Next Article in Journal
Multidimensional User Experience Analysis of Chinese Battery Electric Vehicles’ Competition: An Integrated Association Mining Framework
Next Article in Special Issue
CFD Study of the Impact of an Electrical Power Transformer on a Historical Building: Assessment and Solutions
Previous Article in Journal
Construction of Green Space Ecological Network in Xiongan New Area Based on the MSPA–InVEST–MCR Model
Previous Article in Special Issue
Sustainable Building Tool by Energy Baseline: Case Study
 
 
Font Type:
Arial Georgia Verdana
Font Size:
Aa Aa Aa
Line Spacing:
Column Width:
Background:
Article

Energetic Analysis of Passive Solar Strategies for Residential Buildings with Extreme Summer Conditions

by
Stephanny Nogueira
1,
Ana I. Palmero-Marrero
1,2,*,
David Borge-Diez
3,
Emin Açikkalp
4 and
Armando C. Oliveira
1,2
1
Department of Mechanical Engineering, Faculty of Engineering of University of Porto, Rua Dr. Roberto Frias, 4200-465 Porto, Portugal
2
INEGI—Institute of Science and Innovation in Mechanical and Industrial Engineering, Rua Dr. Roberto Frias, 400, 4200-465 Porto, Portugal
3
Department of Electrical Engineering, Systems and Automation, University of León, 24008 Leon, Spain
4
Department of Mechanical Engineering, Faculty of Engineering, Eskisehir Technical University, İki Eylül Campus, Eskişehir 26555, Turkey
*
Author to whom correspondence should be addressed.
Appl. Sci. 2024, 14(22), 10761; https://doi.org/10.3390/app142210761
Submission received: 31 October 2024 / Revised: 15 November 2024 / Accepted: 19 November 2024 / Published: 20 November 2024
(This article belongs to the Special Issue Energy Efficiency and Thermal Comfort in Buildings)

Abstract

This study investigates the implementation of passive design strategies to improve the thermal environment in the extremely hot climates of Brazil, Portugal, and Turkey. Given the rising cooling demands due to climate change, optimizing energy efficiency in buildings is essential. Using the Trace 3D Plus v6.00.106 software, typical residential buildings for each country were simulated to assess various passive solutions, such as building orientation, wall and roof modifications, glazing optimization options, window-to-wall ratio (WTWR) reduction, shading, and natural ventilation. The findings highlight that Brazil experienced the higher discomfort temperatures compared to Mediterranean climates, with indoor air temperatures exceeding 28 °C all year round and remaining between 34 °C and 37 °C for nearly 40% of the time. Building orientation had a minimal impact near the equator, while Mediterranean climates benefited from an up to 10% variation in energy demand. Thermal insulation combined with white exterior paint resulted in Şanlıurfa experiencing annual energy savings of up to 26%. Optimal roof solutions yielded a 19% demand reduction in Évora, while WTWR reduction and double-colored glazing achieved up to a 35% reduction in Évora and 19% in other regions. Combined strategies achieved energy demand reductions of 44% for Évora, 40% for Şanlıurfa, and 32% for Teresina. The study emphasizes the need for integrated, climate-specific passive solutions, showing their potential to enhance both energy efficiency and the thermal environment in residential buildings across diverse hot climates.

1. Introduction

Climate change, with rising temperatures and frequent heatwaves, significantly impacts thermal comfort and energy consumption in residential buildings [1]. Global warming is leading to more intense and prolonged heatwaves, exposing populations to extreme heat and increasing the risk of heat-related mortality [2]. This issue is worsened in cities by the urban heat island effect, where localized areas experience elevated temperatures [3]. Ensuring thermal comfort is vital, not only for well-being and productivity but also to mitigate health risks, particularly for vulnerable populations facing energy poverty [4].
Energy poverty is a growing concern in various regions. In Europe, over 50 million households are unable to meet basic energy needs, severely impacting their ability to achieve thermal comfort during extreme temperatures [5]. Portugal, for example, faces one of the highest rates of energy poverty in the European Union, with 22.5% of the population affected [6]. Similarly, in Turkey, about a quarter of households are energy poor, although recent trends show some improvement [7]. Brazil also struggles with this issue, with 27.8% of households living in energy poverty, with many lacking access to basic cooling mechanisms like fans [8]. In Portugal, as in other European countries, building refurbishment has been steadily increasing in the last few years [9].
The rising global demand for cooling is another critical challenge. Space cooling alone accounts for nearly 17% of global electricity consumption, and this figure is rapidly increasing due to higher temperatures and heatwaves [10]. In 2022, energy consumption for cooling rose by more than 5% compared to the previous year [11]. This growing demand not only complicates efforts to decarbonize but also strains power grids during peak hours, leading to potential outages and increased energy costs for consumers [12]. Consequently, countries are under pressure to adopt measures to reduce energy consumption and achieve carbon neutrality, as seen in Europe’s goal of becoming climate-neutral by 2050 [13].
In light of these challenges, passive design strategies have emerged as a crucial approach to reducing energy dependence. These strategies utilize natural elements and architectural techniques to maintain indoor comfort without relying on active mechanical systems like air conditioning [14]. Research indicates that passive solutions, when tailored to specific climates, can significantly lower energy demand. For instance, in Portugal’s Mediterranean temperate climate, near-zero-energy buildings can be achieved using appropriate passive measures [1]. As heating and cooling account for a substantial share of global energy use and CO2 emissions [15], adopting passive design is a critical step towards sustainable building practices and achieving long-term energy goals.
Natural ventilation, one of the key passive strategies, plays a significant role in improving energy efficiency by allowing fresh air to circulate and reducing the need for mechanical cooling. However, the effectiveness of natural ventilation can vary, especially in urban environments with high pollution levels [16]. In areas with significant outdoor air pollution, the potential benefits of natural ventilation must be carefully evaluated. While natural ventilation is a highly effective passive cooling strategy in low-pollution areas, its application in polluted urban settings may require additional considerations [17], such as the integration of air filtration systems or hybrid ventilation solutions. These systems allow for the use of natural ventilation when air quality is acceptable while switching to mechanical filtration when pollution levels are high. Therefore, the role of natural ventilation is context-dependent, and its application must be tailored to the specific environmental conditions of each location. This study explores natural ventilation as part of a broader set of passive strategies, recognizing that its effectiveness may need to be adjusted based on local air quality conditions.
Furthermore, this study focuses on evaluating passive solar solutions to enhance the thermal environment and reduce energy demands in hot climates. The thermal environment is the physical environment that can affect heat transfer indoors. It influences the thermal perception of an individual and, through that, the thermal comfort of occupants [18]. Using the “Trace 3D Plus” software, this study simulates the energy performance of typical houses in Brazil, Portugal, and Turkey, assessing how passive solutions can reduce dependence on air conditioning.
Several studies have explored different passive and adaptive design strategies to improve building energy efficiency under changing climate conditions. Rodrigues et al. [19] analyzed the impact of thermal transmittance (U-values) on building energy demands for various climates in Brazil, determining that ideal U-values follow region-specific trends and require adaptive design strategies to address future climate changes. Similarly, Pajek and Košir [1] investigated the effectiveness of passive design measures, such as window-to-floor ratios and ventilation, on European residential buildings, highlighting that while some measures are universally applicable, others depend on specific climates and timeframes. These studies underline the difficulty in fully mitigating climate change impacts through passive designs alone.
Simões et al. [20] examined the behavior of solar and Trombe walls in Mediterranean climates, showing that tailored shading devices and night ventilation can reduce energy demands, especially in warmer regions. The solar wall consists mainly of a storage wall, external glazing, and an air layer between them. The Trombe wall also incorporates vents installed in the storage wall and sometimes in the external glazing frame. In parallel, Zafaranchi and Sozer [21] emphasized the complexity of optimizing passive interventions, noting the necessity of hourly energy consumption analyses to mitigate potential inefficiencies.
Adaptive facades, as explored by Tabadkani et al. [22], also demonstrate the importance of climate-responsive building envelopes, where control mechanisms, such as automated shading systems, significantly impact energy performance depending on climatic conditions. In a complementary approach, Jay et al. [23] investigated the thermal behavior of an experimental house, demonstrating how passive solutions like thermal inertia and natural ventilation can enhance the indoor environment while minimizing energy use during both summer and winter months.
Additionally, research by Elaouzy and El Fadar [24,25] on bioclimatic design strategies across different climates found that strategies like thermal insulation, natural ventilation, and Trombe walls yielded substantial energy savings, particularly in arid and temperate climates. These studies found that combining multiple strategies tailored to the specific climate of each location yielded the greatest energy savings. Uçtuğ and Yükseltan [26] applied optimization techniques to identify cost-effective energy-saving methods, such as installing double-glazed windows and photovoltaic panels, further supporting the role of financial considerations in decision making.
Finally, Karmellos et al. [27] and Eskander et al. [28] focused on the prioritization of energy-efficiency measures and retrofitting strategies, respectively, using multi-objective optimization to balance cost and energy savings in diverse climates. Their work provided essential methodologies for evaluating the effectiveness of various interventions.
These works collectively highlight that achieving energy efficiency in buildings requires a combination of passive, adaptive, and bioclimatic strategies tailored to regional climates, future weather projections, and economic constraints.
This study developed a simulation model using the “Trace 3D Plus” software to specifically focus on the thermal environment and energy efficiency in residential buildings located in hot climates. While other studies, as discussed earlier, have analyzed passive design strategies or adaptive solutions, this research takes a comprehensive approach by testing a wide range of passive solutions—such as building orientation, roof and wall modifications, glazing options, shading techniques, and natural ventilation—across different urban settings and house types. Additionally, the study assesses the cumulative effects of combining these solutions, offering a holistic understanding of their impacts on both the thermal environment and energy demand. This comprehensive approach has not been previously explored in such depth. As a result, the findings presented in this work offer a novel contribution to the field.
The relevance of this research lies in its focus on practical, location-specific solutions for hot climates, where thermal environment challenges are particularly pronounced. Moreover, the inclusion of an energy demand analysis—evaluating how much thermal energy still needs to be managed after applying passive measures—makes this study highly actionable for real-world applications in sustainable building design. The methodology of selecting cities with the highest air temperatures ensures that the findings are applicable to other thermally stressed regions.

2. Methodology and Modeling

To analyze the effectiveness of passive solutions for achieving a suitable thermal environment in a single-family dwelling, simulations were conducted using the Trace 3D Plus v6.00.106 software by Trane [29]. This software utilizes EnergyPlus [30]—which applies the heat balance method [31,32]—for annual energy simulation and was selected for its advanced capabilities in modeling and simulating thermal performance in buildings. Three countries with distinct climates (Portugal, Brazil, and Turkey), each presenting the challenge of high air temperatures for the thermal environment, were chosen for this study. By examining these diverse climatic conditions, the study aims to provide a comprehensive understanding of how passive design strategies can be optimized to improve the thermal environment across different geographical locations and also reduce electrical energy consumption associated with the use of air conditioning units.
Some initial parameters were common to all simulations, as shown in Table 1. The chosen method integrates both load and energy considerations, offering a comprehensive understanding of how the building’s thermal performance affects overall energy demand, in addition to calculating the thermal load.
The Conduction Transfer Function (CTF) algorithm offers a simple approach and is suitable for most residential building applications [33]. A ceiling height of 3 m reflects the design of older houses, which were built with higher ceilings.
The simulation model incorporates several key variables, including external wall, window, and roof materials, infiltration rate, window-to-wall ratio, building orientation, and shading. These parameters are varied to assess their impact on the thermal environment in residential buildings.
The methodology developed in this study is designed to be adaptable for diverse climatic conditions and building types beyond the specific locations analyzed (Brazil, Portugal, and Turkey). By allowing modifications to input parameters—such as building orientation, insulation levels, glazing properties, and ventilation rates—the simulation model can be adjusted to reflect a variety of climate zones and structural characteristics. This flexibility enables its application in other geographic and climatic contexts, where specific values for thermal environment ranges, U-values, the solar heat gain coefficient (SHGC), and air changes per hour (ACH) can be input according to local standards or research needs. As such, this model serves as a scalable framework for evaluating passive design strategies in regions facing different temperature extremes, building regulations, and energy efficiency goals.

2.1. Weather

In each country, cities with the highest annual air temperatures were selected, since the primary concern with climate change is the cooling load, as highlighted in Pajek and Košir [1].
For Portugal, available house plans from Eskander et al. [28] for each region—Lisbon, Évora, Porto, and Bragança—were analyzed. Évora was chosen from these options due to its more severe summer, classified as V3. The climatic data used in the simulation were sourced from the International Weather for Energy Calculation (IWEC) database, obtained through the software library.
For Brazil, climate data from INMET [34] were used to generate maps for the most recent period, 1991 to 2020, displaying annual maximum air temperatures and annual average compensated temperatures—values that have been adjusted to account for specific factors that influence the results. Analyzing the maps, Teresina, the capital of the state of Piauí, was selected for its high annual air temperatures.
Since the software did not include climate data for this city, the EPW (EnergyPlus Weather Format) file, which can be imported into the software, was obtained from a global climate data repository, Climate.OneBuilding [35]. Among the options for Teresina, the file provided by the Brazilian National Institute of Meteorology (INMET) for the period from 2001 to 2010 was selected.
To determine which location in Turkey was the warmest, Iyigun et al. [36] was used to identify the country’s climate zones. Additionally, the Climate Change Knowledge Portal [37] website, which provides maps for the period between 1991 and 2020 for average mean surface air temperature and average maximum surface air temperature, was consulted.
Analyzing the maps for all locations, Şanlıurfa was chosen as it has the highest air temperatures in Turkey and is characterized by a dry summer subtropical semihumid/semiarid continental Mediterranean climate [36]. Since this location was not available in the software, the EPW file for the period from 2008 to 2015 was obtained from Climate.OneBuilding [35].
The selected locations in each country are summarized in Table 2, with their geographic coordinates—latitude (Lat.) and longitude (Long.)—and their respective average altitudes above sea level (Alt.), obtained from Weather Spark [38]. The climate zones were obtained from the EPW files.

Air Quality

For Évora, air quality data from the 2022 State of the Environment Report (REA) [39], provided by the QualAr system and managed by the Portuguese Environment Agency (APA), indicate good air quality throughout the year, based on the most recent records.
For Brazil, data were obtained from the Environmental Health Surveillance and Air Quality (Vigiar) program [40], which publishes annual air quality reports. In 2023, Teresina displayed a moderate air quality index.
In Turkey, according to Dogan et al. [41], provinces in the southeastern Anatolia region, including Şanlıurfa, are affected by particulate matter transported from the Sahara, Syrian, and Arabian deserts. In Şanlıurfa, PM10 and PM2.5 levels frequently exceed the World Health Organization (WHO) daily health limits.
Therefore, while natural ventilation strategies were tested in this study to evaluate their efficacy, real-world implementation may face limitations in regions with compromised air quality.

2.2. Building Plan

The building plans were designed to reflect the average residential construction characteristics typical of each location (Brazil, Portugal, and Turkey). This approach ensured that the simulated models were representative of the architectural styles, material availability, and construction norms prevalent in each region. By aligning the plans with regional building averages, the study aimed to provide realistic assessments of passive design interventions in settings that closely mirrored real-world residential conditions.
For Portugal, the floor plan presented in Eskander et al. [28] was used to guide the design of the residence in the software. The resulting layout is shown in Figure 1, with the resulting area being 58 m2, with a glazed area of 25 m2.
For Brazil, the floor plan outlined in Labaki and Kowaltowski [42] was followed. The house areas that Brazilians can finance, as detailed in Fipe [43], served as a guide for the design. Consequently, an area of 58 m2 was used, which was the Brazilian average in 2018 and is intermediate between the current national average (66 m2) and the average for Piauí (44.3 m2). The resulting glazed area was 18 m2 and the final layout is shown in Figure 2.
For Turkey, the house layout was adapted from the Celal Gülpinar house [44], modifying the anteroom to be exterior, which is more typical in hot regions. Uşma [44] also indicates that Turkish houses generally have a single storey or two storeys.
According to Erbay et al. [45], the average area of Turkish houses from 1991 to the present, particularly those with multi-purpose living rooms, is 101.32 m2. Additionally, Dalkılıç and Nabikoğlu [46] notes that kitchens are located on the ground floor, have direct access to the courtyard, are partly open, and are large enough to accommodate several people working and cooking inside.
Using these parameters as a guide, the final house floor plan for the Turkish home in the simulation is presented in Figure 3, where the covered area (excluding the anteroom) is 67 m2 with 15 m2 of glazed area. It is not visible in the figure, but to represent the east and west walls that demarcate the anteroom, which is the uncovered part of the house, vertical fins were created on the glazing that borders this space, as shown in Figure 4.
The summarized values are presented in Table 3, which also includes the resulting window-to-wall ratio (WTWR) for each location.

2.3. Simulation Zone

The indoor thermal environment parameters were defined based on standards from different regions. In Brazil, BRASIL [47] outlines acceptable indoor air quality for air-conditioned environments, specifying a summer range of 23–26 °C and a winter range of 20–22 °C. Accordingly, the system setpoints were set to 26 °C for cooling and 20 °C for heating, aligning with the dead band from ASHRAE Standard 55 [48].
For Portugal, energy performance regulations for residential buildings consider 18 °C during the heating season and 25 °C for cooling [49]. Setpoints of 20 °C and 25 °C were thus adopted, consistent with the EN16798 [50] guidelines.
In Turkey, comfort setpoints were defined in the absence of specific national guidelines [51], following EN16798 [50] and ASHRAE and ANSI [48], with values of 20 °C for heating and 26 °C for cooling.

2.4. Building Construction

Given that constructions vary for each location, as well as cultural factors, needs, and available materials, an attempt was made to define typical materials for each location. However, some of the construction parameters shown may have been used in all simulations. The elements that are characterized include the roof, slab, windows, and exterior walls.
A summary of the construction elements and their respective parameters is presented in Table 4.

2.5. Infiltration

For residential airflow, since there are no mechanical ventilation systems, only infiltration was considered. The software defines infiltration for a residence by default as 0.3 air changes per hour (ACH). According to DGEG [49], although there is no specific guideline for residences, it indicates that for commercial and service buildings the worst-case scenario is 0.3 ACH for spaces with two or more exposed facades and windows with class 0 or 1 framing. Therefore, this value was used in the base simulations for all locations.

2.6. Passive Solution Tests

Starting from the base simulation, various parameters were modified to evaluate different passive solutions individually for the building under study. The tested solutions and the altered parameters are presented in this section, where the alternatives in each subsection are independent of each other.

2.6.1. Building Orientation

Based on the floor plans in Section 2.2, initially aligned with true north (0°), the buildings were rotated clockwise in 45° increments, resulting in orientations of 0°, 45°, 90°, 135°, 180°, 225°, 270°, and 315°. The rotation angle is measured clockwise from true north to plan north [60], as seen in Figure 5.

2.6.2. Exterior Wall Modification

Although wall compositions vary by country, the modifications applied were consistent across alternatives. Exterior plaster, either brown or white, was added to assess the thermal impact. In Brazil, where the base walls already included plaster, this layer was replaced; in Portugal and Turkey, the new coatings were applied as additional layers.
Alternative 1 served as the base case, while alternatives 2 and 3 tested brown and white coatings, respectively, using 3/4-inch cement plaster from the Trace library. Absorptance values for radiation parameters were adjusted based on Solacoat [61] and Uemoto et al. [62].
For alternatives 4–6, XPS insulation of varying thicknesses (4 cm, 8 cm, and 12 cm) was added between the structural material and the white plaster, using properties from dos Santos and Matias [52]. The U-values for each alternative are summarized in Table 5.

2.6.3. Roofs and Ceilings

The effect of roofing on the thermal environment was analyzed for both flat and inclined roof types, with tests consistent across locations. Brazil and Portugal shared the same base roof, while Turkey’s roof differed. A total of nine tests across ten alternatives were conducted, starting with alternative 1 as the base.
In alternative 2, a green roof was added to the flat roof, while in alternative 3 it was white plaster. In alternative 4, 8 cm of XPS insulation was introduced between the base roof and the white plaster. Inclined roof tests began in alternative 5, adding an unconditioned space above the conditioned areas. The interzone slab was made of 100 mm heavyweight concrete with a U-value of 1.26 W/(m2·K), and the inclined roof construction resulted in a U-value of 3.21 W/(m2·K). Alternatives 6 and 7 introduced XPS insulation either in the slab or roof. Alternatives 8 to 10 replicated these configurations but replaced the concrete slab with a gypsum board (U-value 3.10 W/(m2·K)).
The U-values for each configuration are summarized in Table 6.
To account for ventilation requirements, the infiltration rates for inclined roofs were adjusted according to Walker et al. [63] based on average wind speeds [38]. The infiltration rates for the unconditioned spaces are summarized in Table 7.

2.6.4. Windows

This section evaluates the impact of glazing type on the thermal environment across all three locations. In addition to the base glazing, two alternatives were tested.
Alternative 2 used double glazing, with two 1/4-inch clear glass layers and a 1/2-inch Argon layer, combined with aluminum framing with a thermal break, resulting in a U-value of 2.51 W/(m2·K) and a solar heat gain coefficient (SHGC) of 0.7.
Alternative 3 aimed to reduce the solar factor by replacing the exterior clear glass with gray-tinted glass, while maintaining the same Argon and interior clear layers. This maintained the U-value but reduced the SHGC to 0.48.
The glazing parameters are summarized in Table 8.

2.6.5. Window-to-Wall Ratio

As Elaouzy and El Fadar [25] emphasizes, the window-to-wall ratio (WTWR) is a key design parameter. Tests were conducted to evaluate the impact of reducing the glazed area using two glass types: the base single glazing and tinted glass.
In Portugal, all window heights were uniformly reduced, while in Turkey and Brazil, only the larger windows were resized. The window heights for each alternative and country are summarized in Table 9.

2.6.6. Shading

Various shading devices were tested. Alternative 1 served as the base case without shading. In alternative 2, internal shading was added with a gray semi-transparent shade, activated when the zone air temperature reached 22 °C.
Alternatives 3 and 4 employed overhangs (1.28 m projection) and vertical fins (0.914 m depth), respectively. The overhang length was optimized for different solar angles across Teresina, Şanlıurfa, and Évora, ensuring consistent shading performance throughout the day.
Due to varying window distribution across façades, shading solutions were applied to all windows in all locations. Table 10 summarizes the shading solutions.

2.6.7. Natural Ventilation

Two ventilation strategies were adopted based on climate conditions: uniform ventilation for all locations, and summer ventilation for Portugal and Turkey.
Uniform Ventilation
Uniform ventilation maintains a constant airflow rate throughout the year. This approach was applied across all locations to assess the effects of steady ventilation on the thermal environment. Ventilation rates were increased progressively in each alternative, and the impact on thermal loads and the environment was evaluated. The air changes per hour (ACH) values considered are presented in Table 11.
The value of 0.3 ACH is the base simulation, and 0.5 ACH is the minimum required by Portuguese legislation for residential buildings. The values employed for Portugal were also applied to Brazil. In the case of Turkey, where an exterior anteroom facilitates safer ventilation, higher ACH values were selected.
Summer Ventilation (Portugal and Turkey)
Summer ventilation adjusts the airflow rates based on seasonal air temperature variations. For Portugal and Turkey, summer ventilation was prioritized to address the significant seasonal variation in air temperature. During the colder months (October to March), ventilation was set at 0.5 ACH. In the warmer months (April to September), ventilation rates were increased, depending on the location and on the alternative. This approach optimizes cooling in summer while minimizing heat loss during the winter and it is summarized in Table 12.

3. Results

3.1. Thermal Characterization of the Houses

The results for each location are shown in Figure 6, with cooling and heating loads represented by different signs to distinguish the energy demands. As seen in Figure 6a, Teresina exhibits the highest overall energy demand due to consistently high indoor air temperatures that exceed the setpoint year round [35]. While Évora has higher peak cooling loads, Teresina’s constant cooling demand drives up its total energy needs.
Although the heating load for Teresina considers worst-case scenarios, the simulations indicate no heating is required year round. Figure 6b shows the percentage of annual hours each house remains within specific indoor air temperature ranges when no active systems (ASs), such as air conditioners, are used, while Table 13 summarizes the minimum and maximum air temperatures, and unmet hours.
Teresina’s indoor air temperatures remain consistently above the setpoint, whereas Évora experiences the highest recorded air temperature and the widest temperature range. Şanlıurfa, despite its structural differences, shares similar air temperature behavior with Évora, belonging to the same climate zone. Although Şanlıurfa experiences higher peak exterior air temperatures (35.8 °C vs. 32.5 °C in Évora), it shows lower cooling loads, likely due to lower U-values and smaller glazed areas in the base simulation.
The results of the passive solutions and their effects are discussed in the following sections.

3.2. Combined Solutions

Based on the individual tests presented in the modeling section, the study aimed to analyze the potential of combined solutions for improving the thermal environment across different scenarios. To achieve this, various solutions were applied to houses with flat roofs, inclined roofs with concrete slabs, and gypsum ceilings to assess their impact on air temperature and annual energy demand.
Throughout the analysis, solutions were incrementally integrated into each scenario, resulting in a final configuration that illustrates the outcomes of employing the selected solutions together. The study focused on evaluating the practical impact of these solutions on existing houses, prioritizing ease of implementation. As a result, no modifications were made to house orientation or the window-to-wall ratio.
Natural ventilation was selected as the first solution to be applied. This choice was based on its effectiveness in cooling while acknowledging that it increases energy needs when calculated using mechanical systems. Additionally, other solutions, such as insulation, are better evaluated when combined with ventilation. Therefore, the solution with ventilation serves as the new baseline for evaluating passive solutions.
The air changes per hour (ACH) due to natural ventilation were determined using the Air Change Rate Calculator from WindowMaster (Vedbæk, Denmark). Despite variations in average wind speeds across different locations, a standardized ACH value of 10 was applied uniformly to all houses studied. Additionally, all simulations utilized glazing with a lower SHGC.

3.3. Brazil

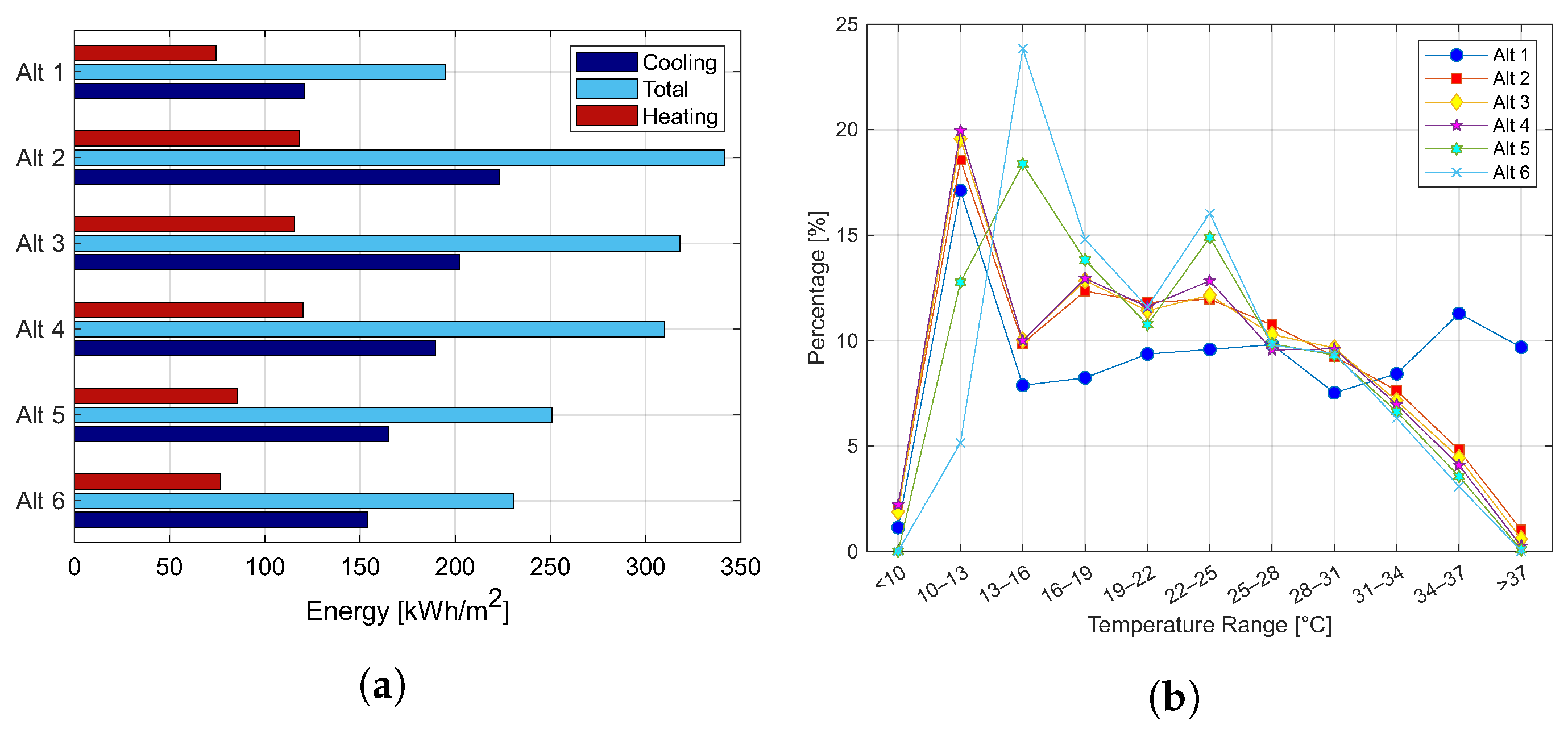
After analyzing the results, the parameters listed in Table 14 were selected for the final evaluation. The outcomes are shown in Figure 7, Figure 8 and Figure 9.
For the gypsum configuration, insulation was separately tested on the horizontal separation and the slopes. Despite both configurations yielding the same average air temperature, insulation in the division resulted in fewer unmet cooling hours. However, it also produced higher maximum air temperatures and more hours above 31 °C. Therefore, insulation on the slopes was selected, and these results are presented in Figure 9.

3.4. Portugal

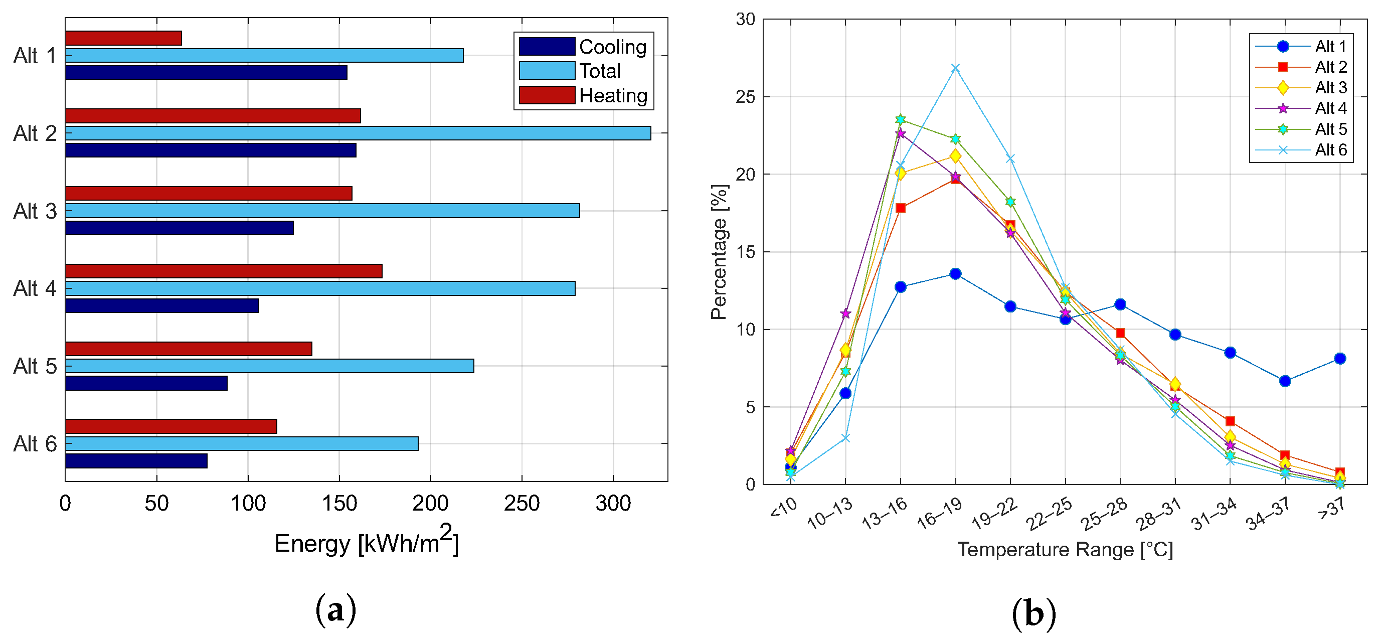
The chosen parameters for each improvement in the houses in Évora are presented in Table 15, with the results for each roof type shown in Figure 10, Figure 11 and Figure 12.

3.5. Turkey

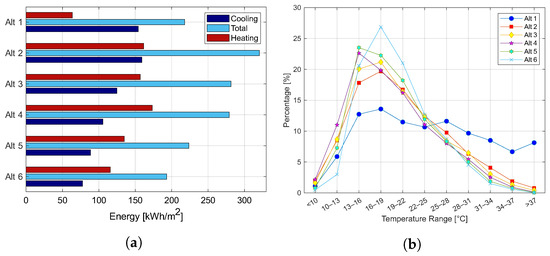
Table 16 outlines the cumulative improvement parameters for Şanlıurfa, and Figure 13, Figure 14 and Figure 15 display the corresponding results.

4. Discussion

The results highlight significant reductions in internal air temperatures due to natural ventilation. This finding aligns with Edition [64], which states that temperature control by natural ventilation is often the only means of providing a level of cooling when mechanical air conditioning is unavailable.
The issue is exacerbated in densely populated urban centers, where tall buildings can obstruct wind flow. While obstacles like buildings can reduce cooling energy needs by providing shade, they may also limit wind action in the summer, undermining the effectiveness of natural ventilation, the most important cooling solution. Therefore, among potential obstacles, investing in trees is more advisable. Trees provide shade and mitigate urban heat island effects, benefiting entire neighborhoods. As illustrated by VOX [65], vegetative cover in a city can significantly impact thermal comfort compared to concrete-dominated areas. Trees also reduce stress and health problems related to heat, decrease energy needs, and help retain water [65]. Green roofs offer similar benefits but may increase water usage.
Furthermore, considerations regarding regional air quality must be taken into account when evaluating the feasibility of natural ventilation as a passive cooling strategy. For example, in Teresina, where natural ventilation has shown a considerable impact on reducing indoor air temperatures, annual air quality is moderate. This limitation may restrict the effective use of natural ventilation throughout the year, potentially compromising indoor thermal conditions. Similarly, in Şanlıurfa, air quality poses additional challenges. Particles from nearby deserts could hinder the use of natural ventilation, especially during periods of high pollution, as prolonged exposure to outdoor air could negatively impact indoor air quality and occupant health.
These findings indicate that while natural ventilation can be a highly effective passive cooling strategy, its implementation must be tailored to the specific environmental and air quality conditions of each region. High-pollution areas may require supplementary or alternative cooling strategies to maintain both thermal comfort and indoor air quality standards, ensuring the health and well-being of occupants.
The results also show that all proposed improvements effectively reduce air temperatures and energy needs, enhancing the thermal environment of occupants. Thermal insulation, when combined with natural ventilation, significantly reduces air temperatures, a benefit not observed without ventilation.
The proposed passive design solutions demonstrated positive outcomes across all three study locations, indicating their versatility and effectiveness in diverse hot climates. Implementing measures such as optimized shading, insulation, glazing adjustments, and controlled natural ventilation proved beneficial in reducing the need for active cooling systems. In scenarios where active systems might otherwise be required to achieve the thermal environment, these passive strategies significantly reduced potential energy consumption, underscoring their value in energy savings. By decreasing reliance on air conditioning or heating systems, these interventions not only enhance the thermal environment but also contribute to sustainability goals, highlighting their efficiency for broader application in similar climatic conditions.
Despite improvements in all cooling indicators, many hours remain outside the defined comfort zones, especially for Teresina. Although the acceptable thermal comfort range for naturally ventilated buildings is significantly broader than for buildings with standard mechanical HVAC systems [66], it would be beneficial to design systems that passively enhance natural ventilation to further improve the thermal environment.

5. Conclusions

In conclusion, the objectives of this research have been successfully fulfilled. The development of a simulation model using Trace 3D Plus has enabled a comprehensive study of the thermal environment and energy demand in residential buildings.
The analysis revealed that Teresina, a city with a tropical climate in Brazil, exhibited the highest number of discomfort temperatures compared to Mediterranean climate regions. Interestingly, despite Şanlıurfa and Évora sharing a Mediterranean climate, many solutions yielded similar results between Şanlıurfa and Teresina, particularly in terms of roof performance. This highlights the unique thermal dynamics influenced by local climate conditions and passive design strategies.
An assessment of the impact of building orientation on the thermal environment indicated that closer proximity to the equator correlates with a reduced impact of orientation on energy needs. In Mediterranean climates, the findings align with the traditional architectural design in Turkey, where homes feature distinct summer and winter rooms. Overall, the location with the greatest variation in energy demand due to orientation was Évora, where the demand could increase by up to 10% when comparing the worst orientation with the best.
Wall tests demonstrated that exterior brown paint resulted in lower heating loads and higher cooling loads, whereas white paint showed the opposite behavior due to differing absorptance values. Adding thermal insulation significantly reduced heating needs but, for cooling, it should be paired with natural ventilation; otherwise, it traps heat inside the dwelling. The combination of thermal insulation with white exterior paint resulted in reductions in the annual energy demand of up to 26% for Şanlıurfa.
Roof insulation tests reiterated the importance of combining thermal insulation with natural ventilation during summer. White paint on roofs proved beneficial for summer but detrimental in winter, while green roofs offered positive, albeit less pronounced, benefits for both seasons. The optimal roof solutions varied, with horizontal insulated and white-painted roofs performing best for Teresina and Şanlıurfa, whereas inclined roofs with insulated slopes were optimal for Évora, resulting in a 19% reduction in annual energy demand.
The reduction in the solar heat gain coefficient (SHGC) decreased cooling demands across all countries but increased heating needs. Conversely, reducing the U-value of glazing was beneficial in all scenarios. Lowering the window-to-wall ratio (WTWR) effectively reduced cooling loads and, despite increasing heating loads, led to a significant annual energy demand reduction. Similar reductions could be achieved using double-colored glazing, which allows the use of windows to enhance human well-being while maintaining the thermal environment and energy efficiency. Furthermore, selecting more efficient glazing combined with reducing the WTWR resulted in an up to 35% reduction in annual energy demand for Évora and 19% for Şanlıurfa and Teresina.
Controllable internal shading that covers entire glazed areas reduced cooling loads without compromising heating needs. However, due to thermal inertia, combining internal shading with exterior retractable shading devices is preferable to avoid negatively impacting heating loads, though fixed external shading also contributed to annual demand reduction. Overall, the use of controllable interior shading led to a reduction in energy demand by up to 28% for Évora.
The ventilation results underscored the importance of occupant-controlled ventilation. Uniform ventilation was optimal for Teresina, while summer ventilation was best for Şanlıurfa and Évora, highlighting the benefits of airing in hot climates and the need to minimize it in cold climates. Therefore, preventing excessive infiltration is crucial in regions with both hot and cold seasons to control ventilation timing. Teresina’s climate justified the use of cobogós for enhancing the thermal environment.
However, regional air quality considerations also impact the feasibility of natural ventilation. In Teresina and Şanlıurfa, where moderate to poor air quality could limit year-round natural ventilation, supplementary strategies may be necessary to maintain both the thermal environment and indoor air quality. Hence, natural ventilation should be tailored to local air quality and climate conditions to ensure occupant well-being.
Combined solutions led to a reduction in discomfort hours across all locations, enhancing the effectiveness of individual measures such as thermal insulation. By integrating multiple strategies in alternative 6, such as double-colored glass on windows, internal and external shading, and thermal insulation, the overall thermal performance of buildings was significantly improved. With this alternative, energy demand reductions of up to 44% for Évora, 40% for Şanlıurfa, and 32% for Teresina were achieved.
A well-designed house, considering all these factors, is paramount. The challenge in Mediterranean climates is to balance improvements for one season without worsening conditions for another, demanding careful analysis. Despite improvements in cooling indicators, many hours remain outside the defined comfort zones, particularly in Teresina. Therefore, designing systems that passively enhance natural ventilation, such as solar chimneys, would further improve thermal environment, though the applicability of natural ventilation depends on outdoor air quality and pollution levels.
Overall, this study demonstrates the importance of an integrated approach to residential building design that considers climate-specific passive solutions to achieve an optimal thermal environment and energy efficiency.

Author Contributions

Conceptualization, S.N. and A.I.P.-M.; methodology, S.N. and A.I.P.-M.; software, S.N. and A.I.P.-M.; validation, E.A. and D.B.-D.; formal analysis and review, A.C.O.; writing—original draft preparation, S.N. and A.I.P.-M.; writing—review and editing, A.I.P.-M.; visualization, E.A. and D.B.-D.; supervision, A.I.P.-M. All authors have read and agreed to the published version of the manuscript.

Funding

This research received no external funding.

Institutional Review Board Statement

Not applicable.

Informed Consent Statement

Not applicable.

Data Availability Statement

The data supporting this study is not currently available. This study was derived from a dissertation of the first author. You can find the title of the dissertation at https://hdl.handle.net/10216/160070 along with the restriction period. Until then, the data are available on request.

Conflicts of Interest

The authors declare no conflicts of interest.

Abbreviations

The following abbreviations are used in this manuscript:
ACHAir changes per hour
APAPortuguese Environment Agency
ASActive system
BRBrazil
CTFConduction Transfer Function
EPWEnergyPlus Weather Format
HVAC Heating, ventilation, and air conditioning
PTPortugal
REAState of the Environment Report
SHGCSolar heat gain coefficient
TKTurkey
VigiarEnvironmental Health Surveillance and Air Quality
WHOWorld Health Organization
WTWRWindow-to-wall ratio

References

  1. Pajek, L.; Košir, M. Strategy for achieving long-term energy efficiency of European single-family buildings through passive climate adaptation. Appl. Energy 2021, 297, 117116. [Google Scholar] [CrossRef]
  2. Cheng, C.; Liu, Y.; Han, C.; Fang, Q.; Cui, F.; Li, X. Effects of extreme temperature events on deaths and its interaction with air pollution. Sci. Total Environ. 2024, 915, 170212. [Google Scholar] [CrossRef] [PubMed]
  3. Cheval, S.; Amihăesei, V.; Chitu, Z.; Dumitrescu, A.; Falcescu, V.; Irasoc, A.; Micu, D.; Mihulet, E.; Ontel, I.; Paraschiv, M.G.; et al. A systematic review of urban heat island and heat waves research (1991–2022). Clim. Risk Manag. 2024, 44, 100603. [Google Scholar] [CrossRef]
  4. Churchill, S.A.; Smyth, R. Energy poverty and health: Panel data evidence from Australia. Energy Econ. 2021, 97, 105219. [Google Scholar] [CrossRef]
  5. EDP. Pobreza Energética em Portugal. Available online: https://www.edp.com/pt-pt/historias-edp/pobreza-energetica-em-portugal (accessed on 10 February 2024).
  6. DGEG. Pobreza Energética. Available online: https://www.dgeg.gov.pt/pt/areas-transversais/politicas-de-protecao-ao-consumidor-de-energia/pobreza-energetica/ (accessed on 10 February 2024).
  7. Selçuk, I.Ş.; Gölçek, A.G.; Köktas, A.M. Energy poverty in Turkey. Sosyoekonomi 2019, 27, 283–299. [Google Scholar] [CrossRef]
  8. Moreira, R.S. Uma Medida de Pobreza Energética para o Brasil. Dissertation, Faculdade de Economia, Administração, Atuária e Contabilidade—FEAAC, Programa de Economia Profissional—PEP, Universidade Federal do Ceará—UFC, Fortaleza, Brazil, 2023. Available online: http://repositorio.ufc.br/handle/riufc/72101 (accessed on 18 November 2024).
  9. Palmero-Marrero, A.I.; Pinheiro, R.; Oliveira, A.C. Energy assessment of the implementation of renewable energies in a Portuguese household. Int. J. Low-Carbon Technol. 2019, 14, 452–460. [Google Scholar] [CrossRef]
  10. Green Cooling Initiative. The Technology Behind Green Cooling. Available online: https://www.green-cooling-initiative.org/green-cooling/technology (accessed on 10 February 2024).
  11. IEA. Space Cooling. Available online: https://www.iea.org/energy-system/buildings/space-cooling#tracking (accessed on 11 February 2024).
  12. Scoccimarro, E.; Cattaneo, O.; Gualdi, S.; Mattion, F.; Bizeul, A.; Risquez, A.M.; Quadrelli, R. Country-level energy demand for cooling has increased over the past two decades. Commun. Earth Environ. 2023, 4, 208. [Google Scholar] [CrossRef]
  13. European Commission. 2050 Long-Term Strategy. Available online: https://climate.ec.europa.eu/eu-action/climate-strategies-targets/2050-long-term-strategy_en (accessed on 6 March 2024).
  14. NZEB. Passive Design. Available online: https://nzeb.in/knowledge-centre/passive-design/ (accessed on 12 February 2024).
  15. IRENA. Power to Heat and Cooling: Status. Available online: https://www.irena.org/Innovation-landscape-for-smart-electrification/Power-to-heat-and-cooling/Status (accessed on 20 February 2024).
  16. Chen, J.; Brager, G.S.; Augenbroe, G.; Song, X. Impact of outdoor air quality on the natural ventilation usage of commercial buildings in the US. Appl. Energy 2019, 235, 673–684. [Google Scholar] [CrossRef]
  17. Nihar, K.; Nutkiewicz, A.; Jain, R.K. Assessing the impact of outdoor air pollution on natural ventilation potential of informal settlements in India. In Proceedings of the International Building Performance Simulation Association IBPSA Building Simulation, Bruges, Belgium, 1–3 September 2021. [Google Scholar]
  18. Wang, C.; Zhang, F.; Wang, J.; Doyle, J.K.; Hancock, P.A.; Mak, C.M.; Liu, S. How indoor environmental quality affects occupants’ cognitive functions: A systematic review. Build. Environ. 2021, 193, 107647. [Google Scholar] [CrossRef]
  19. Rodrigues, E.; Parente, J.; Fernandes, M.S. Building for tomorrow: Analyzing ideal thermal transmittances in the face of climate change in Brazil. Appl. Energy 2024, 355, 122360. [Google Scholar] [CrossRef]
  20. Simões, N.; Manaia, M.; Simões, I. Energy performance of solar and Trombe walls in Mediterranean climates. Energy 2021, 234, 121197. [Google Scholar] [CrossRef]
  21. Zafaranchi, M.; Sozer, H. Enhancing energy efficiency through hourly assessments of passive interventions in educational-office buildings: A case study in a Mediterranean climate. Energy Rep. 2024, 11, 423–441. [Google Scholar] [CrossRef]
  22. Tabadkani, A.; Roetzel, A.; Li, H.X.; Tsangrassoulis, A.; Attia, S. Analysis of the impact of automatic shading control scenarios on occupant’s comfort and energy load. Appl. Energy 2021, 294, 116904. [Google Scholar] [CrossRef]
  23. Jay, A.; Pacquaut, A.; Brun, A.; Maréchal, P.; Bernaud, P.; Wurtz, E. Impact of bioclimatism and passive solutions on thermal performance: Feedback from an experimental wood-concrete house in a Mediterranean climate. Build. Environ. 2023, 244, 110757. [Google Scholar] [CrossRef]
  24. Elaouzy, Y.; El Fadar, A. A multi-level evaluation of bioclimatic design in Mediterranean climates. Sustain. Energy Technol. Assess. 2022, 52, 102124. [Google Scholar] [CrossRef]
  25. Elaouzy, Y.; El Fadar, A. Impact of key bioclimatic design strategies on buildings’ performance in dominant climates worldwide. Energy Sustain. Dev. 2022, 68, 532–549. [Google Scholar] [CrossRef]
  26. Uçtuğ, F.G.; Yükseltan, E. A linear programming approach to household energy conservation: Efficient allocation of budget. Energy Build. 2012, 49, 200–208. [Google Scholar] [CrossRef]
  27. Karmellos, M.; Kiprakis, A.; Mavrotas, G. A multi-objective approach for optimal prioritization of energy efficiency measures in buildings: Model, software and case studies. Appl. Energy 2015, 139, 131–150. [Google Scholar] [CrossRef]
  28. Eskander, M.M.; Sandoval-Reyes, M.; Silva, C.A.; Vieira, S.M.; Sousa, J.M.C. Assessment of energy efficiency measures using multi-objective optimization in Portuguese households. Sustain. Cities Soc. 2017, 35, 764–773. [Google Scholar] [CrossRef]
  29. TRANE. How to Use TRACE 3D Plus (Getting Started Guide). Available online: https://tranecds.custhelp.com/app/answers/detail/a_id/384/~/how-to-use-trace-3d-plus-%28getting-started-guide%29 (accessed on 17 May 2024).
  30. DOE, U.S. Getting Started with EnergyPlus Version 22.2.0 Documentation; U.S. Department of Energy: Washington, DC, USA, 2022.
  31. TRANE. ASHRAE Heat Balance Method. Available online: https://tranecds.custhelp.com/app/answers/detail/a_id/978 (accessed on 10 November 2024).
  32. DOE, U.S. EnergyPlus Engineering Reference Version 24.2.0 Documentation; U.S. Department of Energy: Washington, DC, USA, 2024.
  33. Vera, S.; Pinto, C.; Tabares-Velasco, P.C.; Bustamante, W. A critical review of heat and mass transfer in vegetative roof models used in building energy and urban environment simulation tools. Appl. Energy 2018, 232, 752–764. [Google Scholar] [CrossRef]
  34. INMET. INMET: Clima. Available online: https://clima.inmet.gov.br/ (accessed on 28 April 2024).
  35. Climate.OneBuilding. Available online: https://climate.onebuilding.org/ (accessed on 28 April 2024).
  36. Iyigun, C.; Türkeş, M.; Batmaz, İ.; Yozgatligil, C.; Purutçuoğlu, V.; Koç, E.K.; Öztürk, M.Z. Clustering current climate regions of Turkey by using a multivariate statistical method. Theor. Appl. Climatol. 2013, 114, 95–106. [Google Scholar] [CrossRef]
  37. Climate Change Knowledge Portal. Türkiye Climatology. Available online: https://climateknowledgeportal.worldbank.org/country/turkiye/climate-data-historical (accessed on 28 April 2024).
  38. Weather Spark. O Clima de Qualquer Lugar da Terra Durante o ano Inteiro. Available online: https://pt.weatherspark.com/ (accessed on 25 April 2024).
  39. REA. Índice de Qualidade do ar. Available online: https://rea.apambiente.pt/content/%C3%ADndice-de-qualidade-do-ar (accessed on 10 November 2024).
  40. Gov.br. Vigilância em Saúde Ambiental e Qualidade do Ar. Available online: https://www.gov.br/saude/pt-br/composicao/svsa/saude-ambiental/vigiar (accessed on 10 November 2024).
  41. Dogan, T.R.; Beşli, N.; Aktacir, M.A.; Dinç, M.N.; İlkhan, M.A.; Öztürk, F.; Yıldız, M. Seasonal effects of atmospheric particulate matter on performance of different types of photovoltaic modules in Sanliurfa, Turkey. Atmos. Pollut. Res. 2020, 11, 2173–2181. [Google Scholar] [CrossRef]
  42. Labaki, L.C.; Kowaltowski, D.C.C.K. Bioclimatic and vernacular design in urban settlements of Brazil. Build. Environ. 1998, 33, 63–77. [Google Scholar] [CrossRef]
  43. Fipe. Indicadores de Affordability; Institute of Economic Research Foundation: São Paulo, Brasil, 2021. [Google Scholar]
  44. Uşma, G. A Traditional Van House Example: Celal Gülpınar House. Tour. Dev. Stud. 2018, 12, 73. [Google Scholar]
  45. Erbay, M.; Kuloğlu, N.; Gür, Ş.Ö.; Erol, Ş.Y. Effects of Changing Life Styles and Globalizing Tendencies on Kitchen Size and Design: Turkey as a Case. Res. J. Int. Stud. 2012, 23, 143–156. [Google Scholar]
  46. Dalkılıç, N.; Nabikoğlu, A. Documentation and analysis of structural elements of traditional houses for conservation of cultural heritage in Siverek (Şanlıurfa, Turkey). Front. Archit. Res. 2020, 9, 385–402. [Google Scholar] [CrossRef]
  47. BRASIL. Resolução-RE N° 9, de 16 de Janeiro de 2003; Agência Nacional de Vigilância Sanitária: Brasília, Brazil, 2003.
  48. ASHRAE; ANSI. ASHRAE Standard 55: Thermal Environmental Conditions for Human Occupancy; American Society of Heating, Refrigerating and Air-Conditioning Engineers: Atlanta, GA, USA, 2017. [Google Scholar]
  49. DGEG. Manual SCE—Manual Técnico para a Avaliação do Desempenho Energético dos Edifícios, Portugal; DGEG: Lisbon, Portugal, 2023.
  50. EN16798-1:2019; Energy Performance of Buildings—Ventilation for Buildings—Part 1: Indoor Environmental Input Parameters for Design and Assessment of Energy Performance of Buildings Addressing Indoor Air Quality, Thermal Environment, Lighting and Acoustics, Module M1-6. European Commission: Brussels, Belgium, 2019.
  51. Turkish Standard Ts825; Thermal Insulation Requirements for Buildings. Turkish Standards Institution: Ankara, Turkey, 2008.
  52. dos Santos, C.A.P.; Matias, L. Coeficientes de Transmissão Térmica de Elementos da Envolvente dos Edifícios; Laboratório Nacional de Engenharia Civil: Lisbon, Portugal, 2006. [Google Scholar]
  53. dos Santos, C.A.P.; Rodrigues, R. Coeficientes de Transmissão Térmica de Elementos Opacos da Envolvente dos Edifícios—Soluções Construtivas de Edifícios Antigos; Laboratório Nacional de Engenharia Civil: Lisbon, Portugal, 2009. [Google Scholar]
  54. Economidou, M.; Atanasiu, B.; Despret, C.; Maio, J.; Nolte, I.; Rapf, O.; Laustsen, J.; Ruyssevelt, P.; Staniaszek, D.; Strong, D. Europe’s Buildings Under the Microscope: A Country-by-Country Review of the Energy Performance of Buildings; Buildings Performance Institute Europe (BPIE): Brussels, Belgium, 2011. [Google Scholar]
  55. Öztürk, R.B.; Çahantimur, A.; Özgünler, S.A. Examining Authenticity of Traditional Turkish Houses in Bursa, A UNESCO Heritage Site. Hist. Environ. Policy Pract. 2017, 8, 3–24. [Google Scholar] [CrossRef]
  56. Kelly, T. Evolution of the Traditional Turkish House. WIT Trans. Built Environ. 2021, 203, 63–75. [Google Scholar]
  57. Canbaz, M.; Eryilmaz, M. Effect of High Temperature on Sepiolite—Hydraulic Lime Mortar; School of Civil Engineering, The University of Queensland: Brisbane, Australia, 2015. [Google Scholar]
  58. Brito, Â. Breve História do Isolamento Térmico Pelo Exterior. Available online: https://www.corrige.pt/blogue/2023/12/5/breve-histria-do-isolamento-trmico-pelo-exterior (accessed on 28 April 2024).
  59. Cakir, F. Determination of dynamic parameters of double-layered brick arches. J. Croat. Assoc. Civ. Eng. 2014, 66, 123–130. [Google Scholar]
  60. TRANE. Create Site (Adjacent Buildings, Rotate Site, Exterior Power Generation, Exterior Power Consumption, Demand Load). Available online: https://tranecds.custhelp.com/app/answers/detail/a_id/876/~/create-site-%28adjacent-buildings%2C-rotate-site%2C-exterior-power-generation%2C (accessed on 20 April 2024).
  61. Solacoat. Solacoat Range of Colours. Available online: https://www.solacoatvictoria.com.au/colours/ (accessed on 20 April 2024).
  62. Uemoto, K.L.; Sato, N.M.N.; John, V.M. Estimating thermal performance of cool colored paints. Energy Build. 2010, 42, 17–22. [Google Scholar] [CrossRef]
  63. Walker, I.S.; Forest, T.W.; Wilson, D.J. An attic-interior infiltration and interzone transport model of a house. Build. Environ. 2005, 40, 701–718. [Google Scholar] [CrossRef]
  64. ASHRAE. 2021 ASHRAE Handbook: Fundamentals; American Society of Heating, Refrigerating and Air-Conditioning Engineers: Peachtree Corners, GA, USA, 2021. [Google Scholar]
  65. VOX. How America’s Hottest City Is Trying to Cool Down. Available online: https://www.youtube.com/watch?v=ZQ6fSHr5TJg (accessed on 10 June 2024).
  66. Krarti, M. Optimal Design and Retrofit of Energy Efficient Buildings; Communities, and Urban Centers; Butterworth-Heinemann: Cambridge, MA, USA, 2018; pp. 1–43. [Google Scholar]
Figure 1. House plan for Évora, Portugal.
Figure 1. House plan for Évora, Portugal.
Applsci 14 10761 g001
Figure 2. House plan for Teresina, Brazil.
Figure 2. House plan for Teresina, Brazil.
Applsci 14 10761 g002
Figure 3. House plan for Şanlıurfa, Turkey.
Figure 3. House plan for Şanlıurfa, Turkey.
Applsci 14 10761 g003
Figure 4. A 3D view of the house for Şanlıurfa, Turkey.
Figure 4. A 3D view of the house for Şanlıurfa, Turkey.
Applsci 14 10761 g004
Figure 5. True north rotation from plan north.
Figure 5. True north rotation from plan north.
Applsci 14 10761 g005
Figure 6. Results of the base simulations for each location. (a) Thermal load and annual energy demand. (b) Annual indoor air temperature distribution with no AS.
Figure 6. Results of the base simulations for each location. (a) Thermal load and annual energy demand. (b) Annual indoor air temperature distribution with no AS.
Applsci 14 10761 g006
Figure 7. Effect of combined passive solutions on energy needs and indoor air temperature for house with horizontal roof of Teresina, Brazil. (a) Annual energy. (b) Annual indoor air temperature distribution.
Figure 7. Effect of combined passive solutions on energy needs and indoor air temperature for house with horizontal roof of Teresina, Brazil. (a) Annual energy. (b) Annual indoor air temperature distribution.
Applsci 14 10761 g007
Figure 8. Effect of combined passive solutions on energy needs and indoor air temperature for house with inclined roof and concrete slab of Teresina, Brazil. (a) Annual energy. (b) Annual indoor air temperature distribution.
Figure 8. Effect of combined passive solutions on energy needs and indoor air temperature for house with inclined roof and concrete slab of Teresina, Brazil. (a) Annual energy. (b) Annual indoor air temperature distribution.
Applsci 14 10761 g008
Figure 9. Effect of combined passive solutions on energy needs and indoor air temperature for house with inclined roof and gypsum board of Teresina, Brazil. (a) Annual energy. (b) Annual indoor air temperature distribution.
Figure 9. Effect of combined passive solutions on energy needs and indoor air temperature for house with inclined roof and gypsum board of Teresina, Brazil. (a) Annual energy. (b) Annual indoor air temperature distribution.
Applsci 14 10761 g009
Figure 10. Effect of combined passive solutions on energy needs and indoor air temperature for house with horizontal roof of Évora, Portugal. (a) Annual energy. (b) Annual indoor air temperature distribution.
Figure 10. Effect of combined passive solutions on energy needs and indoor air temperature for house with horizontal roof of Évora, Portugal. (a) Annual energy. (b) Annual indoor air temperature distribution.
Applsci 14 10761 g010
Figure 11. Effect of combined passive solutions on energy needs and indoor air temperature for house with inclined roof and concrete slab of Évora, Portugal. (a) Annual energy. (b) Annual indoor air temperature distribution.
Figure 11. Effect of combined passive solutions on energy needs and indoor air temperature for house with inclined roof and concrete slab of Évora, Portugal. (a) Annual energy. (b) Annual indoor air temperature distribution.
Applsci 14 10761 g011
Figure 12. Effect of combined passive solutions on energy needs and indoor air temperature for house with inclined roof and gypsum board of Évora, Portugal. (a) Annual energy. (b) Annual indoor air temperature distribution.
Figure 12. Effect of combined passive solutions on energy needs and indoor air temperature for house with inclined roof and gypsum board of Évora, Portugal. (a) Annual energy. (b) Annual indoor air temperature distribution.
Applsci 14 10761 g012
Figure 13. Effect of combined passive solutions on energy needs and indoor air temperature for house with horizontal roof of Şanlıurfa, Turkey. (a) Annual energy. (b) Annual indoor air temperature distribution.
Figure 13. Effect of combined passive solutions on energy needs and indoor air temperature for house with horizontal roof of Şanlıurfa, Turkey. (a) Annual energy. (b) Annual indoor air temperature distribution.
Applsci 14 10761 g013
Figure 14. Effect of combined passive solutions on energy needs and indoor air temperature for house with inclined roof and concrete slab of Şanlıurfa, Turkey. (a) Annual energy. (b) Annual indoor air temperature distribution.
Figure 14. Effect of combined passive solutions on energy needs and indoor air temperature for house with inclined roof and concrete slab of Şanlıurfa, Turkey. (a) Annual energy. (b) Annual indoor air temperature distribution.
Applsci 14 10761 g014
Figure 15. Effect of combined passive solutions on energy needs and indoor air temperature for house with inclined roof and gypsum board of Şanlıurfa, Turkey. (a) Annual energy. (b) Annual indoor air temperature distribution.
Figure 15. Effect of combined passive solutions on energy needs and indoor air temperature for house with inclined roof and gypsum board of Şanlıurfa, Turkey. (a) Annual energy. (b) Annual indoor air temperature distribution.
Applsci 14 10761 g015
Table 1. Initial simulation parameters in Trace 3D Plus.
Table 1. Initial simulation parameters in Trace 3D Plus.
MethodLoad and Energy
Time Step60 min
AlgorithmConduction Transfer Function
Ceiling Elevation3 m
Wall Thickness0.15 m
ThemeResidential
Table 2. Locations used in simulations and their climate classifications: ASHRAE climate zone and Koppen–Geiger (K-G) climate classification.
Table 2. Locations used in simulations and their climate classifications: ASHRAE climate zone and Koppen–Geiger (K-G) climate classification.
CountryLocationLat./Long.Alt.ASHRAE Climate ZoneK-G Climate TypeDescription
BrazilTeresina5.1° S/42.8° W75 m0AAwTropical, savannah
PortugalÉvora38.6° N/7.9° W261 m3ACsaMediterranean climate
TurkeyŞanlıurfa37.2° N/38.8° E546 m3ACsaMediterranean climate
Table 3. Dimensional characteristics of the houses.
Table 3. Dimensional characteristics of the houses.
LocationFloor Area [m2]Glazed Area [m2]WTWR [%]
Teresina581814.38
Évora582519.44
Şanlıurfa67157.15
Table 4. U-values, in W/(m2·K), for the constructive elements used in each location.
Table 4. U-values, in W/(m2·K), for the constructive elements used in each location.
ElementU, BrazilU, PortugalU, TurkeyReferences
Exterior wall1.691.380.87[42,46,51,52,53,54,55,56,57]
Roof1.271.270.71[42,46,51,52,56,58]
Ground contact slabs0.190.190.59[42,46,51,59]
Exterior windows5.895.895.89[51,52]
Table 5. U-values, in W/(m2·K), for each exterior wall solution and location: Brazil (BR), Portugal (PT), and Turkey (TK).
Table 5. U-values, in W/(m2·K), for each exterior wall solution and location: Brazil (BR), Portugal (PT), and Turkey (TK).
AlternativeDescriptionU, BRU, PTU, TK
Alt. 1_ExtWallBase1.691.380.87
Alt. 2_ExtWallExterior brown plaster1.691.330.85
Alt. 3_ExtWallExterior white plaster1.691.330.85
Alt. 4_ExtWall4 cm of XPS with exterior white plaster0.60.550.44
Alt. 5_ExtWall8 cm of XPS with exterior white plaster0.360.340.3
Alt. 6_ExtWall12 cm of XPS with exterior white plaster0.260.250.23
Table 6. U-values (W/(m2·K)) for roof solutions across locations: Brazil (BR), Portugal (PT), and Turkey (TK).
Table 6. U-values (W/(m2·K)) for roof solutions across locations: Brazil (BR), Portugal (PT), and Turkey (TK).
AlternativeDescriptionU, BRU, PTU, TK
Alt. 1_RoofBase1.271.270.71
Alt. 2_RoofFlat green roof1.271.270.71
Alt. 3_RoofFlat, white exterior1.231.230.69
Alt. 4_RoofFlat, 8 cm of XPS with white exterior0.340.340.28
Alt. 5_RoofInclined roof, concrete ceiling3.21/1.263.21/1.263.21/1.26
Alt. 6_RoofInclined, concrete, 8 cm of XPS (slab)0.34 (slab)0.34 (slab)0.34 (slab)
Alt. 7_RoofInclined, concrete, 8 cm of XPS (roof)0.40 (roof)0.40 (roof)0.40 (roof)
Alt. 8_RoofInclined roof, gypsum ceiling3.21/3.103.21/3.103.21/3.10
Alt. 9_RoofInclined, gypsum, 8 cm of XPS (slab)0.40 (slab)0.40 (slab)0.40 (slab)
Alt. 10_RoofInclined, gypsum, 8 cm of XPS (roof)0.40 (roof)0.40 (roof)0.40 (roof)
Table 7. Infiltration rates and average wind speeds (u) for each location applied to inclined roofs.
Table 7. Infiltration rates and average wind speeds (u) for each location applied to inclined roofs.
Locationu [km/h]u [m/s]Infiltration Rate [ACH]
Évora143.892
Şanlıurfa123.331.5
Teresina51.391
Table 8. U-value and SHGC for each window solution.
Table 8. U-value and SHGC for each window solution.
AlternativeDescriptionSHGCU [W/(m2·K)]
Alt. 1_WindowSimple glass without thermal break0.865.89
Alt. 2_WindowDouble glass with thermal break0.72.51
Alt. 3_WindowTinted glass0.482.51
Table 9. Analysis of the window-to-wall ratio (WTWR) with varying window height (WH) for Brazil (BR), Portugal (PT), and Turkey (TK).
Table 9. Analysis of the window-to-wall ratio (WTWR) with varying window height (WH) for Brazil (BR), Portugal (PT), and Turkey (TK).
AlternativeGlassBrazilPortugalTurkey
WHWTWRWHWTWRWHWTWR
Alt. 1_WTWRSimple, clear2 m14.53%3 m19.44%1.5 m7.15%
Alt. 2_WTWRSimple, clear1.5 m11.05%1.8 m11.69%1.05 m5.12%
Alt. 3_WTWRSimple, clear1 m7.56%0.9 m5.88%0.75 m3.73%
Alt. 4_WTWRDouble, tinted2 m14.53%3 m19.44%1.5 m7.15%
Alt. 5_WTWRDouble, tinted1.5 m11.05%1.8 m11.69%1.05 m5.12%
Alt. 6_WTWRDouble, tinted1 m7.56%0.9 m5.88%0.75 m3.73%
Table 10. Tested shading solutions.
Table 10. Tested shading solutions.
AlternativeShading Type
Alt. 1_ShadingNo shading
Alt. 2_ShadingInternal shading
Alt. 3_ShadingOverhang
Alt. 4_ShadingVertical fins
Table 11. Infiltration values for uniform ventilation and for each location: Brazil (BR), Portugal (PT), and Turkey (TK).
Table 11. Infiltration values for uniform ventilation and for each location: Brazil (BR), Portugal (PT), and Turkey (TK).
AlternativeACH, BRACH, PTACH, TK
Alt. 1_YearVent0.30.30.3
Alt. 2_YearVent0.50.51
Alt. 3_YearVent112
Alt. 4_YearVent224
Alt. 5_YearVent446
Table 12. Natural ventilation values, in ACH, for summer ventilation and for the locations of Portugal (PT) and Turkey (TK).
Table 12. Natural ventilation values, in ACH, for summer ventilation and for the locations of Portugal (PT) and Turkey (TK).
AlternativeSummer, PT
April–September
Winter, PT
October–March
Summer, TK
April–September
Winter, TK
October–March
Alt. 1_SumVent0.50.510.5
Alt. 2_SumVent10.520.5
Alt. 3_SumVent20.540.5
Alt. 4_SumVent40.560.5
Table 13. Maximum (Max) and minimum (Min) house air temperatures and unmet hours for each location.
Table 13. Maximum (Max) and minimum (Min) house air temperatures and unmet hours for each location.
LocationMin [°C]Max [°C]Unmet Cooling HoursUnmet Heating Hours
Teresina28.241.487600
Évora5.349.137053072
Şanlıurfa940.735863097
Table 14. Defined parameters for improvements of each type of house in Teresina, Brazil. The solutions are cumulative.
Table 14. Defined parameters for improvements of each type of house in Teresina, Brazil. The solutions are cumulative.
AlternativeTypeHorizontalInclined, ConcreteInclined, Gypsum
Alt. 1Base-
Alt. 2VentilationUniform ventilation, 10 ACH
Alt. 3GlassDouble-colored glass
Alt. 4ShadingOverhangs and internal shading
Alt. 5Wall8 cm of XPS with white exterior paint
Alt. 6Roof8 cm of XPS with white paint8 cm of XPS on the slope8 cm of XPS above gypsum
Table 15. Defined parameters for improvements of each type of house in Évora, Portugal. The solutions are cumulative.
Table 15. Defined parameters for improvements of each type of house in Évora, Portugal. The solutions are cumulative.
AlternativeTypeHorizontalInclined, ConcreteInclined, Gypsum
Alt. 1Base-
Alt. 2VentilationSummer ventilation, 10 ACH
Alt. 3GlassDouble-colored glass
Alt. 4ShadingVertical fins and internal shading
Alt. 5Wall8 cm of XPS with white exterior paint
Alt. 6Roof8 cm of XPS with white paint8 cm of XPS on the slope8 cm of XPS above gypsum
Table 16. Defined parameters for improvements of each type of house in Şanlıurfa, Turkey. The solutions are cumulative.
Table 16. Defined parameters for improvements of each type of house in Şanlıurfa, Turkey. The solutions are cumulative.
AlternativeTypeHorizontalInclined, ConcreteInclined, Gypsum
Alt. 1Base-
Alt. 2VentilationSummer ventilation, 10 ACH
Alt. 3GlassDouble-colored glass
Alt. 4ShadingOverhangs and internal shading
Alt. 5Wall12 cm of XPS with white exterior paint
Alt. 6Roof8 cm of XPS with white paint8 cm of XPS above gypsum8 cm of XPS above gypsum
Disclaimer/Publisher’s Note: The statements, opinions and data contained in all publications are solely those of the individual author(s) and contributor(s) and not of MDPI and/or the editor(s). MDPI and/or the editor(s) disclaim responsibility for any injury to people or property resulting from any ideas, methods, instructions or products referred to in the content.

Share and Cite

MDPI and ACS Style

Nogueira, S.; Palmero-Marrero, A.I.; Borge-Diez, D.; Açikkalp, E.; Oliveira, A.C. Energetic Analysis of Passive Solar Strategies for Residential Buildings with Extreme Summer Conditions. Appl. Sci. 2024, 14, 10761. https://doi.org/10.3390/app142210761

AMA Style

Nogueira S, Palmero-Marrero AI, Borge-Diez D, Açikkalp E, Oliveira AC. Energetic Analysis of Passive Solar Strategies for Residential Buildings with Extreme Summer Conditions. Applied Sciences. 2024; 14(22):10761. https://doi.org/10.3390/app142210761

Chicago/Turabian Style

Nogueira, Stephanny, Ana I. Palmero-Marrero, David Borge-Diez, Emin Açikkalp, and Armando C. Oliveira. 2024. "Energetic Analysis of Passive Solar Strategies for Residential Buildings with Extreme Summer Conditions" Applied Sciences 14, no. 22: 10761. https://doi.org/10.3390/app142210761

APA Style

Nogueira, S., Palmero-Marrero, A. I., Borge-Diez, D., Açikkalp, E., & Oliveira, A. C. (2024). Energetic Analysis of Passive Solar Strategies for Residential Buildings with Extreme Summer Conditions. Applied Sciences, 14(22), 10761. https://doi.org/10.3390/app142210761

Note that from the first issue of 2016, this journal uses article numbers instead of page numbers. See further details here.

Article Metrics

Back to TopTop