Competition between Electron–Phonon and Spin–Phonon Interaction on the Band Gap and Phonon Spectrum in Magnetic Semiconductors
Abstract
1. Introduction
2. Model and Green’s Functions
3. Numerical Results and Discussion
3.1. Dependence of the Band Gap Energy on Temperature, SPI and EPI
3.2. Magnetic Field Dependence of the Band Gap Energy
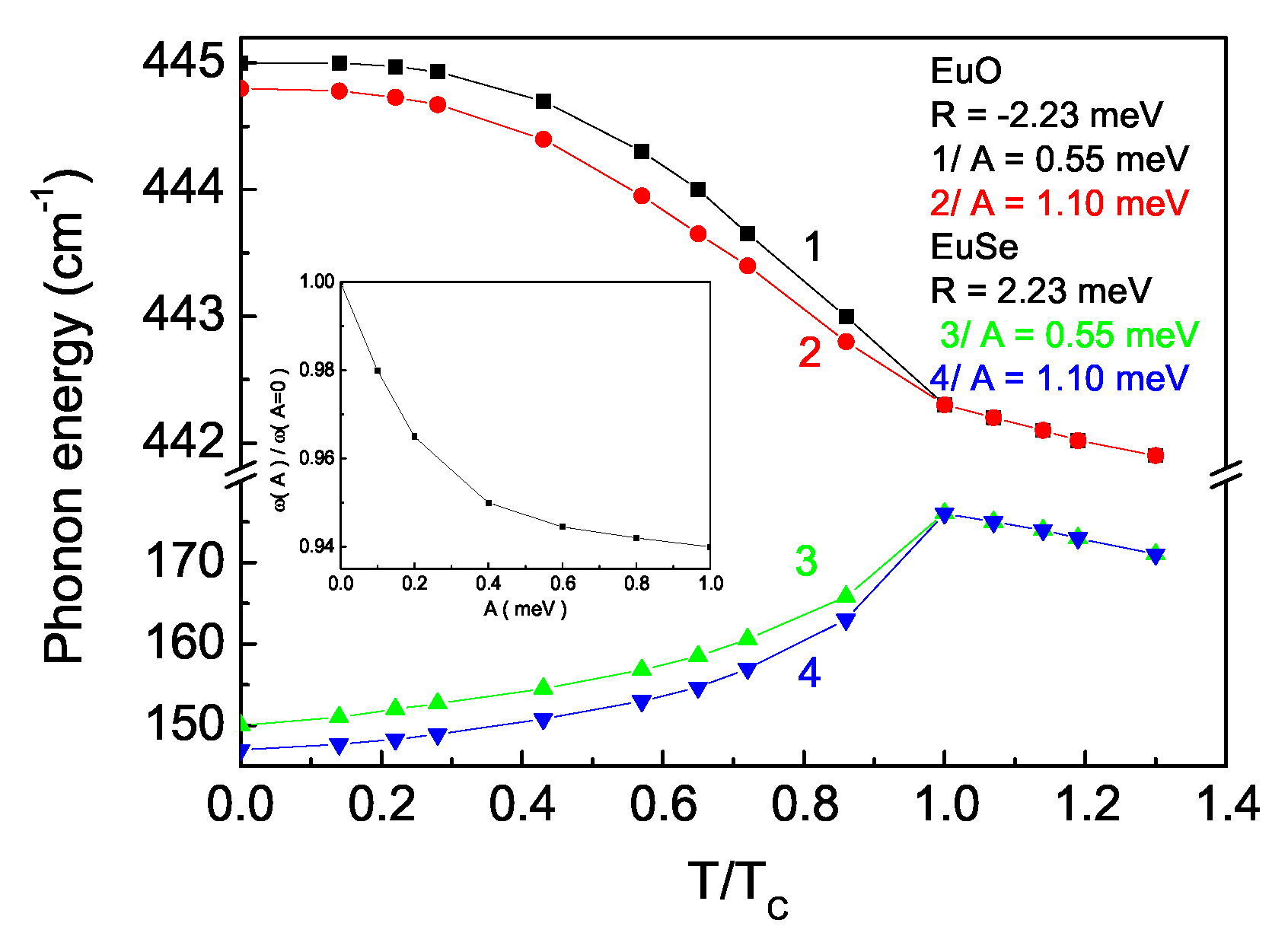
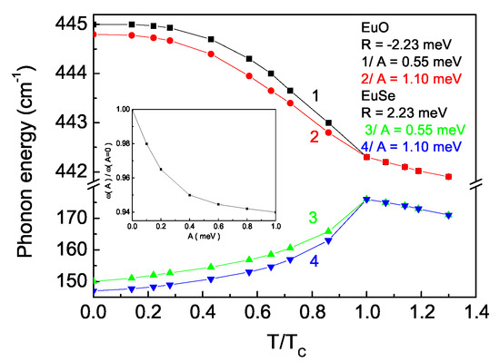
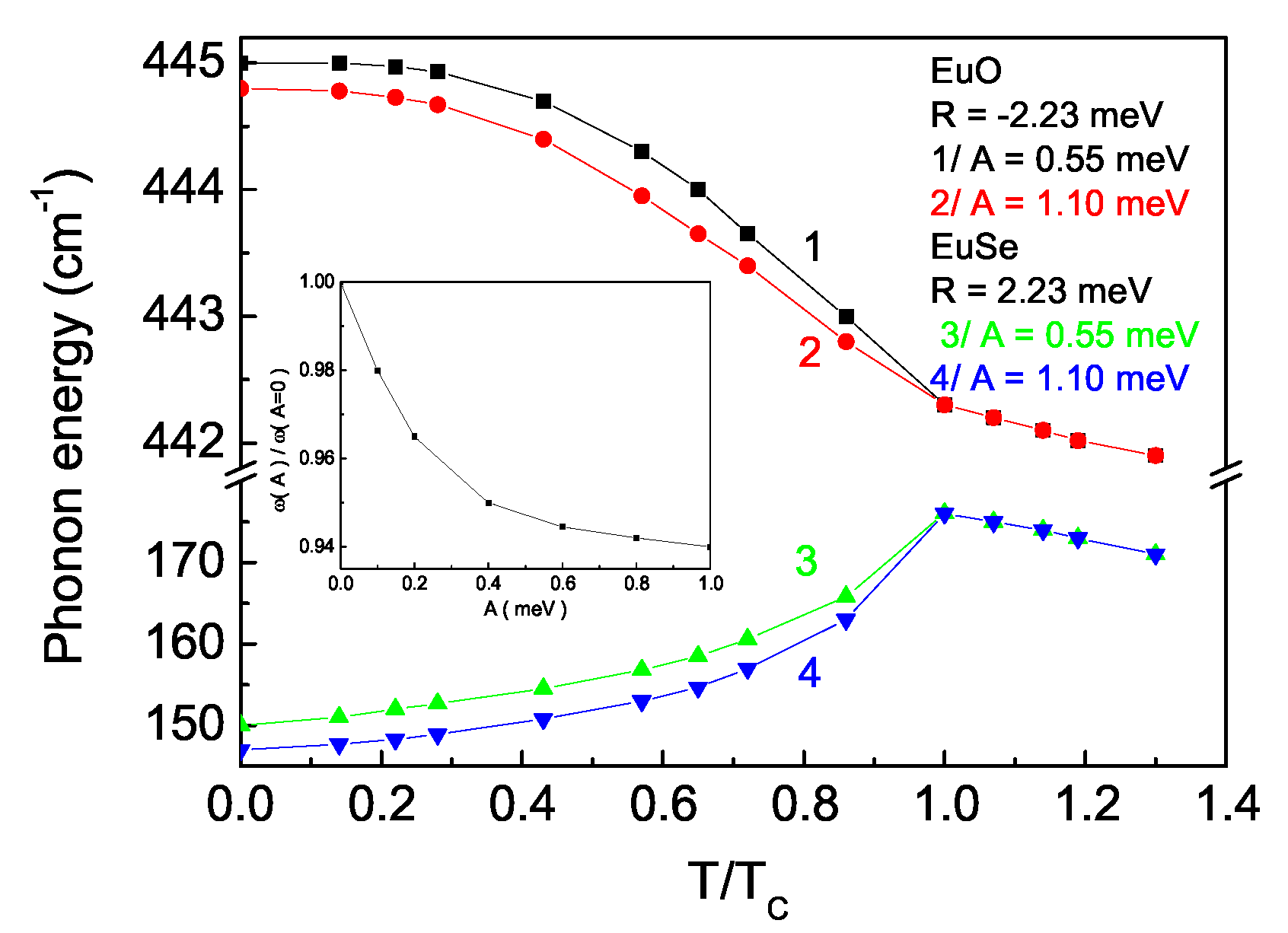
3.3. Influence of the SPI and EPI on the Phonon Spectrum of FMS
4. Conclusions
Author Contributions
Funding
Institutional Review Board Statement
Informed Consent Statement
Data Availability Statement
Conflicts of Interest
References
- Nagaev, E.L. Physics of Magnetic Semiconductors; Mir: Moscow, Russia, 1983. [Google Scholar]
- Nolting, W. Theory of ferromagnetic semiconductors. Phys. Stat. Solidi B 1979, 96, 11. [Google Scholar] [CrossRef]
- Komarov, K.K.; Dzebisashvili, D.M. Effective indirect multi-site spin–spin interactions in the s–d(f) model. J. Magn. Magn. Mater. 2017, 440, 57–59. [Google Scholar] [CrossRef][Green Version]
- Tanaka, M. Recent progress in ferromagnetic semiconductors and spintronics devices. Jpn. J. Appl. Phys. 2021, 60, 010101. [Google Scholar] [CrossRef]
- Orlov, A.F.; Kulemanov, I.V.; Parkhomenko, Y.N.; Perov, N.S.; Semisalov, A.S. Development of Ferromagnetic Semiconductors for Applications in Spin Electronics: State and Outlook. Russ. Microelectr. 2012, 41, 443–452. [Google Scholar] [CrossRef]
- Gilliland, S.J.; Sans, J.A.; Sanchez-Royo, J.F.; Almonacid, G.; Garcia-Domene, B.; Segura, A.; Tobias, G.; Canadell, E. Role of p-d and s-d interactions in the electronic structure and band gap of Zn1-xMxO(M = Cr, Mn, Fe, Co, Ni, and Cu): Photoelectron and optical spectroscopy and first-principles band structure calculations. Phys. Rev. B 2012, 86, 155203. [Google Scholar] [CrossRef]
- Yuan, L.-D.; Deng, H.-X.; Li, S.-S.; Wei, S.-H.; Luo, J.-W. Unified theory of direct or indirect band-gap nature of conventional semiconductors. Phys. Rev. 2018, 98, 245203. [Google Scholar] [CrossRef]
- Dalpian, G.; Wei, S.-H. Electron-mediated ferromagnetism and negative s-d exchange splitting in semiconductors. Phys. Rev. B 2006, 73, 245204. [Google Scholar] [CrossRef]
- Shastry, B.S.; Mattis, D.C. Theory of the magnetic polaron. Phys. Rev. B 1981, 24, 5340. [Google Scholar] [CrossRef]
- Reihl, B.; Martensson, N.; Eastman, D.E.; Arko, A.J.; Vogt, O. Resonant photoemission as a tool to study f and d electrons in actinide compounds. Phys. Rev. B 1982, 26, 1842. [Google Scholar] [CrossRef]
- Wesselinowa, J.M. The s-f model with AFM s-f exchange. J. Phys. C Solid State Phys. 1987, 20, L7–L11. [Google Scholar] [CrossRef]
- Nolting, W.; Oles, A.M. Temperature and carrier concentration dependence of the excitation spectrum of 5f-compounds. Phys. B+C 1980, 102, 140. [Google Scholar] [CrossRef]
- Bulk, G.; Nolting, W. Many-body effects in antiferromagnetic 4f-systems. Phys. Status Solidi (B) 1987, 140, 261–271. [Google Scholar] [CrossRef]
- Woolsey, R.B.; White, R.M. Electron-Magnon Interaction in Ferromagnetic Semiconductors. Phys. Rev. B 1970, 1, 4474. [Google Scholar] [CrossRef]
- Wesselinowa, J.M.; Apotolov, A.T. Anharmonic effects in ferromagnetic semiconductors. J. Phys. Condens. Matter 1996, 8, 473–488. [Google Scholar] [CrossRef]
- Wesselinowa, J.M. Influence of the spin-phonon interaction on the dynamical properties of ferromagnetic semiconducting thin films. J. Phys. Condens. Matter 2005, 17, 6687–6700. [Google Scholar] [CrossRef]
- Ziman, J.M. The effect of free electrons on lattice conduction. Philos. Mag. 1956, 1, 191–198. [Google Scholar] [CrossRef]
- Cardona, M.; Gopalan, S. Temperature dependence of the band structure of semiconductors: Electron-phonon interaction. In Progress in Electron Properties of Solids; Physics and Chemistry of Materials with Low-Dimensional Structures; Doni, E., Girlanda, R., Parravicini, G.P., Quattropani, A., Eds.; Springer: Dordrecht, The Netherlands, 1989; Volume 10, pp. 51–64. [Google Scholar]
- Bhosale, J.J.; Ramdas, A.K.; Burger, A.; Munoz, A.; Romero, A.H.; Cardona, M.; Lauck, R.; Kremer, R.K. Temperature dependence of band gaps in semiconductors: Electron-phonon interaction. Phys. Rev. B 2012, 86, 195208. [Google Scholar] [CrossRef]
- Olguin, D.; Cardona, M.; Cantarero, A. Electron-phonon effects on the direct band gap in semiconductors: LCAO calculations. Solid State Commun. 2002, 122, 575–589. [Google Scholar] [CrossRef]
- Zhang, Y.; Wang, Z.; Xi, J.; Yang, J. Temperature-dependent band gaps in several semiconductors: From the role of electron-phonon renormalization. J. Phys. Condens. Matter 2020, 32, 475503. [Google Scholar] [CrossRef] [PubMed]
- Jha, P.K.; Sanyal, S.P. Lattice dynamics of uranium chalcogenides and pnictides. Phys. Rev. B 1992, 46, 3664. [Google Scholar] [CrossRef]
- Safran, S.A.; Silberstein, R.P.; Dresselhaus, G.; Lax, B. Raman scattering in Europium chalcogenides near magnetic phase transitions. Solid State Commun. 1979, 29, 339–343. [Google Scholar] [CrossRef]
- Safran, S.A.; Dresselhaus, G.; Silberstein, R.P.; Lax, B. Raman scattering in EuSe and EuTe near magnetic phase transitions. J. Magn. Magn. Mater. 1979, 11, 403–407. [Google Scholar] [CrossRef]
- Sakai, O.O.; Tachiki, M. Theory of Raman scattering in Europium-chalcogenides. J. Phys. Chem. Solids 1978, 39, 269–283. [Google Scholar] [CrossRef]
- Jha, P.K.; Sanya, S.P. Lattice vibrational properties of uranium chalcogenides. Phys. B 1995, 216, 125–131. [Google Scholar] [CrossRef]
- Wesselinowa, J. Electron-Phonon Interaction in Ferromagnetic Semiconductors. Phys. Status Solidi (B) 1984, 123, 585. [Google Scholar] [CrossRef]
- Zhou, J.J.; Shin, H.D.; Chen, K.; Song, B.; Duncan, R.A.; Xu, Q.; Maznev, A.A.; Nelson, K.A.; Chen, G. Direct observation of large electron-phonon interaction effect on phonon heat transport. Nat. Commun. 2020, 11, 6040. [Google Scholar] [CrossRef] [PubMed]
- Ciechan, A.; Boguslawski, P. Theory of the sp-d coupling of transition metal impurities with free carriers in ZnO. Sci. Rep. 2021, 11, 3848. [Google Scholar] [CrossRef] [PubMed]
- Macheda, F.; Sohier, T.; Barone, P.; Mauri, F. Electron-phonon interaction and phonon frequencies in two-dimensional doped semiconductors. Phys. Rev. B 2023, 107, 094308. [Google Scholar] [CrossRef]
- Pradip, R.; Piekarz, P.; Bosak, A.; Merkel, D.G.; Waller, O.; Seiler, A.; Chumakov, A.I.; Rueffer, R.; Oles, A.M.; Parlinski, K.; et al. Lattice Dynamics of EuO: Evidence for Giant Spin-Phonon Coupling. Phys. Rev. Lett. 2016, 116, 185501. [Google Scholar] [CrossRef]
- Tserkovnikov, Y.A. Decoupling of chains of equations for two-time Green’s functions. Teor. Math. Phys. 1971, 7, 511. [Google Scholar] [CrossRef]
- Vogt, O. Magnetization measurements on single crystals of uranium chalcogenides and pnictides. Phys. B 1980, 102, 206. [Google Scholar] [CrossRef]
- Shishidou, T.; Oguchi, T. Band-theoretical prediction of magnetic anisotropy in uranium monochalcogenides. Phys. Rev. B 2000, 62, 11747. [Google Scholar] [CrossRef]
- Cao, J.; Querales-Flores, J.D.; Fahy, S.; Savic, I. Thermally induced band gap increase and high thermoelectric figure of merit of n-type PbTe. Mater. Today Phys. 2020, 12, 100172. [Google Scholar] [CrossRef]
- Boncher, W.; Dalafu, H.; Rosa, N.; Stoll, S. Europium chalcogenide magnetic semiconductor nanostructures. Coord. Chem. Rev. 2015, 289–290, 279–288. [Google Scholar] [CrossRef]
- Bossini, D.; Terschanski, M.; Mertens, F.; Springholz, G.; Bonanni, A.; Uhrig, G.S.; Cinchetti, M. Exchange-mediated magnetic blue-shift of the band-gap energy in the antiferromagnetic semiconductor MnTe. New J. Phys. 2020, 22, 083029. [Google Scholar] [CrossRef]
- Wachter, P. The optical electrical and magnetic properties of the europium chalcogenides and the rare earth pnictides. CRC Crit. Rev. Solid State Mater. Sci. 1972, 3, 189. [Google Scholar] [CrossRef]
- Heiss, W.; Kirchschlager, R.; Springholz, G.; Chen, Z.; Debnath, M.C.; Oka, Y. Magnetic polaron induced near-band-gap luminescence in epitaxial EuTe. Phys. Rev. B 2004, 70, 035209. [Google Scholar] [CrossRef]
- Apostolova, I.N.; Apostolov, A.T.; Wesselinowa, J.M. Band Gap Energy of Ion-Doped Multiferroic NaFeO2 Nanoparticles. Phys. Status Solidi RRL 2023, 2300159. online published. [Google Scholar] [CrossRef]
- Subkhangulov, R.R.; Henriques, A.B.; Rappl, P.H.O.; Abramof, E.; Rasing, T.; Kimel, A.V. All-optical manipulation and probing of the d–f exchange interaction in EuTe. Sci. Rep. 2014, 4, 4368. [Google Scholar] [CrossRef]
- Guenterodt, G.; Zeyer, R. Light Scattering in Solids IV. Top. Appl. Phys. 1984, 54, 203. [Google Scholar]
- Goian, V.; Gopalan, V.; Held, R.; Bousquet, E.; Ghosez, P.; Spaldin, N.A.; Kamba, S. Making EuO multiferroic by epitaxial strain engineering. Commun. Mater. 2020, 1, 74. [Google Scholar] [CrossRef]
- Silberstein, R.P.; Safran, S.A.; Dresselhaus, M.S. First- and second-order Raman scattering in EuSe near TN. J. Magn. Magn. Mater. 1979, 11, 408–411. [Google Scholar] [CrossRef]











Disclaimer/Publisher’s Note: The statements, opinions and data contained in all publications are solely those of the individual author(s) and contributor(s) and not of MDPI and/or the editor(s). MDPI and/or the editor(s) disclaim responsibility for any injury to people or property resulting from any ideas, methods, instructions or products referred to in the content. |
© 2024 by the authors. Licensee MDPI, Basel, Switzerland. This article is an open access article distributed under the terms and conditions of the Creative Commons Attribution (CC BY) license (https://creativecommons.org/licenses/by/4.0/).
Share and Cite
Apostolov, A.T.; Apostolova, I.N.; Wesselinowa, J.M. Competition between Electron–Phonon and Spin–Phonon Interaction on the Band Gap and Phonon Spectrum in Magnetic Semiconductors. Appl. Sci. 2024, 14, 1686. https://doi.org/10.3390/app14051686
Apostolov AT, Apostolova IN, Wesselinowa JM. Competition between Electron–Phonon and Spin–Phonon Interaction on the Band Gap and Phonon Spectrum in Magnetic Semiconductors. Applied Sciences. 2024; 14(5):1686. https://doi.org/10.3390/app14051686
Chicago/Turabian StyleApostolov, Angel T., Iliana N. Apostolova, and Julia M. Wesselinowa. 2024. "Competition between Electron–Phonon and Spin–Phonon Interaction on the Band Gap and Phonon Spectrum in Magnetic Semiconductors" Applied Sciences 14, no. 5: 1686. https://doi.org/10.3390/app14051686
APA StyleApostolov, A. T., Apostolova, I. N., & Wesselinowa, J. M. (2024). Competition between Electron–Phonon and Spin–Phonon Interaction on the Band Gap and Phonon Spectrum in Magnetic Semiconductors. Applied Sciences, 14(5), 1686. https://doi.org/10.3390/app14051686

