun, J.; Zhang, Y.; Lu, M.; Sun, L.; Li, W.; Hu, X.; Wang, B. Retention of Deoxynivalenol and Its Derivatives during Storage of Wheat Grain and Flour. Food Control 2016, 65, 177–181. [Google Scholar] [CrossRef]
- Ham, H.; Baek, J.; Lee, M.; Lee, T.; Hong, S.K.; Lee, S. Change of Fungi and Mycotoxin in Hulled Barley under Different Conditions and Period. Korean J. Food Preserv 2017, 24, 857–864. [Google Scholar] [CrossRef]
- Yu, J.; Pedroso, I.R. Mycotoxins in Cereal-Based Products and Their Impacts on the Health of Humans, Livestock Animals and Pets. Toxins 2023, 15, 480. [Google Scholar] [CrossRef]
- Stumpf, B.; Yan, F.; Honermeier, B. Influence of Nitrogen Fertilization on Yield and Phenolic Compounds in Wheat Grains (Triticum Aestivum L. Ssp. Aestivum). J. Plant Nutr. Soil Sci. 2019, 182, 111–118. [Google Scholar] [CrossRef]
- Ma, Y.; Zhang, S.; Feng, D.; Duan, N.; Rong, L.; Wu, Z.; Shen, Y. Effect of Different Doses of Nitrogen Fertilization on Bioactive Compounds and Antioxidant Activity of Brown Rice. Front. Nutr. 2023, 10, 1071874. [Google Scholar] [CrossRef] [PubMed]
- Krnjaja, V.; Mandić, V.; Petrović, T.; Stanković, S.; Lučev, M.; Obradović, A.; Mićić, N. Fusarium Spp. Infection, Mycotoxin Contamination, and Some Agronomic Traits in Winter Barley as Affected by N Fertilization under Serbia Conditions. Chil. J. Agric. Res. 2024, 84, 632–643. [Google Scholar] [CrossRef]
- Chhaya, R.S.; O’Brien, J.; Cummins, E. Feed to Fork Risk Assessment of Mycotoxins under Climate Change Influences—Recent Developments. Trends Food Sci. Technol. 2022, 126, 126–141. [Google Scholar] [CrossRef]
- Beccari, G.; Tini, F.; Jørgensen, H.J.L. Editorial: Current Advances in the Metabolism of Mycotoxins in Plants. Front. Plant Sci. 2023, 14, 1343855. [Google Scholar] [CrossRef]
- Zhang, J.; Gao, S.; Du, Z.; An, Y.; Zhang, C.; Yao, Y. Contamination Status and Control of Mycotoxins in Grain and Oil Crops. J. AGRO-Environ. Sci. 2022, 41, 2680–2687. [Google Scholar] [CrossRef]





| Months | Average Temperature (°C) | Long-Term Average Temperature (1981–2010) (°C) | Rainfall (mm) | Long-Term Average Rainfall (mm) |
|---|---|---|---|---|
| September | 14.7 | 13.4 | 17.6 | 60 |
| October | 9.6 | 8.5 | 22.3 | 37 |
| November | 4.7 | 3.2 | 32.4 | 38 |
| December | 0.6 | −0.8 | 63.2 | 37 |
| January | 1.0 | −2.1 | 47.1 | 30 |
| February | 1.1 | −1.2 | 9.9 | 30 |
| March | 5.1 | 2.7 | 54.4 | 35 |
| April | 8.2 | 8.7 | 33.0 | 39 |
| May | 12.6 | 14.5 | 118.3 | 58 |
| June | 16.8 | 17.2 | 32.9 | 65 |
| July | 19.8 | 19.3 | 54.9 | 80 |
| N-Dose/Variety | Barley Grain Yields (Tonnes Per Hectare) | |||
|---|---|---|---|---|
| Galation | Hobbit | Sandra | Zoom | |
| 60 kg N/ha | 9.03 ± 0.69 a | 10.44 ± 0.36 a | 9.52 ± 0.56 a | 10.38 ± 1.15 a |
| 90 kg N/ha | 8.81 ± 0.90 a | 9.91 ± 0.36 a | 9.02 ± 0.71 a | 9.81 ± 1.16 a |
| 120 kg N/ha | 10.03 ± 0.22 a | 11.32 ± 0.19 b | 9.53 ± 0.77 a | 11.07 ± 0.33 a |
| 150 kg N/ha | 9.60 ± 0.61 a | 11.16 ± 0.32 b | 10.15 ± 0.37 a | 10.83 ± 0.27 a |
| ANOVA p-values | ||||
| N-dose | ns | 0.0019 | ns | ns |
| Mean for Variety | 9.36 ± 0.75 A | 9.71 ± 0.65 B | 9.56 ± 0.68 A | 10.52 ± 0.88 B |
| ANOVA p-value < 0.0001 | ||||
| N-Dose/Variety | Gallic Acid | Ferulic Acid | Caffeic Acid | t-Cinnamic Acid | Sinapic Acid | p-Coumaric Acid | Sum of Phenolic Acids |
|---|---|---|---|---|---|---|---|
| 60 kg N/ha | 2.52 ± 0.33 A | 65.87 ± 8.30 A | 0.96 ± 0.52 AB | 0.93 ±0.05 AB | 1.42 ± 0.03 A | 11.00 ± 1.88 A | 82.69 ± 9.68 A |
| 90 kg N/ha | 3.01 ± 0.21 B | 62.72 ± 7.70 A | 1.09± 0.65 B | 0.85 ± 0.20 A | 1.41 ± 0.03 A | 10.91 ± 1.90 A | 79.99 ± 8.83 A |
| 120 kg N/ha | 3.28 ± 0.60 C | 60.77 ± 13.52 A | 0.64 ± 0.40 A | 1.00 ± 0.11 B | 1.44 ± 0.02 B | 12.70 ± 0.74 B | 79.82 ± 13.70 A |
| 150 kg N/ha | 3.52 ± 0.37 D | 61.86 ± 9.67 A | 0.73 ± 0.46 A | 1.00 ± 0.04 B | 1.44 ± 0.02 B | 10.96 ± 3.47 A | 79.51 ± 10.31 A |
| Zoom | 3.03 ± 0.37 b | 68.59 ± 8.39 a | 0.63 ± 0.32 a | 0.99 ± 0.10 b | 1.45 ± 0.02 b | 9.94 ± 3.13 a | 84.63 ± 0.95 a |
| Hobbit | 3.42 ± 0.79 c | 61.98 ± 12.89 a | 0.67 ± 0.46 a | 0.99 ± 0.06 b | 1.44 ± 0.02 b | 10.87 ± 1.72 ab | 79.35 ± 1.39 a |
| Galation | 3.09 ± 0.35 b | 57.33 ± 9.37 a | 0.98 ± 0.53 ab | 0.85 ± 0.20 a | 1.40 ± 0.02 a | 12.23 ± 1.47 b | 75.88 ± 1.59 a |
| Sandra | 2.78 ± 0.40 a | 63.33 ± 4.84 a | 1.14 ± 0.64 b | 0.95 ± 0.05 b | 1.41 ± 0.01 a | 12.53 ± 1.54 b | 82.15 ± 1.92 a |
| p-value | |||||||
| N-dose (N) | <0.0001 | ns | 0.0069 | 0.0018 | <0.0001 | 0.0095 | ns |
| Variety (V) | <0.0001 | ns | 0.0019 | 0.0012 | <0.0001 | 0.0005 | ns |
| N × V interaction | <0.0001 | ns | <0.0001 | 0.0038 | 0.0276 | 0.0019 | ns |
| N-Dose/Variety | Quercetin-3-O-Rutinoside | Kaempferol-3-O-Glucoside | Luteolin | Quercetin | Apigenin | Kaempferol | Sum of Flavonoids |
|---|---|---|---|---|---|---|---|
| 60 kg N/ha | 4.85 ± 1.57 AB | 4.07 ± 1.39 A | 2.62 ± 0.31 A | 2.40 ± 0.64 A | 13.80 ± 3.56 A | 11.09 ± 1.57 B | 38.82 ± 3.54 A |
| 90 kg N/ha | 5.25 ± 1.95 B | 4.72 ± 2.55 B | 2.65 ± 0.50 A | 3.46 ± 1.18 B | 17.50 ± 4.01 B | 8.94 ± 3.44 A | 42.52 ± 8.02 AB |
| 120 kg N/ha | 3.90 ± 1.21 A | 6.88 ± 0.42 C | 2.97 ± 0.68 A | 3.80 ± 1.21 B | 17.18 ± 3.87 B | 10.59 ± 0.48 B | 45.32 ± 4.05 B |
| 150 kg N/ha | 4.17 ± 1.38 A | 7.61 ± 0.99 C | 2.66 ± 0.48 A | 3.84 ± 0.77 B | 18.22 ± 3.02 B | 10.27 ± 1.09 B | 46.78 ± 4.35 B |
| Zoom | 3.87 ± 0.95 a | 6.46 ± 0.75 bc | 2.90 ± 0.61 a | 2.45 ± 0.41 a | 19.04 ± 5.13 b | 11.10 ± 1.75 b | 45.82 ± 5.38 bc |
| Hobbit | 3.98 ± 1.39 a | 6.55 ± 2.27 c | 2.80 ± 0.42 a | 3.76 ± 1.30 bc | 18.74 ± 1.41 b | 10.65 ± 0.70 b | 46.48 ± 5.28 c |
| Galation | 4.91 ± 1.59 ab | 4.64 ± 2.76 a | 2.32 ± 0.50 a | 3.12 ± 0.90 ab | 16.18 ± 2.18 b | 8.45 ± 3.16 a | 39.62 ± 6.50 a |
| Sandra | 5.41 ± 1.92 b | 5.63 ± 1.85 b | 2.89 ± 0.30 a | 4.18 ± 0.89 c | 12.72 ± 1.92 a | 10.69 ± 0.38 b | 41.52 ± 4.16 ab |
| p-value | |||||||
| N-dose (N) | 0.0066 | <0.0001 | ns | 0.0008 | 0.0010 | 0.0008 | 0.0005 |
| Variety (V) | 0.0018 | <0.0001 | 0.0255 | 0.0002 | <0.0001 | <0.0001 | 0.0033 |
| N × V interaction | <0.0001 | <0.0001 | ns | 0.0455 | 0.0250 | <0.0001 | 0.0127 |
| N-Dose/Variety | Total Polyphenols (mg/100 g) | Lutein (μg/kg) | β-carotene (μg/kg) |
|---|---|---|---|
| 60 kg N/ha | 121.52 ± 13.01 A | 11700.1 ± 940.9 A | 1489.39 ± 2.60 A |
| 90 kg N/ha | 122.51 ± 15.63 A | 11128.7 ± 484.4 A | 1489.49 ± 3.93 A |
| 120 kg N/ha | 125.14 ± 16.25 A | 11096.5 ± 796.5 A | 1488.70 ± 6.99 A |
| 150 kg N/ha | 126.29 ± 13.10 A | 10826.2 ± 1036.6 A | 1487.52 ± 3.22 A |
| Zoom | 130.45 ± 12.50 b | 11,869.7 ± 896.3 b | 1491.98 ± 5.61 a |
| Hobbit | 125.83 ± 16.04 a | 11,099.5 ± 814.3 ab | 1487.53 ± 3.93 a |
| Galation | 115.51 ± 14.31 a | 11,246.6 ± 537.9 ab | 1488.84 ± 2.89 a |
| Sandra | 123.67 ± 10.68 a | 10,535.8 ± 711.3 ab | 1486.74 ± 3.27 a |
| p-value | |||
| N-dose (N) | ns | ns | ns |
| Variety (V) | ns | ns | ns |
| N × V interaction | ns | ns | ns |
| N-Dose | Barley Variety | FB2 | FB1 + FB2 | T-2 | HT-2 | T-2 + HT-2 | DON | 15-AcDON |
|---|---|---|---|---|---|---|---|---|
| Maximum levels for mycotoxins in cereal grains 2 | - 3 | - 3 | - 4 | - 4 | 150 5 | 1000 6 | - 3 | |
| 60 kg N/ha | Zoom | 17.80 | 17.80 | - | - | - | 121.42 | - |
| Hobbit | - | - | - | - | - | 173.82 | - | |
| Galation | - | - | - | - | - | 224.51 | - | |
| Sandra | - | - | - | - | - | - | - | |
| 90 kg N/ha | Zoom | - | - | - | - | - | 97.58 | - |
| Hobbit | - | - | - | - | - | 289.62 | 16.56 | |
| Galation | - | - | <1 | <1 | 1.53 | 244.25 | 22.13 | |
| Sandra | - | - | - | - | - | - | - | |
| 120 kg N/ha | Zoom | - | - | - | - | - | 210.38 | - |
| Hobbit | - | - | - | - | - | 209.95 | 13.53 | |
| Galation | - | - | - | - | - | 228.79 | 21.47 | |
| Sandra | - | - | - | - | - | - | - | |
| 150 kg N/ha | Zoom | - | - | - | - | - | 202.04 | - |
| Hobbit | - | - | - | - | - | - | - | |
| Galation | - | - | - | - | - | 273.20 | 20.58 | |
| Sandra | - | - | - | - | - | 84.32 | - | |
Disclaimer/Publisher’s Note: The statements, opinions and data contained in all publications are solely those of the individual author(s) and contributor(s) and not of MDPI and/or the editor(s). MDPI and/or the editor(s) disclaim responsibility for any injury to people or property resulting from any ideas, methods, instructions or products referred to in the content. |
© 2025 by the authors. Licensee MDPI, Basel, Switzerland. This article is an open access article distributed under the terms and conditions of the Creative Commons Attribution (CC BY) license (https://creativecommons.org/licenses/by/4.0/).
Share and Cite
Kazimierczak, R.; Średnicka-Tober, D.; Kopczyńska, K.; Wojtczak, J.; Żebrowska-Krasuska, M.; Hallmann, E.; Leszczyńska, D.; Nowacka, A.; Hołodyńska-Kulas, A.; Tobiasz-Salach, R.; et al. Yield, Polyphenol and Carotenoid Content, and Mycotoxin Occurrence in Grains of Four Winter Barley Varieties Grown in Different Nitrogen Fertilization Conditions in Poland. Appl. Sci. 2025, 15, 6904. https://doi.org/10.3390/app15126904
Kazimierczak R, Średnicka-Tober D, Kopczyńska K, Wojtczak J, Żebrowska-Krasuska M, Hallmann E, Leszczyńska D, Nowacka A, Hołodyńska-Kulas A, Tobiasz-Salach R, et al. Yield, Polyphenol and Carotenoid Content, and Mycotoxin Occurrence in Grains of Four Winter Barley Varieties Grown in Different Nitrogen Fertilization Conditions in Poland. Applied Sciences. 2025; 15(12):6904. https://doi.org/10.3390/app15126904
Chicago/Turabian StyleKazimierczak, Renata, Dominika Średnicka-Tober, Klaudia Kopczyńska, Julia Wojtczak, Małgorzata Żebrowska-Krasuska, Ewelina Hallmann, Danuta Leszczyńska, Anna Nowacka, Agnieszka Hołodyńska-Kulas, Renata Tobiasz-Salach, and et al. 2025. "Yield, Polyphenol and Carotenoid Content, and Mycotoxin Occurrence in Grains of Four Winter Barley Varieties Grown in Different Nitrogen Fertilization Conditions in Poland" Applied Sciences 15, no. 12: 6904. https://doi.org/10.3390/app15126904
APA StyleKazimierczak, R., Średnicka-Tober, D., Kopczyńska, K., Wojtczak, J., Żebrowska-Krasuska, M., Hallmann, E., Leszczyńska, D., Nowacka, A., Hołodyńska-Kulas, A., Tobiasz-Salach, R., & Gnusowski, B. (2025). Yield, Polyphenol and Carotenoid Content, and Mycotoxin Occurrence in Grains of Four Winter Barley Varieties Grown in Different Nitrogen Fertilization Conditions in Poland. Applied Sciences, 15(12), 6904. https://doi.org/10.3390/app15126904

