Acoustic Emission Monitoring in Prestressed Concrete: A Comparative Study of Signal Attenuation from Wire Breaks and Rebound Hammer Impulses
Abstract
1. Introduction
- the characteristics and intensity of the source signal;
- the material- or structure-specific attenuation;
- the intensity of the background noise to define the detection threshold.
2. Acoustic Emission and Attenuation of Elastic Waves in Concrete Constructions
3. Materials and Methods
3.1. Experiments on Bridge Girders under Laboratory Conditions
- Girders of a box girder bridge near Roding:The bridge was built in 1965 near the city of Roding. Two web segments, each with a length of 7 m, were obtained; see Figure 2a. The girders examined contained 21 tendons, each with 42 wires.
- Typified prefabricated post-tensioned girders (BT500) of a bridge near Stolpe:The bridge near Stolpe supported an agricultural road over the A24 motorway and was constructed in 1981 from prefabricated elements of the BT500 series with BSG-50 tendons made in the former GDR; see Figure 2b. The lengths of the girders were uniformly 11 m. Each tendon contained 16 wires. The oval prestressing wires are known to be very susceptible to stress corrosion cracking.
- Prefabricated, prestressed girders from a bridge near Witzenhausen:The third pair of girders was obtained during the dismantling of a side road over a railway track; see Figure 2c. The prefabricated elements were produced in 1962, each with a length of 9 m. Each girder contained 12 ribbed, oval wires. Compared to the specimens from the other bridges, the girders of the Witzenhausen bridge were less massive, with a profiled cross-section.
3.2. Measurements on Bridges In Situ
- Stennert Bridge, Hagen:The Stennert Bridge in Hagen-Hohenlimburg crosses the federal road B7 over the Lenne River and has a total length of 102.70 m. The load is supported by three hollow boxes connected through the roadway slab. The bridge was constructed in 1959, and the prestressing steel used is classified as particularly susceptible to stress corrosion cracking. Despite its age the structure is generally in good condition, free from cracks, and suitable for targeted monitoring. In 2018, an AEM system was installed, with sensors placed laterally on the 50 cm thick webs.
- Werra Bridge, Walldorf:The Werra Bridge was built in the 1980s as a three-span, prestressed concrete structure with a total length of 64.90 m along state road L2624. The structure exhibits damage in various areas in the form of cracking, caused by an alkali–silica reaction (ASR) leading to expansive mineral formation. Material investigations revealed that the superstructure was constructed using prestressing steel susceptible to stress corrosion cracking. To ensure the ongoing operation of the structure, an AEM system was installed in 2021. Additionally, regular visual inspections are conducted.
- South Ring Bridge, Leer:This bridge carries a local road over the railway line Rheine–Emden (track 2831). The superstructure was constructed in 1969 as a single-span beam with a span of 31.70 m. The cross-section is a four-web T-beam with a construction height of approximately 1.45 m. The four main girders of the superstructure are prestressed longitudinally. Due to material-specific issues with the prestressing steel and structural shortcomings, the structure was equipped with a monitoring system in 2020.
- High Bridge, Wismar:The High Bridge, part of federal road B105, was constructed in 1970 as a multi-span reinforced concrete slab bridge with hollow bodies. The bridge consists of 15 spans with lengths of 22.0 m and 28.0 m (total length 396.0 m). It was prestressed using BSG 25 and BSG 100 tendons made of Hennigsdorfer prestressing steel, which is known to be susceptible to stress corrosion cracking. Static deficits were only identified in two fields, which have been monitored since 2023.
- Ruhrwald Bridge, Dortmund:The Ruhrwald Bridge crosses federal road B54 over a double-track railway line in the city of Dortmund. The structure consists of several substructures of different construction years and types. The substructure examined was built in 1957 using post-tensioned, prefabricated concrete elements, which were connected to form a slab with a reinforced concrete topping in situ. The span and width are 9.15 m and 19.45 m, respectively. The prestressing steel used is classified as susceptible to stress corrosion cracking. Computational analysis revealed deficiencies, leading to the installation of an AEM system in 2022.
- BT500 Bridge, Coswig:The bridge carries a state road near an urban area over a railway track and was constructed in 1985 as a prefabricated bridge. It consists of two spans, each of 11.27 m. The superstructure contains 8 post-tensioned prefabricated beams of type BT500N, supplemented with cast-in-place concrete to form a slab. The beam elements were made with Hennigsdorfer prestressing steel. Corrosion pits were found on the steel during material investigations, attributed to stress corrosion cracking. Structural deficits prompted an ORM to assess the applicability of an AEM system on the bridge.
3.3. Data Processing
4. Results
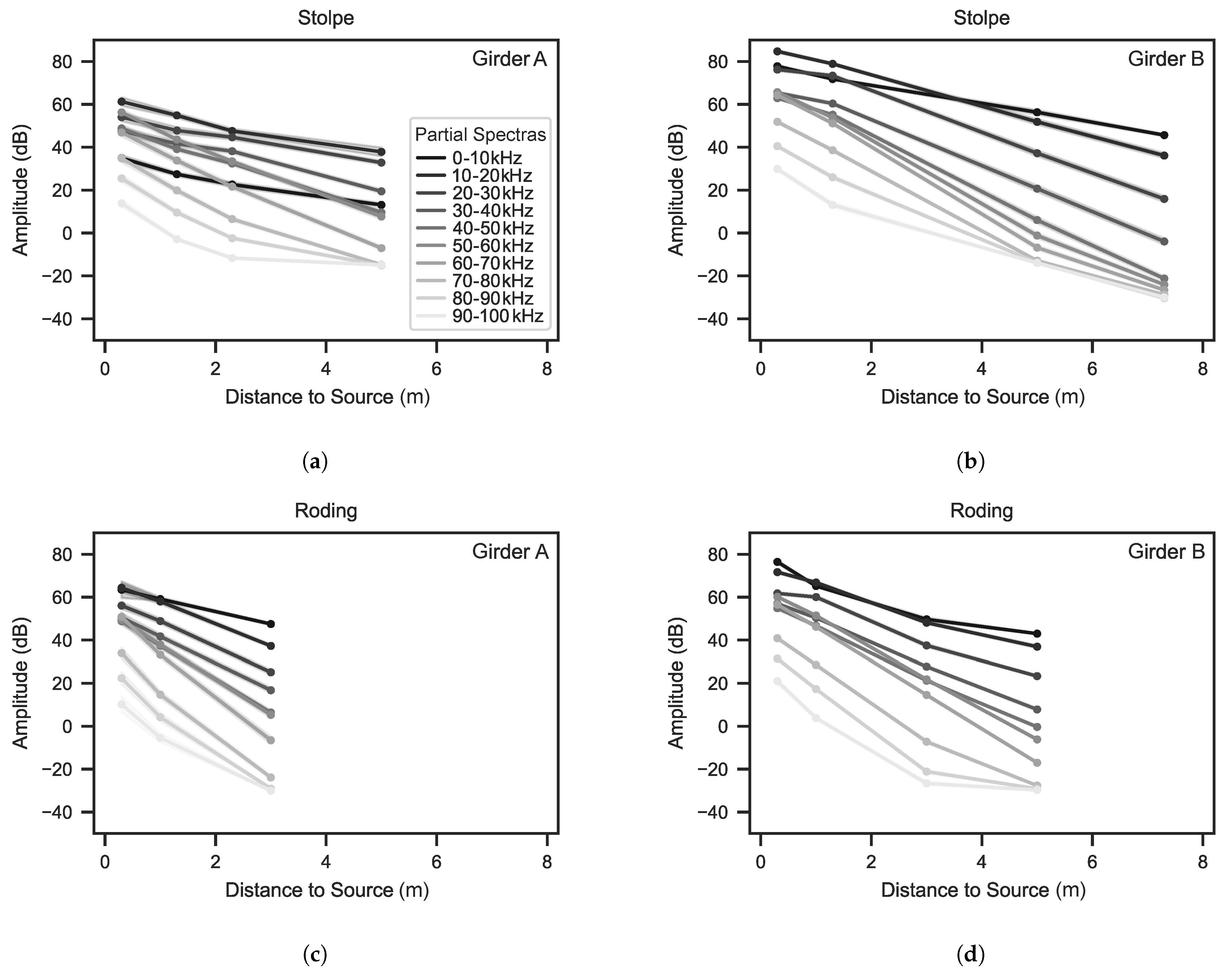
4.1. Wire Breaks on Girders
4.2. Rebound Hammer Impacts on Girders
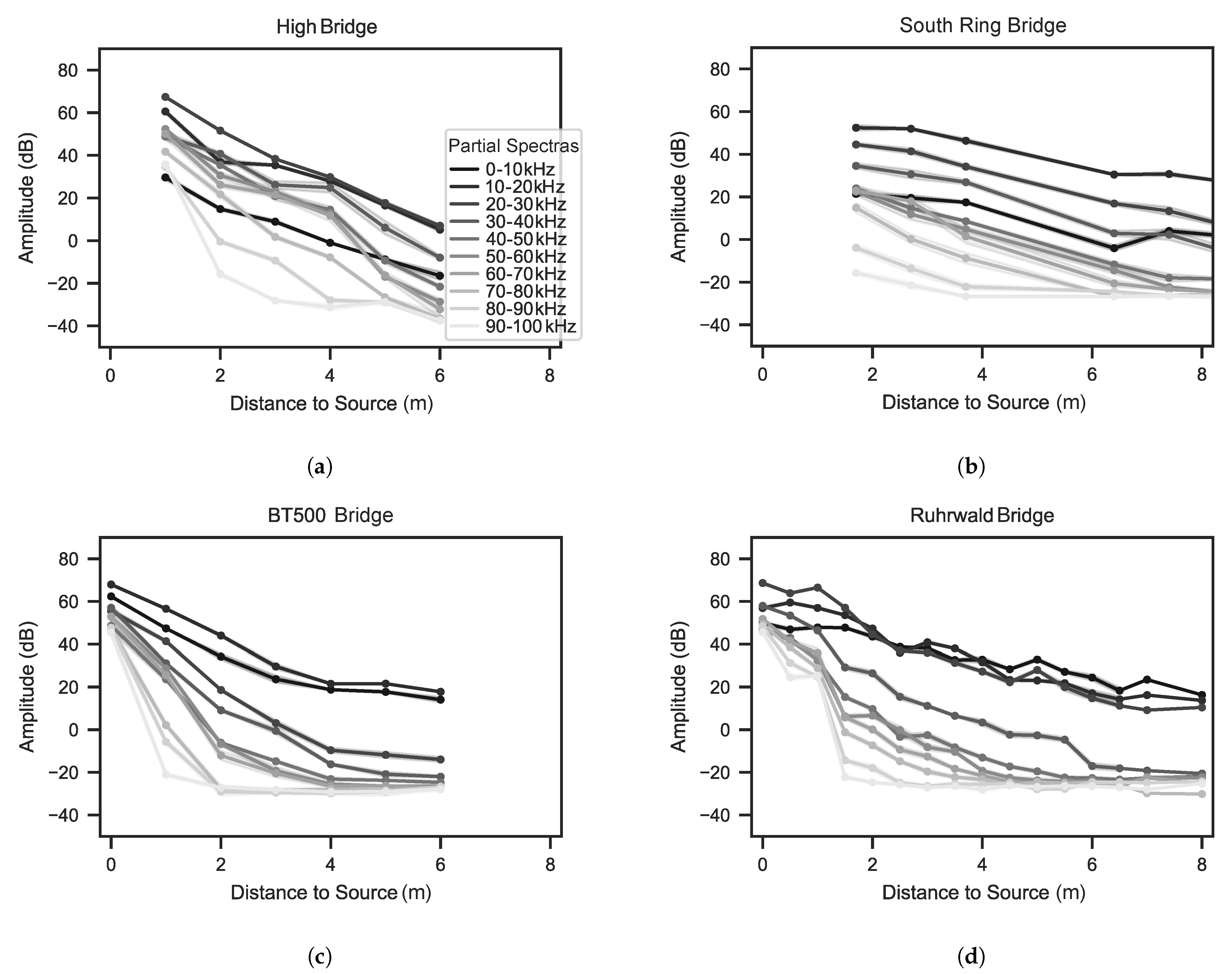
4.3. Rebound Hammer Impacts on Bridges
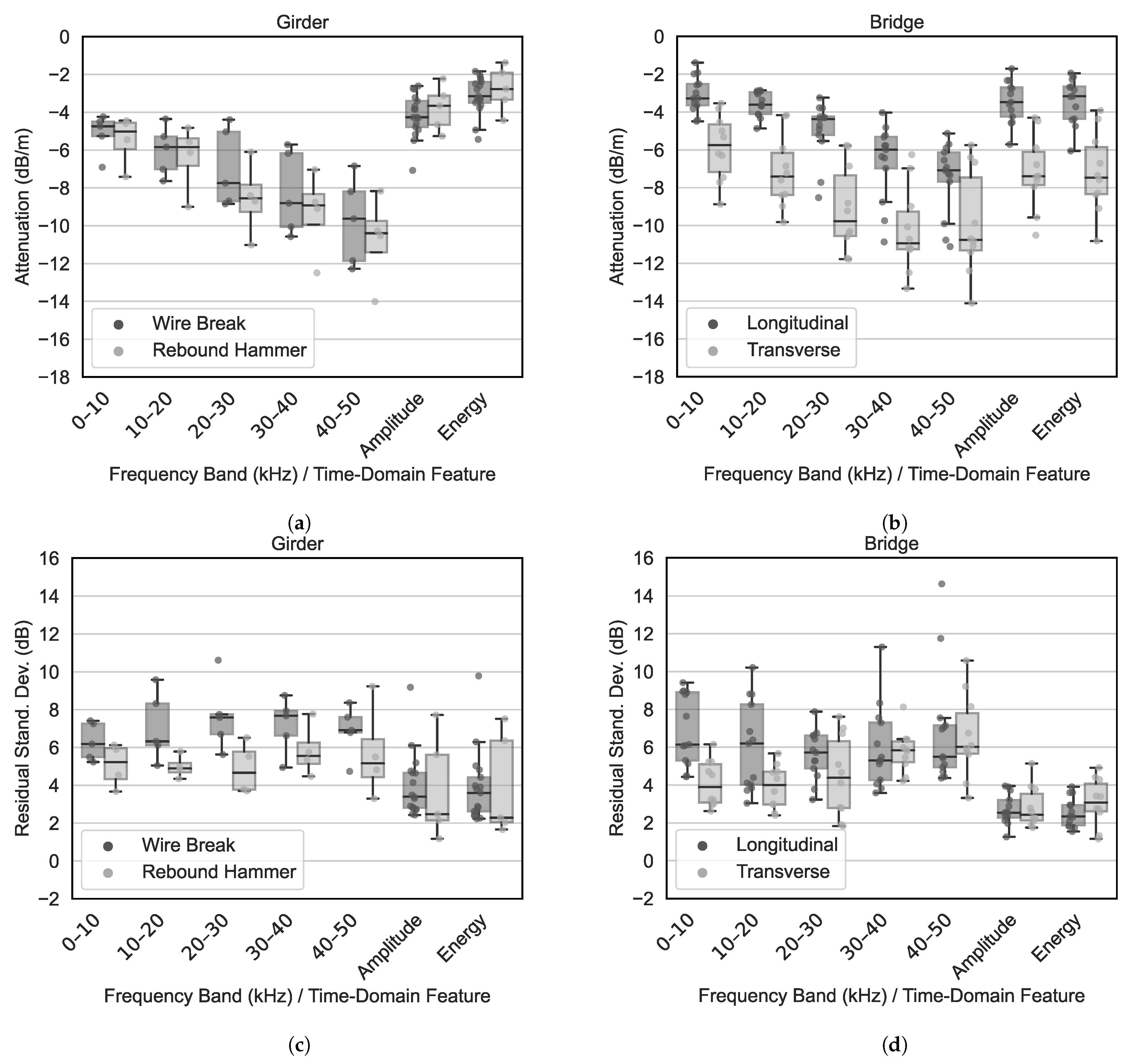
5. Aggregation of Results and Discussion
6. Conclusions
- The results of the girder experiments indicate that attenuation coefficients derived from rebound hammer impulses on the concrete surface generally tended to be lower than those of wire breaks. The observed attenuation coefficients and their RSDs for wire breaks are greater. This is particularly pronounced in the relevant time-domain features, suggesting that the variations are attributable to source-specific causes. Within the frequency bands, a comparable level of attenuation is noted.
- To adapt the findings from rebound hammer measurements to address wire break scenarios, a transfer factor was established using the data collected from both bridges and girders. This involves a scaling factor of 1.2 to modify the average attenuation coefficient, complemented by a variance of ±1.0 dB/m to incorporate a 95% confidence interval accounting for sample scattering. It is crucial to account for sensor-specific characteristics when implementing this factor.
- Should ORMs on a structure be impracticable, the results of this research suggest assuming a minimum attenuation coefficient of 6 dB/m for the longitudinal direction of the bridges.
- The observed scattering in the RSDs from rebound hammer measurements is less than that associated with wire breaks. This suggests that the boundary conditions inherent to wire breaks are naturally complex and result in a higher degree of variance. In contrast, the rebound hammer provides reproducible results, making it an appropriate testing or reference source for this application.
- Attenuation behaviour exhibits pronounced frequency-dependent effects, with the attenuation coefficient approximately doubling on average from −4.7 to −5.0 dB/m in the 0–10 kHz frequency range to −10.3 dB/m in the 40–50 kHz range. This pattern applies across both beams and bridges and for both types of signal sources. These results quantitatively align with those from other research, indicating a high level of consistency in the measured attenuation coefficients. Frequencies above 50 kHz experience significant attenuation within a distance of approximately 3 to 4 m from the source to the sensor and are largely negligible beyond this range.
- The analysis of the directionality of attenuation across different structures reveals anisotropic behaviour, where transverse attenuation consistently exceeds longitudinal attenuation. This directional variance is influenced by structural specialities, such as voids and construction joints, as well as sensor orientation, with voids exerting the most significant effect. Notably, in precast concrete bridges with in situ-cast concrete slabs, evidence shows unrestricted signal transmission in the transverse direction across multiple prefabricated elements.
Author Contributions
Funding
Institutional Review Board Statement
Informed Consent Statement
Data Availability Statement
Acknowledgments
Conflicts of Interest
Abbreviations
| AE | Acoustic emission |
| AEM | Acoustic emission monitoring |
| ASR | Alkali–silica reaction |
| ORMs | Object-related measurements |
| RSD | Residual standard deviation |
References
- Nürnberger, U. Analyse und Auswertung von Schadensfällen an Spannstählen; Technical Report, Heft 308; Bundesminister für Verkehr, Abteilung Strassenbau: Bonn-Bad Godesberg, Germany, 1980. [Google Scholar]
- Mietz, J.; Fischer, J.; Isecke, B. Spannstahlschäden an einem Brückenbauwerk infolge von Spannungsrißkorrosion. Beton Stahlbetonbau 1998, 93, 195–200. [Google Scholar] [CrossRef]
- Hunkeler, F.; Matt, P.; von Matt, U.; Werner, R. Spannglieder, Schrägseile und Anker-Beschreibung der Systeme und Erkenntnisse aus Korrosionsschäden; Technical Report; EMPA, Eidgenössische Materialprüfungs- und Forschungsanstalt: Dübendorf, Switzerland, 2005. [Google Scholar]
- Schacht, G.; Käding, M.; Bolle, G.; Marx, S. Konzepte für die Bewertung von Brücken mit Spannungsrisskorrosionsgefahr. Beton Stahlbetonbau 2019, 114, 85–94. [Google Scholar] [CrossRef]
- Brandenburg, L.S. B1 Brücke Altstädter Bahnhof, Bauwerksuntersuchungen vor dem Rückbau; Technical Report; Landesbetrieb Staßenwesen Brandenburg: Hoppegarten, Germany, 2021. [Google Scholar]
- Sodeikat, C.; Groschup, R.; Knab, F.; Obermeier, P. Acoustic Emission in der Bauwerksüberwachung zur Feststellung von Spannstahlbrüchen. Beton Stahlbetonbau 2019, 114, 707–723. [Google Scholar] [CrossRef]
- Löhr, M.; Kleeber, K.; Saloga, K. Überwachung auf Spanndrahtbrüche an der Elsenbrücke in Berlin mittels der Schallemissionsanalyse (AT). ZfP-Zeitung 2022, 178, 30–34. [Google Scholar]
- Rymsza, J.; Lacidogna, G. Causes of the Collapse of the Polcevera Viaduct in Genoa, Italy. Appl. Sci. 2021, 11, 8098. [Google Scholar] [CrossRef]
- Grabe, M.; Ullerich, C.; Wenner, M.; Herbrand, M. smartBridge Hamburg—Prototypische Pilotierung eines digitalen Zwillings. Bautechnik 2020, 97, 118–125. [Google Scholar] [CrossRef]
- Carlos, M.; Cole, P.; Vahaviolos, J.; Halkyard, T. Acoustic Emission Bridge Inspection/Monitoring Stategies. In Structural Materials Technology IV: An NDT Conference; Technomic Publishing Company, Inc.: Lancaster, PA, USA, 2000; pp. 179–183. [Google Scholar]
- Tabatabai, H. Inspection and Maintenance of Bridge Stay Cable Systems; NCHRP Synthesis 353; National Cooperative Research Program; Transportation Research Board: Washington, DC, USA, 2005; p. 75. [Google Scholar]
- Pirskawetz, S. Richtlinie “Detektion von Spanndrahtbrüchen mit Schallemission”. In Schall 23-Entwicklung und Anwendung der Schallemissionsanalyse und Zustandsüberwachung mit geführten Wellen; Deutsche Gesellschaft für zerstörungsfreie Prüfung (DGZfP): Wetzlar, Germany, 2023; pp. 1–4. [Google Scholar]
- Käding, M.; Schacht, G.; Marx, S. Acoustic Emission Analysis of a Comprehensive Database of Wire-Breaks in Prestressed Concrete Girders. Eng. Struct. 2022, 270, 114846. [Google Scholar] [CrossRef]
- Pirskawetz, S.M.; Schmidt, S. Detection of Wire Breaks in Prestressed Concrete Bridges by Acoustic Emission Analysis. Dev. Built Environ. 2023, 14, 100151. [Google Scholar] [CrossRef]
- Yuyama, S.; Yokoyama, K.; Niitani, K.; Ohtsu, M.; Uomoto, T. Detection and Evaluation of Failures in High-Strength Tendon of Prestressed Concrete Bridges by Acoustic Emission. Constr. Build. Mater. 2007, 21, 491–500. [Google Scholar] [CrossRef]
- Fricker, S. Schallemissionsanalyse zur Erfassung von Spanndrahtbrüchen bei Stahlbetonbrücken. Ph.D. Thesis, Eidgenössische Technische Hochschule ETH Zürich, Zürich, Switzerland, 2009. [Google Scholar] [CrossRef]
- Oh, T.M.; Kim, M.K.; Lee, J.W.; Kim, H.; Kim, M.J. Experimental Investigation on Effective Distances of Acoustic Emission in Concrete Structures. Appl. Sci. 2020, 10, 6051. [Google Scholar] [CrossRef]
- Käding, M.; Schacht, G.; Marx, S. Schallemissionsmonitoring zur Spanndrahtbruchdetektion. In 2023 BetonKalender; John Wiley & Sons, Ltd.: Hoboken, NJ, USA, 2022; Chapter XV; pp. 745–777. [Google Scholar] [CrossRef]
- EN 1330-9:2017; Zerstörungsfreie Prüfung-Terminologie-Teil 9: Begriffe der Schallemissionsprüfung. Beuth Verlag GmbH: Berlin, Germany, 2017; p. 15.
- Landis, E.N.; Shah, S.P. Frequency-Dependent Stress Wave Attenuation in Cement-Based Materials. J. Eng. Mech. 1995, 121, 737–743. [Google Scholar] [CrossRef]
- Köppel, S. Schallemissionsanalyse zur Untersuchung von Stahlbetontragwerken; IBK report Nr. 272; vdf der ETH Zürich: Zürich, Switzerland, 2002. [Google Scholar] [CrossRef]
- Ohtsu, M. Source Mechanism and Waveform Analysis of Acoustic Emission in Concrete. J. Acoust. Emiss. 1982, 2, 103–112. [Google Scholar]
- Berthelot, J.M.; Souda, M.B.; Robert, J.L. Study of Wave Attenuation in Concrete. J. Mater. Res. 1993, 8, 2344–2353. [Google Scholar] [CrossRef]
- Philippidis, T.P.; Aggelis, D.G. Experimental Study of Wave Dispersion and Attenuation in Concrete. Ultrasonics 2005, 43, 584–595. [Google Scholar] [CrossRef] [PubMed]
- Schechinger, B. Schallemissionsanalyse zur Überwachung der Schädigung von Stahlbeton; IBK report Nr. 295; vdf der ETH Zürich: Zürich, Switzerland, 2006. [Google Scholar] [CrossRef]
- Treiber, M.; Kim, J.-Y.; Laurence, J.J.; Jianmin, Q. Correction for partial reflection in ultrasonic attenuation measurements using contact transducers. J. Acoust. Soc. Am. 2009, 125, 2946–2953. [Google Scholar] [CrossRef]
- Ono, K. A Comprehensive Report on Ultrasonic Attenuation of Engineering Materials, Including Metals, Ceramics, Polymers, Fiber-Reinforced Composites, Wood, and Rocks. Appl. Sci. 2020, 10, 2230. [Google Scholar] [CrossRef]
- Ono, K. Ultrasonic Attenuation of Ceramic and Inorganic Materials Using the Through-Transmission Method. Appl. Sci. 2022, 12, 13026. [Google Scholar] [CrossRef]
- Aggelis, D.G.; Soulioti, D.V.; Sapouridis, N.; Barkoula, N.M.; Paipetis, A.S.; Matikas, T.E. Acoustic Emission Characterization of the Fracture Process in Fibre Reinforced Concrete. Constr. Build. Mater. 2011, 25, 4126–4131. [Google Scholar] [CrossRef]
- Wu, X.; Yan, Q.; Hedayat, A.; Wang, X. The Influence Law of Concrete Aggregate Article Size on Acoustic Emission Wave Attenuation. Sci. Rep. 2021, 11, 22685. [Google Scholar] [CrossRef]
- Beard, M.D.; Lowe, M.J.S.; Cawley, P. Ultrasonic Guided Waves for Inspection of Grouted Tendons and Bolts. J. Mater. Civ. Eng. 2003, 15, 212–218. [Google Scholar] [CrossRef]
- di Scalea, F.L.; Rizzo, P.; Seible, F. Stress Measurement and Defect Detection in Steel Strands by Guided Stress Waves. J. Mater. Civ. Eng. 2003, 15, 219–227. [Google Scholar] [CrossRef]
- Li, F.; Huang, L.; Zhang, H.; Yang, T. Attenuation of Acoustic Emission Propagation Along a Steel Strand Embedded in Concrete. KSCE J. Civ. Eng. 2018, 22, 222–230. [Google Scholar] [CrossRef]
- Chen, J.; Wan, X.; Guo, Q. Monitoring of Stress Variation of Strands in Prestressed Concrete by Second Harmonic Generation Measurements based on Piezoelectric Sensors. Smart Mater. Struct. 2021, 31, 015004. [Google Scholar] [CrossRef]
- Golaski, L.; Gebski, P.; Ono, K. Diagnostics of Reinforced Concrete Bridges. J. Acoust. Emiss. 2002, 20, 83–98. [Google Scholar]
- Shiotani, T.; Aggelis, D.G.; Makishima, O. Global Monitoring of Large Concrete Structures Using Acoustic Emission and Ultrasonic Techniques: Case Study. J. Bridge Eng. 2009, 14, 188–192. [Google Scholar] [CrossRef]
- Lovejoy, S. Development of Acoustic Emissions Testing Procedures Applicable to Conventionally Reinforced Concrete Deck Girder Bridges Subjected to Diagonal Tension Cracking. Ph.D. Thesis, Oregon State University, Corvallis, OR, USA, 2006. [Google Scholar]
- Vallen Systeme GmbH. AE-Sensor Data Sheet VS30-V; Vallen Systeme GmbH: Wolfratshausen, Germany, 2022; Available online: https://www.vallen.de/zdownload/DataSheets/Sensors/VS30-V.pdf (accessed on 29 March 2024).
- Vallen Systeme GmbH. AMSY-6 System Specifications; Vallen Systeme GmbH: Wolfratshausen, Germany, 2022; Available online: https://www.vallen.de/zdownload/pdf/AMSY-6_Spec.pdf (accessed on 29 March 2024).














| Girder/Bridge | Construction | Signal Source | Direction | No. of Signals | Attenuation Profiles | ||
|---|---|---|---|---|---|---|---|
| WB * | RH * | ||||||
| Lab | Roding | Web from a box girder | WB, RH | Long. | 388 | 124 | 6 WB, 1 RH |
| Stolpe (BT500) | Prefabricated girder | WB, RH | Long. | 454 | 867 | 6 WB, 2 RH | |
| Witzenhausen | Prefabricated girder | WB, RH | Long. | 250 | 1105 | 4 WB, 2 RH | |
| In Situ | Stennert Bridge | Box girder | RH | Long. | - | 237 | 1 Long. |
| Werra Bridge | T-beam | RH | Long. | - | 356 | 2 Long. | |
| South Ring Bridge | T-beam, multiple webs | RH | Long., Trans. | - | 1327 | 5 Long., 1 Trans. | |
| High Bridge | Slab with hollow bodies | RH | Long., Trans. | - | 1031 | 5 Long., 2 Trans. | |
| Ruhrwald Bridge | Slab with prefab. girders | RH | Trans. | - | 2313 | 5 Trans. | |
| BT500 Bridge | Slab with prefab. girders | RH | Trans. | - | 915 | 2 Trans. | |
| Partial Spectra (kHz) and Features | Attenuation Coefficient (dB/m) | Residual Standard Deviation (dB) | ||||||||||
|---|---|---|---|---|---|---|---|---|---|---|---|---|
| Stolpe (BT500) | Roding | Witzenhausen | Stolpe (BT500) | Roding | Witzenhausen | |||||||
| A | B | A | B | A | B | A | B | A | B | A | B | |
| 0–10 | −4.7 | −4.5 | −5.8 | −6.9 | −4.2 | −5.3 | 7.3 | 5.2 | 7.3 | 6.2 | 7.4 | 5.5 |
| 10–20 | −5.2 | −7 | −10.2 | −7.6 | −4.4 | −5.8 | 9.6 | 6.1 | 7.3 | 5 | 8.3 | 6.3 |
| 20–30 | −4.4 | −8.8 | −11.7 | −8.7 | −5 | −7.7 | 10.6 | 7.8 | 7.7 | 5.6 | 7.5 | 6.7 |
| 30–40 | −5.7 | −10.1 | −12.5 | −10.6 | −6.2 | −8.8 | 8.8 | 7.7 | 8.1 | 4.9 | 8 | 6.6 |
| 40–50 | −8.2 | −12.3 | −15.6 | −11.8 | −6.8 | −9.6 | 7.6 | 6.8 | 8.1 | 4.7 | 8.3 | 6.9 |
| −5.5 | −2.8 | −7.1 | −4.9 | −3.7 | −4.6 | 4.7 | 6.3 | 2.5 | 4.8 | 2.9 | 5 | |
| E | −4.9 | −2.2 | −5.4 | −3.8 | −2.6 | −3.3 | 4.5 | 6.5 | 2.5 | 4.9 | 2.3 | 4.2 |
| Partial Spectra (kHz) and Features | Attenuation Coefficient (dB/m) | Residual Standard Deviation (dB) | ||||||||||
|---|---|---|---|---|---|---|---|---|---|---|---|---|
| Stolpe (BT500) | Roding | Witzenhausen | Stolpe (BT500) | Roding | Witzenhausen | |||||||
| Tendon | Concrete | Tendon | Concrete | Tendon | Concrete | Tendon | Concrete | Tendon | Concrete | Tendon | Concrete | |
| 0–10 | −4.8 | −4.6 | −5.5 | −7.4 | −5.2 | −5.5 | 6.4 | 4.5 | 3.5 | 6.1 | 4.1 | 3.7 |
| 10–20 | −5.2 | −5.6 | −4.7 | −9 | −6 | −6.1 | 6.1 | 4.8 | 4 | 4.3 | 5.3 | 5 |
| 20–30 | −7.7 | −8.7 | −5.8 | −11 | −8.1 | −8.4 | 7.2 | 5.5 | 3.3 | 3.8 | 6.1 | 3.7 |
| 30–40 | −9.7 | −8.8 | −7.4 | −12.4 | −8.8 | −9.1 | 8.3 | 5.8 | 3.6 | 4.5 | 6 | 5.4 |
| 40–50 | −11.5 | −10.5 | −8.4 | −14 | −10.4 | −10.3 | 6.7 | 3.3 | 4.1 | 4.8 | 6.4 | 5.5 |
| −2.7 | −2.2 | −3.4 | −5.3 | −3.8 | −3.6 | 2.7 | 2.5 | 2.5 | 7.9 | 4.5 | 2.1 | |
| E | −2.3 | −1.4 | −2.4 | −4.4 | −3 | −2.8 | 3.5 | 2.1 | 16.2 | 7.5 | 3.3 | 2.3 |
| Partial Spectra (kHz) and Features | Attenuation Coefficient (dB/m) | Residual Standard Deviation (dB) | ||||||||||||||
|---|---|---|---|---|---|---|---|---|---|---|---|---|---|---|---|---|
| Longitudinal | Transverse | Longitudinal | Transverse | |||||||||||||
| Stennert Br. | Werra Br. | South Ring Br. | High Br. | South Ring Br. | High Br. | Ruhrwald Br. | BT500 Br. | Stennert Br. | Werra Br. | South Ring Br. | High Br. | South Ring Br. | High Br. | Ruhrwald Br. | BT500 Br. | |
| 0–10 | −4.5 | −3.8 | −3.5 | −1.9 | −3.5 | −8.9 | −4.5 | −7.5 | 6.1 | 8.9 | 6.1 | 4.4 | 4.7 | 2.6 | 3 | 5.2 |
| 10–20 | −4.2 | −4.9 | −3.7 | −4.3 | −4.2 | −9.8 | −7.2 | −8.4 | 3.7 | 8.3 | 4.4 | 3 | 2.5 | 4.3 | 3.7 | 5.1 |
| 20–30 | −5.2 | −8.5 | −4.3 | −4.7 | −5.8 | −11.8 | −8.8 | −11.7 | 5.3 | 5.7 | 3.8 | 3.2 | 2.8 | 1.9 | 5.1 | 7.6 |
| 30–40 | −9.7 | −10.9 | −5.3 | −7 | −6.3 | −11.2 | −11.3 | −12.5 | 5.5 | 8.3 | 4.1 | 5.3 | 4.2 | 5.1 | 6 | 8.1 |
| 40–50 | −10.8 | −11.1 | −6.6 | −7.1 | −6.7 | −14.1 | −10.7 | −11.1 | 7 | 11.8 | 4.7 | 5.5 | 3.3 | 4.1 | 8.2 | 10.6 |
| −1.7 | −5.7 | −2.7 | −4.5 | −4.3 | −10.5 | −6.8 | −7.4 | 2.5 | 3.9 | 2.4 | 4 | 3.9 | 1.8 | 2.6 | 2.3 | |
| E | −1.9 | −6.1 | −2.7 | −4.4 | −3.9 | −10.8 | −6.7 | −7.4 | 1.8 | 3.6 | 2.1 | 3.6 | 4.4 | 2.7 | 2.8 | 3.4 |
Disclaimer/Publisher’s Note: The statements, opinions and data contained in all publications are solely those of the individual author(s) and contributor(s) and not of MDPI and/or the editor(s). MDPI and/or the editor(s) disclaim responsibility for any injury to people or property resulting from any ideas, methods, instructions or products referred to in the content. |
© 2024 by the authors. Licensee MDPI, Basel, Switzerland. This article is an open access article distributed under the terms and conditions of the Creative Commons Attribution (CC BY) license (https://creativecommons.org/licenses/by/4.0/).
Share and Cite
Käding, M.; Marx, S. Acoustic Emission Monitoring in Prestressed Concrete: A Comparative Study of Signal Attenuation from Wire Breaks and Rebound Hammer Impulses. Appl. Sci. 2024, 14, 3045. https://doi.org/10.3390/app14073045
Käding M, Marx S. Acoustic Emission Monitoring in Prestressed Concrete: A Comparative Study of Signal Attenuation from Wire Breaks and Rebound Hammer Impulses. Applied Sciences. 2024; 14(7):3045. https://doi.org/10.3390/app14073045
Chicago/Turabian StyleKäding, Max, and Steffen Marx. 2024. "Acoustic Emission Monitoring in Prestressed Concrete: A Comparative Study of Signal Attenuation from Wire Breaks and Rebound Hammer Impulses" Applied Sciences 14, no. 7: 3045. https://doi.org/10.3390/app14073045
APA StyleKäding, M., & Marx, S. (2024). Acoustic Emission Monitoring in Prestressed Concrete: A Comparative Study of Signal Attenuation from Wire Breaks and Rebound Hammer Impulses. Applied Sciences, 14(7), 3045. https://doi.org/10.3390/app14073045

