The Synthesis and Characterization of Geopolymers Based on Metakaolin and on Automotive Glass Waste
Abstract
1. Introduction
2. Materials and Methods
2.1. Materials
2.2. Geopolymer Sample Preparation
2.3. Methods
3. Results and Discussion
3.1. The Characterization of Automotive Glass Waste
3.1.1. Sieve Analysis
3.1.2. X-ray Fluorescence Analysis
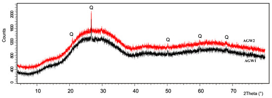
3.1.3. X-ray Diffraction Analysis
3.1.4. Thermogravimetric Analysis
3.1.5. Gas Chromatography/Mass Spectrometry Analysis
3.1.6. Scanning Electron Microscope Structure Study
3.2. The Effect of the Alkaline Activator on AGW Materials
3.3. The Characterization of Geopolymer Composites
3.3.1. X-ray Fluorescence Analysis
3.3.2. FTIR Analysis
3.3.3. Scanning Electron Microscope Structure Study
3.3.4. Gas Chromatography/Mass Spectrometry Analysis
3.3.5. Compressive Strength
4. Conclusions
Supplementary Materials
Author Contributions
Funding
Data Availability Statement
Conflicts of Interest
References
- Eurostat Statistics Explained. Recycling—Secondary Material Price Indicator. [Online]. Available online: http://ec.europa.eu/eurostat/statistics-explained/index.php/Recycling_%E2%80%93_secondary_material_price_indicator (accessed on 12 January 2024).
- Blengini, G.A.; Busto, M.; Fantoni, M.; Fino, D. Eco-Efficient Waste Glass Recycling: Integrated Waste Management and Green Product Development through LCA. Waste Manag. 2012, 32, 1000–1008. [Google Scholar] [CrossRef] [PubMed]
- Akinwumi, I.I.; Booth, C.A.; Ojuri, O.O.; Ogbiye, A.S.; Coker, A.O. Containment of Pollution from Urban Waste Disposal Sites. In Urban Pollution; Wiley: Hoboken, NJ, USA, 2018; pp. 223–234. [Google Scholar]
- Pant, D.; Singh, P. Pollution Due to Hazardous Glass Waste. Environ. Sci. Pollut. Res. 2014, 21, 2414–2436. [Google Scholar] [CrossRef] [PubMed]
- Butler, J.H.; Hooper, P.D. Glass Waste. In Waste: A Handbook for Management; Academic Press: Cambridge, MA, USA, 2019; pp. 307–322. [Google Scholar] [CrossRef]
- Musgraves, J.D.; Hu, J.; Calvez, L. (Eds.) Springer Handbook of Glass; Springer: Cham, Switzerland, 2019. [Google Scholar]
- Wu, Y.; Lu, B.; Bai, T.; Wang, H.; Du, F.; Zhang, Y.; Cai, L.; Jiang, C.; Wang, W. Geopolymer, Green Alkali Activated Cementitious Material: Synthesis, Applications and Challenges. Constr. Build. Mater. 2019, 224, 930–949. [Google Scholar] [CrossRef]
- Singh, N.B.; Kumar, M.; Rai, S. Geopolymer Cement and Concrete: Properties. Mater. Today Proc. 2019, 29, 743–748. [Google Scholar] [CrossRef]
- Elahi, M.M.A.; Hossain, M.M.; Karim, M.R.; Zain, M.F.M.; Shearer, C. A Review on Alkali-Activated Binders: Materials Composition and Fresh Properties of Concrete. Constr. Build. Mater. 2020, 260, 119788. [Google Scholar] [CrossRef]
- Amran, Y.H.M.; Alyousef, R.; Alabduljabbar, H.; El-Zeadani, M. Clean Production and Properties of Geopolymer Concrete; A Review. J. Clean. Prod. 2020, 251, 119679. [Google Scholar] [CrossRef]
- Ren, B.; Zhao, Y.; Bai, H.; Kang, S.; Zhang, T.; Song, S. Eco-Friendly Geopolymer Prepared from Solid Wastes: A Critical Review. Chemosphere 2021, 267, 128900. [Google Scholar] [CrossRef] [PubMed]
- Chowdhury, S.; Mohapatra, S.; Gaur, A.; Dwivedi, G.; Soni, A. Study of Various Properties of Geopolymer Concrete—A Review. Mater. Today Proc. 2021, 46, 5687–5695. [Google Scholar] [CrossRef]
- Perná, I.; Novotná, M.; Hanzlíček, T.; Šupová, M.; Řimnáčová, D. Metakaolin-Based Geopolymer Formation and Properties: The Influence of the Maturation Period and Environment (Air, Demineralized and Sea Water). J. Ind. Eng. Chem. 2024, 134, 415–424. [Google Scholar] [CrossRef]
- Reddy, D.V.; Edouard, J.-B.; Sobhan, K. Durability of Fly Ash-Based Geopolymer Structural Concrete in the Marine Environment. J. Mater. Civ. Eng. 2013, 25, 781–787. [Google Scholar] [CrossRef]
- Rashad, A.M. Insulating and Fire-Resistant Behaviour of Metakaolin and Fly Ash Geopolymer Mortars. Proc. Inst. Civ. Eng.-Constr. Mater. 2019, 172, 37–44. [Google Scholar] [CrossRef]
- Bakharev, T. Resistance of Geopolymer Materials to Acid Attack. Cem. Concr. Res. 2005, 35, 658–670. [Google Scholar] [CrossRef]
- Lee, N.K.; Lee, H.K. Influence of the Slag Content on the Chloride and Sulfuric Acid Resistances of Alkali-Activated Fly Ash/Slag Paste. Cem. Concr. Compos. 2016, 72, 168–179. [Google Scholar] [CrossRef]
- Hager, I.; Sitarz, M.; Mróz, K. Fly-Ash Based Geopolymer Mortar for High-Temperature Application—Effect of Slag Addition. J. Clean. Prod. 2021, 316, 128168. [Google Scholar] [CrossRef]
- Davidovits, J. Geopolymer Chemistry and Applications, 5th ed.; Institute Geopolymer: Saint-Quentin, France, 2020. [Google Scholar]
- Liew, Y.M.; Heah, C.Y.; Mohd Mustafa, A.B.; Kamarudin, H. Structure and Properties of Clay-Based Geopolymer Cements: A Review. Prog. Mater. Sci. 2016, 83, 595–629. [Google Scholar] [CrossRef]
- Rashad, A.M. Alkali-Activated Metakaolin: A Short Guide for Civil Engineer—An Overview. Constr. Build. Mater. 2013, 41, 751–765. [Google Scholar] [CrossRef]
- John, S.K.; Nadir, Y.; Girija, K. Effect of Source Materials, Additives on the Mechanical Properties and Durability of Fly Ash and Fly Ash-Slag Geopolymer Mortar: A Review. Constr. Build. Mater. 2021, 280, 122443. [Google Scholar] [CrossRef]
- Amer, I.; Kohail, M.; El-Feky, M.S.; Rashad, A.; Khalaf, M.A. A Review on Alkali-Activated Slag Concrete. Ain Shams Eng. J. 2021, 12, 1475–1499. [Google Scholar] [CrossRef]
- Perná, I.; Hanzlíček, T. The Solidification of Aluminum Production Waste in Geopolymer Matrix. J. Clean. Prod. 2014, 84, 657–662. [Google Scholar] [CrossRef]
- Perná, I.; Šupová, M.; Hanzlíček, T.; Špaldoňová, A. The Synthesis and Characterization of Geopolymers Based on Metakaolin and High LOI Straw Ash. Constr. Build. Mater. 2019, 228, 116765. [Google Scholar] [CrossRef]
- Ng, C.; Johnson Alengaram, U.; Sing Wong, L.; Hung Mo, K.; Zamin Jumaat, M.; Ramesh, S. A Review on Microstructural Study and Compressive Strength of Geopolymer Mortar, Paste and Concrete. Constr. Build. Mater. 2018, 280, 550–576. [Google Scholar] [CrossRef]
- Duxson, P.; Provis, J.L.; Lukey, G.C.; Mallicoat, S.W.; Kriven, W.M.; van Deventer, J.S. Understanding the Relationship between Geopolymer Composition, Microstructure and Mechanical Properties. Physicochem. Eng. Asp. 2005, 269, 47–58. [Google Scholar] [CrossRef]
- Fu, Q.; Xu, W.; Zhao, X.; Bu, M.; Yuan, Q.; Niu, D. The Microstructure and Durability of Fly Ash-Based Geopolymer Concrete: A Review. Ceram. Int. 2021, 47, 29550–29566. [Google Scholar] [CrossRef]
- Parathi, S.; Nagarajan, P.; Pallikkara, S.A. Ecofriendly Geopolymer Concrete: A Comprehensive Review. Clean Technol. Environ. Policy 2021, 23, 1701–1713. [Google Scholar] [CrossRef]
- Bai, T.; Song, Z.; Wang, H.; Wu, Y.; Huang, W. Performance Evaluation of Metakaolin Geopolymer Modified by Different Solid Wastes. J. Clean. Prod. 2019, 226, 114–121. [Google Scholar] [CrossRef]
- Novotná, M.; Perná, I.; Hanzlíček, T. Review of Possible Fillers and Additives for Geopolymer Materials. Waste Forum 2020, 2, 78–89. [Google Scholar]
- Tian, Q.; Bai, Y.; Pan, Y.; Chen, C.; Yao, S.; Sasaki, K.; Zhang, H. Application of Geopolymer in Stabilization/Solidification of Hazardous Pollutants: A Review. Molecules 2022, 27, 4570. [Google Scholar] [CrossRef] [PubMed]
- Rasaki, S.A.; Bingxue, Z.; Guarecuco, R.; Thomas, T.; Minghui, Y. Geopolymer for Use in Heavy Metals Adsorption, and Advanced Oxidative Processes: A Critical Review. J. Clean. Prod. 2019, 213, 42–58. [Google Scholar] [CrossRef]
- Khater, H.M.; El Naggar, A. Combination between Organic Polymer and Geopolymer for Production of Eco-Friendly Metakaolin Composite. J. Aust. Ceram. Soc. 2020, 56, 599–608. [Google Scholar] [CrossRef]
- Siddika, A.; Hajimohammadi, A.; Al Mamun, M.A.; Alyousef, R.; Ferdous, W. Waste Glass in Cement and Geopolymer Concretes: A Review on Durability and Challenges. Polymers 2021, 13, 2071. [Google Scholar] [CrossRef]
- Rios, L.M.H.; Hoyos Triviño, A.F.; Villaquirán-Caicedo, M.A.; Mejía De Gutiérrez, R. Effect of the Use of Waste Glass (as Precursor, and Alkali Activator) in the Manufacture of Geopolymer Rendering Mortars and Architectural Tiles. Constr. Build. Mater. 2023, 363, 129760. [Google Scholar] [CrossRef]
- Fouad Alnahhal, M.; Kim, T.; Hajimohammadi, A. Waste-Derived Activators for Alkali-Activated Materials: A Review. Cem. Concr. Compos. 2021, 118, 103980. [Google Scholar] [CrossRef]
- Torres-Carrasco, M.; Puertas, F. Waste Glass as a Precursor in Alkaline Activation: Chemical Process and Hydration Products. Constr. Build. Mater. 2017, 139, 342–354. [Google Scholar] [CrossRef]
- Tchakouté, H.K.; Rüscher, C.H.; Kong, S.; Kamseu, E.; Leonelli, C. Geopolymer Binders from Metakaolin Using Sodium Waterglass from Waste Glass and Rice Husk Ash as Alternative Activators: A Comparative Study. Constr. Build. Mater. 2016, 114, 276–289. [Google Scholar] [CrossRef]
- Puertas, F.; Torres-Carrasco, M. Use of Glass Waste as an Activator in the Preparation of Alkali-Activated Slag. Mechanical Strength and Paste Characterisation. Cem. Concr. Res. 2013, 57, 95–104. [Google Scholar] [CrossRef]
- El-Naggar, M.R.; El-Dessouky, M.I. Re-Use of Waste Glass in Improving Properties of Metakaolin-Based Geopolymers: Mechanical and Microstructure Examinations. Constr. Build. Mater. 2016, 132, 543–555. [Google Scholar] [CrossRef]
- Hajimohammadi, A.; Ngo, T.; Kashani, A. Glass Waste versus Sand as Aggregates: The Characteristics of the Evolving Geopolymer Binders. J. Clean. Prod. 2018, 193, 593–603. [Google Scholar] [CrossRef]
- Tahwia, A.M.; Heniegal, A.M.; Abdellatief, M.; Tayeh, B.A.; Elrahman, M.A. Properties of Ultra-High Performance Geopolymer Concrete Incorporating Recycled Waste Glass. Case Stud. Constr. Mater. 2022, 17, e01393. [Google Scholar] [CrossRef]
- Chindaprasirt, P.; Lao-un, J.; Zaetang, Y.; Wongkvanklom, A.; Phoo-ngernkham, T.; Wongsa, A.; Sata, V. Thermal Insulating and Fire Resistance Performances of Geopolymer Mortar Containing Auto Glass Waste as Fine Aggregate. J. Build. Eng. 2022, 60, 105178. [Google Scholar] [CrossRef]
- Kuri, J.C.; Hosan, A.; Uddin, F.; Shaikh, A.; Biswas, W.K. The Effect of Recycled Waste Glass as a Coarse Aggregate on the Properties of Portland Cement Concrete and Geopolymer Concrete. Buildings 2023, 13, 586. [Google Scholar] [CrossRef]
- Srivastava, V.; Gautam, S.P.; Agarwal, V.C.; Mehta, P.K. Glass Wastes as Coarse Aggregate in Concrete. J. Environ. Nanotechnol. 2014, 3, 2319–5541. [Google Scholar] [CrossRef]
- Swain, B.; Ryang Park, J.; Yoon Shin, D.; Park, K.S.; Hwan Hong, M.; Gi Lee, C. Recycling of Waste Automotive Laminated Glass and Valorization of Polyvinyl Butyral through Mechanochemical Separation. Environ. Res. 2015, 142, 615–623. [Google Scholar] [CrossRef] [PubMed]
- Farzana, R.; Rajarao, R.; Sahajwalla, V. Characteristics of Waste Automotive Glasses as Silica Resource in Ferrosilicon Synthesis. Waste Manag. Res. 2015, 34, 113–121. [Google Scholar] [CrossRef]
- Farzana, R.; Rajarao, R.; Sahajwalla, V. Synthesis of Ferrosilicon Alloy Using Waste Glass and Plastic. Mater. Lett. 2014, 116, 101–103. [Google Scholar] [CrossRef]
- Farzana, R.; Sahajwalla, V. Recycling Automotive Waste Glass and Plastic—An Innovative Approach. In Proceedings of the 8th Pacific Rim International Congress on Advanced Materials and Processing 2013, PRICM 8, Waikoloa, HI, USA, 4–9 August 2013; Volume 3, pp. 2267–2276. [Google Scholar]
- Munhoz, A.H.; Faldini, S.B.; de Miranda, L.F.; Masson, T.J.; Maeda, C.Y.; Zandonadi, A.R. Recycling of Automotive Laminated Waste Glass in Ceramic. Mater. Sci. Forum 2014, 798–799, 588–593. [Google Scholar] [CrossRef]
- EN 196-1; Methods of Testing Cement–Part 1: Determination of Strength. European Committee for Standardization: Brusel, Belgium, 2016.
- Dhaliwal, A.K.; Hay, J.N. The Characterization of Polyvinyl Butyral by Thermal Analysis. Thermochim. Acta 2002, 391, 245–255. [Google Scholar] [CrossRef]
- Siddika, A.; Hajimohammadi, A.; Sahajwalla, V. Stabilisation of Pores in Glass Foam by Using a Modified Curing-Sintering Process: Sustainable Recycling of Automotive Vehicles’ Waste Glass. Resour. Conserv. Recycl. 2022, 179, 106145. [Google Scholar] [CrossRef]
- Li, X.; Zhang, Q.; Li, H.; Gao, X. A Novel Process for the Production of Triethylene Glycol Di-2-Ethylhexoate by Reactive Distillation Using a Sulfated Zirconia Catalyst. Ind. Eng. Chem. Res. 2020, 59, 9242–9253. [Google Scholar] [CrossRef]
- Andersen, K.E.; Vestergaard, M.E.; Christensen, L.P. Triethylene Glycol Bis(2-Ethylhexanoate)—A New Contact Allergen Identified in a Spectacle Frame. Contact Dermat. 2014, 70, 112–116. [Google Scholar] [CrossRef]
- Torres-Carrasco, M.; Palomo, J.G.; Puertas, F. Sodium Silicate Solutions from Dissolution of Glasswastes. Statistical Analysis. Mater. Constr. 2014, 64, e014. [Google Scholar] [CrossRef]
- ElBatal, H.A.; Hassaan, M.Y.; Fanny, M.A.; Ibrahim, M.M. Optical and FT Infrared Absorption Spectra of Soda Lime Silicate Glasses Containing Nano Fe2O3 and Effects of Gamma Irradiation. Silicon 2017, 9, 511–517. [Google Scholar] [CrossRef]
- Sitarz, M.; Mozgawa, W.; Handke, M. Vibrational Spectra of Complex Ring Silicate Anions-Method of Recognition. J. Mol. Struct. 1997, 404, 193–197. [Google Scholar] [CrossRef]
- Rees, C.A.; Provis, J.L.; Lukey, G.C.; Van Deventer, J.S.J. Attenuated Total Reflectance Fourier Transform Infrared Analysis of Fly Ash Geopolymer Gel Aging. Langmuir 2007, 23, 8170–8179. [Google Scholar] [CrossRef] [PubMed]
- Kouamo Tchakouté, H.; Henning Rüscher, C.; Hinsch, M.; Noël, J.; Djobo, Y.; Kamseu, E.; Leonelli, C. Utilization of Sodium Waterglass from Sugar Cane Bagasse Ash as a New Alternative Hardener for Producing Metakaolin-Based Geopolymer Cement. Geochemistry 2017, 77, 257–266. [Google Scholar] [CrossRef]
- Zheng, J.; Li, X.; Bai, C.; Zheng, K.; Wang, X.; Sun, G.; Zheng, T.; Zhang, X.; Colombo, P. Rapid Fabrication of Porous Metakaolin-Based Geopolymer via Microwave Foaming. Appl. Clay Sci. 2024, 249, 107238. [Google Scholar] [CrossRef]
- Perná, I.; Šupová, M.; Hanzlíček, T. The Characterization of the Ca-K Geopolymer/Solidified Fluid Fly-Ash Interlayer. Ceram.-Silik. 2017, 61, 26–33. [Google Scholar] [CrossRef][Green Version]
- Perná, I.; Hanzlícek, T.; Žaloudková, M. Microscopic Study of the Concrete/Geopolymer Coating Interface. Ceram.-Silik. 2020, 64, 68–74. [Google Scholar] [CrossRef]
- Perná, I.; Hanzlíček, T. The Setting Time of a Clay-Slag Geopolymer Matrix: The Influence of Blast-Furnace-Slag Addition and the Mixing Method. J. Clean. Prod. 2016, 112, 1150–1155. [Google Scholar] [CrossRef]
- Reeb, C.; Pierlot, C.; Davy, C.; Lambertin, D. Incorporation of Organic Liquids into Geopolymer Materials—A Review of Processing, Properties and Applications. Ceram. Int. 2021, 47, 7369–7385. [Google Scholar] [CrossRef]
- Balazs, D.J.; Triandafillu, K.; Wood, P.; Chevolot, Y.; Van Delden, C.; Harms, H.; Hollenstein, C.; Mathieu, H.J. Inhibition of Bacterial Adhesion on PVC Endotracheal Tubes by RF-Oxygen Glow Discharge, Sodium Hydroxide and Silver Nitrate Treatments. Biomaterials 2004, 25, 2139–2151. [Google Scholar] [CrossRef]
- Toniolo, N.; Boccaccini, A.R. Fly Ash-Based Geopolymers Containing Added Silicate Waste. A Review. Ceram. Int. 2017, 43, 14545–14551. [Google Scholar] [CrossRef]










| Oxides | SiO2 | Al2O3 | MgO | CaO | K2O | Fe2O3 | LOI | Residues |
|---|---|---|---|---|---|---|---|---|
| L05 | 50.28 | 41.99 | <0.02 | 0.14 | 0.9 | 1.03 | 3.65 | 2.01 |
| Particle Size | 2 | 5 | 8 | 10 | 15 | 25 | d10 | d50 | d90 |
|---|---|---|---|---|---|---|---|---|---|
| [µm] | [µm] | ||||||||
| L05 | 27.03 | 57.98 | 77.70 | 88.49 | 99.14 | 100.00 | 1.00 | 3.94 | 10.43 |
| Fraction (mm) | AGW1 (wt.%) | AGW2 (wt.%) |
|---|---|---|
| >5 | 1.85 | 4.37 |
| 2–5 | 31.15 | 34.87 |
| 1.25–2 | 18.76 | 16.20 |
| 0.8–1.25 | 8.56 | 9.82 |
| 0.63–0.8 | 6.19 | 5.97 |
| 0.4–0.63 | 9.21 | 8.52 |
| 0.25–0.4 | 7.48 | 8.27 |
| 0.16–0.25 | 5.37 | 4.27 |
| 0.063–0.16 | 7.45 | 5.41 |
| <0.063 | 3.97 | 2.28 |
| Sum | 99.99 | 99.98 |
| Oxides | Na2O | MgO | Al2O3 | SiO2 | SO3 | K2O | CaO | Cr2O3 | Fe2O3 | Bi | LOI | Residues |
|---|---|---|---|---|---|---|---|---|---|---|---|---|
| AGW1 | 10.21 | 3.14 | 0.30 | 71.28 | 0.32 | 0.12 | 13.15 | 0.06 | 1.24 | 0.0008 | 0.02 | 0.19 |
| AGW2 | 10.74 | 4.12 | 0.50 | 69.57 | 0.26 | 0.47 | 13.52 | 0.15 | 0.18 | 0.22 | 0.14 | 0.13 |
| Fraction | AGW1 (ng·kg−1) | AGW2 (ng·kg−1) |
|---|---|---|
| 0.16–0.25 mm | 12.7 ± 0.2 | 24.6 ± 1.2 |
| 0.4–0.63 mm | 8.5 ± 0.5 | 3.6 ± 0.3 |
| 1.25–2 mm | 11.3 ± 0.8 | 13.7 ± 0.5 |
| 2–5 mm | 13.3 ± 0.8 | 0.2 ± 0.1 |
| Oxides | Na2O | MgO | Al2O3 | SiO2 | K2O | CaO | Fe2O3 | Bi | LOI | Residues |
|---|---|---|---|---|---|---|---|---|---|---|
| AGW1-G | 2.04 | 0.53 | 19.88 | 51.53 | 11.73 | 3.71 | 0.96 | 0.02 | 8.37 | 1.23 |
| AGW2-G | 1.84 | 0.65 | 20.68 | 50.83 | 12.28 | 3.47 | 0.76 | 0.04 | 8.17 | 1.28 |
| Fraction | AGW1-G (ng·kg−1) | AGW2-G (ng·kg−1) |
|---|---|---|
| 0.16–0.25 mm | 3.1 ± 0.1 | 6.4 ± 0.2 |
| 0.4–0.63 mm | 0.7 ± 0.1 | 0.6 ± 0.2 |
| 1.25–2 mm | 1.9 ± 0.1 | 2.5 ± 0.4 |
| 2–5 mm | 4.1 ± 0.2 | 0.0 ± 0.1 |
Disclaimer/Publisher’s Note: The statements, opinions and data contained in all publications are solely those of the individual author(s) and contributor(s) and not of MDPI and/or the editor(s). MDPI and/or the editor(s) disclaim responsibility for any injury to people or property resulting from any ideas, methods, instructions or products referred to in the content. |
© 2024 by the authors. Licensee MDPI, Basel, Switzerland. This article is an open access article distributed under the terms and conditions of the Creative Commons Attribution (CC BY) license (https://creativecommons.org/licenses/by/4.0/).
Share and Cite
Perná, I.; Havelcová, M.; Šupová, M.; Žaloudková, M.; Bičáková, O. The Synthesis and Characterization of Geopolymers Based on Metakaolin and on Automotive Glass Waste. Appl. Sci. 2024, 14, 3439. https://doi.org/10.3390/app14083439
Perná I, Havelcová M, Šupová M, Žaloudková M, Bičáková O. The Synthesis and Characterization of Geopolymers Based on Metakaolin and on Automotive Glass Waste. Applied Sciences. 2024; 14(8):3439. https://doi.org/10.3390/app14083439
Chicago/Turabian StylePerná, Ivana, Martina Havelcová, Monika Šupová, Margit Žaloudková, and Olga Bičáková. 2024. "The Synthesis and Characterization of Geopolymers Based on Metakaolin and on Automotive Glass Waste" Applied Sciences 14, no. 8: 3439. https://doi.org/10.3390/app14083439
APA StylePerná, I., Havelcová, M., Šupová, M., Žaloudková, M., & Bičáková, O. (2024). The Synthesis and Characterization of Geopolymers Based on Metakaolin and on Automotive Glass Waste. Applied Sciences, 14(8), 3439. https://doi.org/10.3390/app14083439

