Research on the Effect of Structural Parameters on Cavitation Performance of Shear Hydrodynamic Cavitation Generator
Abstract
1. Introduction
2. Materials and Methods
2.1. Structure of Shear Hydrodynamic Cavitation Generator
2.2. Numerical Models, Solution Methods and Boundary Conditions
2.2.1. Model Meshing
2.2.2. Turbulence Model
- (1)
- Continuity equation:
- (2)
- Momentum equation:
2.2.3. Cavitation Models
2.2.4. Boundary Conditions
2.2.5. Validation of Numerical Model
3. Experiments and Results
3.1. Influence of Structural Parameters on Cavitation Performance
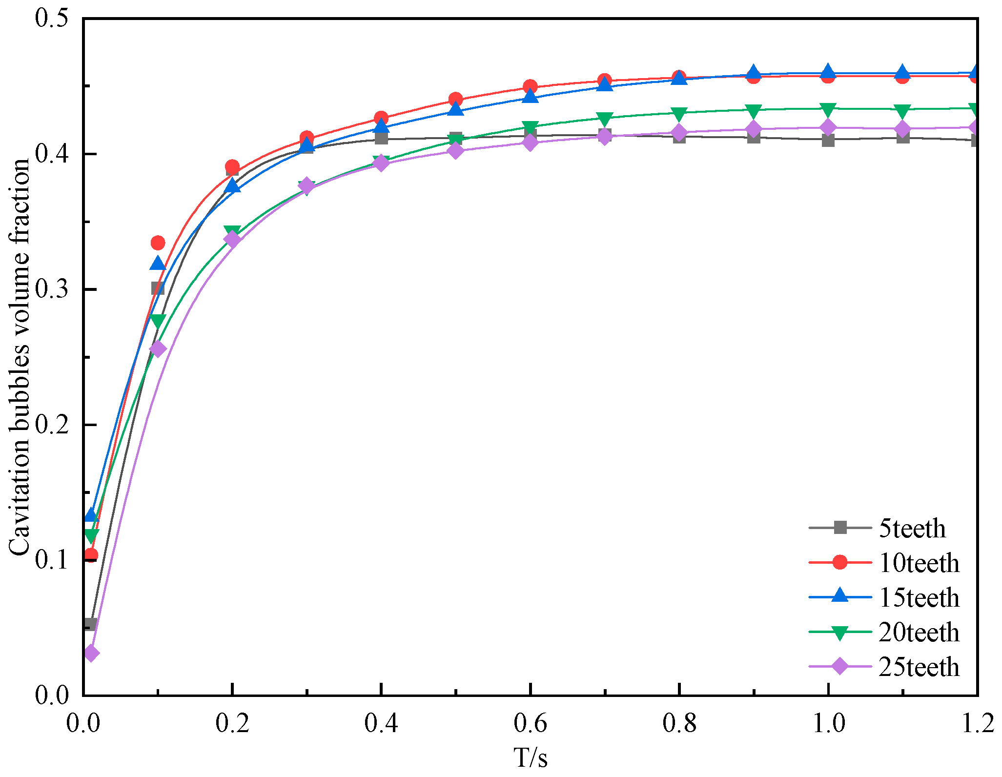
3.1.1. Number of Teeth Rows
3.1.2. Number of Teeth in A Single Row
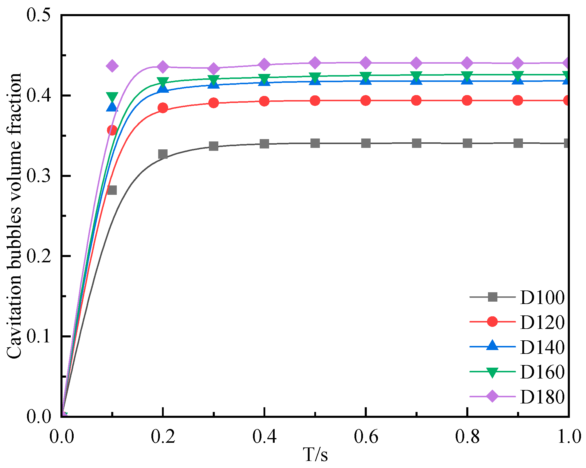
3.1.3. Outer Diameter of Hydrodynamic Cavitation Generator
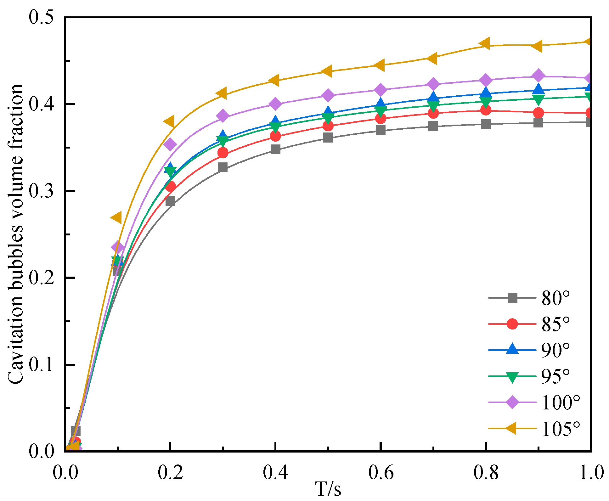
3.1.4. Tooth Bevel Angle
4. Conclusions
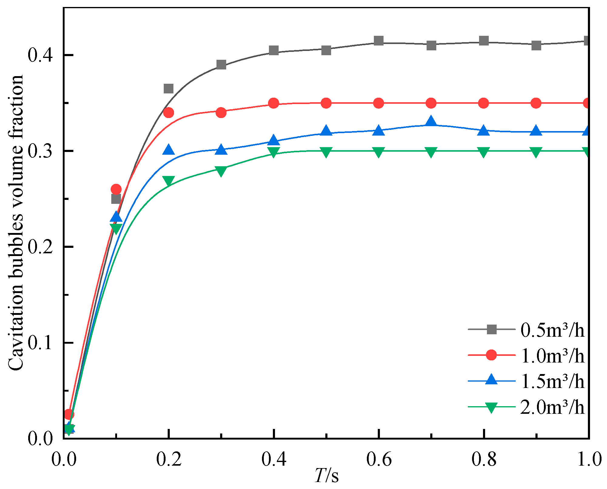
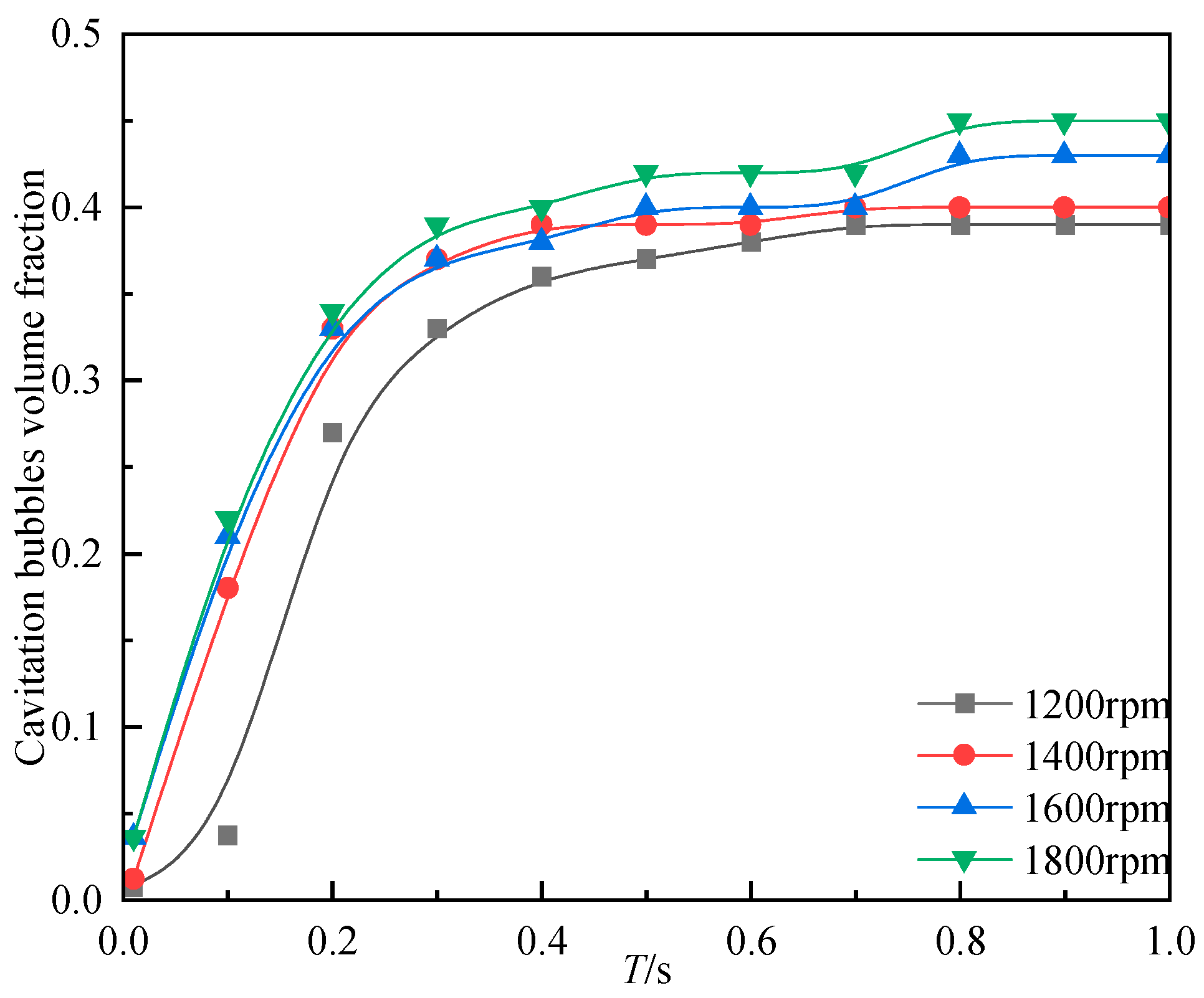
- A novel shear hydrodynamic cavitation generator is designed to solve the problem of wastewater treatment. The moving and fixed teeth of the cavitation generator are crossed, not pairs of teeth. The numerical model was established based on the mass conservation equation and momentum conservation equation, and the Mixture model, realizable k-ε turbulence model, and Zwart cavitation model were used to describe the internal flow field. Experiments were conducted using wastewater from a printing and dyeing plant as the medium, among which the degradation rate of COD in water is taken to characterize the cavitation feature of the device. It was found that the cavitation performance increased with the increase in rotational speed. The cavitation performance decreases as the treatment volume increases. Thus, the applicability and accuracy of the mixture multiphase flow and Zwart cavitation model for the shear-type hydrodynamic cavitation generator were validated.
- The laws governing the effect of different structural parameters on the cavitation performance are compared. Different structural parameters have a significant impact on the cavitation performance of the cavitation inducer with the number of teeth rows exerting the most noticeable influence. As the number of tooth rows increases, the volume fraction of cavitation bubbles rises. Once the number of tooth rows reaches eight, a stable low-pressure field forms inside the cavity, resulting in a stable cavitation performance. Conversely, an increase in the tooth number in a single row reduces the flow space for fluid within the cavitation inducer, leading to a decrease in cavitation performance. Furthermore, an increase in the outer diameter of the cavitation inducer enhances its centrifugal force, causing an increase in circumferential velocity and consequently increasing the shear velocity between teeth, thereby improving cavitation performance. The presence of tooth tilt alters the location of cavitation bubble generation between teeth, facilitating cavitation action on the fluid. Additionally, with an increase in the tilt angle, the low-pressure area between teeth enlarges, leading to a corresponding increase in cavitation performance.
- The cavitation between the rotated teeth is mainly formed by the centrifugal force field under extremely strong negative pressure. The cavitation between the fixed teeth by the fluid caused by the high-speed rotation of the circumferential velocity increases, bringing an increase in the shear velocity between the rotated and fixed teeth; the static pressure decreases, resulting in a localized negative pressure between the teeth and the formation of cavitation. Therefore, the size of the flow space of the fluid in the hydrodynamic cavitation generator has a great impact on the hydrodynamic cavitation generator effect as well as its shape.
Author Contributions
Funding
Institutional Review Board Statement
Informed Consent Statement
Data Availability Statement
Conflicts of Interest
References
- Li, D.; Wen, J.; Ge, N.; Han, G.; Zhu, Y.; Wang, C. Study of the Mechanism of Cavitation in Inner-Hole Rotating cavitators. J. Phys. Conf. Ser. 2023, 2660, 012038. [Google Scholar] [CrossRef]
- Hong, F.; Xue, H.; Yuan, X.; Wang, L.; Tian, H.; Ye, L.; Jia, J.; Ying, D.; Huang, Y. Numerical investigation on the hydrodynamic performance with special emphasis on the cavitation intensity detection in a Venturi cavitator. Process Saf. Environ. Prot. 2023, 175, 212–226. [Google Scholar] [CrossRef]
- Shi, H.; Zhang, H.; Geng, L.; Qu, S.; Wang, X.; Nikrityuk, P.A. Dynamic behaviors of cavitation bubbles near biomimetic surfaces: A numerical study. Ocean. Eng. 2024, 292, 116628. [Google Scholar] [CrossRef]
- Zhou, Z.; Li, Q.; Liang, T.; Gong, S. The Numerical Simulation of Cavitation Phenomenon in a Venturi Tube. J. Phys. Conf. Ser. 2022, 2364, 012051. [Google Scholar] [CrossRef]
- Sun, X.; Park, J.J.; Kim, H.S.; Lee, S.H.; Seong, S.J.; Om, A.S.; Yoon, J.Y. Experimental investigation of the thermal and disinfection performances of a novel hydrodynamic cavitation reactor. Ultrason.-Sonochemistry 2018, 49, 13–23. [Google Scholar] [CrossRef] [PubMed]
- Bapir, S.A.; Manmi, K.M.; Saeed, R.K.; Dadvand, A. Oscillation of an ultrasonically driven gas bubble in an asymmetric confined domain. Int. J. Mech. Sci. 2024, 265, 108861. [Google Scholar] [CrossRef]
- Fedorov, K.; Dinesh, K.; Sun, X.; Soltani RD, C.; Wang, Z.; Sonawane, S.; Boczkaj, G. Synergistic effects of hybrid advanced oxidation processes (AOPs) based on hydrodynamic cavitation phenomenon—A review. Chem. Eng. J. 2022, 432, 134191. [Google Scholar] [CrossRef]
- Wilson, D.A.; Pun, K.; Ganesan, P.B.; Hamad, F. Geometrical Optimization of a Venturi-type Microbubble Generator using CFD Simulation and Experimental Measurements. Designs 2021, 5, 4. [Google Scholar] [CrossRef]
- Guan, X.; Zhang, Q.; Wang, Z. Numerical simulation of venturi type cavitator. Energy Chem. Ind. 2021, 42, 77–82. [Google Scholar]
- Wiraputra, I.G.; Edikresnha, D.; Munir, M.M. Generation of Submicron Bubbles using Venturi Tube Method. J. Phys. Conf. Ser. 2016, 739, 012058. [Google Scholar] [CrossRef]
- Yu, B.; Fu, P.F.; Zhang, T.; Zhou, H.C. The influence of back pressure on the flow discharge coefficients of plain orifice nozzle. Int. J. Heat Fluid Flow 2013, 44, 509–514. [Google Scholar] [CrossRef]
- Babu MJ, K.; Gowda GJ, C.; Ranjith, K. Numerical Study on Performance Characteristics of Multihole Orifice Plate. IOP Conf. Ser. Mater. Sci. Eng. 2018, 376, 012032. [Google Scholar] [CrossRef]
- Wang, B.; Zhang, R.; Li, Y.; Lian, X.; She, Z. Flow field simulation of a novel cyclonic vortex cavitator and the removal effect of this cavitator on hygromycin in wastewater. J. Environ. Eng. 2022, 16, 1490–1496. [Google Scholar]
- Petkovšek, M.; Zupanc, M.; Dular, M.; Kosjek, T.; Heath, E.; Kompare, B.; Širok, B. Rotation generator of hydrodynamic cavitation for water treatment. Sep. Purif. Technol. 2013, 118, 415–423. [Google Scholar] [CrossRef]
- Badve, M.P.; Alpar, T.; Pandit, A.B.; Gogate, P.R.; Csoka, L. Modeling the shear rate and pressure drop in a hydrodynamic cavitation reactor with experimental validation based on KI decomposition studies. Ultrason.-Sonochemistry 2015, 22, 272–277. [Google Scholar] [CrossRef] [PubMed]
- Liu, H.; Xu, Y.; Wang, Z.; Zhang, J.; Wang, J. Experimental and numerical simulations to examine the mechanism of nozzle geometry affecting cavitation water jets. Geoenergy Sci. Eng. 2024, 233, 212511. [Google Scholar] [CrossRef]
- Xu, Y.; Liu, H.; Wang, Z.; Zhang, J.; Wang, J. Analysis of the Effects of Nozzle Geometry on the Cavitation Water Jet Flow Field Using Orthogonal Decomposition. Iran. J. Sci. Technol. Trans. Mech. Eng. 2024, 48, 119–132. [Google Scholar] [CrossRef]
- Yuan, H.; Wang, Y.; Fu, S.; Zhou, L.; Zhang, Y.; Wu, M. Influence of tooth inclination angle on the performance of toothed disk cavitator. J. Chang. Univ. (Nat. Sci. Ed.) 2020, 32, 45–52. [Google Scholar]
- Yuan, H.; Lu, J.; Zhou, L.; Fu, S.; Wang, Y. Cavitation performance of a toothed disk cavitator. Chem. Eng. 2021, 49, 48–55. [Google Scholar]
- Lu, J. Study on the Cavitation Performance of a Toothed-Cylinder Toothed-Side Shear Cavitator. Ph.D. Thesis, Changzhou University, Changzhou, China, 2022. [Google Scholar]
- Petkovšek, M.; Mlakar, M.; Levstek, M.; Stražar, M.; Širok, B.; Dular, M. A novel rotation generator of hydrodynamic cavitation for waste-activated sludge disintegration. Ultrason.-Sonochemistry 2015, 26, 408–414. [Google Scholar] [CrossRef]
- Liu, Y.; Li, X.; Chen, T.; Wang, G.; Huang, B. Numerical computational study of rotary cavitator with internal hole. J. Beijing Inst. Technol. Beijing China 2017, 37, 1–4+14. [Google Scholar]
- Gong, Y.J.; Zhan, J.M.; Li, T.Z. Numerical investigation of the effect of rotation on cavitating flows over axisymmetric cavitators. J. Hydrodyn. Ser. B 2016, 28, 431–441. [Google Scholar] [CrossRef]
- Pham, V.D.; Ahn, B.K.; Park, C.; Kim, G.D.; Moon, I.S. Numerical study of cavitator angle effect on ventilated super cavitating flow. Eng. Appl. Comput. Fluid Mech. 2023, 17, 2215297. [Google Scholar]
- Yu, D.; Wei, Y.; Wang, C.; Xia, W.; Lu, J.; Zhang, W. Experimental investigation on interaction modes and geometric features of two ventilated cavities. Ocean. Eng. 2022, 264, 112479. [Google Scholar] [CrossRef]
- Mirzaei, M.; Jensen, P.A.; Nakhaei, M.; Wu, H.; Zakrzewski, S.; Zhou, H.; Lin, W. A hybrid multiphase model accounting for particle agglomeration for coarse-grid simulation of dense solid flow inside large-scale cyclones. Powder Technol. 2022, 399, 117186. [Google Scholar] [CrossRef]
- Sadeghi, M.; Sontti, S.G.; Zheng, E.; Zhang, X. Computational fluid dynamics (CFD) simulation of three–phase non–Newtonian slurry flows in industrial horizontal pipelines. Chem. Eng. Sci. 2023, 270, 118513. [Google Scholar] [CrossRef]
- Zhou, J.; Andersson, M. An analysis of surface breakup induced by laser-generated cavitation bubbles in a turbulent liquid jet. Exp. Fluids 2020, 61, 242. [Google Scholar] [CrossRef]
- Van Gent, P.L.; Van Oudheusden, B.W.; Schrijer, F.F. Determination of mean pressure from PIV in compressible flows using the Reynolds-averaging approach. Exp. Fluids 2018, 59, 41. [Google Scholar] [CrossRef]
- Geng, L.; Escaler, X. Assessment of RANS turbulence models and Zwart cavitation model empirical coefficients for the simulation of unsteady cloud cavitation. Eng. Appl. Comput. Fluid Mech. 2020, 14, 151–167. [Google Scholar] [CrossRef]
- Ezekoye, D.; Zheng, Z.Y.; Wu, J. Numerical implementation and verification of the Zwart-Gerber-Belamri cavitation model with the consideration of thermodynamic effect. J. Phys. Conf. Ser. 2024, 2707, 012135. [Google Scholar] [CrossRef]
- Gujar, S.K.; Agarkoti, C.; Bhat, A.; Gogate, P.R.; Sharma, A.; Mishra, B.R.; Singh, D. Coupled cavitation and AOPs treatment of Primene-JMT containing wastewater. J. Environ. Chem. Eng. 2023, 11, 109284. [Google Scholar] [CrossRef]
- Zhao, T.; Jv, X.; Chen, G. Effect of mill diameter and filling rate on centrifugal force of steel balls. J. Anshan Univ. Sci. Technol. 2003, 26, 41–43. [Google Scholar]


















| Maximum Mesh Size (mm) | Meshes | Cavitation Vesicle Volume Fraction | Calculate Time (Days) |
|---|---|---|---|
| 2.2 | 875913 | 0.35 | 6.5 |
| 2.1 | 966335 | 0.36 | 7 |
| 2.0 | 1125457 | 0.36 | 10 |
| Rotation Speed | Hydrodynamic Cavitation Generator Diameter | Single Row of Teeth Height | Pitch | Number of Teeth in a Row | Number of Rows |
|---|---|---|---|---|---|
| 1500 rpm | 200 mm | 10 mm | 2 mm | 27 | 2 |
Disclaimer/Publisher’s Note: The statements, opinions and data contained in all publications are solely those of the individual author(s) and contributor(s) and not of MDPI and/or the editor(s). MDPI and/or the editor(s) disclaim responsibility for any injury to people or property resulting from any ideas, methods, instructions or products referred to in the content. |
© 2024 by the authors. Licensee MDPI, Basel, Switzerland. This article is an open access article distributed under the terms and conditions of the Creative Commons Attribution (CC BY) license (https://creativecommons.org/licenses/by/4.0/).
Share and Cite
Lyu, F.; Tang, M.; Zhou, F.; Zhang, X.; Han, S.; Zhang, S. Research on the Effect of Structural Parameters on Cavitation Performance of Shear Hydrodynamic Cavitation Generator. Appl. Sci. 2024, 14, 3676. https://doi.org/10.3390/app14093676
Lyu F, Tang M, Zhou F, Zhang X, Han S, Zhang S. Research on the Effect of Structural Parameters on Cavitation Performance of Shear Hydrodynamic Cavitation Generator. Applied Sciences. 2024; 14(9):3676. https://doi.org/10.3390/app14093676
Chicago/Turabian StyleLyu, Fengxia, Ming Tang, Faqi Zhou, Xintong Zhang, Saiyue Han, and Sheng Zhang. 2024. "Research on the Effect of Structural Parameters on Cavitation Performance of Shear Hydrodynamic Cavitation Generator" Applied Sciences 14, no. 9: 3676. https://doi.org/10.3390/app14093676
APA StyleLyu, F., Tang, M., Zhou, F., Zhang, X., Han, S., & Zhang, S. (2024). Research on the Effect of Structural Parameters on Cavitation Performance of Shear Hydrodynamic Cavitation Generator. Applied Sciences, 14(9), 3676. https://doi.org/10.3390/app14093676
