Stability Analysis of the Landfill Slope with an Engineered Berm Under Composite Failure Mode
Abstract
1. Introduction
2. Computational Model
2.1. Basic Assumptions
2.2. Equations of Equilibrium When Over-Berm Failure Occurs
2.2.1. Equations of Equilibrium About Block Wedge
2.2.2. Equations of Equilibrium About Log-Spiral Failure Body
2.2.3. Equations of Equilibrium About Passive Wedge
2.3. Equations of Equilibrium When Under-Berm Failure Occurs
2.4. Implicit Function Equations of the Safety Factor
2.4.1. Implicit Function Equations When Over-Berm Failure Occurs
2.4.2. Implicit Function Equations When Under-Berm Failure Occurs
2.5. Calculation of the Safety Factor
3. Results
3.1. Error Analysis
3.1.1. Analysis of the Safety Factor When Over-Berm Failure Occurs
3.1.2. Analysis of the Safety Factor When Under-Berm Failure Occurs
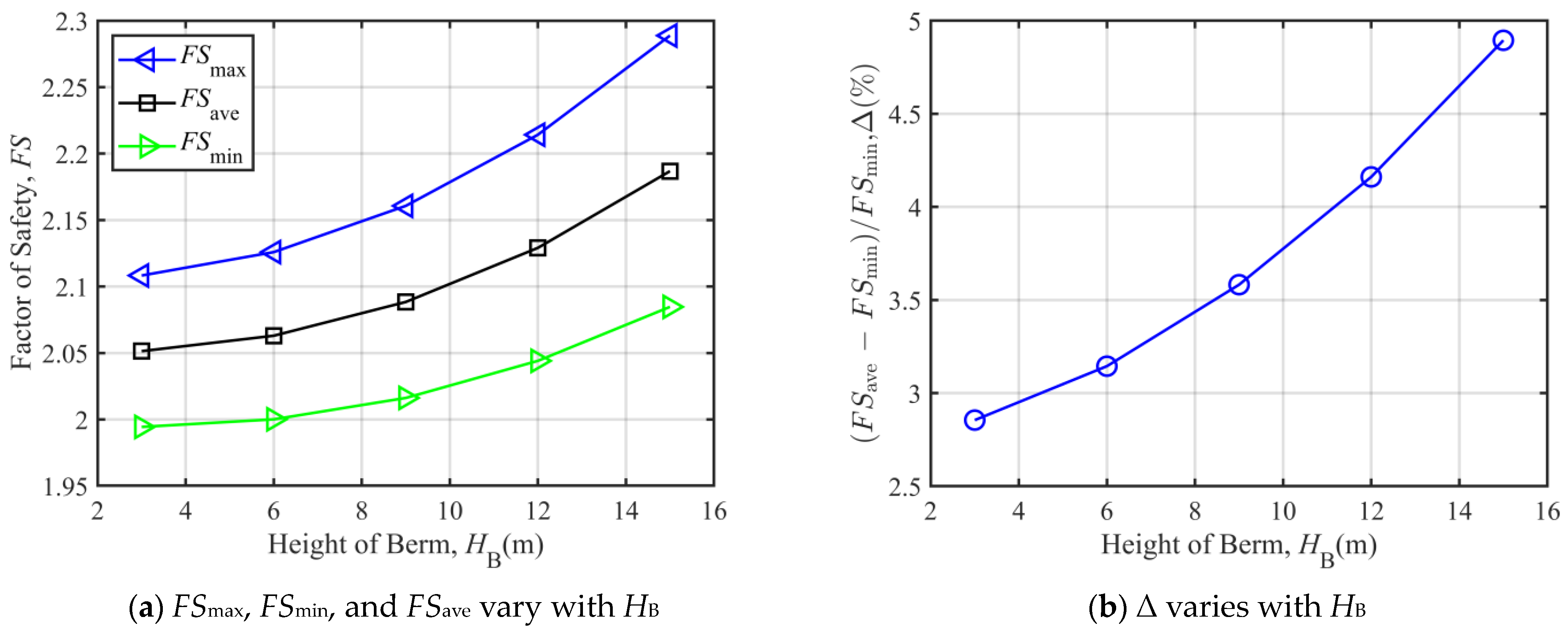
3.2. Parametric Analysis
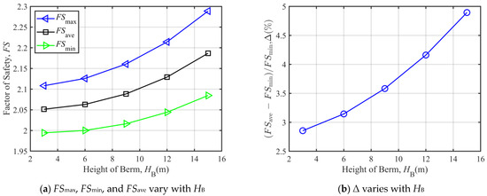
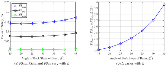
3.2.1. Parametric Analysis When Over-Berm Failure Occurs
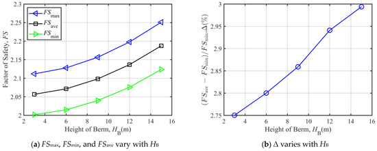
3.2.2. Parametric Analysis When Under-Berm Failure Occurs
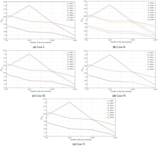
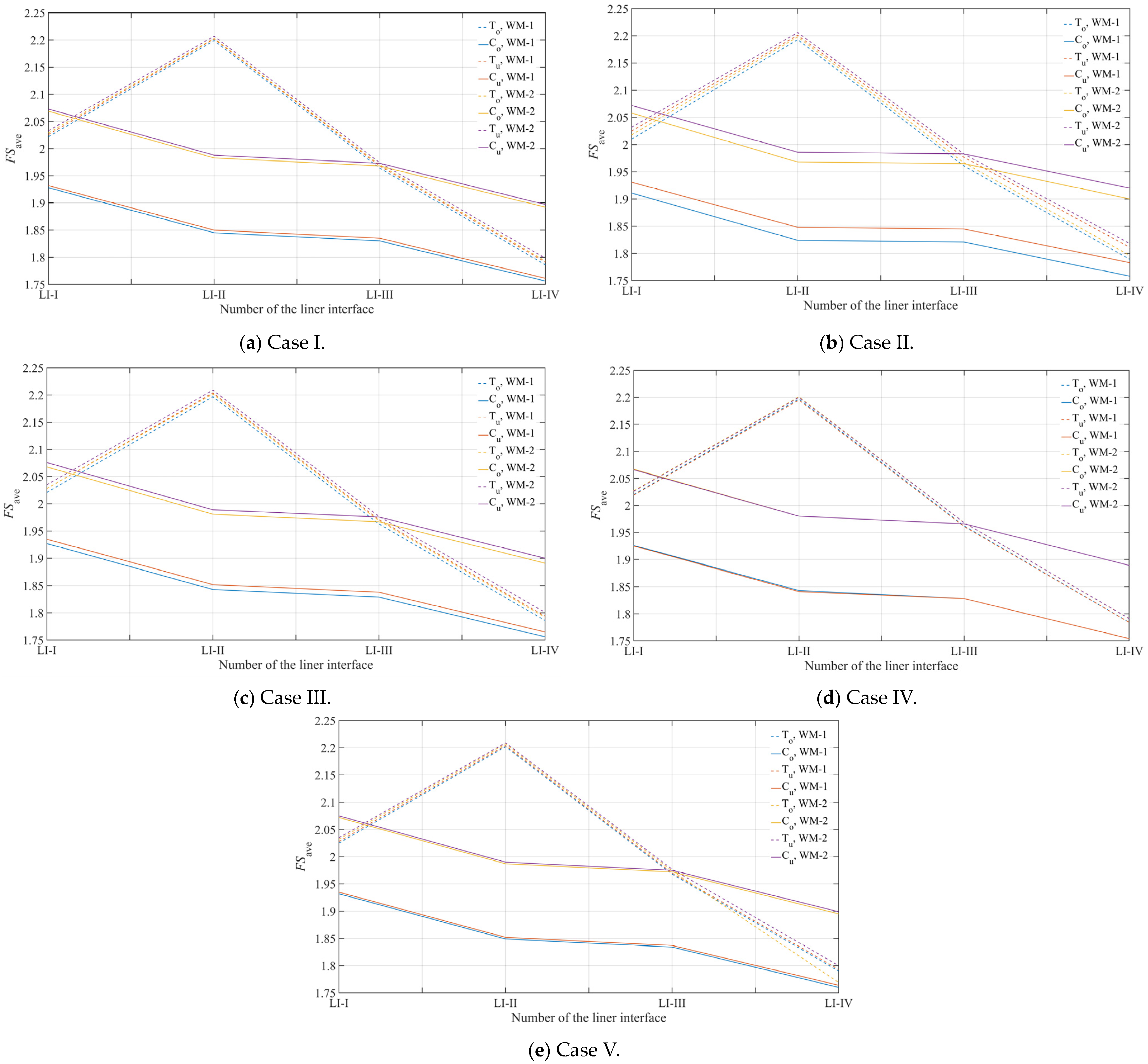
3.3. Slip Surface Analysis
3.3.1. Slip Surface Analysis When Over-Berm Failure Occurs
3.3.2. Slip Surface Analysis When Under-Berm Failure Occurs
4. Discussion
5. Conclusions
Author Contributions
Funding
Institutional Review Board Statement
Informed Consent Statement
Data Availability Statement
Conflicts of Interest
References
- De Stefano, M.; Gharabaghi, B.; Clemmer, R.; Jahanfar, M.A. Berm design to reduce risks of catastrophic slope failures at solid waste disposal sites. Waste Manag. Res. 2016, 34, 1117–1125. [Google Scholar] [CrossRef] [PubMed]
- Jiang, H.; Zhou, X.; Xiao, W. Stability of extended earth berm for high landfill. Appl. Sci. 2020, 10, 6281. [Google Scholar] [CrossRef]
- Sheng, H.; Ren, Y.; Huang, M.; Zhang, Z.; Lan, J. Vertical expansion stability of an existing landfill: A case study of a landfill in Xi’an, China. Adv. Civ. Eng. 2021, 2021, 5574238. [Google Scholar] [CrossRef]
- Qian, X.; Koerner, R.M. Translational Failure Analysis of Solid Waste Landfills Including Seismicity and Leachate Head Calculations; GRI Report No. 33; Geosynthetic Research Institute, Drexel University: Philadelphia, PA, USA, 2007. [Google Scholar]
- Tu, F.; Wu, X.; Wang, Q. Consistent model of translational failure analysis of sanitary landfills with refuse dam. Chin. J. Rock Mech. Eng. 2009, 28, 1928–1935. (In Chinese) [Google Scholar]
- Qian, X.; Koerner, R.M. Stability analysis when using an engineered berm to increase landfill space. J. Geotech. Geoenviron. Eng. 2009, 135, 1082–1091. [Google Scholar] [CrossRef]
- Liu, C.; Shi, J.; Lv, Y.; Shao, G. A modified stability analysis method of landfills dependent on gas pressure. Waste Manag. Res. 2021, 39, 784–794. [Google Scholar] [CrossRef]
- Annapareddy, V.S.R.; Pain, A.; Sufian, A.; Godas, S.; Scheuermann, A. Influence of heterogeneity and elevated temperatures on the seismic translational stability of engineered landfills. Waste Manag. 2023, 158, 1–12. [Google Scholar] [CrossRef]
- Li, J.; Chen, R.; Lin, H. Limit equilibrium analysis of landfill instability based on actual failure surface. Appl. Sci. 2023, 13, 10498. [Google Scholar] [CrossRef]
- Zhang, W.; Han, L.; Gu, X.; Wang, L.; Chen, F.; Liu, H. Tunneling and deep excavations in spatially variable soil and rock masses: A short review. Undergr. Space 2022, 7, 380–407. [Google Scholar] [CrossRef]
- Sun, S.L.; Ruan, X.B. Seismic stability for landfills with a triangular berm using pseudo-static limit equilibrium method. Environ. Earth Sci. 2013, 68, 1465–1473. [Google Scholar] [CrossRef]
- Qian, X.; Koerner, R.M.; Gray, D.H. Translational failure analysis of landfills. J. Geotech. Geoenviron. Eng. 2003, 129, 506–519. [Google Scholar] [CrossRef]
- Qian, X.; Koerner, R.M. Effect of apparent cohesion on translational failure analyses of landfills. J. Geotech. Geoenviron. Eng. 2004, 130, 71–80. [Google Scholar] [CrossRef]
- Qian, X. Limit equilibrium analysis of translational failure of landfills under different leachate buildup conditions. Water Sci. Eng. 2008, 1, 44–62. [Google Scholar]
- Qian, X.; Koerner, R.M. Modification to translational failure analysis of landfills incorporating seismicity. J. Geotech. Geoenviron. Eng. 2010, 136, 718–727. [Google Scholar] [CrossRef]
- Feng, S.J.; Chen, Y.M.; Gao, G.Y. Analysis on translational failure of landfill along the underlying liner system. Chin. J. Geotech. Eng. 2007, 29, 20–25. (In Chinese) [Google Scholar]
- Feng, S.; Chen, Y.; Gao, G.; Zhang, J.X. Effects of retaining wall and interface strength on translational failure of landfill along underlying liner system. Chin. J. Rock Mech. Eng. 2007, 26, 149–155. (In Chinese) [Google Scholar]
- Feng, S.J.; Chen, Y.M.; Gao, L.Y.; Gao, G.Y. Translational failure analysis of landfill with retaining wall along the underlying liner system. Environ. Earth Sci. 2010, 60, 21–34. [Google Scholar] [CrossRef]
- Feng, S.J.; Gao, L.Y. Seismic analysis for translational failure of landfills with retaining walls. Waste Manag. 2010, 30, 2065–2073. [Google Scholar] [CrossRef]
- Gao, D.; Zhu, B.; Chen, Y. Three-part wedge method for tanslational sliding analyses of landfills retained by a toe dam. Chin. J. Rock Mech. Eng. 2007, 26 (Suppl. S2), 4378–4385. (In Chinese) [Google Scholar]
- Chen, Y.M.; Gao, D.; Zhu, B.; Chen, R.P. Seismic stability and permanent displacement analysis of a solid waste landfill along geosynthetic interface. Sci. China Technol. 2008, 38, 79–94. [Google Scholar]
- Choudhury, D.; Savoikar, P. Seismic stability analysis of expanded MSW landfills using pseudo-static limit equilibrium method. Waste Manag. Res. 2011, 29, 135–145. [Google Scholar] [CrossRef] [PubMed]
- Ruan, X.B.; Sun, S.L.; Liu, W.L. Effect of the amplification factor on seismic stability of expanded municipal solid waste landfills using the pseudo-dynamic method. J. Zhejiang Univ.-Sci. A 2013, 14, 731–738. [Google Scholar] [CrossRef]
- Ruan, X.B.; Lin, H. Relationship between shear wave wavelength and pseudo-dynamic seismic safety factor in expanded landfill. Arab. J. Sci. Eng. 2015, 40, 2271–2288. [Google Scholar] [CrossRef]
- Chen, D.; Chen, Y.; Ye, W.; Ye, D.; Lai, Q. Calculation and analysis of stability of landfills under blasting vibration loads. Chinese J. Geotech. Eng. 2024, 46, 1067–1076. [Google Scholar]
- Mahapatra, S.; Basha, B.M.; Manna, B. Leachate Pressure Effect on a System Reliability-Based Design of Reinforced Soil Walls for a Vertical Expansion of MSW Landfills. Int. J. Geomech. 2023, 23, 04023027. [Google Scholar] [CrossRef]
- Koerner, R.M.; Soong, T.Y. Leachate in landfills: The stability issues. Geotext. Geomembr. 2000, 18, 293–309. [Google Scholar] [CrossRef]
- Zhang, W.; Lin, S.; Wang, L.; Jiang, X.; Wang, S. A novel creep contact model for rock and its implement in discrete element simulation. Comput. Geotech. 2024, 167, 106054. [Google Scholar] [CrossRef]
- Thiel, R.S. Peak vs. residual shear strength for landfill bottom liner stability analyses. In Proceedings of the 15th Annual GRI Conference Hot Topics in Geosynthetics—II, Houston, TX, USA, 13–14 December 2001; Geosynthetics Institute: Folsom, PA, USA, 2001. [Google Scholar]
- Fowmes, G.; Dixon, N.; Jones, D.R.V. Landfill stability and integrity: The UK design approach. Proc. Inst. Civ. Eng. Waste Resour. Manag. 2007, 160, 51–61. [Google Scholar] [CrossRef]
- Ruan, X.B.; Wang, H.W.; Luo, Y.S.; Hou, C. Composite failure analysis of municipal solid waste landfill cell stability. Iran. J. Sci. Technol. Trans. Civ. Eng. 2022, 46, 2325–2343. [Google Scholar] [CrossRef]
- Ruan, X.B.; Yue, Q.S.; Zhu, D.Y.; Sun, S. Seismic stability analysis for composite failure of landfills. In Proceedings of the IACGE 2018, Philadelphia, PA, USA, 23–25 October 2018; pp. 549–556. [Google Scholar]
- Leshchinsky, D.; San, K.C. Pseudostatic seismic stability of slopes: Design charts. J. Geotech. Eng. 1994, 120, 1514–1532. [Google Scholar] [CrossRef]
- Ruan, X.; Luo, Y.-S.; Yan, J.; Zhang, L. Seismic internal stability of bilinear geosynthetic-reinforced slopes with cohesive backfills. Soil Dyn. Earthq. Eng. 2021, 143, 106599. [Google Scholar] [CrossRef]
- Whitman, R.V.; Bailey, W.A. Use of computers for slope stability analysis. J. Soil Mech. Found. Div. 1967, 93, 475–498. [Google Scholar] [CrossRef]
- Ministry of Housing and Urban-Rural Development of the People’s Republic of China. Technical Code for Geotechnical Engineering of Municipal Solid Waste Sanitary Landfill; CJJ 176-2012; China Architecture & Building Press: Beijing, China, 2012. (In Chinese)
- Chen, Y.M.; Wang, L.Z.; Hu, Y.Y.; Wu, S.M.; Zhang, Z.Y. Stability analysis of a solid waste landfill slope. China Civ. Eng. J. 2000, 33, 92–97. (In Chinese) [Google Scholar]






















| No | Liner Interface | Peak Shear Strength | Residual Shear Strength | ||
|---|---|---|---|---|---|
| δP (°) | cP (kN/m2) | δA (°) | cA (kN/m2) | ||
| LI-I | GMX1/GT2 | 30 | 5 | 15 | 2 |
| LI-II | GMX/CCL3 | 27 | 10 | 18 | 10 |
| LI-III | GMX/GCL | 28 | 3 | 16 | 0 |
| LI-IV | GT/GN4 | 27 | 0 | 14 | 0 |
| Case I | Case II | Case III | Case IV | Case V | |
|---|---|---|---|---|---|
| HB (m) | 3 | 10 | 3 | 3 | 3 |
| ξ (°) | 26.6 | 26.6 | 18.4 | 26.6 | 26.6 |
| δB (°) | 18 | 18 | 18 | 10 | 18 |
| cB (kN/m2) | 11.5 | 11.5 | 11.5 | 11.5 | 20 |
| Case I | Case II | Case III | Case IV | Case V | |
|---|---|---|---|---|---|
| HB (m) | 3 | 10 | 3 | 3 | 3 |
| ξ (°) | 26.6 | 26.6 | 18.4 | 26.6 | 26.6 |
| δB (°) | 32 | 32 | 32 | 20 | 32 |
| cB (kN/m2) | 8 | 8 | 8 | 8 | 12 |
Disclaimer/Publisher’s Note: The statements, opinions and data contained in all publications are solely those of the individual author(s) and contributor(s) and not of MDPI and/or the editor(s). MDPI and/or the editor(s) disclaim responsibility for any injury to people or property resulting from any ideas, methods, instructions or products referred to in the content. |
© 2024 by the authors. Licensee MDPI, Basel, Switzerland. This article is an open access article distributed under the terms and conditions of the Creative Commons Attribution (CC BY) license (https://creativecommons.org/licenses/by/4.0/).
Share and Cite
Ruan, X.; Li, Y.; Luo, Y.-S.; Wang, H.; Chen, J.; Ding, Z. Stability Analysis of the Landfill Slope with an Engineered Berm Under Composite Failure Mode. Appl. Sci. 2024, 14, 11515. https://doi.org/10.3390/app142411515
Ruan X, Li Y, Luo Y-S, Wang H, Chen J, Ding Z. Stability Analysis of the Landfill Slope with an Engineered Berm Under Composite Failure Mode. Applied Sciences. 2024; 14(24):11515. https://doi.org/10.3390/app142411515
Chicago/Turabian StyleRuan, Xiaobo, Yulong Li, Yu-Shan Luo, Hongwei Wang, Jiajia Chen, and Zhongjun Ding. 2024. "Stability Analysis of the Landfill Slope with an Engineered Berm Under Composite Failure Mode" Applied Sciences 14, no. 24: 11515. https://doi.org/10.3390/app142411515
APA StyleRuan, X., Li, Y., Luo, Y.-S., Wang, H., Chen, J., & Ding, Z. (2024). Stability Analysis of the Landfill Slope with an Engineered Berm Under Composite Failure Mode. Applied Sciences, 14(24), 11515. https://doi.org/10.3390/app142411515
