1. Introduction
Steel–concrete composite constructions generally offer a wide range of solutions for coupling the structural behavior of reinforced concrete (RC) and steel elements, given their high ratio between strength/stiffness and weight, as well as a fast and easy construction procedure. These constructions also allow for the potential optimization of two coupled materials when a simply supported beam is adopted. However, the successful performance of composite structures relies on collaboration between the different materials, ensured by a carefully designed connection—an essential component of the construction that transfers stress between the steel and RC components. Therefore, current design codes provide an approach for dimensioning specific types of connectors characterized by strength and ductility, depending on the failure mechanism resulting from the interaction between the steel device and the surrounding concrete, and deformability in both the linear and nonlinear fields. While innovative types of connectors are currently being proposed and studied [
1,
2,
3,
4], further research is necessary to develop reliable design provisions. Conversely, progress in connector technology has defined the excellent performance of headed studs through numerous experimental tests and the development of various formulations for strength and shear–slip relationships.
Due to traffic issues in urban areas and highway interchanges, sometimes skewed bridges are the only viable option. Skewness refers to the angle at which the bridge deck ends are cut with respect to the supporting beams or girders. Several studies have examined the impact of skewness on the behavior of composite steel–concrete bridges.
In a more recent study, Sofi and Steelman (2019) investigated the influence of skewness and material nonlinearity, such as deck cracking, on load distribution behavior and the nonlinear flexural capacities of composite steel girder bridges. Skewness affects the geometry and behavior of the structure, impacting critical design stresses and load transfer. Higher skew angles introduce twisting moments around the vertical axis, which become more significant with the increment of the angle [
5]; furthermore, horizontal reactions are born to equilibrate this twisting effect. McConnell et al. (2020) conducted a parametric study using finite element analysis to evaluate the impact of different cross-frame designs on bridge behavior at various skew angles. These studies highlight the importance of considering skew effects in the design and analysis of composite bridges [
6].
According to Regita and Sofi (2022), slab girder bridges with longer spans can be constructed as steel–concrete composite structures. Composite behavior is achieved through shear connectors that transfer longitudinal shear force, significantly enhancing bending resistance [
7]. However, skewed decks have a substantial impact on the behavior of the deck and critical design stresses. For bridges with small skew angles (less than 20°), skew effects are often ignored, but higher skew angles affect shear force, bending moment, torsion, deflection, and support reactions. Twisting moments are particularly pronounced at higher skew angles, as noted by Kar et al. (2012) and McConnell et al. (2020) [
6,
8].
Therefore, it is evident that under traffic loads (vertical loads), skewness has adverse effects, such as generating negative moments at the ends of simply supported decks, which is particularly unfavorable for steel–concrete composite beams (with tension in the concrete slab and compression in the bottom flange of the steel beam) [
9]. However, little information is currently available about the influence that skewness has on the shear connector requirement. This research investigates the impact of headed stud connectors on the behavior of composite decks, considering their properties, strength, stiffness, and ductility, with two approaches for their design (linear elastic and ductile). Furthermore, the effects of span length and various skew angles are taken into account.
The stud connectors allow for obtaining the strength and ductile behavior of the connection adequate for its plastic design. However, the definition of a ductile connection does not depend solely on the behavior of the mechanical device used because the slip demand increases with the beam length. In the case of steel–concrete composite bridges, the connection extends over long beams and is usually applied to the transverse elements; therefore, it is important to assess a model to analyze the influence of the stud shear–slip relationship, stiffness, strength, and ductility on the response of the deck. The model has to be able to evaluate the ductility demand of the connectors in order to select the solution suitable for a plastic or elastic design. Furthermore, a numerical model is of paramount importance for the assessment of existing bridges designed not in agreement with the provisions of the current codes that provide limitations and details to attain a connection with ductile behavior [
10].
In this paper, a finite element (FE) model is applied to a composite bridge deck using nonlinear links to introduce the studs’ behavior. The model is utilized to conduct numerical analyses with two aims. Firstly, the influence of the shear–slip relationship of the studs on the response of the bridge deck is examined. Secondly, the effects of the span length and connector ductility on the efficiency of the connection and the overall performance of the structure are investigated. A comparison is made between ductile and elastic design approaches.
The analyses and results proposed in this study might not be considered groundbreaking in the field of steel–concrete composite beams, given that the behavior of studs in solid slabs has been studied by many researchers in the last decades, and codes provide provisions for the design of ductile connections. However, the problem is still open. The definition of a ductile connection is still being discussed within international groups for updating Eurocode 4 without changing the resistance formulations of studs. Probably a greater slip capacity will be introduced to attain a ductile connection, basing this provision on numerical analyses by structural models similar to the one proposed herein. The necessity of reviewing Eurocode 4 provisions is confirmed by the results reported in this paper, emphasizing that the topic needs further study. Another feature of interest is solid slabs, even though the current design approach to composite beams favors using steel sheeting for the slabs. Many existing composite bridges have been realized with solid slabs and connectors; therefore, a modeling approach and some numerical results remain important for studs in solid slabs, considering the further possibility of using the model for old types of studs by changing the shear–slip relationship.
2. Shear–Slip Behavior of Headed Studs
The strength of headed studs has been studied in numerous experimental tests over the past 50 years. One of the earliest studies on the strength of shear connectors was conducted in 1956 by Viest [
11], who considered the stud diameter and compressive strength of concrete as the most influential parameters. Experimental studies by Ollgaard et al. (1971) [
12] also introduced the effects of the stud diameter and the elastic modulus of concrete on the AISC [
13] and AASHTO [
14] formulations. Additional studies [
15,
16,
17,
18] investigated the impact of reinforcement mesh position, shear stud height, and shear stud spacing on the ultimate slip and shear strength of the connection.
The behavior of a connection with headed studs remains complex to model because failure can be attributed to either concrete or steel. In the case of concrete failure, it may occur with or without the yielding of the stud, thereby altering the strength and ductility of the connection. Moreover, recent studies have reviewed the reliability of formulations found in codes and the literature [
19]. In this work, the evaluation of the strength and ductility of the studs is not addressed; rather, only the effect of these properties on the response of the structure is considered. Therefore, the properties of the studs provided by the European code on composite constructions (Eurocode 4 [
10]) are assumed.
Eurocode 4 introduces an approach with two formulations, as shown in Equation (1), addressing the failure of steel or concrete. In a mixed mechanism, the design shear strength (
PRd) of the stud is determined by the lower of the two results:
where
ds is the diameter of the stud shank,
fcd is the design compressive cylinder strength of concrete,
fu is the strength of a stud steel,
α is a factor to introduce the effect of the height/diameter ratio, and
is the partial safety factor.
The shear–slip law was developed in only a few studies; the most common shape was suggested by Ollgaard et al. [
12], but a simpler approach is a trilinear representation assuming a first point at the elastic limit (P
e = P
max/2, S
e), a second point at (P
max, S
m), and the ultimate condition at (P
u = 95% of P
max, S
u), as reported in
Figure 1.
In particular, the slip of the main points can be evaluated by the formulations suggested by Johnson and Molenstra [
20], which considered normal-density concretes with 20 < f
c < 70 MPa but were reviewed by Oehlers and Bradford [
21] for an f
c varying between 23 and 82 N/mm
2. They suggested the formula reported in Equations (2)–(4) for the main points:
In their study, the above formulation was found to be valid for stud diameters ranging between 13 and 22 mm, particularly emphasizing the common use of 19 mm. More recently, Lee et al. [
15] confirmed very similar formulations and concluded that Equation (4) could be applicable to larger studs with diameters exceeding 25 mm.
3. Connection Design
For a complete composite interaction, steel and concrete must work together, facilitated by the stud shear connection in a composite section. The assumption of a linear relationship between shear force and slip for composite beams with partial shear interaction was proposed by Newmark et al. [
22] and subsequently evaluated and discussed by other authors [
23,
24].
The connection can be designed by considering the linear behavior of the studs, with the shear demand dependent on the shear distribution along the beam. This suggests designing variable spacing with smaller steps where the shear is higher, such as at the ends of a simply supported beam under a distributed load. If ductile behavior is assumed for the studs, the spacing can be uniform along the beam. The number of studs required depends on the global horizontal shear that must be transferred between significant sections of the beam, such as the support and the most stressed section.
For ductile studs, the number of shear connectors defines the level of interaction. A full shear connection is achieved when an increase in the number of shear connectors (N
f) does not further increase the design bending resistance of the member. Otherwise, the shear connection is considered partial [
20], resulting in a reduction in the section resistance in bending with the minimum value of the steel beam. Queiroz et al. [
25] evaluated full and partial shear connections in composite beams using the finite element (FE) method for simply supported beams subjected to either concentrated or uniformly distributed loads.
The partial shear connection leads to reduced strength and increased ductility in the beam, but slips in serviceability conditions increase, and the deformability of the beam becomes too high. However, in Eurocode 4, the degree of interaction is limited to not less than 0.4 of the full interaction.
3.1. Ductile Connection Design
A ductile connection in a simple supported beam is designed according to Eurocode 4, considering the horizontal shear force between the support and the section of maximum bending moment,
, as the force in tension/compression necessary to attain the plastic moment in the section, which is expressed by Equation (5):
where
b and
d are the width and depth of the concrete slab, respectively,
is the area of the steel beams, and
and
are the strength of concrete in compression and the yielding strength of steel, respectively. For a full shear interaction, the number of studs, N, must respect the limitation in Equation (6).
where
η is the degree of connection and
is the minimum number of studs to reach a full connection.
3.2. Linear Connection Design
Considering a linear distribution of shear along the simple supported deck, the number of studs and their spacing Δ
s can be designed. The shear force for each stud is calculated according to Equation (7).
where V is the shear stress in the beam,
is the first moment of the area above the barycentre of the section, and
is the moment of inertia of the section.
4. Model of the Composite Deck
Various modeling approaches for composite beams with deformable connections have been proposed in the literature that consider different levels of detail in terms of materials, elements, and stud behavior. Two general categories can be defined:
A detailed model using 3D solid elements for concrete and studs can be used to study the local behavior of the connection and the failure mode through the stresses and strains in the materials [
17,
26,
27].
A global model that introduces the connection between steel and concrete parts by nonlinear links with an adequate relationship between displacements (slip and lift) and forces (normal and shear) [
25,
28,
29] can be used to model the steel profile and concrete slab and can be implemented with various levels of detail (frame, shell, and solid elements).
The first approach is particularly important for studying the local behavior of studs, developing the constitutive relationship of the connection, and comparing numerical results with experimental results for push-out tests. However, this approach is not suitable for the global analysis of the entire structure, especially when the behavior of the connection has already been defined by tests or code provisions.
The second type of model represents a good compromise between understanding the role of the connection in the global behavior of the structure and maintaining an acceptable level of computational effort.
Therefore, in this work, the second type of global model was adopted since the aim is to better understand the effect of the main parameters of the connection on the deformability and resistance of the composite beams. A simply supported steel–concrete composite deck of a bridge, with a length ranging from 25 to 50 m, was considered. Skewness was taken into account, with angles ranging from 0 to 60 degrees, as in the literature [
5,
6] and typical applications. The structure is composed of a solid concrete slab and three I-shaped beams connected by headed studs.
The finite element (FE) model was developed using four node shell elements, providing six degrees of freedom for both the steel profiles and the concrete slab. Nonlinear links were introduced to connect these components, considering the load–slip relationships of the connectors.
4.1. Geometric Model
The 3D nonlinear model was developed using the software SAP2000 Version 18 [
30]. The cross section of the deck (
Figure 2) was chosen according to typical composite bridges in Italy and consists of three double T steel profiles (with h = 1300 mm, top flange width b
tf = 350 mm and thickness t
tf = 25 mm, bottom flange width b
bf = 650 mm and thickness t
bf = 55 mm, and web thickness t
w = 12 mm) spaced at 2950 mm and a concrete slab of 300 mm thickness and 6250 mm width. Four transverse elements are located at the ends of the bridge and 1/3 and 2/3 along the length of the bridge. The original bridge has a deck skewed with an angle of 60° in plan defined with respect to the end side orthogonal to the axis, but in this study, to better understand the effect of connection parameters such as ductility and strength, the symmetric model is also introduced. The steel beams are restrained on one side by fixed supports and on the other side by transversal-free supports.
The length parameter plays a crucial role in determining the strength and ductility demands of the connection in the bridge analysis. To accurately assess these factors, three specific lengths were examined: 25 m, 37 m, and 50 m. The influence of the shear–slip law on the bridge’s response and the impact of the skewness parameter were specifically studied for the intermediate length of 37 m. Instead, the linear connection design was analyzed using the 25-meter-long model.
To obtain a detailed model, shell thin elements with four nodes were used to define the concrete and steel elements of the composite concrete-steel bridge, while nonlinear links were implemented for the studs. The mesh of shells had dimensions of 295 mm × 150 mm, 295 mm × 220 mm, and 295 mm × 150 mm for bridges with lengths of 25, 37, and 50 m, respectively, after a sensitivity analysis of the results to the mesh dimensions. In particular, the variation in the results using shell elements with half sides is lower than 1%.
A nonlinear analysis of the case studies was carried out considering a uniform load applied to the entire slab because the main aim is to compare the effect of different connector properties on global behavior, with some information about the distribution of the interface shear and the ductility demand in the studs. The shape of the live load, for example, the concentrated axes of trucks on the bridge, can give different numerical results, but the role of the studs remains the same in terms of comparative contribution due to their strength and ductility.
4.2. Materials and Connection
The material properties were defined according to experimental campaigns on existing composite bridges in Italy, while also considering the more near characteristic values provided by codes. In particular, for the case study, a characteristic cylinder strength of concrete in compression of fc = 30 MPa and a yielding strength of 355 MPa for the construction steel were defined.
The behavior of concrete (
Figure 3a) was assumed to be linear and perfectly plastic in compression, as suggested by Eurocode 2 [
31], with an ultimate strain of 0.0035 according to international codes. It is important to emphasize that in the nonlinear analysis of RC structures, the behavior of concrete in tension is very important. However, in this type of composite beam model, the concrete slab is in compression, and tension stresses are only due to bi-dimensional effects in the global analysis. A bilinear hardening stress–strain behavior was defined for steel (
Figure 3b) with yielding and ultimate strengths of 355 and 540 MPa, respectively. For each shear stud connector, a multilinear plastic link was introduced to the joint shells of the steel flange and concrete slab.
Headed studs with a diameter d
s = 20 mm and a height greater than four times the diameter were selected. The spacing of the studs was designed assuming ductile behavior of the connection and full interaction. The strength of the studs was calculated according to the formulations in Eurocode 4 [
10], but the characteristic values of the materials and stud strength were assumed to be equal to the mean values and the partial safety factor γ = 1 because the actual response of the beam must be analyzed without taking into account the safety effect of the design method. The strength was P
R = 111 kN and resulted from the code formulation based on the concrete failure in the connection.
The nonlinear shear load–slip behavior of the studs has been defined by experiments in the research programs of various authors [
16,
17,
18] and can be implemented through continuous curves as suggested by Ollgaard et al. [
12] or simplified multilinear curves. The shape in
Figure 3c is proposed in this work, considering a trilinear curve (elastic–plastic with softening, RS) or a bilinear curve (elastic–plastic, EP). In particular, in the RS law, a linear ascending branch to (P
R, S
1), being
, a plateau to S
u, and a descending branch up to 20 mm are considered to allow for further nonlinear analysis and obtain the ultimate slip. This RS ideal law represents the real relationship of the stud up to the end of the plateau, while the softening branch is used to continue the calculation, evaluating the theoretical requirement of slip. Also, the bilinear curve of EP is extended up to a high value to evaluate the required slip that is higher than the real value available.
5. Influence of Stud Behavior on the Beam Response
To understand the influence of the connector properties on the global behavior of the bridge, the main parameters of the shear–slip law previously introduced were varied for the case of a span length of 37 m, which is the intermediate length considered in this study. A reference law (RS), according to code and the literature provision, was established with a slip at the elastic limit of 2 mm and a plateau and a descending branch up to 6 mm and 20 mm, respectively. Then, the strength (two times, OS case) and ductility (elastic–perfectly plastic, EP case) were varied. In the case of double strength, the double stiffness of the reference case is assumed, considering the same value of S1.
The plastic design of the connection was developed; therefore, to obtain the spacing of the studs, the horizontal shear force
that must be transferred at the steel–concrete interface is calculated as the minimum value of the maximum compression and tension internal forces that provide the axial equilibrium of the composite section as reported in Equation (8).
Therefore, full shear interaction requires the minimum number of studs for the three beams, which is reported in Equation (9):
This corresponds to coupled studs for each beam with a spacing of 220 mm. The total number of studs on the deck is .
5.1. Global Behavior of the Deck
Analyses were developed for the three cases of stud behavior, but the same number of connectors, N
f, designed for the full interaction of the reference case were considered. Furthermore, a case of partial interaction with half the number of reference cases (
η =
N/
Nf = 0.5) was added. The plastic moment of the partially connected beam,
Mpl,η = 0.5, is simply calculated assuming the linear trend between the plastic moment of the steel section (
Mpl,a) and the plastic moment of the composite section (
Mpl) when the ratio
N/
Nf varies between 0 and 1. Therefore, it results in:
It means that the partially connected beam with a grade η = 0.5 has a flexural resistance equal to 57% of the fully connected beam.
According to the modeling of a simple supported deck under a uniform load, the maximum moment and deflection occurred at the mid-span of the bridge. The load–deflection relationship was elaborated considering the load is non-dimensional with respect to the strength capacity of the deck, i.e., the load
qp corresponds to the plastic moment in the middle span (
). The non-dimensional load–deflection curves are depicted in
Figure 4; the value 1 on the vertical axis corresponds to load
qp, and the horizontal and vertical dashed lines correspond to the yielding moment (according to the analytical behavior of the composite section) and the corresponding deflection given by the model, respectively. (B) The vertical dotted line indicates the limit elastic behavior of the case with partial interaction
N/
Nf = 0.5 (A).
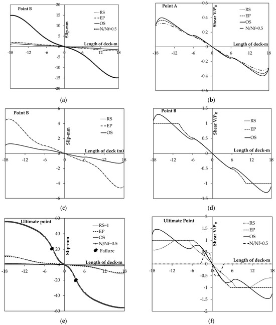
Load qp is related to the plastic moment evaluated by stress blocks, while the elastic–plastic behavior is assumed for concrete and steel; therefore, it can only be asymptotically reached by the models. The results show that 90% of qp is attained in case RS because the demand of the end slip overcomes 6 mm and softening of the stud behavior occurs, i.e., the connection fails before the complete plastification of the most-stressed section of the deck, reducing the global ductility of the structure. Conversely, a higher global capacity in strength and ductility is realized with EP or OS studs, which indicates better performance with greater ductility and strength of the deck. Case OS also shows an increase in stiffness due to the higher stiffness of the studs.
The case designed with N/N
f = 0.5 evidences a brittle failure of the deck; furthermore, the non-dimensional load
is reached, which is lower than the designed one.
This means that the design of ductile connections in partial interaction results in brittle global failure of the structure without assuring the design resistance.
The results underline that a ductile stud defined by Eurocode 4 [
10] with a slip capacity of 6 mm would not be safe. The effect of the partial safety factors of materials and connection strength could provide a final safe design, but these factors would not cover the uncertainties of the materials and connector behaviors, nor necessarily the uncertainty of the global behavior of the beam that is examined in this work.
5.2. Local Response of the Connection
The model allowed for the distribution of the shear and slips in the studs along the deck to be evaluated. In
Figure 5, the slip and shear (non-dimensional values with respect to the reference stud strength PR) in the studs along the central beam are reported for the various behaviors of connectors at the main points in
Figure 4: point A for all four cases, point B at the yielding point, and the ultimate condition excluding the case N/N
f = 0.5. The curves stop before the transverse beam located at the end of the deck.
The RS and EP cases give the same results (the curves are superimposed) in the elastic field (point A) and up to the yielding point (point B) because the maximum slip is less than 6 mm. Conversely, a small difference is clear at the ultimate condition because the slip overcomes 6 mm, and the EP connection allows the maximum shear (the strength of the stud) to be distributed along the deck while the RS shows a reduction in the shear at the beam end. The OS case gives very different results because the higher strength allows a relevant reduction in the slip that remains less than 6 mm at the ultimate condition with a quite linear distribution of slip and shear.
6. Influence of Beam Length on the Ductility Demand of the Connection
To study the influence of bridge length on the ductility demand in the connection of the composite beams, only the EP shear–slip of the stud was assumed. The spacing of the studs (i.e., the numbers) was designed for each deck length to realize the full interaction according to Equation (6) previously introduced. The value of , which is the longitudinal shear at the steel–concrete interface necessary to attain the plastic moment evaluated by Equation (8), is the same for the three lengths considered because the same transversal section of the deck is used; therefore, the number of studs is the same in all cases, and the spacing is different, resulting in 150 mm, 220 mm, and 300 mm for lengths of 25 m, 37 m, and 50 m, respectively.
6.1. Global Behavior of the Deck
The non-dimensional load–deflection curves are shown in
Figure 6. Points on the curves corresponding to significant slip values in the end studs (the more stressed) are evidenced. The significance slip values considered are 2 mm, which is the maximum elastic slip; 6 mm, which is the minimum ultimate limit of a ductile connection according to Eurocode 4 [
10]; and 10 mm, which is possibly a new definition for ductile connections. Furthermore, the slip demand is reported at a maximum deflection of 1/50 L because higher deflections cannot be considered reliable results due to second-order effects and loss of equilibrium on the supports for excessive deformations. The required maximum slip at 1/50 L is the same, approximately 14 mm, for the three spans. The longer the span, the lower the non-dimensional load that occurs at the same slip; at 6 mm, spans of 25 m, 37 m, and 50 m attain 91%, 88%, and 76% of q
p, respectively. In other words, the ductility capacity of the connection depends on the beam length and not only on the stud ductility, although the reduction in ductility is much lower than proportional to the increment in length. The results also emphasize that the ductile stud defined by Eurocode 4 with a slip capacity of 6 mm could not be safe for all lengths in the plastic analysis. If the ultimate slip is enhanced to 10 mm, the non-dimensional load increases to 95%, 94%, and 81% for the three lengths, respectively.
The model allows for the evaluation of the distribution of shear and slips in the studs along the deck. In
Figure 7b,d, the shear (non-dimensional with respect to the reference stud strength P
R) in the studs along the central beam is reported for the various beam lengths at slip = 6 mm or slip = 10 mm at the end. In
Figure 7a,c, the slip in the studs along the spans is depicted when the maximum slip at the end is 6 mm or 10 mm.
The shear in the studs is less than the shear strength near the middle span for a length that depends on the ductility of the studs. The change in trend when the linear behavior of the slips is overcome is also clear in the distribution of the slip along the beam.
6.2. Elastic Design
By considering the linear elastic approach to design the connection, the distribution of the shear along the bridge was evaluated, defining the first part (Part 1 with length l1) from the supports to 10% of the bridge length and the middle part (Part 2, 80% of the bridge length, with length l2).
The analysis was developed considering only the shorter bridge of this work (25 m) with the same shear–slip relationship for the shear connectors but different settings of studs along the bridge length according to the linear elastic design. In particular, two design approaches were applied, assuming maximum shear or mean shear, to design the number of studs in two parts of the bridge. The calculation of the stud number is shown in Equation (12) for the maximum shear case:
resulting in a spacing of 75 mm and 240 mm in the two parts of the deck (l
1 = 2.5 m, l
2 = 10 m), respectively, and a total number of studs N = 1266.
Also, the mean value of the shear in each partition of the bridge was used to design the connection. In this case, the total number of studs is N = 786 (step 100 mm in l1 and 252.5 in l2), which is less than Nf in the ductile design; therefore, it is already clear that the plastic moment cannot be reached.
Figure 8 shows the load–deflection curves for the two linear design approaches. In the max-value design case, 90% of q
p is attained when the maximum slip at the end is at the linear elastic limit of 2 mm, and a small ductility with a maximum slip of 2.7 mm allows 98% of q
p to be attained at a deflection limit of L/50, assumed as a global ultimate condition when the studs and materials failure are not attained before. Applying the liner design with a mean-value limit slip of 2 mm allows only 64% of q
p to be supported, but a stud ductility up to 6 mm results in 88%, which is similar to the max-value approach up to 2 mm. In
Figure 8, the load level at the yielding moment of the deck section is also evidenced; this limit occurs with the studs in the linear field (maximum slip less than 2 mm) if the max-value approach is applied; conversely, the mean-value approach requires the linear elastic slip to be overcome so the section yields. In
Figure 9, the slip and shear in the studs along the central beam are drawn as shown at the ultimate point (L/50) for the max-value design and at 6 mm maximum slip for the mean-value design; it is clear that the use of a max-value design approach allows the studs to be in the linear field along the entire bridge up until the plastic moment is attained.
7. Response of the Skewed Bridge
The analyses of the bridge response have been extended to the mid-span load–deflection and shear–slip curves in the studs along the bridge with skew angles of 0°, 45°, and 60°. In particular, the elastic–plastic behavior of the shear connectors is used in the FE model. In
Figure 10, the load–displacement is shown; the skewness gives a stiffer behavior, and the ultimate load increases. Due to the negative bending moment at the support, born for the skewness, a reduction of 6% of the positive one occurs in the span; it means that a good performance can be realized if failure at the support does not happen due to buckling of the steel bottom flange in compression. The response of the three beams of the deck becomes more different with a skewness of 60°.
Figure 11,
Figure 12,
Figure 13 and
Figure 14 show the longitudinal shear and slip curves, illustrating the bridge’s performance in two key scenarios: when load–deflection curves approach the nonlinear threshold and when they reach the critical failure point, typically associated with concrete failure. While the required maximum slip remains relatively consistent in the linear range, a shift occurs among the three beams of the deck as the behavior turns nonlinear.
The model allows for the assessment of shear and slip distribution in the studs along the deck.
Figure 11 and
Figure 12 show the slip in the studs along the three beams (A, B, and C) for two steps: the nonlinear threshold and slip = 10 mm at the end. Meanwhile,
Figure 13 and
Figure 14 present the shear in the three beams (A, B, and C) for these steps.
As observed when the general behavior of the bridge becomes nonlinear (
Figure 11 and
Figure 12), the slip of the models with skewness, compared to the symmetric model, can be different. On one edge, the values are greater than on the other edge. The same situation occurs for shear stresses (
Figure 13 and
Figure 14). In other words, the slip and shear distribution along the beam also demonstrate a change in trend once the linear slip behavior is overcome.
Furthermore, the introduction of a skew angle in the bridge shifts the point of the three beams where the shear and slip values are zero. Consequently, changes occur in the distribution of shear and slip along the bridge deck.
As the skew angle increases, shear forces tend to concentrate more towards the longer side of the bridge, resulting in uneven shear distribution along the deck. This phenomenon leads to localized regions with higher shear and slip requirements, potentially affecting the overall structural integrity and load-carrying capacity of the bridge.
Therefore, a thorough understanding of the influence of the skew angle on shear and slip distribution is important for accurately assessing the structural response and safety of skewed composite bridges.
In
Figure 15 and
Figure 16, the response of the studs of each beam is shown for a skewness of 45°.
Figure 15 and
Figure 16 illustrate the distribution of slip (depicted in
Figure 15a and
Figure 16a) and shear (shown in
Figure 15b and
Figure 16b) for the headed studs in the beams of the deck with skewness angles measuring 45° and 60°. The behavior of the three steel beams (A, B, and C) differs, with beam A exhibiting the highest values, beam C the lowest, and beam B showing an intermediate behavior. It is noticeable that as the skewness increases, the distribution of the various beams becomes much different.
As illustrated in
Figure 17, the analysis reveals intriguing insights into the horizontal shear distribution along the bridge. In
Figure 17a, the maximum slip in the studs attained at the ultimate load is reported for the different bridge beams; the maximum slip is required in the symmetric bridge. In
Figure 17b, the maximum shear is reported, which results in the same because elastic–plastic behavior has been assumed for the studs.
In
Figure 17c, the sum of shear along the half span is reported in various cases. The maximum shear transferred occurs in the case of the symmetric bridge. As the skew angle increases, a decrease in the shear distribution along the deck is observed.
This finding emphasizes the importance of considering the deck angle when designing composite bridges, as it significantly affects the shear behavior and load transfer mechanism. Overall, these findings shed light on the complex interplay between the bridge’s geometric characteristics, such as skewness, and the distribution of shear forces along the deck.
8. Conclusions
The performance of the connection between concrete and steel profiles governs the strength and ductility of composite beams. Therefore, the influence of the main characteristics of studs—strength and ductility—on the response of a composite bridge deck has been studied.
While the topic might already be considered solved after decades of studies on studs and composite beams, the reality is different, as demonstrated by results that do not confirm the efficiency of the current Eurocode 4 provisions for designing ductile connections. In fact, a review of the code is currently in progress. The simple model adopted for analyzing the effect of the strength and ductility of the connection on the composite decks underlined some general features:
The ductility demand in the connection increases with the beam length. In the case of the three lengths of deck with the same section, assuming 6 mm of slip capacity for studs, the reduction in load capacity with respect to the plastic load is 91%, 88%, and 76% for 25 m, 37 m, and 50 m, respectively.
By increasing the ductility of the studs to a slip of 10 mm, the load capacity with respect to the plastic load increases to 95%, 94%, and 81%.
The elastic design of the connection, assuming a maximum shear on each beam segment with constant spacing, two segments of 10% at the ends, and a central segment of 80% in this case study, allows the yielding moment to be overcome and attain 90% of the plastic load at a limit elastic slip of 2 mm, reaching 98% with a demand of 2.7 mm.
In the models with skewness, the slip distributions are different in the three beams of the deck, and the skew angle increases.
The study underlines that further analysis is necessary to well assess the ductility required of the studs, whether a nonlinear or a linear design is applied.