The Role of a Simple Inerter in Seismic Base Isolation
Abstract
1. Introduction
2. Base-Isolated Rigid Structure with TMDI and ADAS
2.1. Supplemental TMDI Device
2.2. Supplemental ADAS Device
3. Rigid Base-Isolated Structure with FID and FD
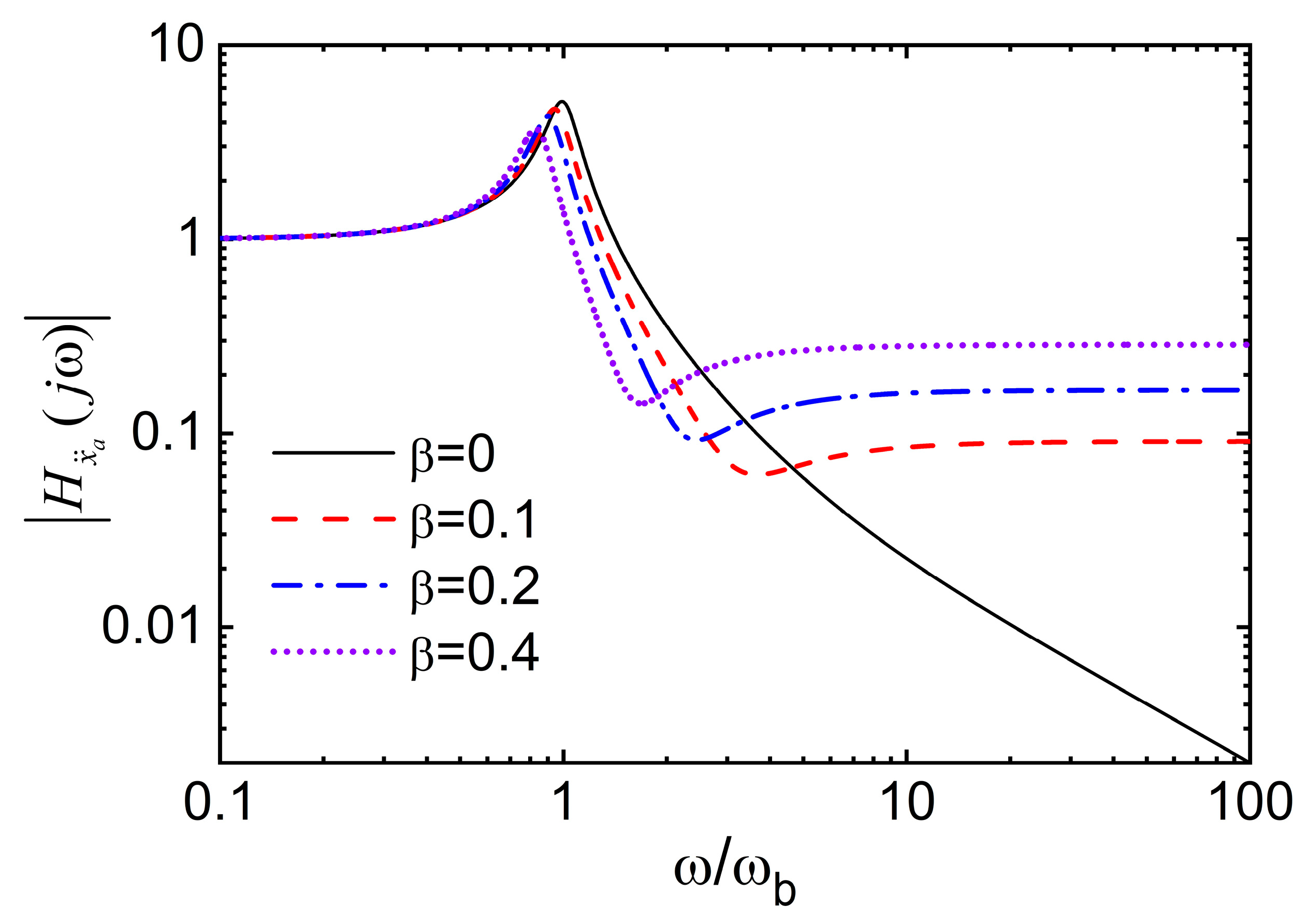
4. Response under Filtered White-Noise Excitation
5. Flexible Isolated Structure under Real Earthquakes
6. Conclusions
- The TMDI (especially with a sizeable inertance ratio) may not control the response of the base-isolated structure through tuning effects but is controlled by the added heavy damping and stiffness of its auxiliary damper under real earthquake excitation. It is recommended that the corresponding damping and stiffness (i.e., ADAS) of the TMDI be installed in parallel to the isolation device for better response control and economy.
- The variance of base-isolated structures with optimal TMDI subjected to broadband earthquake excitation is higher than the corresponding ADAS for lower values of the inertance ratio. However, for the higher inertance ratio, the ADAS is superior to the TMDI in reducing the displacement variance of the base-isolated structures.
- For a broadband excitation, the displacement variance of the base-isolated structure with supplemental FID is not influenced by the inerter of the FID. The reduction in displacement is primarily due to the added damping of the FID. It is recommended that the FD alone can better control the response of the base-isolated structure as compared to the FID.
- There is a greater or comparable reduction in the base displacement of the isolated structures under real earthquake excitation by ADAS compared to the corresponding optimal TMDI. It implies that with a suitable ADAS, better control of response in the isolation system can be achieved.
- The absolute structural acceleration of a base-isolated structure with a fluid inerter damper (FID) exhibits the presence of high-frequency components, potentially posing adverse impacts on equipment or secondary systems sensitive to high-frequency disturbances. An inerter attached to the ground and an isolated structure defeat the purpose of seismic isolation by transmitting the vibrations and increasing the base shear of the structure.
- The inerter-based supplemental devices such as TMDI (or TID) and FID (or EIMD) may not be very effective for the base-isolated structures to warrant their practical application.
Funding
Institutional Review Board Statement
Informed Consent Statement
Data Availability Statement
Conflicts of Interest
References
- Ma, R.; Bi, K.; Hao, H. Inerter-based structural vibration control: A state-of-the-art review. Eng. Struct. 2021, 243, 112655. [Google Scholar] [CrossRef]
- Smith, M.C. Synthesis of mechanical networks: The inerter. IEEE Trans. Autom. Control 2002, 47, 1648–1662. [Google Scholar] [CrossRef]
- De Domenico, D.; Ricciardi, G. An enhanced base isolation system equipped with optimal tuned mass damper inerter (TMDI). Earthq. Eng. Struct. Dyn. 2018, 47, 1169–1192. [Google Scholar] [CrossRef]
- De Domenico, D.; Ricciardi, G. Optimal design and seismic performance of tuned mass damper inerter (TMDI) for structures with nonlinear base isolation systems. Earthq. Eng. Struct. Dyn. 2018, 47, 2539–2560. [Google Scholar] [CrossRef]
- De Domenico, D.; Ricciardi, G. Improving the dynamic performance of base-isolated structures via tuned mass damper and inerter devices: A comparative study. Struct. Control Health Monit. 2018, 25, e2234. [Google Scholar] [CrossRef]
- De Domenico, D.; Impollonia, N.; Ricciardi, G. Soil-dependent optimum design of a new passive vibration control system combining seismic base isolation with tuned inerter damper. Soil Dyn. Earthq. Eng. 2018, 105, 37–53. [Google Scholar] [CrossRef]
- De Angelis, M.; Giaralis, A.; Petrini, F.; Pietrosanti, D. Optimal tuning and assessment of inertial dampers with grounded inerter for vibration control of seismically excited base-isolated systems. Eng. Struct. 2019, 196, 109250. [Google Scholar] [CrossRef]
- Di Matteo, A.; Masnata, C.; Pirrotta, A. Simplified analytical solution for the optimal design of Tuned Mass Damper Inerter for base isolated structures. Mech. Syst. Signal Process. 2019, 134, 106337. [Google Scholar] [CrossRef]
- Masnata, C.; Di Matteo, A.; Adam, C.; Pirrotta, A. Assessment of the tuned mass damper inerter for seismic response control of base-isolated structures. Struct. Control Health Monit. 2021, 28, e2665. [Google Scholar] [CrossRef]
- Li, Y.; Li, S.; Chen, Z. Optimal design and effectiveness evaluation for inerter-based devices on mitigating seismic responses of base isolated structures. Earthq. Eng. Eng. Vib. 2021, 20, 1021–1032. [Google Scholar] [CrossRef]
- Chowdhury, S.; Banerjee, A.; Adhikari, S. Enhanced seismic base isolation using inertial amplifiers. Structures 2021, 33, 1340–1350. [Google Scholar] [CrossRef]
- Jangid, R.S. Optimum parameters and performance of tuned mass damper-inerter for base-isolated structures. Smart Struct. Syst. 2022, 29, 549–560. [Google Scholar]
- Han, G.; Wu, Y.; Hou, G.; Yue, Z. Optimal design of nuclear power plants containment with tuned mass damper inerter device for earthquake loadings. J. Mech. Sci. Technol. 2023, 37, 5607–5621. [Google Scholar] [CrossRef]
- Li, C.; Chang, K.; Cao, L.; Huang, Y. Performance of a nonlinear hybrid base isolation system under the ground motions. Soil Dyn. Earthq. Eng. 2021, 143, 106589. [Google Scholar] [CrossRef]
- Cao, L.; Li, C. A high performance hybrid passive base-isolated system. Struct. Control Health Monit. 2022, 29, e2887. [Google Scholar] [CrossRef]
- Pietrosanti, D.; De Angelis, M.; Giaralis, A. Experimental study and numerical modeling of nonlinear dynamic response of SDOF system equipped with tuned mass damper inerter (TMDI) tested on shaking table under harmonic excitation. Int. J. Mech. Sci. 2020, 184, 105762. [Google Scholar] [CrossRef]
- Pietrosanti, D.; De Angelis, M.; Giaralis, A. Experimental seismic performance assessment and numerical modelling of nonlinear inerter vibration absorber (IVA)-equipped base isolated structures tested on shaking table. Earthq. Eng. Struct. Dyn. 2021, 50, 2732–2753. [Google Scholar] [CrossRef]
- Qian, F.; Luo, Y.; Sun, H.; Tai, W.C.; Zuo, L. Optimal tuned inerter dampers for performance enhancement of vibration isolation. Eng. Struct. 2019, 198, 109464. [Google Scholar] [CrossRef]
- Jangid, R.S. Optimum tuned inerter damper for base-isolated structures. J. Vib. Eng. Technol. 2021, 9, 1483–1497. [Google Scholar] [CrossRef]
- Nyangi, P.; Ye, K. Optimal design of dual isolated structure with supplemental tuned inerter damper based on performance requirements. Soil Dyn. Earthq. Eng. 2021, 149, 106830. [Google Scholar] [CrossRef]
- Zhang, L.; Guo, M.; Li, Z.; Zhu, L.; Meng, Y. Optimal design and seismic performance of base-isolated storage tanks using friction pendulum inerter systems. Structures 2022, 43, 234–248. [Google Scholar] [CrossRef]
- Huang, X.; Hu, Z.; Liu, Y.; Nie, L. Study on seismic performance of TID-LRB hybrid control system under multi-level earthquakes. Buildings 2022, 12, 1465. [Google Scholar] [CrossRef]
- Li, J.-Y.; Lu, J.; Zhou, H. Reliability analysis of structures with inerter-based isolation layer under stochastic seismic excitations. Reliab. Eng. Syst. Saf. 2023, 235, 109222. [Google Scholar] [CrossRef]
- Tai, Y.-J.; Huang, Z.-W.; Chen, C.; Hua, X.-G.; Chen, Z.-Q. Geometrically nonlinearity analysis and performance evaluation of tuned inerter dampers for multidirectional seismic isolation. Mech. Syst. Signal Process. 2022, 168, 108681. [Google Scholar] [CrossRef]
- Stanikzai, M.H.; Elias, S.; Matsagar, V.A.; Jain, A.K. Seismic response control of base-isolated buildings using multiple tuned mass dampers. Struct. Des. Tall Spec. Build. 2019, 28, e1576. [Google Scholar] [CrossRef]
- Stanikzai, M.H.; Elias, S.; Rupakhety, R. Seismic response mitigation of base-isolated buildings. Appl. Sci. 2020, 10, 1230. [Google Scholar] [CrossRef]
- Zhao, Z.; Chen, Q.; Zhang, R.; Pan, C.; Jiang, Y. Optimal design of an inerter isolation system considering the soil condition. Eng. Struct. 2019, 196, 109324. [Google Scholar] [CrossRef]
- Zhao, Z.; Zhang, R.; Jiang, Y.; Pan, C. Seismic response mitigation of structures with a friction pendulum inerter system. Eng. Struct. 2019, 193, 110–120. [Google Scholar] [CrossRef]
- Sun, H.; Zuo, L.; Wang, X.; Peng, J.; Wang, W. Exact H2 optimal solutions to inerter-based isolation systems for building structures. Struct. Control Health Monit. 2019, 26, e2357. [Google Scholar] [CrossRef]
- De Domenico, D.; Deastra, P.; Ricciardi, G.; Sims, N.D.; Wagg, D.J. Novel fluid inerter based tuned mass dampers for optimised structural control of base-isolated buildings. J. Frankl. Inst. 2019, 356, 7626–7649. [Google Scholar] [CrossRef]
- De Domenico, D.; Ricciardi, G.; Zhang, R. Optimal design and seismic performance of tuned fluid inerter applied to structures with friction pendulum isolators. Soil Dyn. Earthq. Eng. 2020, 132, 106099. [Google Scholar] [CrossRef]
- Jiang, Y.; Zhao, Z.; Zhang, R.; De Domenico, D.; Pan, C. Optimal design based on analytical solution for storage tank with inerter isolation system. Soil Dyn. Earthq. Eng. 2020, 129, 105924. [Google Scholar] [CrossRef]
- Akhare, A.R. Seismic response control of base-isolated structures with fluid inerter damper. Int. J. Struct. Eng. 2023, 13, 1–21. [Google Scholar] [CrossRef]
- Zhao, Z.; Hu, X.; Zhang, R.; Xie, M.; Liu, S. Advantages and design of inerters for isolated storage tanks incorporating soil conditions. Thin-Walled Struct. 2024, 195, 111356. [Google Scholar] [CrossRef]
- Wang, H.; Shen, W.; Li, Y.; Zhu, H.; Zhu, S. Dynamic behavior and seismic performance of base-isolated structures with electromagnetic inertial mass dampers: Analytical solutions and simulations. Eng. Struct. 2021, 246, 113072. [Google Scholar] [CrossRef]
- Lin, G.-L.; Lin, C.-C.; Li, Y.-H.; Lin, T.-T. Theoretical and experimental analysis of an electromagnetic seismic isolation system. Eng. Struct. 2022, 250, 113411. [Google Scholar] [CrossRef]
- Villaverde, R. Reduction in seismic response with heavily-damped vibration absorbers. Earthq. Eng. Struct. Dyn. 1985, 13, 33–42. [Google Scholar] [CrossRef]
- Bakre, S.V.; Jangid, R.S. Optimum parameters of tuned mass damper for damped main system. Struct. Control Health Monit. 2007, 14, 448–470. [Google Scholar] [CrossRef]
- Pietrosanti, D.; De Angelis, M.; Basili, M. Optimal design and performance evaluation of systems with Tuned Mass Damper Inerter (TMDI). Earthq. Eng. Struct. Dyn. 2017, 46, 1367–1388. [Google Scholar] [CrossRef]
- Prakash, S.; Jangid, R.S. Optimum parameters of tuned mass damper-inerter for damped structure under seismic excitation. Int. J. Dyn. Control 2022, 10, 1322–1336. [Google Scholar] [CrossRef]
- Makris, N. Rigidity—plasticity—viscosity: Can electrorheological dampers protect base-isolated structures from near-source ground motions? Earthq. Eng. Struct. Dyn. 1997, 26, 571–591. [Google Scholar] [CrossRef]
- Swift, S.J.; Smith, M.C.; Glover, A.R.; Papageorgiou, C.; Gartner, B.; Houghton, N.E. Design and modelling of a fluid inerter. Int. J. Control 2013, 86, 2035–2051. [Google Scholar] [CrossRef]
- Liu, X.; Jiang, J.Z.; Titurus, B.; Harrison, A. Model identification methodology for fluid-based inerters. Mech. Syst. Signal Process. 2018, 106, 479–494. [Google Scholar] [CrossRef]
- Wagg, D.J.; Pei, J.-S. Modeling a helical fluid inerter system with time-invariant mem-models. Struct. Control Health Monit. 2020, 27, e2579. [Google Scholar] [CrossRef]
- Roberts, J.B.; Spanos, P.D. Random Vibration and Statistical Linearization; Wiley: Chichester, UK, 1990. [Google Scholar]
- Kanai, K. Semi-empirical formula for the seismic characteristics of the ground. Bull. Earthq. Res. Inst. 1957, 35, 309–325. [Google Scholar]
- Tajimi, H. A statistical method of determining the maximum response of a building structure during an earthquake. In Proceedings of the 2nd World Conference on Earthquake Engineering, Tokyo, Japan, 11–18 July 1960; pp. 781–798. [Google Scholar]
- Kelly, J.M. Earthquake-Resistant Design with Rubber, 2nd ed.; Springer: London, UK, 1997. [Google Scholar]
- Chopra, A.K. Dynamics of Structures: Theory and Applications to Earthquake Engineering, 5th ed.; Pearson: Hoboken, NJ, USA, 2017. [Google Scholar]
- Li, L.; Liang, Q. Effect of inerter for seismic mitigation comparing with base isolation. Struct. Control Health Monit. 2019, 26, e2409. [Google Scholar] [CrossRef]
- Makris, N.; Moghimi, G. Displacements and forces in structures with inerters when subjected to earthquakes. J. Struct. Eng. 2019, 145, 04018260. [Google Scholar] [CrossRef]
- Jangid, R.S. Seismic performance of supplemental inerter and spring with on-off effects for base-isolated structures. J. Infrastruct. Intell. Resil. 2023, 2, 100038. [Google Scholar] [CrossRef]
- Jangid, R.S. Seismic performance of a clutched inerter for structures with curved surface sliders. Structures 2023, 49, 44–57. [Google Scholar] [CrossRef]
- Gao, H.; Xing, C.; Wang, H.; Li, J.; Zhang, Y. Performance improvement and demand-oriented optimum design of the tuned negative stiffness inerter damper for base-isolated structures. J. Build. Eng. 2023, 63, 105488. [Google Scholar] [CrossRef]
- Islam, N.U.; Jangid, R.S. Optimum parameters and performance of negative stiffness and inerter based dampers for base-isolated structures. Bull. Earthq. Eng. 2023, 21, 1411–1438. [Google Scholar] [CrossRef]











Disclaimer/Publisher’s Note: The statements, opinions and data contained in all publications are solely those of the individual author(s) and contributor(s) and not of MDPI and/or the editor(s). MDPI and/or the editor(s) disclaim responsibility for any injury to people or property resulting from any ideas, methods, instructions or products referred to in the content. |
© 2024 by the author. Licensee MDPI, Basel, Switzerland. This article is an open access article distributed under the terms and conditions of the Creative Commons Attribution (CC BY) license (https://creativecommons.org/licenses/by/4.0/).
Share and Cite
Jangid, R.S. The Role of a Simple Inerter in Seismic Base Isolation. Appl. Sci. 2024, 14, 1056. https://doi.org/10.3390/app14031056
Jangid RS. The Role of a Simple Inerter in Seismic Base Isolation. Applied Sciences. 2024; 14(3):1056. https://doi.org/10.3390/app14031056
Chicago/Turabian StyleJangid, Radhey Shyam. 2024. "The Role of a Simple Inerter in Seismic Base Isolation" Applied Sciences 14, no. 3: 1056. https://doi.org/10.3390/app14031056
APA StyleJangid, R. S. (2024). The Role of a Simple Inerter in Seismic Base Isolation. Applied Sciences, 14(3), 1056. https://doi.org/10.3390/app14031056

