Next Article in Journal
Learning Airfoil Flow Field Representation via Geometric Attention Neural Field
Previous Article in Journal
Latent Graph Attention for Spatial Context in Light-Weight Networks: Multi-Domain Applications in Visual Perception Tasks
 
 
Font Type:
Arial Georgia Verdana
Font Size:
Aa Aa Aa
Line Spacing:
Column Width:
Background:
Article

Structural Analysis of the Geometric Alternatives of Double-Bottom Floor Plates of a Panamax-Class Container Ship

by
Mario Fuentetaja-Merino
,
Arturo Silva-Campillo
*,
Miguel Angel Herreros-Sierra
and
Francisco Pérez-Arribas
Department of Naval Architecture, Shipbuilding and Ocean Engineering, Universidad Politécnica de Madrid (UPM), 28040 Madrid, Spain
*
Author to whom correspondence should be addressed.
Appl. Sci. 2024, 14(22), 10684; https://doi.org/10.3390/app142210684
Submission received: 25 October 2024 / Revised: 14 November 2024 / Accepted: 15 November 2024 / Published: 19 November 2024
(This article belongs to the Section Marine Science and Engineering)

Abstract

To reduce weight and simplify maintenance, ship structures frequently include openings and cutouts. While these features offer practical advantages, they can weaken the structural integrity of key components. This study explores the effects of these geometric discontinuities on the double-bottom floor plates of a Panamax-class container ship under axial and transverse loads. Through numerical simulations and experimental testing, we analyzed different cutout configurations and stiffening strategies to assess their impact on stress distribution, plate thickness, and fatigue behavior. The results reveal that side cutouts significantly increase stress, particularly under transverse loads, while central openings have less impact. Additionally, increasing plate thickness consistently reduces stress levels across all models, improving structural durability. Fatigue analysis shows that certain stiffening configurations, particularly those with longitudinal stiffeners in the bottom plates, enhance fatigue life. These findings offer critical design insights for optimizing hull structures, balancing weight reduction with strength improvement. This study provides valuable recommendations for reducing stress concentrations and extending the fatigue life of ship components, contributing to more efficient and safer ship designs.

1. Introduction

Currently, it is estimated that nearly 90% of global goods are moved via maritime transport, with around 60% of those being shipped in containers. This highlights the crucial role that container vessels play in both the maritime logistics chain and the global economy. These ships are specifically designed to enhance the efficiency of loading and unloading processes at ports. However, they are particularly vulnerable to bending and torsional stresses. Container vessels feature double bottoms and are framed longitudinally, making this section especially critical when assessing structural integrity [1]. A key component of the double-bottom structure is the transverse elements, often referred to as floors.
Inspection ports, pipe tunnels, weight-reduction cutouts, and apertures that let regular stiffeners from the bottom and double bottom pass through are features that set these constructions apart. Due to the significant concentrations of stress in this location, a mix of these characteristics impacts the structural capability of the floor [2]. The floor can be treated as reinforced panels or perforated plates for structural analysis, where the buckling strength of the plates is decreased by the cutouts and perforations. The buckling design process needs to take this reduction into consideration. This kind of construction has been extensively studied from a variety of angles. Wang et al. [3] used both linear and nonlinear FEM models to examine how geometrical parameters affected buckling and ultimate strength. Additionally, they suggested a simplified method that accounts for reduction factors. Through experimental and computational research, Liu et al. [4] shed important light on how large and small apertures affect the ultimate strength of transverse and longitudinal girders with uniaxial and lateral pressures on plates located on the main deck. Apertures’ geometry is crucial for structural assessments. This is illustrated in the study by Saad-Eldeen et al. [5], which examined how the final strength of steel panels that had undergone compressive testing after being stiffened and unstiffened was affected by variations in opening size, shape, steel composition, and structural configurations. Similarly, Yanli et al. [6] investigated the effects of size, opening position, and form on bending-plate buckling strength.
Saad-Eldeen et al. [7] expanded their study by incorporating a new variable and investigating the effects of different morphologies—circular and extended circular openings—with loads in one direction using a range of high-strength steels. Because of their susceptibility, these structures require sufficient reinforcement to remain structurally sound for the duration of their useful lives. As a result, significant research has been directed at this issue. For instance, Kim et al. [8] developed a formula for this design approach after investigating the best reinforcement strategies to improve perforated plates’ buckling and ultimate strength. Another important consideration when examining these structures is corrosion.
Chichi and Garbatov [9] examined how effectively the integrity of a deteriorating structural model can be restored. The study applied both uniaxial compressive forces and the effects of irregular, intermittent corrosion degradation to this manhole-shaped girder. Similarly, Cui and Wang [10] assessed the usual strengthened plates’ maximum compressive strength with perforations, using both numerical simulations and experimental techniques, with a focus on the impact of corrosion. In a related study, Saad-Eldeen et al. [11] conducted experiments to determine the maximum strength of steel plates subjected to uniaxial compressive pressures and having big, extended circular holes. They looked at energy dissipation, resilience, toughness, force-displacement, strength-strain, and collapse modes. Other odd geometries have also been studied for their structural implications. For example, the residual structural capability of steel plates having significant centered ellipsoidal holes, both without and with locking cracks, was examined experimentally by Saad-Eldeen et al. [12].
Yu and Lee [13] investigated how unstiffened plates with rectangular apertures behave in various conditions, such as plate slenderness, the ratio of the aperture area, and the position of the opening. Kumar et al. [14] explored the failure and post-peak behavior of rigid plates using square holes and L cross-sections under axial and out-of-plane stresses. Aperture research also extends to other materials. Li et al. [15] examined the mechanical characteristics of common composite materials with visible holes. In structural evaluations, the presence of initial flaws is an important factor. In determining the ultimate compressive strength for similarly stiffened panels composed of steel and aluminium, Doan et al. [16] investigated the effects of the heat-affected zone, early defects, boundary conditions, and hole existence on the web girders.
Setting the correct boundary conditions is a key aspect of structural analysis. Using finite element models, Xu and colleagues [17] examined the effects of boundary conditions and model geometry on the expected collapse response of panels with reinforcing elements. To evaluate the tendency to buckle and the ultimate breaking point of panels and stiffened components with apertures exposed to longitudinal compressive stresses, Kim et al. [18] carried out both computational and experimental investigations. These studies included mechanical tests and non-linear FEA. In a similar study, using non-linear FEA techniques once more, Cui and Wang [19] investigated the maximum strength of girders in the longitudinal direction with apertures in the region of interest under longitudinal compression. In order to simulate main forces from global horizontal or vertical bending moments, Paik [20] examined the final strength characteristics of steel panels with one circular perforation that were subjected to axial compression loads along the short sides. This was done using ANSYS 2007 software, which allowed modifications to the aspect ratio, thickness, and hole size of the plates.
The impacts of curvature radius in different cutout forms within a web frame, specifically for the longitudinal stiffeners, were investigated by Silva-Campillo et al. [21]. Their study focused on optimal analysis to determine the most effective design for enhancing fatigue strength. In order to alleviate stress and provide an appropriate cutout shape, Andersen [22] developed an innovative concept for fatigue-strength cutouts, optimizing the geometry through finite element analysis. In a different study, Silva-Campillo et al. [23] used an optimization based on a method with many variables under nonlinear condition to assess the effects of cutouts made for the installation of longitudinal stiffeners in the torsion box’s main structure while minimizing local structural weight. This study also explored the structural integrity of a perforated plate, representing a plate with holes that symbolizes a container ship’s floor, under various geometric configurations, stiffening methods, and load conditions.
In recent studies, various approaches have been employed to investigate the shear behavior and buckling performance of structural components, particularly those with perforated webs or variable stiffness. Cruz et al. [24] focused on the influence of shear deformation on plate-buckling loads, emphasizing the role of curvature effects, especially in thicker plates, using the Boundary Element Method (BEM). Building on this, Yidris et al. [25] applied finite element analysis to explore the shear buckling behavior of CFRP composite perforated plates, highlighting how web openings and laminate configurations can significantly affect buckling performance. This underscores the importance of careful design when subjected to varying shear loads. Similarly, Jing et al. [26] employed potential flow theory to design curvilinear fibre paths for variable-stiffness composite plates and analyzed their buckling performance using the discrete Ritz method. Their results demonstrated substantial improvements in load capacity compared to constant stiffness composites. Further, Li et al. [27] investigated sinusoidal corrugated web girders with stiffened circular openings, revealing the impact of geometric imperfections on shear capacity and noting that stiffeners enhance both strength and stiffness, although their effect diminishes beyond a certain thickness. Finally, Chen et al. [28] examined the shear resistance of stainless-steel plate girders with perforated webs, finding a 52% reduction in shear strength due to perforations and evaluating the accuracy of several design guidelines. Together, these studies highlight the complex interplay of material properties, geometric configurations, and design considerations in optimizing shear resistance and buckling performance across different structural components.
The structure of this paper is as follows: The theoretical underpinnings of linear eigenvalue analysis for buckling are presented in Section 2. The case study is covered in Section 3, together with geometric configurations and an explanation of the testing arrangement. The finite element method and the validation procedure, which compares the simulation results to experimental data, are described in Section 4. Based on the analysis of different geometric characteristics and load scenarios, Section 5 presents the results pertaining to stress patterns of distribution, buckling strength, and fatigue life. Finally, Section 6 wraps up the research with conclusions derived from the data.

2. Linear Eigenvalue Analysis for Buckling

Within the analysis of equations systems and matrix, use of eigenvalues and eigenvectors is a well-common practice. Linear tensile buckling can be defined as an eigenvalue problem. In this context, the eigenvectors correspond to the various buckling modes, while the eigenvalues indicate the loads that lead to buckling [29].
( [ K ] λ i [ S ] ) { Ψ } i = { 0 }
As the first step in the buckling analysis, the given equation is composed of:
  • [K] is the stiffness matrix.
  • [S] is the stress stiffness matrix.
  • λi is the corresponding eigenvalue, which is utilized to scale the applied loads.
The formula below outlines the response of the plate, whether buckled or intact, to uniaxial compression [29].
4 w x 4 + 2 4 w x 2 y 2 + 4 w y 4 = 12 1 ν 2 E t 3 N x 2 w x 2
Main components of ecuation are:
  • ν, Poisson’s ratio.
  • N x , in-plane force.
  • t, thickness of the plate.
  • E, Young’s modulus.
  • W, the vertical displacement in the z-axis of a point positioned on the (x, y) plane.
For a plate that is supported on the four sides, the displacement can be approximated as [29]:
w = m = 1 n = 1 A m n sin m π x a sin n π y b
When the x-axis is parallel to the plate’s longer edge and the y-axis is perpendicular to it, m and n stand for the number of half-waves along the x and y axes, respectively. In the meantime, a and b show the dimensions of the plate in these directions, respectively. A nontrivial solution is obtained in accordance with the boundary requirements [29]:
A m n π 4 m 2 a 2 + n 2 b 2 2 N x D m 2 π 2 a 2 = 0
where N x = k π 2 D b 2 , D = E t 3 12 1 ν 2 is the stiffness of the plate, k = m α + α m 2 is the element responsible for buckling, and α = a b symbolizes the aspect relationship. A well-known formula provides the critical buckling stress under elastic circumstances in the case of uniaxial compression [25].
σ b u c k = k π 2 E 12 ( 1 ν 2 ) t b 2
The Johnson–Ostenfeld formula [30], which takes into account both elastic conditions and a plasticity adjustment for buckling strength, is used to determine the critical buckling strength.
σ c r = σ b u c k σ y 1 σ y 4 σ b u c k for   σ c r = σ b u c k σ y 1 σ y 4 σ b u c k
Here, σ y symbolizes the yield stress, σ c r shows the critical buckling stress, and p r is a measure of influence on plasticity phenomena, typically falling between 0.5 and 0.6. Buckling may arise from in-plane compressive stress brought on by shear pressures. In pure shear situations, this in-plane compressive stress acts at a 45° angle to the shear axis [31].
τ c r = k π 2 E 12 ( 1 ν 2 ) t b 2 with   k = 5.34 + 4 α 2 k = 5.34 α 2 + 4 for   α > 1 α 1
To clarify the elastic buckling behavior of a simply supported plate under various applied stress components, the following analytical technique is provided [30].
σ x σ x u c 1 + β σ x σ x u σ y σ y u + σ y σ y u c 2 + τ τ u c 3 = 1
Here, σ x u , σ y u and τ u symbolize the maximum strengths when subjected to axial stresses, while σ x , σ y , and τ indicate the axial stresses in the x-direction, y-direction, and edge shear, respectively. The coefficients c1, c2, c3, and δ are elements that rely on the boundary conditions and load. Equation (8) reduces to for biaxial compressive loading.
σ x σ x u 2 + σ y σ y u 2 = 1
An alternative formulation to describe the plate’s biaxial compression is provided by Paik [31].
m 2 a 2 σ x + n 2 b 2 σ y π 2 D t m 2 a 2 + n 2 b 2 2 = 0

3. Case Study

3.1. Description

The container ship selected is based on the B-178 vessel built in Stocznia Szczecińska Nowa (Szczecin shipyard), located in Poland with the following general arrangement (Figure 1).
Table 1 provides the main particulars of the vessel.
The spacing between frames is set at 800 mm, and double-bottom floors are incorporated every four frames, each with a height of 1700 mm. This design ensures adequate space for the ballast tanks and facilitates access during fabrication, inspection, and repairs. The placement of the longitudinal side girders aligns with the spacing of the containers stored in the hold above, with a distance of 2550 mm, corresponding to three stiffener spacings. Additionally, an elliptical opening measuring 600 mm by 400 mm is located in the central part of the web floor (Figure 2).
Featuring a Young’s modulus of 206 GPa and a Poisson’s ratio of 0.3. The material has a yield stress of 235 MPa and a density of 7.85 t/m3. Four different cutout geometries, with sizes (hibl, libl, hsl, and lsl) determined by the surrounding longitudinal stiffener (bulb profile), are defined in the double-bottom floor and the same openings but for the flat bar-type side girder profile (Figure 3).
Two geometries for the cutouts and one geometry for the double-bottom floor plate are part of the experimentation process, with a scale factor of 1:10. The sample’s surfaces are prepped prior to testing. This surface treatment involves acetone washing, white paint application, and black paint spraying, on the previously painted white coat, to create a random mesh pattern. The digital image-correlation method is used to calculate stresses and displacements based on this pattern in order to validate the numerical results (Figure 4).

3.2. Loading Scenarios and Boundary Conditions

Based on the most relevant loading conditions in double bottoms of container ships, two loading scenarios are established: on the one hand, a compressive and axial load is considered with a test value of 600 kN, and on the other hand, a load is oriented perpendicular to the plate, derived from hull girder loads, with a standard value of 4.5 kN. For the boundary conditions, a conservative criterion is set that establishes a support that restricts all movements on one of the edges and allows displacement on the rest of the edges, following the same principles and criteria that Saad-Eldeen et al. [11] and Xu et al. [33] used. To cover the full spectrum of possibilities, loading scenarios and boundary conditions are considered in the two possible directions and configurations (longitudinal and transverse) to capture the structural behaviour whatever the loading direction. Additionally, adhering to a conservative approach, the cutout is examined under the most unfavorable loading direction. This creates a common single edge notch tension (SENT) stress condition on the experimental material by applying it at four different sites, which represents the least favorable scenario that yields the most conservative results. Considering the characteristics of the testing machine, it is advisable to calibrate the specimens (Figure 5).
To establish the degree of influence of the four selected cutout geometries on the structural behavior of the double-bottom floor, 72 different combinations of plate thickness (14.5, 18, and 22 mm, respectively), cutout geometry (cutout no.1, no. 2, no. 3, and no. 4), scantlings, and the number of longitudinal stiffeners present in the bottom, double bottom, and side girder for different models of double-bottom floors (Table 2) are studied.
For the experimental evaluation of the floor plate, a two-phase modeling approach was developed combining two different center openings according to their orientation and geometric characteristics. In the first step, the specimen is fastened to the testing machine using a top transition piece in order to conduct a thorough examination of the double-bottom floor plate. This block is securely connected at the lower clamp and has a U-like component threaded on a cylindrical element to mimic the design load (Figure 6). In the second step, attention is focused on one of the apertures, specifically the longitudinal stiffener cutout. Test specimens related to this cutout geometry are positioned in the fatigue machine using two connection pieces (upper and lower). The loading scenarios and boundary conditions are established by these coupling blocks. The top transition piece is made up of two welded parts to compensate for potential machine and weld misalignments: a trapezoidal unit with a circular aperture to connect the lyre shackle and a rotating eyebolt, and a U shape that replicates the design load using bolts tested to generate a double shear force. The bottom transition block similarly consists of two welded sections with a parallelepiped element and is secured to the specimen with four bolts to give sufficient rigidity (Figure 6).
Until the predefined requirements are satisfied and testing starts, the force is applied to the samples in a gradually increasing manner at an average velocity of 0.5 kN/s. Following the recommendations made by Branco et al. [34], the frequency of the stress that is applied for the test specimen is set to 5 Hz.

4. Methodology

A model of linear elastic material, based on the notion of minor displacement, is assumed for the analysis. Buckling strength is assessed using ANSYS® Workbench 2024, which provides various 3D solid and tetrahedral finite elements to examine stress distribution across the thickness. The method proposed by Kim et al. [8] is employed to determine an appropriate fine mesh size, allowing for a seamless transition across different sections of the model. A mesh convergence procedure was implemented by repeatedly adjusting the solution count until the change in von Mises stress between consecutive values was comparable to the finite element reliability criteria mentioned by Patil and Jeyakarthikeyan [35]. With a typical element edge measurement of 47.765 mm, the mesh speed of convergence as a function of element and node count is shown in Figure 7 and Table 3. At lower processing levels, a feasible solution was obtained with 116,065 nodes and 74,110 elements, yielding a 4.8% deviance.
The numerical model is validated in two phases: on the one hand, by a global approach establishing a modification of maximum displacement of 4.2% of the free end of the cantilevered double-bottom floor (Figure 8).
Following the methodology outlined by Kumar et al. [36], the second stage of validating the numerical model entails comparing numerical (FEM) and experimental results by correlating them using digital image correlation (DIC), through a Sony® HDR-XR500VE camcorder (Shanghai, China), with the 2D MATLAB® software Ncorr® v1.2 [37]. Under the given standard load circumstances, the maximum displacement varies by 7.1% (Figure 9).

5. Results and Discussion

5.1. Impact of the Central Opening and Side Contour Cutouts

Figure 10 shows the von Mises stress distribution of the double-bottom floor in the presence of the different geometric discontinuities, for the case of 14.5 mm thickness and axial load.
The double-bottom floor, under axial loading scenario and different geometrical conditions, shows a very significant variation of the stress distribution that represents the great influence of the openings present in the structural behavior of the same with respect to the initial condition of the solid plate, in terms of the increase of the maximum von Mises stress of 31.4%, 74.7%, and 77.7% with respect to the condition of the plate with central opening, plate with cutouts, and plate with central opening and cutouts, respectively. A great influence of the presence of the cutouts with respect to the central opening is observed, since there is a minimum difference of 3% of stress increase when all the geometrical discontinuities (central opening and cutouts) or only the cutouts are present (Figure 11).
Figure 12 shows the stress distribution of the double-bottom floor in the presence of the different geometric discontinuities, for the case of 14.5 mm thickness and transverse loading.
The double-bottom floor exhibits variations in stress distribution under transverse loading conditions and different geometric configurations, highlighting the impact of the openings on its structural behavior compared to the original solid plate. This results in increases in the maximum von Mises stress of 4.9%, 56.9%, and 60.4% for the plate with a central opening, the plate with cutouts, and the plate with both a central opening and cutouts, respectively. A notable rise in the maximum von Mises stress is evident when the loading scenario involves a transverse load as opposed to an axial load, with differences in maximum stress of 63.8%, 49.9%, 38.4%, and 35.78% observed for the solid plate, plate with a central opening, plate with cutouts, and plate with both features, respectively. Additionally, as the stress levels increase, the gap between the two loading conditions diminishes (Figure 13).
A more unfavorable and at the same time more conservative load scenario is established for the transverse load case. A common pattern is observed in the structural behavior regardless of the load scenario selected. A great influence of the presence of the cutouts with respect to the central opening is observed, since there is a minimum difference of 5.8% of stress increase when all the geometrical discontinuities (central opening and cutouts) or only the cutouts are present. Figure 14 shows the difference, in terms of von Mises stress distribution, between cutout no. 1 and no. 2 present in the double bottom, for the same SENT-type loading condition, with an improvement in von Mises maximum stress of 0.43% of cutout no. 2 over cutout no. 1.

5.2. Effect of Plate Dimensions

One of the determining factors that allow modifying the structural behavior is the thickness of the double-bottom floor. In accordance with this approach, the study of the influence of the thickness is established for each of the six different models, by means of three modifications of the thickness for each cutout geometry established above. Figure 15 shows the particular case of models 1, 3, and 6, for different cutouts (1, 2, 3, and 4) and different thickness values (14.5, 18, and 22) in millimeters, under axial load as a loading scenario.
A common behavior is observed, whatever the model tested; the trend of the maximum von Mises stress decreases linearly with sequential increases in the thickness of the double-bottom floor, a behavior that can be extrapolated to determine the necessary increase in thickness to decrease the desired amount of von Mises stress. Regardless of the model, a clear improvement, translated into a lower stress level, is observed for cutouts no. 1 and no. 2 with respect to cutouts no. 3 and 4. The geometries relative to the double-bottom floor with the cutouts no. 1 and no. 2 present the biggest difference for the smallest thickness (14.5 mm) and of value 3.86, 3.76, and 4.16%, for the case of model no. 1, model no. 3, and model no. 6, respectively. Figure 16 shows the stress distribution as a function of the models at equal thickness (14.5 mm) and an axial loading scenario, for the case of cutout no. 1 and cutout no. 2.

5.3. Fatigue Behavior

The fatigue safety factor (FSF) is represented as a contour plot showing the safety factor relative to fatigue failure over a specified design life (typically 1 × 10⁹ cycles) [38,39]. Figure 17 shows the minimum FSF for different combinations between models and cutout geometries.
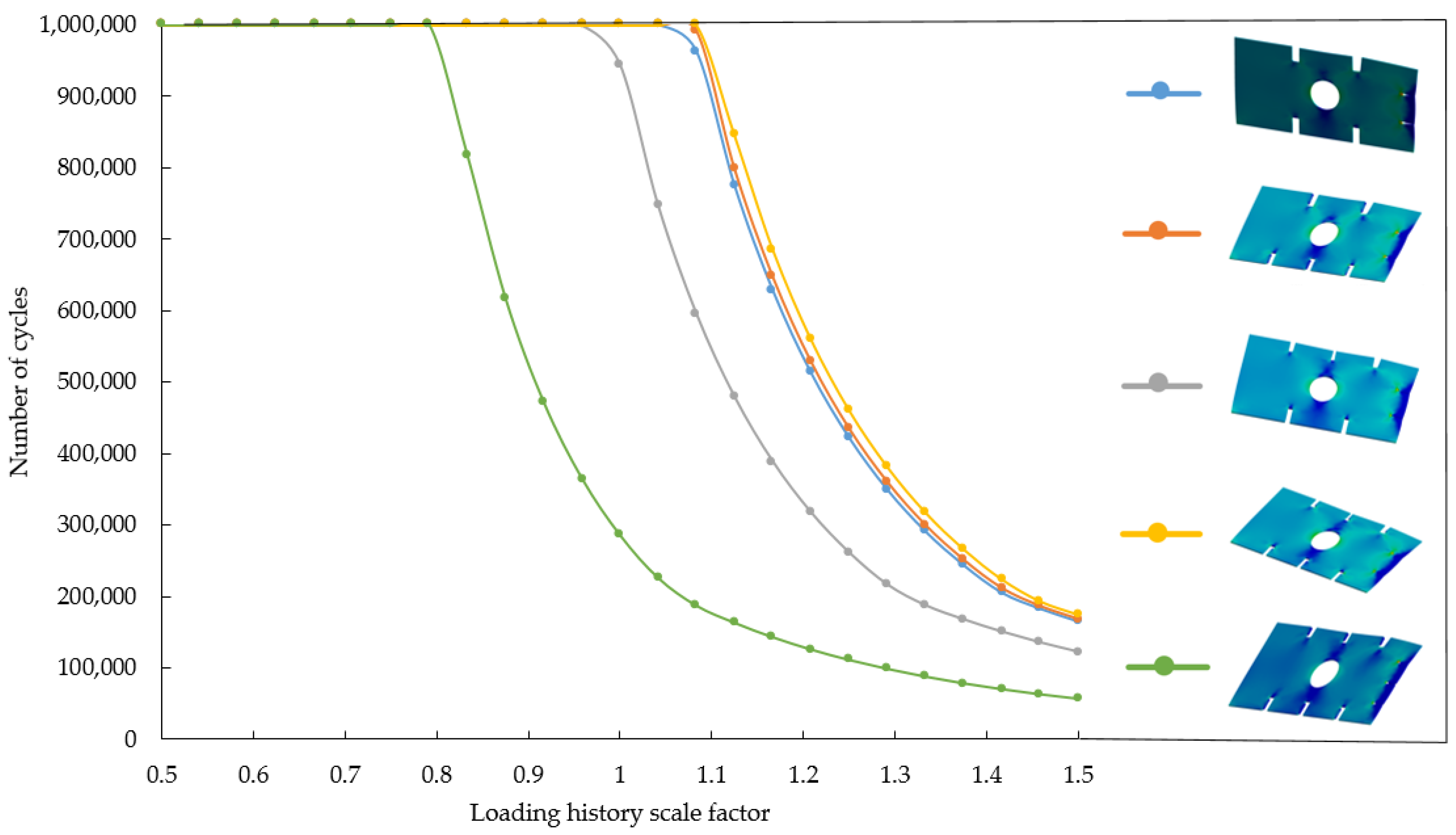
According to obtained results, it is observed that a configuration of two longitudinal stiffeners in the bottom and inner bottom with three longitudinal stiffeners on the side girder presents the most high minimum fatigue safety factor, which results in less influence of the side girder cutouts compared to the bottom and inner bottom cutouts. A comparison between the different models indicates that cutout no. 1 presents the most beneficial results in 50% of the analyses situations. Particularly in the first of the arrangements with two longitudinales in bottom, double bottom, and side, the greatest increase in the fatigue safety factor is 17.6%, which occurs between the use of cutout no. 1 and no. 3. To account for potential scenarios that create load scenarios different from the original, fatigue-sensitivity curves are calculated to aid in structural design. These curves are represented as graphs formed by connecting points that show the remaining life for various stress range values, expressed through a loading history scale factor. The effect of the scale factor on the increase or decrease of the stress range, relative to the initial load, is examined in relation to fatigue life. For each combination of model and cutout geometry, 25 evenly spaced stress range variations are considered, starting from the initial value (with a scale factor of one) and extending to ± 50% of this value, resulting in a total of 150 numerical tests (Figure 18).
The collective points of the fatigue-sensitivity curves suggest a potential extrapolation of the results by fitting the point cloud from each tested sub-model to a shared hyperbolic curve. Sensitivity, in terms of changes in fatigue life, generally shows an inverse relationship with the applied scale factor, regardless of the cutout geometry and model of double-bottom floor selected. Fatigue life experiences a significant decline as the scale factor increases.
Biaxiality indication (BI) is defined as the ratio of the smaller principal stress to the larger principal stress, excluding the principal stress closest to zero from consideration [40]. A BI value of 0 indicates uniaxial stress, −1 represents pure shear, and 1 corresponds to a purely biaxial stress state. Figure 19 shows the distribution of BI for different cases.
It is observed that regardless of the model and cutout selected, the predominant state in the double-bottom floor is the uniaxial state, followed by a pure shear state located in the upper part of the central opening and in the cutouts near the side girder, which also present a pure shear state. The pure biaxial state presents a stable behavior in the different models with a marked tendency to remain in the lower part of the central opening, which is located in the vicinity of the high zone of the central cutout in models no. 2, no. 4, and no. 6.

6. Conclusions

This research has advanced the understanding of how geometric discontinuities—such as central openings and cutouts—affect the structural integrity of perforated plates in the double-bottom floor of Panamax-class container ships. By conducting detailed numerical and experimental analyses, we have achieved a clearer picture of the stress distribution and fatigue behavior of these plates under various load scenarios, addressing the key problem of balancing weight reduction with maintaining structural strength. Our findings offer significant implications for both the design and maintenance of ship structures.
The results highlight the critical role that geometric discontinuities play in weakening the structural strength of the plates, emphasizing the importance of careful design to mitigate stress-concentration areas. In particular, it was found that the presence of side cutouts had a more detrimental effect on stress distribution compared to central openings, a finding that holds under both axial and transverse loading conditions. This emphasizes the need for caution when incorporating these features, as they introduce vulnerabilities that may compromise the structural performance. Furthermore, our fatigue analysis underscores the importance of stiffening configurations, showing that certain stiffening arrangements, especially those with longitudinal stiffeners in the bottom and inner bottom, can significantly enhance the fatigue life of the structure.
One of the most important outcomes of this study is the identification of stress trends in relation to plate thickness. We observed a consistent reduction in von Mises stress with increased plate thickness across all models and cutout configurations. This insight provides a clear design strategy for improving the structural resilience of ship floors by adjusting thickness to mitigate stress and prolong fatigue life. Additionally, the study confirms that cutout geometries no. 1 and no. 2 offer better performance under load, providing a viable alternative to less effective cutout shapes. The practical implications of these findings are substantial, offering shipbuilders new avenues for optimizing hull designs without compromising safety or performance.
Future research should focus on extending these analyses to more complex loading scenarios, including wave-induced stresses and multi-axial load conditions. Additionally, more detailed studies on fatigue under varying operational conditions could provide further insight into the long-term durability of these design alternatives. Finally, further exploration into the application of topology optimization techniques could lead to even more efficient structural designs that balance weight reduction with enhanced performance. This continued research will be crucial for advancing shipbuilding practices, ensuring safer and more efficient ships in the future. Overall, this study contributes valuable knowledge to the field of naval engineering, offering both immediate practical benefits for ship design and a foundation for future innovations in the structural design of container ships.

Author Contributions

Conceptualization, A.S.-C., M.F.-M., M.A.H.-S. and F.P.-A.; Methodology, F.P.-A., A.S.-C. and M.F.-M.; Software, A.S.-C.; Validation, F.P-A. and M.A.H.-S.; Formal analysis, A.S.-C., M.F.-M. and M.A.H.-S.; Investigation, F.P.-A., A.S.-C. and M.F.-M.; Resources, A.S.-C.; Data curation, F.P.-A., M.F.-M. and M.A.H.-S.; Writing—original draft preparation, F.P.-A., A.S.-C., M.F.-M. and M.A.H.-S.; Writing—review and editing, F.P.-A., M.F.-M. and M.A.H.-S.; Visualization, A.S.-C.; Supervision, F.P.-A., M.F.-M. and M.A.H.-S.; Project administration, F.P.-A., A.S.-C., M.F.-M. and M.A.H.-S. All authors have read and agreed to the published version of the manuscript.

Funding

This research received no external funding.

Institutional Review Board Statement

Not applicable.

Informed Consent Statement

Not applicable.

Data Availability Statement

The original contributions presented in the study are included in the article, further inquiries can be directed to the corresponding author.

Acknowledgments

The authors would like to acknowledge the support received by the Universidad Politécnica de Madrid.

Conflicts of Interest

The authors declare no conflict of interest.

References

  1. Kawasaki, Y.; Okada, T.; Kobayakawa, H.; Amaya, I.; Miyashita, T.; Nagashima, T.; Neki, I. A study of forced vibration of double bottom structure due to whipping on an ultra large container ship. In Proceedings of the ASME 36th International Conference on Ocean, Offshore and Arctic Engineering, Trondheim, Norway, 25–30 June 2017. Paper No. OMAE2017-61149. [Google Scholar] [CrossRef]
  2. Bureau Veritas Rules. Structural Rules for Container Ships; NR625 DT R04 E; Bureau Veritas: Neuilly-sur-Seine, France, 2021. [Google Scholar]
  3. Wang, G.; Sun, H.; Peng, H.; Uemori, R. Buckling and ultimate strength of plates with openings. Ships Offshore Struct. 2009, 4, 43–53. [Google Scholar] [CrossRef]
  4. Liu, B.; Gao, L.; Ao, L.; Wu, W. Experimental and numerical analysis of ultimate compressive strength of stiffened panel with openings. Ocean Eng. 2021, 220, 108453. [Google Scholar] [CrossRef]
  5. Saad-Eldeen, S.; Garbatov, Y.; Guedes Soares, C. Structural capacity of plates and stiffened panels of different materials with opening. Ocean Eng. 2018, 167, 45–54. [Google Scholar] [CrossRef]
  6. Yanli, G.; Xiaoqing, S.; Xiao, L.; Xingyou, Y.; Zhifan, X.; Bin, X.; Jianyi, S. Elastic buckling of thin plate with circular holes in bending. E3S Web Conf. 2019, 136, 04043. [Google Scholar] [CrossRef]
  7. Saad-Eldeen, S.; Garbatov, Y.; Guedes Soares, C. Experimental compressive strength analyses of high tensile steel thin-walled stiffened panels with a large lightening opening. Thin-Walled Struct. 2017, 113, 61–68. [Google Scholar] [CrossRef]
  8. Kim, J.; Jeom, J.; Park, J.; Seo, H.; Ahn, H.; Lee, J. Effect of reinforcement on buckling and ultimate strength of perforated plates. Int. J. Mech. Sci. 2015, 92, 194–205. [Google Scholar] [CrossRef]
  9. Chichi, D.; Garbatov, Y. Retrofitting analysis of tanker ship hull structure subjected to corrosion. Brodogradnja 2019, 70, 87–109. [Google Scholar] [CrossRef]
  10. Cui, J.; Wang, S. An experimental and numerical investigation on ultimate strength of stiffened plates with opening and perforation corrosion. Ocean Eng. 2020, 205, 107282. [Google Scholar] [CrossRef]
  11. Saad-Eldeen, S.; Garbatov, Y.; Guedes Soares, C. Experimental strength assessment of thin steel plates with a central elongated circular opening. J. Constr. Steel Res. 2016, 118, 135–144. [Google Scholar] [CrossRef]
  12. Saad-Eldeen, S.; Garbatov, Y.; Guedes Soares, C. Experimental investigation on the residual strength of thin steel plates with a central elliptic opening and locked cracks. Ocean Eng. 2016, 115, 19–29. [Google Scholar] [CrossRef]
  13. Yu, C.; Lee, J. Ultimate strength of simply supported plate with opening under uniaxial compression. Int. J. Nav. Archit. Ocean Eng. 2012, 4, 423–436. [Google Scholar] [CrossRef]
  14. Kumar, M.; Alagusundaramoorthy, P.; Sundaravadiveu, R. Ultimate strength of stiffened plates with a square opening under axial and out-of-plane loads. Eng. Struct. 2009, 31, 2568–2579. [Google Scholar] [CrossRef]
  15. Li, X.; Zhu, Z.; Li, Y.; Chen, Q.; Zhang, X. Mechanical behaviour of composite ship structures with open-hole. IOP Conf. Ser. Mater. Sci. Eng. 2020, 892, 012033. [Google Scholar] [CrossRef]
  16. Doan, V.; Liu, B.; Garbatov, Y.; Wu, W.; Guedes Soares, C. Strength assessment of aluminium and steel stiffened panels with openings on longitudinal girders. Ocean Eng. 2020, 200, 107047. [Google Scholar] [CrossRef]
  17. Xu, M.; Yanagihara, D.; Fujikubo, M.; Guedes Soares, C. Influence of boundary conditions on the collapse behaviour of stiffened panels under combined loads. Mar. Struct. 2013, 34, 205–225. [Google Scholar] [CrossRef]
  18. Kim, U.; Choe, I.; Paik, J. Buckling and ultimate strength of perforated plate panels under axial compression: Experimental and numerical investigations with design formulations. Ships Offshore Struct. 2009, 4, 337–361. [Google Scholar] [CrossRef]
  19. Cui, J.; Wang, D. A study of ultimate strengths of typical longitudinals girders with openings in container ships. In Proceedings of the ASME, 37th International Conference on Ocean, Offshore and Arctic Engineering, Madrid, Spain, 17–22 June 2018. OMAE2018-77820. [Google Scholar] [CrossRef]
  20. Paik, J.K. Ultimate strength of steel plates with a single circular hole under axial compressive loading along short edges. Ships Offshore Struct. 2007, 2, 355–360. [Google Scholar] [CrossRef]
  21. Silva-Campillo, A.; Suárez-Bermejo, J.C.; Herreros-Sierra, M.A. Design recommendations for container ship side-shell structure under fatigue strength assessment. Ocean Eng. 2022, 245, 110655. [Google Scholar] [CrossRef]
  22. Andersen, M.R. Fatigue Crack Initiation and Growth in Ship Structures. Ph.D. Thesis, Department of Naval Architecture and Offshore Engineering, Technical University of Denmark, Kongens Lyngby, Denmark, 1998. [Google Scholar]
  23. Silva-Campillo, A.; Suárez-Bermejo, J.C.; Herreros-Sierra, M.A.; de Vicente, M. Design methodology in transverse webs of the torsional box structure in an ultra large container ship. Int. J. Nav. Archit. Ocean Eng. 2021, 13, 772–785. [Google Scholar] [CrossRef]
  24. Cruz, V.C.G.; Soares Junior, R.A.; Palermo Junior, L.; Wrobel, L.C. BEM applied to the buckling analysis of skew and perforated plates considering the curvatures in the geometrical nonlinearity effect. Eng. Anal. Bound. Elem. 2023, 154, 186–196. [Google Scholar] [CrossRef]
  25. Yidris, N.; Osman, I.S.; Gires, E. Influence of shear direction on the buckling of CFRP composite perforated plate. Forces Mech. 2022, 9, 100146. [Google Scholar] [CrossRef]
  26. Jing, Z.; Duan, L.; Wang, S. Buckling optimization of variable-stiffness composite plates with two circular holes using discrete Ritz method and potential flow. Int. J. Solids Struct. 2024, 297, 112845. [Google Scholar] [CrossRef]
  27. Li, Z.; Pasternak, H.; Shi, F. Shear buckling behaviour of sinusoidal corrugated web girders with stiffened circular openings. J. Constr. Steel Res. 2024, 21, 108872. [Google Scholar] [CrossRef]
  28. Chen, B.; Wang, Y.; Xu, D.; Wang, Z.; Liu, X.; Lim, J.B.P. An experimental study on shear resistance of austenitic and duplex stainless steel plate girders with perforated webs. Eng. Struct. 2023, 295, 116823. [Google Scholar] [CrossRef]
  29. Timoshenko, S.P.; Gere, J.M.; Prager, W. Theory of Elastic Stability, 2nd ed.; McGraw-Hill Book Co.: New York, NY, USA, 1962. [Google Scholar]
  30. Paik, J.K.; Thayamballi, A.K. Ship-Shaped Offshore Installations. Design, Building, and Operation; Cambridge University Press: New York, NY, USA, 2007. [Google Scholar]
  31. Paik, J.K. Ultimate Limit State Analysis and Design of Plated Structures; Wiley: Hoboken, NJ, USA, 2018. [Google Scholar]
  32. Available online: https://www.facebook.com/photo/?fbid=1753760247970599&set=a.1737574946255796.1073741889.780066968673270 (accessed on 5 October 2024).
  33. Xu, M.C.; Song, Z.J.; Pan, J. Study on the similarity methods for the assessment of ultimate strength of stiffened panels under axial load based on tests and numerical simulations. Ocean Eng. 2021, 219, 108294. [Google Scholar] [CrossRef]
  34. Branco, R.; Antunes, F.; Martins Ferreira, J.; Silva, J. Determination of Paris law constants with a reverse engineering technique. Eng. Fail. Anal. 2009, 16, 631–638. [Google Scholar] [CrossRef]
  35. Patil, H.; Jeyakarthikeyan, P.V. Mesh convergence study and estimation of discretization error of hub in clutch disc with integration of ANSYS. IOP Conf. Ser. Mater. Sci. Eng. 2018, 402, 012065. [Google Scholar] [CrossRef]
  36. Kumar, S.; Aravind, H.; Hossiney, N. Digital image correlation (DIC) for measuring strain in brick masonry specimen using Ncorr open source 2D MATLAB program. Results Eng. 2019, 4, 1000061. [Google Scholar] [CrossRef]
  37. Blaber, J.; Adair, B.; Antoniou, A. Ncorr: Open-Source 2D Digital Image Correlation Matlab Software. Exp. Mech. 2015, 55, 1105–1122. [Google Scholar] [CrossRef]
  38. Vidhya, M.S.; Christina, K.V.M. Fatigue Life, Fatigue Damage, Fatigue Factor of Safety, Fatigue Sensitivity, Biaxiality Indication and Equivalent Stress of a Radial Connecting Rod. Int. Res. J. Eng. Technol. 2020, 7, 1499–1502. [Google Scholar]
  39. Wasmi, H.R.; Abdullah, M.Q.; Jassim, O.A. Testing and Estimation Fatigue Life of a Flange Connection used in Power Plant by ANSYS. Int. J. Curr. Eng. Technol. 2006, 6, 1302–1306. [Google Scholar]
  40. Bhanage, A.; Padmanabhan, K. Design for fatigue and simulation of glass fibre/epoxy composite automobile leaf spring. ARPN J. Eng. Appl. Sci. 2014, 9, 196. [Google Scholar]
Figure 1. (a) B-178 vessel [32], (b) general arrangement.
Figure 1. (a) B-178 vessel [32], (b) general arrangement.
Applsci 14 10684 g001
Figure 2. (a) Container ship torsion model, (b) midship section, (c) double-bottom floor (dimensions in mm).
Figure 2. (a) Container ship torsion model, (b) midship section, (c) double-bottom floor (dimensions in mm).
Applsci 14 10684 g002
Figure 3. Geometries for cutouts (measurements in mm) (a) Cutout no. 1, (b) cutout no. 2, (c) cutout no. 3, (d) cutout no. 4.
Figure 3. Geometries for cutouts (measurements in mm) (a) Cutout no. 1, (b) cutout no. 2, (c) cutout no. 3, (d) cutout no. 4.
Applsci 14 10684 g003
Figure 4. Getting test specimens ready. (a) Cutting and modeling of the double-bottom floor geometry, (b) surface preparation of the double-bottom floor, (c) cutting and modeling of the cutout no. 1 and no. 2 geometry, (d) surface preparation of the cutout no. 2.
Figure 4. Getting test specimens ready. (a) Cutting and modeling of the double-bottom floor geometry, (b) surface preparation of the double-bottom floor, (c) cutting and modeling of the cutout no. 1 and no. 2 geometry, (d) surface preparation of the cutout no. 2.
Applsci 14 10684 g004
Figure 5. Loading scenarios and boundary conditions. (a) Initial configuration, (b) configuration adapted to the testing machine with an isolate model of the cutout.
Figure 5. Loading scenarios and boundary conditions. (a) Initial configuration, (b) configuration adapted to the testing machine with an isolate model of the cutout.
Applsci 14 10684 g005
Figure 6. Experimental setup. (a) Double-bottom floor, (b) cutout.
Figure 6. Experimental setup. (a) Double-bottom floor, (b) cutout.
Applsci 14 10684 g006
Figure 7. (a) Mesh pattern for the solution number four, (b) convergence process.
Figure 7. (a) Mesh pattern for the solution number four, (b) convergence process.
Applsci 14 10684 g007
Figure 8. Difference between numerical and experimental regime. (a) Finite element analysis, (b) experimental test.
Figure 8. Difference between numerical and experimental regime. (a) Finite element analysis, (b) experimental test.
Applsci 14 10684 g008
Figure 9. Comparison in maximum displacement (in mm). (a) FEM technique, (b) DIC technique.
Figure 9. Comparison in maximum displacement (in mm). (a) FEM technique, (b) DIC technique.
Applsci 14 10684 g009
Figure 10. Von Mises stress distribution (Pa) with 14.5 mm thickness and axial load. (a) Solid plate, (b) plate with central opening, (c) plate with cutouts, (d) plate with central opening and cutouts.
Figure 10. Von Mises stress distribution (Pa) with 14.5 mm thickness and axial load. (a) Solid plate, (b) plate with central opening, (c) plate with cutouts, (d) plate with central opening and cutouts.
Applsci 14 10684 g010
Figure 11. Difference, in terms of maximum von Mises stress (MPa), between geometrical discontinuities.
Figure 11. Difference, in terms of maximum von Mises stress (MPa), between geometrical discontinuities.
Applsci 14 10684 g011
Figure 12. Von Mises stress distribution (Pa) with 14.5 mm thickness and transverse load. (a) Solid plate, (b) plate with central opening, (c) plate with cutouts, (d) plate with central opening and cutouts.
Figure 12. Von Mises stress distribution (Pa) with 14.5 mm thickness and transverse load. (a) Solid plate, (b) plate with central opening, (c) plate with cutouts, (d) plate with central opening and cutouts.
Applsci 14 10684 g012
Figure 13. Difference of maximum von Mises stress between axial load and transverse load at different geometrical discontinuities.
Figure 13. Difference of maximum von Mises stress between axial load and transverse load at different geometrical discontinuities.
Applsci 14 10684 g013
Figure 14. Distribution of Von Mises stress (MPa). (a) Cutout no. 1, (b) cutout no. 2.
Figure 14. Distribution of Von Mises stress (MPa). (a) Cutout no. 1, (b) cutout no. 2.
Applsci 14 10684 g014
Figure 15. Von Mises maximum stress at modification of thickness. (a) Model no. 1, (b) model no. 3, (c) model no. 6.
Figure 15. Von Mises maximum stress at modification of thickness. (a) Model no. 1, (b) model no. 3, (c) model no. 6.
Applsci 14 10684 g015
Figure 16. Von Mises maximum stress of different models at equal thickness (14.5 mm) and an axial loading scenario.
Figure 16. Von Mises maximum stress of different models at equal thickness (14.5 mm) and an axial loading scenario.
Applsci 14 10684 g016
Figure 17. Minimum fatigue safety factor (FSF).
Figure 17. Minimum fatigue safety factor (FSF).
Applsci 14 10684 g017
Figure 18. Fatigue-sensitivity curves. Blue line—Model no. 1 with cutout no. 1, orange line—model no. 2 with cutout no. 2, grey line—model no. 3 with cutout no. 3, yellow line—model no. 4 with cutout no. 4, and green line—model no. 6 with cutout no. 2.
Figure 18. Fatigue-sensitivity curves. Blue line—Model no. 1 with cutout no. 1, orange line—model no. 2 with cutout no. 2, grey line—model no. 3 with cutout no. 3, yellow line—model no. 4 with cutout no. 4, and green line—model no. 6 with cutout no. 2.
Applsci 14 10684 g018
Figure 19. Biaxility indication. (a) Model no. 1 with cutout no. 1, (b) model no. 2 with cutout no. 2, (c) model no. 3 with cutout no. 3, (d) model no. 4 with cutout no. 4, (e) model no. 5 with cutout no. 1, (f) model no. 6 with cutout no. 2.
Figure 19. Biaxility indication. (a) Model no. 1 with cutout no. 1, (b) model no. 2 with cutout no. 2, (c) model no. 3 with cutout no. 3, (d) model no. 4 with cutout no. 4, (e) model no. 5 with cutout no. 1, (f) model no. 6 with cutout no. 2.
Applsci 14 10684 g019
Table 1. Main particulars.
Table 1. Main particulars.
VariablesUnitValue
Length between perpendiculars (Lbp) m169.7
Breadth (B) m32.24
Depth to main deck (D) m18.7
Draught (T) m12.15
Maximum service speed (V) kn22.5
Table 2. Structural combinations for different cutout geometries, scantlings, and number of longitudinal stiffeners and transverse plate thicknesses (dimensions in mm). (a) Model no. 1, (b) model no. 2, (c) model no. 3, (d) model no. 4, (e) model no. 5, and (f) model no. 6.
Table 2. Structural combinations for different cutout geometries, scantlings, and number of longitudinal stiffeners and transverse plate thicknesses (dimensions in mm). (a) Model no. 1, (b) model no. 2, (c) model no. 3, (d) model no. 4, (e) model no. 5, and (f) model no. 6.
Applsci 14 10684 i001Bottom:
HP. 280 × 11
Inner bottom:
HP. 260 × 11
Side girder:
FB. 150 × 12
Applsci 14 10684 i002Bottom:
HP. 240 × 10
Inner bottom:
HP. 260 × 11
Side girder:
FB. 150 × 12
Applsci 14 10684 i003Bottom:
HP. 280 × 11
Inner bottom:
HP. 180 × 11
Side girder:
FB. 150 × 12
(a)(b)(c)
Applsci 14 10684 i004Bottom:
HP. 240 × 10
Inner bottom:
HP. 180 × 11
Side girder:
FB. 150 × 12
Applsci 14 10684 i005Bottom:
HP. 280 × 11
Inner bottom:
HP. 260 × 11
Side girder:
FB. 100 × 12
Applsci 14 10684 i006Bottom:
HP. 240 × 10
Inner bottom:
HP. 180 × 10
Side girder:
FB. 150 × 9
(d)(e)(f)
Table 3. Iteration procedure for mesh convergence.
Table 3. Iteration procedure for mesh convergence.
σ V M (MPa) Change (%)ElementsNodes
180.84-3622939
2104.9825.910,98119,757
3113.167.529,34448,369
4118.834.874,110116,065
Disclaimer/Publisher’s Note: The statements, opinions and data contained in all publications are solely those of the individual author(s) and contributor(s) and not of MDPI and/or the editor(s). MDPI and/or the editor(s) disclaim responsibility for any injury to people or property resulting from any ideas, methods, instructions or products referred to in the content.

Share and Cite

MDPI and ACS Style

Fuentetaja-Merino, M.; Silva-Campillo, A.; Herreros-Sierra, M.A.; Pérez-Arribas, F. Structural Analysis of the Geometric Alternatives of Double-Bottom Floor Plates of a Panamax-Class Container Ship. Appl. Sci. 2024, 14, 10684. https://doi.org/10.3390/app142210684

AMA Style

Fuentetaja-Merino M, Silva-Campillo A, Herreros-Sierra MA, Pérez-Arribas F. Structural Analysis of the Geometric Alternatives of Double-Bottom Floor Plates of a Panamax-Class Container Ship. Applied Sciences. 2024; 14(22):10684. https://doi.org/10.3390/app142210684

Chicago/Turabian Style

Fuentetaja-Merino, Mario, Arturo Silva-Campillo, Miguel Angel Herreros-Sierra, and Francisco Pérez-Arribas. 2024. "Structural Analysis of the Geometric Alternatives of Double-Bottom Floor Plates of a Panamax-Class Container Ship" Applied Sciences 14, no. 22: 10684. https://doi.org/10.3390/app142210684

APA Style

Fuentetaja-Merino, M., Silva-Campillo, A., Herreros-Sierra, M. A., & Pérez-Arribas, F. (2024). Structural Analysis of the Geometric Alternatives of Double-Bottom Floor Plates of a Panamax-Class Container Ship. Applied Sciences, 14(22), 10684. https://doi.org/10.3390/app142210684

Note that from the first issue of 2016, this journal uses article numbers instead of page numbers. See further details here.

Article Metrics

Back to TopTop