Research on the Correlation of Safety Risk of Railway Bridge Construction Based on Meta-Analysis
Abstract
1. Introduction
2. Literature Review
3. Construction of Meta-Analysis Model
3.1. Search Strategy
3.2. Inclusion Criteria
3.3. Identification Profile
- Diverse classification angles: Unlike primary security risk factors, which are generally classified based on the source of the risk, secondary security risk factors offer a more detailed and refined perspective. They are not solely categorized based on the source of the risk factors; instead, risks can be classified as functional, non-functional, or compliance-related, depending on the construction process or the nature of the risks.
- Specific features: Secondary security risk factors encompass a broader range of specific risk factors. This precise characterization enables a more accurate description and definition of risks, facilitates the identification and assessment of their potential impacts, and even allows for the quantification of the probability of occurrence and the consequences of these risk factors.
- Operational risk prevention and control: The specific and clear characteristics of secondary security risk factors facilitate the identification of potential risk points. This, in turn, enables the tailoring of risk management control objectives and monitoring indicators. It also allows for the monitoring and evaluation of the implementation of risk control measures, providing valuable lessons learned and feedback. This mechanism supports continuous improvement and learning in risk control practices.
4. Results
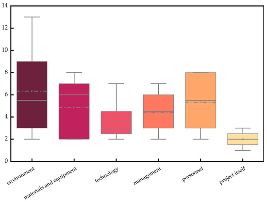
4.1. Frequency-Based Risk Grouping
4.1.1. Environment Risks
4.1.2. Materials and Equipment Risks
4.1.3. Technology Risks
4.1.4. Management Risks
4.1.5. Personnel Risks
4.1.6. Project Itself Risks
4.2. Visualization of Risk Correlations
4.3. Robustness Test
4.4. Innovative Suggestions for Risk Management Paths
4.4.1. Technology-Management Enabling Pathways
4.4.2. Strengthening Human Factors
4.4.3. Introduction of Cross-Sectoral Cooperation and Synergy Mechanisms
4.4.4. Establishment of Flexible Monitoring Feedback Mechanisms
4.4.5. Innovation Path of Targeted Management
5. Conclusions
Author Contributions
Funding
Institutional Review Board Statement
Informed Consent Statement
Data Availability Statement
Conflicts of Interest
Appendix A. Research Literature Risk Identification Basic Information Table
| Number | Author | Title | Year of Publication | Identify Risks | Number of Primary Risk Factors |
| 1 | Song Gang [11] | Study on the Construction Control and Risk Assessment of T-Shaped Rigid Frame Bridge under Level Rotation | 2011 | construction technology, construction management risk; material, equipment risk; natural disaster; personnel, design risk; other risks | 7 |
| 2 | Guo Dongchen [12] | Studies of the Steel-Concrete Composite Continuous Beam Bridge Risk Assessment on Construction Phase | 2012 | construction scale; geological conditions; climate environment; landform; bridge location characteristics; construction technology maturity | 3 |
| 3 | Xu Zhishun [13] | Research on Risk Management of Gui-Guang High-Speed Railway During Construction Stage | 2013 | politics, technology, progress, quality, nature, management | 5 |
| 4 | Du Juan [14] | Research on Construction Risk of Railway Bridge in Collapsible Loess Area | 2013 | technology; management; environment; political, legal and other risks; economy (not related to security) | 4 |
| 5 | Ma Xiaotong [15] | Research on the Model of HSE Assessment of High-speed Railway Bridge Construction | 2015 | operators, equipment, working environment, management | 4 |
| 6 | Chen Chengjun [16] | Controlthe Risk Management and of Construction Project in XP | 2016 | safety uncertainty caused by technology, construction, and equipment | 2 |
| 7 | Lu Xiaonan [17] | Study on Construction Risk assessment of Newly-Built Railway under Bridges With Existing Highspeed Railways | 2018 | natural environment; construction technology; material and equipment; organization and management | 4 |
| 8 | Liu Yibao [18] | Research on Dynamic Risk Assessment System of the Construction Period in Bridge Engineering Based on BIM Technology | 2019 | cast-in-place pile, cap, pier cap, cantilever cast-in-place prestressed concrete, precast slab and beam erection | 2 |
| 9 | Li Yanhe [19] | Construction risk quantification and evaluation based on fuzzy theory | 2019 | construction organizational risk, human material and equipment risk, construction environmental risk, construction technical risk and special risk | 5 |
| 10 | Wang Feiqiu et al. [20] | Risk assessment of construction safety of high-speed railway bridge across existing lines based on bp neural network | 2019 | material and equipment risk; construction management risk personnel risk; environmental risk; construction technology risk; | 5 |
| 11 | Liu Xiaobing [21] | Study on Safety Risk Management in Construction of A Railway Project close to the Operating Line | 2019 | roadbed damaged, track damaged, signal equipment damaged, power system damaged, personnel into the line of business, mechanical set each trespass limit, falling objects, remnants trespass limit | 3 |
| 12 | Zhang Guoxi [22] | Study on Construction Safety Risk of Bridges Spanning Existing Railway Lines Based on Cloud Theory | 2019 | people, equipment, materials, construction environment, organization, and management | 4 |
| 13 | Zhang Jin, Xu Junxiang [23] | Safety Risk Assessment of Bridge and Tunnel Construction on Sichuan-Tibet Railway | 2020 | construction environment, construction personnel, materials and equipment, safety management | 4 |
| 14 | Yuan Guangjie [24] | Risk Analysis and Countermeasure Studyon Construction Process of Super High PierT Frame Bridge under Complicated Environment | 2020 | environmental risk factors; structure risk factors; material risk factors; design risk factors; construction technology risk factors; monitoring risk factors; management risk factors | 6 |
| 15 | Song Xianchang [25] | The Research on Security Risk Management of Bridge Construction Project of Lunan Railway | 2020 | environmental conditions; construction technology; materials and equipment; organization and management | 4 |
| 16 | Cao Genghao [26] | Study on Construction Risk Control of Fangjiamiao Double Track Grand Bridge of Zhengzhou-Wanzhou High-Speed Railway | 2021 | political policy risk; financial risk; natural condition risk; construction process risk; staff risk | 4 |
| 17 | Ji Feng [27] | Study on Construction Risk Assessment of Highway Railway Suspension Bridge | 2021 | north anchor caisson; south anchor extended foundation; pile foundation and cap structure; north–south anchor; main/sling saddle; catwalk; main cable; main beam | 1 |
| 18 | Li Haowen, Bao Xueying [28] | Risk assessment of Sichuan-Tibet railway bridge construction based on dynamic weight—2-D cloud model | 2021 | bridge risk; natural and geological risk; material and equipment risk; construction personnel risk; construction technology risk | 5 |
| 19 | Xu Xianghui [29] | Research on Construction Risk Assessment and Control of Steel Box Girder Bridges Based on Hydraulic-walking Incremental Launching Technology | 2021 | design, construction environment, construction process risk, construction equipment risk, personnel risk, material risk | 5 |
| 20 | Huang Jixiang et al. [30] | Safety Risk Analysis of Railway Bridge Construction in Plateau Area | 2021 | personnel quality; mechanical equipment and construction materials; management; environment | 4 |
| 21 | Liu Peng [31] | Research on Safety Risk Management and Control of Deep Foundation Pit Construction Adjacent to Existing High-Speed Railway Bridges | 2022 | excavation depth of foundation pit, hydrogeological condition, construction scheme, construction technology level and condition, construction management level, distance between bridge and foundation pit, foundation depth, bridge structure status quo, pile-soil relative stiffness, superstructure form | 4 |
References
- Stewart, M.G. Reliability-Based Assessment of Ageing Bridges Using Risk Ranking and Life Cycle Cost Decision Analyses. Reliab. Eng. Syst. Saf. 2001, 74, 263–273. [Google Scholar] [CrossRef]
- He, Q.; Luo, L.; Hu, Y.; Chan, A.P.C. Measuring the Complexity of Mega Construction Projects in China—A Fuzzy Analytic Network Process Analysis. Int. J. Proj. Manag. 2015, 33, 549–563. [Google Scholar] [CrossRef]
- Lee, Y.-J.; Kim, R.; Suh, W.; Park, K. Probabilistic Fatigue Life Updating for Railway Bridges Based on Local Inspection and Repair. Sensors 2017, 17, 936. [Google Scholar] [CrossRef]
- Arbuthnott, A.; Eriksson, J.; Wincent, J. When a New Industry Meets Traditional and Declining Ones: An Integrative Approach towards Dialectics and Social Movement Theory in a Model of Regional Industry Emergence Processes. Scand. J. Manag. 2010, 26, 290–308. [Google Scholar] [CrossRef]
- Marvier, M. Using Meta-Analysis to Inform Risk Assessment and Risk Management. J. Verbr. Lebensm. 2011, 6 (Suppl. S1), 113–118. [Google Scholar] [CrossRef]
- Messori, A.; Maratea, D.; Fadda, V.; Trippoli, S. Using Risk Difference as Opposed to Odds-Ratio in Meta-Analysis. Int. J. Cardiol. 2013, 164, 127. [Google Scholar] [CrossRef] [PubMed]
- Marchetti, D.; Wanke, P.F. Efficiency in Rail Transport: Evaluation of the Main Drivers through Meta-Analysis with Resampling. Transp. Res. Part A Policy Pract. 2019, 120, 83–100. [Google Scholar] [CrossRef]
- Noar, S.M.; Rohde, J.A.; Barker, J.O.; Hall, M.G.; Brewer, N.T. Pictorial Cigarette Pack Warnings Increase Some Risk Appraisals But Not Risk Beliefs: A Meta-Analysis. Hum. Commun. Res. 2020, 46, 250–272. [Google Scholar] [CrossRef]
- Cong, H.; Zou, D.; Wu, F. Influence Mechanism of Multi-Network Embeddedness to Enterprises Innovation Performance Based on Knowledge Management Perspective. Clust. Comput. 2017, 20, 93–108. [Google Scholar] [CrossRef]
- Siontis, K.C.; Hernandez-Boussard, T.; Ioannidis, J.P.A. Overlapping Meta-Analyses on the Same Topic: Survey of Published Studies. BMJ 2013, 347, f4501. [Google Scholar] [CrossRef] [PubMed]
- Song, L. Study on the Construction Control and Risk Assessment of T-Shaped Rigid Frame Bridge under Level Rotation. Master’s Thesis, Chang’an University, Xi’an, China, 2011. [Google Scholar]
- Guo, D. Studies of the Steel-Concrete Composite Continuous Beam Bridge Risk Assessment on Construction Phase. Master’s Thesis, Beijing Jiaotong University, Beijing, China, 2012. [Google Scholar]
- Xu, Z.S. Research on Risk Management of Gui-Guang High-Speed Railway during Construction Stage. Master’s Thesis, Lanzhou Jiaotong University, Lanzhou, China, 2013. [Google Scholar]
- Du, J. Research on Construction Risk of Railway Bridge in Collapsible Loess Area. Master’s Thesis, Lanzhou Jiaotong University, Lanzhou, China, 2013. [Google Scholar]
- Ma, X.T. Research on the Model of HSE Assessment of High-Speed Railway Bridge Construction. Master’s Thesis, Lanzhou Jiaotong University, Lanzhou, China, 2015. [Google Scholar]
- Chen, C.J. Control the Risk Management and of Construction Project in XP. Master’s Thesis, Southwest Jiaotong University, Chengdu, China, 2016. [Google Scholar]
- Lv, X.N. Study on Construction Risk Assessment of Newly-Built Railway under Bridges with Existing Highspeed Railways. Master’s Thesis, Southwest Jiaotong University, Chengdu, China, 2018. [Google Scholar]
- Liu, Y.B. Research on Dynamic Risk Assessment System of the Construction Period in Bridge Engineering Based on BIM Technology. Master’s Thesis, Fuzhou University, Fuzhou, China, 2019. [Google Scholar]
- Li, Y.H. Construction risk quantification and evaluation based on fuzzy theory. Value Eng. 2019, 38, 36–38. [Google Scholar]
- Wang, F.Q.; Huang, J.L.; Fu, J.; Yan, Y.B.; Chen, H.H. Risk assessment of construction safety of high-speed railway bridge across existing lines based on bp neural network. J. Railw. Sci. Eng. 2019, 16, 1129–1136. [Google Scholar] [CrossRef]
- Liu, X.B. Study on Safety Risk Management in Construction of A Railway Project close to the Operating Line. Master’s Thesis, Beijing Jiaotong University, Beijing, China, 2019. [Google Scholar]
- Zhang, G.X. Study on Construction Safety Risk of Bridges Spanning Existing Railway Lines Based on Cloud Theory. Sci. Technol. Innov. 2019, 24, 90–91. [Google Scholar]
- Zhang, J.; Xu, J.X. Safety Risk Assessment of Bridge and Tunnel Construction on Sichuan-Tibet Railway. J. Saf. Environ. 2020. [Google Scholar]
- Yuan, G.J. Risk Analysis and Countermeasure Study on Construction Process of Super High PierT Frame Bridge under Complicated Environment. Master’s Thesis, Chongqing Jiaotong University, Chongqing, China, 2020. [Google Scholar]
- Song, X.C. The Research on Security Risk Management of Bridge Construction Project of Lunan Railway. Master’s Thesis, Southwest Jiaotong University, Chengdu, China, 2020. [Google Scholar]
- Cao, G.H. Study on Construction Risk Control of Fangjiamiao Double Track Grand Bridge of Zhengzhou-Wanzhou High-speed Railway. Master’s Thesis, Changsha University of Science & Technology, Changsha, China, 2021. [Google Scholar]
- Ji, F. Study on Construction Risk Assessment of Highway Railway Suspension Bridge. Master’s Thesis, Southwest Jiaotong University, Chengdu, China, 2021. [Google Scholar]
- Li, H.W.; Bao, X.Y. Risk assessment of Sichuan-Tibet railway bridge construction based on dynamic weight-2-D cloud model. J. Railw. Sci. Eng. 2021, 18, 1650–1660. [Google Scholar]
- Song, X.C. Research on Construction Risk Assessment and Control of Steel Box Girder Bridges Based on Hydraulic-walking Incremental Launching Technology. Master’s Thesis, Southeast University, Nanjing, China, 2021. [Google Scholar]
- Huang, J.X.; Kong, E.L.; Liu, Z.Q.; Wang, G.; Kong, J.D. Safety Risk Analysis of Railway Bridge Construction in Plateau Area. Jiangxi Build. Mater. 2021, 12, 68–72. [Google Scholar]
- Liu, P. Research on Safety Risk Management and Control of Deep Foundation Pit Construction Adjacent to Existing High-Speed Railway Bridges. Master’s Thesis, Chongqing Jiaotong University, Chongqing, China, 2022. [Google Scholar]





| Primary Safety Risk Factors | Code | Frequency | Effective Frequency |
|---|---|---|---|
| environment | E | 17 | 15 |
| materials and equipment | ME | 14 | 11 |
| technology | T | 14 | 10 |
| management | M | 13 | 11 |
| personnel | P | 10 | 9 |
| project itself | PI | 6 | 5 |
| design | D | 3 | 2 |
| politics | PO | 3 | 3 |
| other | O | 2 | 1 |
| sub-projects | S | 2 | 2 |
| Primary Safety Risk Factors | Secondary Safety Risk Factors | Code | Description | Frequency |
|---|---|---|---|---|
| Environment Risks | Climatic conditions | E1 | Strong winds, heavy rain, etc. | 13 |
| Hydrogeology | E2 | Ground water, stress, etc. | 9 | |
| Natural disaster | E3 | Earthquake, landslide, etc. | 6 | |
| Operating environment | E4 | Room temperature, etc. | 5 | |
| Topography | E5 | Mountain, plain, etc. | 3 | |
| Corporate social soft environment | E6 | Corporate HSE culture, etc. | 2 | |
| Materials and Equipment Risks | Material mass | ME1 | Incoming inspection; material characteristics, etc. | 8 |
| Maintenance | ME2 | Level of maintenance, timeliness, etc. | 7 | |
| Safety protection | ME3 | Personal protective measures, early warning information, etc. | 6 | |
| The use of materials | ME4 | Material transportation, material storage, etc. | 6 | |
| Equipment quality | ME5 | Equipment specification, quality inspection level, etc. | 3 | |
| Personnel experience level | ME6 | Operation compliance, equipment adaptability, etc. | 2 | |
| Invasion limit | ME7 | Invasion of falling objects, remnants, etc. | 2 | |
| Technology Risks | Scheme design | T1 | Special construction scheme design, safety scheme design, etc. | 7 |
| Technological maturity | T2 | New technology, new process maturity, etc. | 5 | |
| Technical applicability | T3 | 4 | ||
| Construction organization design | T4 | Rationality, applicability, etc. | 3 | |
| Personnel experience level | T5 | Personnel operations, personnel awareness, etc. | 3 | |
| Material and equipment | T6 | Project compatibility, limit violation, etc. | 3 | |
| Construction difficulty | T7 | The length and span of a bridge | 2 | |
| Technical disclosure integrity | T8 | 2 | ||
| Management Risks | Monitoring | M1 | 7 | |
| Institutional soundness | M2 | 6 | ||
| Construction organization design | M3 | Rationality, applicability, etc. | 6 | |
| Responsibility for implementing | M4 | Job Arrangement, division of labor, etc. | 5 | |
| Communication and cooperation | M5 | Information feedback, trouble shooting, etc. | 5 | |
| Site layout | M6 | 4 | ||
| Personnel experience Level | M7 | 3 | ||
| Design | M8 | Special construction scheme design, safety scheme design, etc. | 3 | |
| Work safety education | M9 | Training, assessment, etc. | 3 | |
| Technical disclosure integrity | M10 | 2 | ||
| Personnel Risks | Personnel experience level | P1 | Operator | 8 |
| Compliance operation | P2 | 8 | ||
| Safety training | P3 | Safety awareness, reasonable protection, etc. | 7 | |
| Work attitude | P4 | 4 | ||
| Design management level | P5 | Other participants | 3 | |
| Staffing | P6 | Division of Labor, implementation of responsibilities, etc. | 2 | |
| Project Itself Risks | Bridge position characteristic | PI1 | Traffic grade, overpass, etc. | 3 |
| Structure complexity | PI2 | Structure selection, etc. | 2 | |
| Project requirements | PI3 | Time Limit, quality, environmental protection, etc. | 2 | |
| New technology and new process application | PI4 | Strong winds, heavy rain, etc. | 1 |
| Primary Safety Risk Factors | Effective Value | Effective Value Interval after Excluding Single Study | Fluctuation Range |
|---|---|---|---|
| environment | 1.7473 | [1.6570,1.8983] | [−0.0903, 0.1510] |
| materials and equipment | 0.8844 | [0.7448, 1.0327] | [−0.1397, 0.1483] |
| technology | 0.6687 | [0.5221, 0.8238] | [−0.1467, 0.1551] |
| management | 0.8844 | [0.7816, 1.0655] | [−0.1028, 0.1810] |
| personnel | 0.4530 | [0.2758, 0.6160] | [−0.1772, 0.1630] |
| project itself | −0.4099 | [−0.5695, −0.3208] | [−0.1597, 0.0890] |
| design | −1.0570 | [−1.2092, −0.9878] | [−0.1522, 0.0692] |
| politics | −0.8413 | [−1.0100, −0.7529] | [−0.1687, 0.0884] |
| other | −1.2727 | [−1.4667, −1.2092] | [−0.1940, 0.0635] |
| sub-projects | −1.0570 | [−1.2095, −0.9811] | [−0.1525, 0.0759] |
Disclaimer/Publisher’s Note: The statements, opinions and data contained in all publications are solely those of the individual author(s) and contributor(s) and not of MDPI and/or the editor(s). MDPI and/or the editor(s) disclaim responsibility for any injury to people or property resulting from any ideas, methods, instructions or products referred to in the content. |
© 2024 by the authors. Licensee MDPI, Basel, Switzerland. This article is an open access article distributed under the terms and conditions of the Creative Commons Attribution (CC BY) license (https://creativecommons.org/licenses/by/4.0/).
Share and Cite
Shan, Z.; Liang, Y.; Yu, Z.; Chen, H. Research on the Correlation of Safety Risk of Railway Bridge Construction Based on Meta-Analysis. Appl. Sci. 2024, 14, 3155. https://doi.org/10.3390/app14083155
Shan Z, Liang Y, Yu Z, Chen H. Research on the Correlation of Safety Risk of Railway Bridge Construction Based on Meta-Analysis. Applied Sciences. 2024; 14(8):3155. https://doi.org/10.3390/app14083155
Chicago/Turabian StyleShan, Zhi, Yuling Liang, Zhiwu Yu, and Huihua Chen. 2024. "Research on the Correlation of Safety Risk of Railway Bridge Construction Based on Meta-Analysis" Applied Sciences 14, no. 8: 3155. https://doi.org/10.3390/app14083155
APA StyleShan, Z., Liang, Y., Yu, Z., & Chen, H. (2024). Research on the Correlation of Safety Risk of Railway Bridge Construction Based on Meta-Analysis. Applied Sciences, 14(8), 3155. https://doi.org/10.3390/app14083155

