Next Article in Journal
Editorial: Mechanical Properties and Engineering Applications of Special Soils
Previous Article in Journal
Risk Assessment for the Development of Emergency Scenarios for Tram Driver Training
 
 
Font Type:
Arial Georgia Verdana
Font Size:
Aa Aa Aa
Line Spacing:
Column Width:
Background:
Article

Comparative Analysis of Sewage Sludge Characteristics After Natural Deposition, Accelerated Aging, and Composting

Research and Education Centre “Water Supply and Wastewater Treatment”, Moscow State University of Civil Engineering, 26 Yaroslaskoye Highway, 129337 Moscow, Russia
*
Author to whom correspondence should be addressed.
Appl. Sci. 2024, 14(22), 10446; https://doi.org/10.3390/app142210446
Submission received: 9 October 2024 / Revised: 11 November 2024 / Accepted: 12 November 2024 / Published: 13 November 2024

Abstract

This study investigated treatment methods for urban wastewater sludge, specifically examining natural drying over five years, accelerated freeze–thaw–drying cycles, and composting with and without a zeolite additive. The findings reveal that composting effectively stabilized the sludge while retaining essential nutrients crucial for agriculture. Notably, with the addition of 2% zeolite by total mass, approximately 40% of the total nitrogen was preserved. Adequate aeration during composting maintained acceptable levels of phosphorus compounds, with the phosphorus content expressed as P2O5 showing significant retention compared with the natural drying methods. Composting also demonstrated a substantial reduction in petroleum hydrocarbon concentrations, which decreased from 30 mg/kg to 3 mg/kg, thereby showcasing its potential for processing contaminated sludge. The inclusion of zeolite enhanced the nitrogen retention by an additional 10–20% compared with the composting without zeolite, aligning with previous studies on its effectiveness. While composting and thermal treatments, like accelerated freeze–thaw cycles, influenced the physical properties of the sludge—such as reducing the moisture content and altering the volatile substance concentrations—they did not significantly affect the heavy metal levels. Natural drying over five years resulted in reduced metal quantities, which possibly reflected changes in the wastewater characteristics over time. Given that the heavy metal concentrations remained largely unchanged, additional treatment methods are recommended when the initial sludge contains high levels of these contaminants to ensure the safe use of the final product as fertilizer. This study underscored the significant role of biochemical and microbiological processes during composting and natural drying in transforming sludge properties. Future research should focus on establishing upper contamination thresholds and exploring microbiological safety measures to enhance the viability of sludge reuse in agriculture, balancing nutrient preservation with environmental safety.

1. Introduction

The primary goal of wastewater treatment plants (WWTPs) is to purify influent wastewater in accordance with specific requirements, followed by the discharge of treated water into bodies of water. Consequently, influent wastewater is regarded as waste, the harm of which must be mitigated, without considering the potential recovery of valuable resources that can be utilized in the economy. This has led to the overwhelming majority of WWTPs currently being used solely for the purpose of wastewater treatment and subsequent discharge, with the disposal of residual pollutants in landfills, while the recovery of secondary products (e.g., extracted nutrients for agricultural needs or treated sludge for various needs of economy) is often not taken into account.
However, these approaches are gradually being reevaluated. In recent years, for example, there has been a significant increase in the prices of energy resources. This, in turn, affects the availability of produced fertilizers and, consequently, the cost of foodstuffs [1]. On the other hand, there is a growing concern due the uncontrolled increase in nutrient (nitrogen and phosphorus) emissions into the environment, the main reasons for which are the intensified use of fertilizers and the increased amount of wastewater production (especially in the case of their incomplete treatment) [2]. Efficient wastewater treatment may require increased costs, particularly when waste valorization is demanded. Therefore, technologies for treating wastewater sludge as a resource, which can produce valuable products, can be viewed as a promising direction for the development of green technologies, with a high potential for increasing the economic efficiency of wastewater treatment initiatives [3].
Inadequately treated sludge can become a source of soil contamination, particularly concerning pathogenic microorganisms and heavy metals. This is primarily attributed to the mixing of domestic, surface, and industrial wastewater [4]. The use of wastewater sludge in agriculture requires thorough scrutiny of the sludge composition due to the potential presence of toxic substances, heavy metals, and pharmaceutical compounds, which can significantly impact public health [5,6].
The characteristics of sludge intended for treatment are directly influenced by the technological scheme employed in wastewater purification. Furthermore, the potential for utilizing sludge depends on its properties, highlighting the need for a comprehensive approach when designing wastewater treatment facilities to achieve the most effective production of secondary products. Improving the initial properties of sludge by adjusting certain key operations could significantly enhance the added value of the products generated.
For example, the implementation of Enhanced Biological Phosphorus Removal (EBPR) during the biological treatment stage can increase the phosphorus recovery from wastewater into sludge by 5–7% of the total mass (compared with 2% with conventional technologies). This phosphorus-rich sludge can be utilized for agronomic purposes, as demonstrated by numerous studies [7,8,9].
Nutrient-rich sludge can be utilized in high-tech green production. For instance, there has been an increase in recent research related to the production of Polyhydroxyalkanoates (PHAs), commonly known as bioplastics. PHA is a polymer produced by bacteria that offers the advantages of being biodegradable and biocompatible [10]. Wastewater treatment sludge, particularly excess nutrient-rich activated sludge, can be considered a promising source of raw material for such production, as they contain a significant number of microorganisms that accumulate PHA as a reserve energy source. Research efforts are focused on identifying advanced extraction methods for PHA from biomass, which could substantially enhance the economic efficiency of the process [11].
Furthermore, recent studies concentrated on deriving biotechnological products from wastewater sludge in the form of biostimulants—substances that enhance plant growth and soil health. For instance, biostimulants have been obtained by fermenting sludge with the bacterium Bacillus licheniformis. This fermentation process produces compounds that when applied to soil, were shown to significantly increase the degradation of the herbicide oxyfluorfen, a widely used pre-emergent herbicide known for its persistence in the environment. The application of these biostimulants not only accelerates oxyfluorfen breakdown but also enhances the relative abundance of specific microbial communities involved in bioremediation. These results demonstrate the fundamental role of sludge-derived biostimulants in the bioremediation of soils contaminated with oxyfluorfen, offering a sustainable approach to mitigate herbicide pollution [12].
However, alongside the development of advanced methods for extracting high-value secondary products from wastewater sludge, it is also essential to consider the potential for producing more traditional and accessible products, but with guaranteed quality that will facilitate their widespread use. A number of contemporary studies focused on modern methods for producing fertilizers from wastewater sludge with assured quality. Wastewater sludge is a heterogeneous mixture of organic and inorganic compounds, as well as microorganisms [13]. The composition and volume of sludge can vary over time and depend on the characteristics of incoming wastewater, while taking into account seasonal fluctuations.
For instance, in the European wastewater system, the annual loads of nitrogen and phosphorus are estimated to exceed 3 million and 1 million tons, respectively [14]. Since, after preliminary treatment stages, the organic fraction in sludge comprises over 50%, wastewater sludge can be considered a valuable source of organic carbon [15]. Given the characteristics of wastewater treatment methods, it is noted that the most significant biogenic substance in treated sludge is phosphorus compounds. Extracting even half of the phosphorus contained in European wastewater sludge could satisfy approximately 15% of the global demand for phosphorus in agriculture [16,17].
The technology for fertilizer production is aimed at enhancing the efficiency of the agricultural sector, which must meet the nutritional needs of the population. Most developed countries import phosphorus and phosphate fertilizers due to the limited availability of these resources. Additionally, conventional fertilizers are primarily produced from non-renewable raw materials, posing certain risks to ecosystems [18,19]. Therefore, wastewater sludge can be considered a high-potential substitute for chemical fertilizers in agriculture [20,21]. The extraction of nutrients from waste can contribute to the reduction in environmental pollution and to the decreased depletion of non-renewable resources [22].
In the context of fertilizer production from wastewater sludge, contemporary research typically examines sludge that has undergone anaerobic digestion and sludge resulting from composting. Sugurbekova et al. [23] discussed the applicability of wastewater sludge as fertilizer after composting and anaerobic digestion. During the composting process, wastewater sludge undergoes specific physicochemical transformations that yield a stable, humified product. Among the advantages of this method are low capital and operational costs, as well as the additional stabilization of sludge, including deworming.
It was observed that using wastewater sludge and composts derived from it as fertilizers or soil substrates increases the organic matter, nitrogen, phosphorus, and other macro- and micronutrient contents in soils [24,25]. Under the influence of sludge, soil acidity typically decreases and moisture retention increases, which is particularly important for soils with a light granulometric composition. The thermal, water, and air regimes of the soil improve, along with the biological activity [26]. A significant contribution of organic compounds to the soil occurs through the increased soil biomass from the addition of biological solids [27]. This is associated with improved soil moisture retention and reduced susceptibility to water and wind erosion, as well as enhanced fertility due to increased nutrient content.
However, the elevated levels of heavy metals, biogenic elements, and potentially toxic substances in wastewater sludge require continuous monitoring of the composition and characteristics of the sludge, as well as calculations of permissible application rates. Furthermore, ongoing oversight of the application of composted sludge is necessary to ensure qualitative changes on agricultural lands [28].
Chojnacka et al. [29] analyzed methods for extracting nitrogen from wastewater sludge for the production of nitrogen-containing fertilizers. To intensify this process, the introduction of hydrothermal carbonization technology was proposed, which facilitates the disinfection of sludge prior to its further application, including fertilizer production. This process occurs at temperatures ranging from 180 to 300 °C under anaerobic conditions and steam pressure, catalyzing subsequent biochemical processes.
Zhang et al. [30] addressed the comprehensive issue of wastewater sludge disposal in China. Based on an analysis of current technologies, the authors concluded that treated sludge should be used in areas remote from human activities. Furthermore, it is noted that most studies on this topic are of a short-term nature. To draw more reliable conclusions, long-term observations of treated soils are necessary. A similar study was conducted by Zhou et al. [31], who analyzed the effects of using treated wastewater sludge and established that it poses no risk to human health. The application of these fertilizers significantly increased the fertility indices of arid soils and enriched the structural abundance and diversity of the soil microbial population, while also enhancing the diversity and abundance of bacteria involved in the carbon cycle.
As evidenced by various studies, different results emerged regarding the safety of using treated wastewater sludge as fertilizer for soil enrichment. This research examined an improved composting method for urban wastewater sludge by assessing the changes in sludge characteristics before and after the treatment. Composting dewatered sludge is a relatively simple technological process with low capital investment, and has been well-studied to date [32].
The composting of sewage sludge is a biological aerobic process that transforms organic waste into a stable, humus-like material suitable for use as a soil amendment. This transformation is facilitated by a diverse consortium of microorganisms, including bacteria, fungi, and actinomycetes, which decompose organic matter under controlled environmental conditions. The composting process not only stabilizes organic matter but also reduces pathogenic microorganisms, eliminates offensive odors, and decreases the moisture content of the sludge.
The primary mechanisms driving composting involve the metabolic activities of microorganisms that break down complex organic compounds into simpler molecules, such as carbon dioxide, water, and ammonia. This degradation process is exothermic, releasing heat that elevates the temperature of the composting mass. The composting process can be delineated into three distinct phases: the mesophilic phase (25–40 °C), where readily degradable substrates are consumed; the thermophilic phase (45–70 °C), characterized by the breakdown of more resistant compounds, like cellulose and lignin, and significant pathogen reduction; and the maturation phase, during which the compost stabilizes and humification processes predominate [32,33].
Key technical requirements for effective composting include the regulation of critical parameters, such as the temperature, moisture content, aeration, carbon-to-nitrogen (C/N) ratio, and pH. Optimal moisture levels, typically between 50% and 60%, are essential to facilitate microbial activity while preventing anaerobic conditions or desiccation of the composting material. Adequate aeration is crucial to supply oxygen for aerobic respiration and to dissipate excess heat and moisture; this can be achieved through passive air flow, mechanical turning, or forced aeration systems. The C/N ratio is a vital factor influencing microbial metabolism and should generally be maintained between 25:1 and 30:1 to optimize decomposition rates. pH levels are also important, with neutral to slightly alkaline conditions (pH 6.5–8.0) being favorable for most microbial activity [33].
The technical implementation of composting requires the careful consideration of system design and operational strategies. The selection of the composting method—such as windrow, aerated static pile, or in-vessel systems—depends on factors like the available space, desired processing time, and environmental controls. Monitoring equipment for temperature, oxygen levels, and moisture content is necessary to ensure that the conditions remain within optimal ranges throughout the process. Additionally, the use of bulking agents or amendments, such as wood chips or straw, can enhance the physical structure of the sludge, improving the porosity and facilitating air flow.
This study evaluated the characteristics of the product obtained through improved composting (AC). This method was previously proposed by Guerra [33]; however, in this research, it was modernized and based on dynamic composting with temperature regulation and enhanced raw material for product production. Furthermore, the scientific novelty of this study lay in examining the characteristics of fertilizers derived from low-organic-content wastewater sludge typical of small treatment facilities in the Arctic regions. These areas require accessible fertilizers to enhance the soil fertility, making this research particularly relevant for these regions. The composted sludge was compared with sludge subjected to accelerated laboratory treatment (freeze–thaw–drying cycles in a climatic chamber) and with sludge collected from a disposal site under real conditions after five years of storage.
In agriculture, the effectiveness of fertilizers is largely determined by their nitrogen and phosphorus contents. For substantial agronomic benefits, fertilizers should contain between 5% and 46% nitrogen and between 5% and 52% phosphorus (expressed as P2O5) by weight. In wastewater sludge after drying, the nitrogen content typically ranges around 2–5%, and phosphorus (as P2O5) is about 1–4% [18]. These values may slightly increase after composting due to the retention of nutrients.

2. Materials and Methods

Wastewater sludge from municipal treatment facilities located in various regions of the Russian Federation was used as the raw material for composting. This study focused on mixed sludge from both settlers. The sludge was not subjected to preliminary stabilization under anaerobic or aerobic conditions and was dewatered to 60 ± 5% moisture content using mechanical methods. A filter press with a capacity of 85 cubic meters of dewatered sludge per day was utilized for the dewatering of the wastewater sludge.
The sludge for composting was mixed with a filler to ensure proper air circulation within the sludge. Straw cuttings were used as the filler, as this material is readily available and provides a sufficiently low bulk density. Additionally, mineral zeolite was added to some of the sludge samples prior to composting to prevent nitrogen loss during the process. Zeolite effectively adsorbs ammonium ions, retaining a significant portion of nitrogen that would otherwise volatilize during the heating of the mixture [34]. In this study, calcined zeolite with an average particle diameter of 2 mm was used (as shown in Figure 1). Zeolite brand—SK002 (LLC “SKAT3”, Salavat, Russia). The mass fraction of the filler comprised 5% of the total mixture, while the mass fraction of the zeolite was 2%.
In parallel, the characteristics of the sludge collected from a disposal site (where the sludge had been deposited for approximately five years) were examined, as well as the characteristics of the sludge subjected to freeze–thaw–drying cycles (accelerated simulation of ten years of disposal under natural conditions).
Figure 2 presents the fresh dewatered sludge at the point of collection, the sludge at the natural disposal site, and the sludge that underwent freeze–thaw–drying cycles.
After collection and prior to composting, the sludge samples were stored at a temperature of 5 °C without access to oxygen. Before the analyses, the sludge was conditioned at room temperature under normal conditions.
The following parameters were determined in the sludge: mass fraction of ammonium nitrogen (N-NH4), mass fraction of nitrate nitrogen (N-NO3), anionic surfactants (A-S), pH of the aqueous extract, total iron (mobile form) (Fe), ash content (ASH), mass fraction of manganese (Mn), mass fraction of copper (Cu), mass fraction of petroleum products (P-P), mass fraction of nickel (Ni), exchangeable (mobile) aluminum (Al), mass fraction of mobile phosphorus compounds (calculated as P2O5) (P), mass fraction of chromium (Cr), and mass fraction of zinc (Zn).
For the analysis of the moisture content (W) and dry matter content (DM), the sludge samples were dried in a Binder FD023-230V drying oven (Binder GmbH, Tuttlingen, Germany) at a temperature of 105 °C for 20 h in ceramic crucibles, after which the weight difference between the raw and dried samples was measured. To determine the ash content, the dried samples were incinerated for 5 h at a temperature of 600 °C in a SNOL 8.2/1100 LSM01 muffle furnace (SNOL, Narkūnai, Lithuania). Subsequently, the parameters were determined according to standard Formulas (1)–(3):
W % = ( W f W d ) ( W f W c ) × 100
D M % = 100 W ( % )
A S H % = 1 ( W a s h W c ) ( W d W c ) × 100
where W (%) represents the moisture content in the organic sample, Wf is the weight of the fresh sample, Wd is the weight of the dried sample, Wc is the weight of the empty crucible, and DM (%) denotes the dry matter content in the sample. ASH (%) indicates the ash content, while Wash is the weight of the ash remaining after combustion.
The measurement of the petroleum product (PP) and anionic surfactant (AS) contents in the samples was conducted using the Fluorat-2M (LLC “Lumex”, Saint Petersburg, Russia). This device is based on the fluorimetry method, which enables the determination of petroleum hydrocarbon and AS concentrations in water and soil samples by measuring the fluorescence intensity of organic compounds.
The determination of petroleum products using a fluorimeter involved the preliminary extraction of petroleum products from the sample using an organic solvent, typically hexane or chloroform. The obtained extract was then subjected to fluorescence measurements at specific wavelengths characteristic of the aromatic hydrocarbons present in petroleum products. GOST R 52160-2003 “Water. Method for determining petroleum products by the fluorimetric method” [35] was used as the standard.
The measurement of anionic surfactants was carried out in accordance with the standard GOST 31861-2012 “Water. Method for determining anionic surfactants by the fluorimetric method” [36]. Anionic surfactants themselves do not exhibit fluorescence; however, they can form fluorescent complexes with certain reagents. One such method is based on the interaction of AS with fluorescent dyes, leading to changes in their fluorescence. Fluorescent dye sensitive to the presence of AS (Rhodamine B) was used.
All other analytical measurements were performed using standard methods, including the use of an ARL OPTIM’X 200W wavelength-dispersive X-ray fluorescence spectrometer (Thermo Fisher Scientific Inc., Waltham, MA, USA), a pH sensor (Hanna Instruments, Woonsocket, RI, USA), and a Hach Lange DR6000 spectrophotometer (Hach, Loveland, CO, USA). Wavelength-dispersive X-ray fluorescence (WDXRF) operates on the principle of X-ray fluorescence, where a primary X-ray beam excites the atoms in a sample, causing them to emit secondary (fluorescent) X-rays characteristic of the elements present. In WDXRF, the emitted X-rays are dispersed by wavelength using a crystal spectrometer, allowing for high-resolution separation of overlapping spectral lines. The analysis was carried out using the provisions of ISO 18227:2014—Soil quality—Determination of elemental composition by X-ray fluorescence [37]. The analysis procedure was as follows:
  • Drying: The sewage sludge samples were dried, typically at 105 °C, to remove moisture. Drying ensures consistent weight measurements and prevents interference from water content.
  • Grinding and pulverizing: the dried sludge was ground to a fine powder (particle size < 75 µm) using a mechanical grinder.
  • Fusion or pressed pellets: the powdered sample is mixed with a binder (boric acid) and pressed into a pellet under high pressure.
  • Calibration curves are established for each element of interest by plotting the intensity of characteristic X-rays against known concentrations.
  • The characteristics of the sludge are presented in Section 3.
Composting of the sludge was conducted in separate reaction vessels equipped with steam condensation devices. The reaction reactors were placed in water baths to facilitate initial heating of the sludge in the case of inadequate heating during the initial phase. Figure 3 illustrates a single reaction vessel containing the composting mixture, as well as the water baths in heating mode with the reaction vessels installed within them.
The cyclic freezing–thawing–drying process of the wastewater sludge was conducted in a Weiss WT 240/70 climate chamber (Weiss Technik GmbH, Reiskirchen, Germany). During each cycle, the temperature ranged from −30 °C (simulating winter conditions) to +35 °C (simulating summer conditions), with a complete cycle lasting 10 days.
To model seasonal variations, the chamber’s relative humidity was adjusted between 60% and 90%:
At low temperatures (−30 °C), the relative humidity was set to 60%, which corresponded to typical winter conditions in the mid-latitudes of Russia.
As the temperatures rose to +35 °C, the humidity was increased to 90%, which simulated the high humidity typical of summer.
Additionally, sludge samples were subjected to ultraviolet (UV) irradiation to replicate the seasonal solar radiation levels typical of this region. The UV intensity was varied from 0.5 mW/cm2 to 1.5 mW/cm2:
  • 0.5 mW/cm2 at lower temperatures, which reflected the reduced solar activity during winter.
  • 1.5 mW/cm2 at higher temperatures, which represented the peak summer solar radiation levels.
UV irradiation was applied for a simulated daylight period of 12 h to account for the daily fluctuations in solar exposure.
This comprehensive configuration of the climate chamber parameters enabled a realistic simulation of mid-latitude Russian seasonal conditions. Consequently, this study could closely examine the impact of temperature fluctuations, humidity changes, and UV irradiation on the drying processes, biochemical transformations, and microbial activity within the wastewater sludge.
Heating phase: Lasting several days, this phase involved rapid microbial population growth as the microorganisms decomposed the soluble and easily degradable substances, such as simple sugars and carbohydrates, followed by more complex compounds, like cellulose, hemicellulose, and proteins. The temperature rose to approximately 40 °C, and the pH became acidic due to the formation of organic acids.
Thermophilic phase: Characterized by temperatures exceeding 40 °C, this phase saw mesophilic microorganisms replaced by thermophiles. There was accelerated decomposition of proteins, fats, and complex carbohydrates, and the pH became alkaline due to ammonia release during protein degradation. Upon reaching around 55 °C, most pathogens were eliminated, and the substrate was sterilized. This phase typically lasted from several days to one or two weeks.
Cooling phase: As easily degradable substances diminished and metabolic activities decreased, the temperature began to drop. The pH remained alkaline. Thermophilic fungi and actinomycetes actively broke down polysaccharides, hemicellulose, and cellulose into monosaccharides, which were then utilized by a diverse range of microorganisms. This phase lasted up to one or two weeks, and the temperatures fell to 35–40 °C, which allowed mesophilic microorganisms to dominate. Organic matter was transformed into humus-like substances through complex reactions between lignin residues and decomposed proteins. The final pH was weakly alkaline, and invertebrates, such as earthworms and beetles emerged, where they actively processed the substrate.
Aeration of the sludge was carried out mechanically by mixing once a day. It is well known that the aeration mechanism significantly influences both the temperature profile and the duration of the process [38]. Since this study was conducted under laboratory conditions with small volumes of sludge, implementing a pneumatic aeration system proved challenging. Nevertheless, some studies were related to the regulation of aeration intensity based on biological oxygen consumption or oxygen concentration in the exhaust gases [39,40].
A total of eight samples were analyzed for each type of sludge. Each sample was measured in two parallel measurements, with the results averaged. The averaged results were subjected to statistical analysis to identify any outliers beyond the 1.5 interquartile range using boxplots.

3. Results and Discussion

During this study, the composting process was carried out satisfactorily. Continuous monitoring of the mixture temperature and the temperature of the heating devices was conducted. It should be noted that during the composting of the sludge with the addition of zeolite, the self-heating process (following initial forced heating) was more intensive. Furthermore, the thermophilic phase lasted longer. This may be attributed to zeolite enhancing the conditions for microbial growth and reproduction. Zeolite adsorbs ammonium nitrogen and other nutrients, making them more accessible to microorganisms. This accelerates the decomposition of organic matter, leading to increased temperatures within the composting mass. Additionally, the porous structure of zeolite enhances the overall porosity of the compost, improving aeration. This provides better access to the oxygen required by aerobic microorganisms. Moreover, zeolite’s ability to retain moisture helps maintain optimal moisture levels, which also promotes increased microbial activity and, consequently, higher temperatures. These temperatures were correlated within an error margin of ±2 °C and are reflected in the temperature profile of the composting process (Figure 4).
The incorporation of zeolite into the composting process modifies the temperature dynamics, leading to a more efficient and stable composting system. Future studies should further investigate the optimal zeolite dosages and assess the long-term impacts on the compost quality and soil health. The composting process commenced with a phase of forced heating (1) of the reactors in water baths, which increased the temperature from +20 °C to +40 °C over a period of 40 h. Once the target temperature was reached, the thermal regime of the process was maintained autonomously due to the decomposition of the sludge and the activity of the microorganisms. The thermophilic phase (2) lasted approximately 10 days, followed by a mesophilic phase (3) that continued for 18 days. After the active decomposition phase, the cooling and maturation phase of the compost (4) began. During this stage, the temperature of the mass was monitored daily. Ultimately, the entire composting process took 1240 h. The overall results of the analyses for all samples are summarized in Table 1.
Figure 5 shows that the accelerated freeze–thaw–drying cycles resulted in the least decomposition of organic matter in the sludge. The rapid temperature fluctuations inhibit the microbial growth and enzymatic activities necessary for degradation. The freezing temperatures cause cellular damage to microorganisms and slow down metabolic processes, while rapid drying reduces the moisture content below levels suitable for microbial activity. Biological degradation of the material did not commence within the short timeframe, particularly under freezing conditions, as microbes require stable conditions to adapt and proliferate.
The highest degradation of organic matter occurred under natural conditions after 5 years of sludge deposition, which was attributable to intensive and prolonged biological processes. Over extended periods, microorganisms adapt to the sludge environment, and successive microbial communities decompose complex organic molecules into simpler compounds. Aerobic degradation occurs at the sludge surface, while anaerobic processes dominate deeper layers, leading to methane and carbon dioxide production. This prolonged activity results in significant organic matter reduction and increased ash content due to the accumulation of inorganic residues from mineralization.
Composting resulted in a 15–17% increase in ash content while maintaining the potential for using the treated sludge as an organic fertilizer. The controlled aerobic conditions in composting accelerate the microbial breakdown of organic matter. The thermophilic temperatures reached during composting enhance the degradation of complex organic compounds, like lignin and cellulose. The mineralization process converts organic matter into inorganic substances, contributing to the ash content. Despite this increase, compost remains rich in nutrients essential for plant growth.
The presence of zeolite marginally increased the overall mineralization of the sludge by 1.5–2.0%, which is unlikely to affect its efficacy as a fertilizer. Zeolites are microporous aluminosilicate minerals with high cation exchange capacities. When added to compost, zeolites can adsorb ammonium and other cations, potentially enhancing the microbial activity by providing a reservoir of nutrients. This can lead to a slight increase in the degradation rate of organic matter. However, this effect is marginal because the primary limiting factors in composting are usually moisture content and aeration rather than nutrient availability. This effect has not been previously reported in studies on the composting of sludge in the presence of zeolite [34,41] and warrants further investigation.
The graph in Figure 6 illustrates that composting significantly reduced the pH value. During composting, the microbial decomposition of organic matter produces organic acids, such as acetic and butyric acids, which lower the pH. In the initial stages, the rapid degradation of easily degradable substrates leads to a surge in acid production. As composting progresses, these acids are further broken down, and the pH may gradually rise again.
In most cases, the compost decreases within a weakly alkaline range (pH = 8–9) [33], as seen with the sediment from natural deposition and the sediment subjected to freeze–thaw–drying cycles. In these treatments, the slower degradation rates result in less acid production, and the accumulation of ammonia from protein degradation can increase the pH. Ammonia acts as a buffering agent, maintaining a higher pH level.
This phenomenon can generally be attributed to the increased formation of volatile fatty acids during the incomplete acidification of the sludge in anaerobic zones, as previously described [25]. In anaerobic conditions, acidogenic bacteria produce volatile fatty acids as intermediates, but without sufficient methanogenic activity to consume these acids, they accumulate and lower the pH. However, in the presence of adequate aeration during composting, these acids are oxidized by aerobic microorganisms, reducing their impact on the pH.
To enhance the applicability of the compost, it is recommended to maintain a pH close to neutral, which necessitates monitoring the adequate intensity of aeration in the mixture. Proper aeration ensures that oxygen penetrates the compost pile, promoting aerobic microbial activity and preventing anaerobic pockets where acid accumulation can occur. Maintaining optimal moisture levels also facilitates microbial metabolism and pH stability. By controlling these parameters, the composting process can produce a final product with a neutral pH that is suitable for a wider range of agricultural applications.
Figure 7 presents the concentrations of ammonium nitrogen in the analyzed samples. As observed, composting effectively preserved the high nitrogen concentrations (this also applied to nitrate nitrogen). Under aerobic composting conditions, microorganisms decompose organic matter, releasing organic nitrogen, which is then converted into its ammonium form. The controlled composting environment minimizes nitrogen losses through ammonia volatilization or nitrate leaching, thus retaining nitrogen within the compost and enhancing its value as a fertilizer.
Additionally, zeolite demonstrated its expected effectiveness (+10–20% compared with composting without zeolite), as noted in previous studies [41,42]. Zeolites are natural aluminosilicates with high ion exchange and adsorption capacities. When added to the compost mixture, zeolite adsorbs ammonium ions, retaining them within the compost structure and preventing their loss through leaching or volatilization as ammonia. This creates a reservoir of available nitrogen for plants and improves the overall efficiency of the fertilizer.
It can be concluded that zeolite enhanced the quality of the composted product and may be considered a desirable additive in the composting process. Its inclusion not only increased the nitrogen content but also contributed to compost stabilization by improving its physical properties, such as porosity and water retention capacity. This, in turn, could positively impact the soil structure when the compost was applied, which enhanced the soil fertility and its capacity to support plant growth.
Figure 8 illustrates the distribution of phosphorus values expressed as P2O5. As is evident, during the natural deposition of the sludge, a significant portion of phosphorus was lost due to biochemical processes occurring, including under anaerobic conditions. Under these conditions, certain microorganisms facilitate the release of phosphorus from organic compounds through enzymatic hydrolysis. The released phosphorus can then bind with iron, aluminum, or calcium to form insoluble compounds that settle out of the sludge, effectively reducing the bioavailable phosphorus content. This is corroborated by studies related to the drying of sludge in natural environments [43], where prolonged exposure to variable conditions enhanced such losses.
Composting sludge under aerobic conditions allows for the retention of a sufficient amount of phosphorus, which is one of the key elements in fertilizers. The aerobic environment promotes the activity of microorganisms that stabilize organic matter without significantly mobilizing phosphorus. These microbes decompose organic compounds while assimilating phosphorus into their biomass, thus retaining it within the compost matrix. Additionally, the formation of humic substances during composting can chelate phosphorus, making it less prone to leaching. In evaluating the viability of this technology in each specific case, it is essential to assess the phosphorus content in the initial feedstock, as previously mentioned. It is recommended to implement wastewater treatment technologies that maximize the recovery of valuable elements for reuse. Currently, integrated technological solutions of this nature are being developed [33].
Figure 9 presents boxplots of petroleum product concentrations in the sludge. Overall, the collected samples exhibited a relatively high degree of contamination with petroleum products, which was related to the characteristics of the treated wastewater, with a significant fraction of these products being heavy. However, during composting, a substantial degradation of these substances was observed (part of which was adsorbed by the zeolite and remained in the compost). During the composting of wastewater sludge, the reduction in petroleum product concentration is driven by several interrelated processes. The primary mechanism is biodegradation of organic pollutants by the microbial community within the compost mass. Composting creates favorable conditions for the growth of various microorganisms, including bacteria and fungi, capable of utilizing hydrocarbons from petroleum products as carbon and energy sources. Aerobic conditions, maintained through regular mixing and aeration, stimulate microbial metabolic processes, accelerating the breakdown of complex organic compounds. The increase in temperature within the compost (thermophilic phase of composting) further accelerates biochemical reactions. At temperatures ranging from 45 °C to 65 °C, thermophilic microorganisms become active and are particularly effective in degrading the heavy fractions of petroleum hydrocarbons. In addition to biological degradation, the sorption and immobilization of petroleum products on solid particles of organic material occur. The addition of amendments, such as zeolite, enhances the sorption capacity of the compost, aiding in binding and retaining hydrocarbons, thereby reducing their mobility and bioavailability. This observation aligns with findings reported in recent studies [44]. Thus, composting may be applicable, even in cases of sludge contamination with petroleum products within known limits.
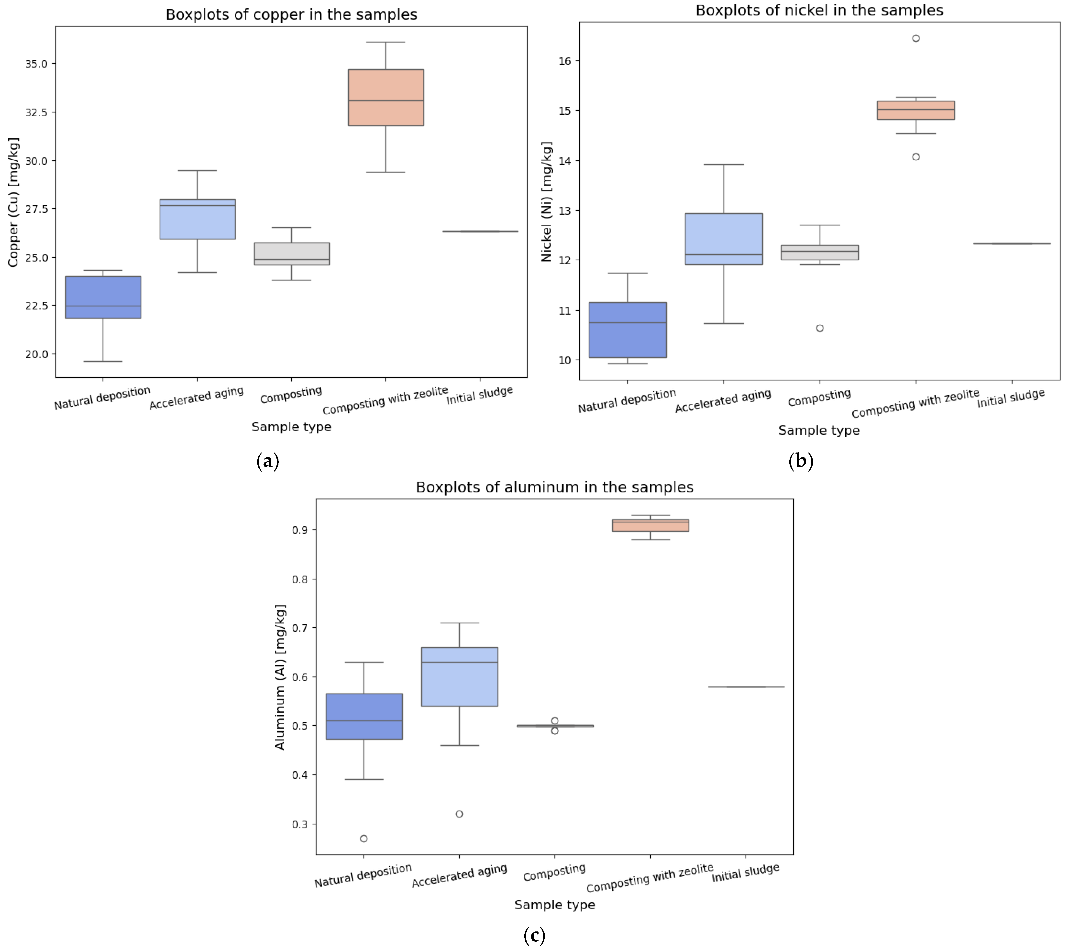
Figure 10 illustrates the overall trend in the distribution of metal concentrations in the samples. In the sludge after natural deposition, the quantity of metals was reduced; however, this may have reflected the characteristics of the wastewater at the time the sludge was generated (five years ago). During the composting of the sewage sludge, leachate was produced, which can carry away soluble substances, including metals. The addition of zeolite to the sewage sludge prior to composting may have adsorbed heavy metals, which caused them to remain in the sludge and subsequently be detected during the analysis.
Notably, artificial accelerated freezing and composting did not significantly affect the concentrations of metals, which corroborates numerous findings from previous studies indicating that the use of wastewater sludge as fertilizers (even post-composting) carries risks of heavy metal contamination in the soil [29,33].
The results suggest that the primary influence on the characteristics of the sludge stemmed from biochemical and microbiological processes inherent to both composting and natural drying of the sludge under real conditions. The accelerated freeze–thaw–drying cycles impacted the physical properties of the sludge (moisture content) and the concentration of volatile substances. However, this study did not address the issue of microbiological contamination in the sludge, which could potentially be mitigated through physical methods.
According to Russian regulatory standards, the use of treated sewage sludge as fertilizer is strictly controlled to prevent soil and crop contamination, ensuring environmental and public health safety. Standards such as GOST R 17.4.3.07-2001 [45] and SanPiN 2.1.7.573-96 [46] set maximum allowable concentrations (MACs) for heavy metals, organic pollutants, microbial contaminants, and radioactive substances in sludge. These requirements specify, for instance, that copper should not exceed 750 mg/kg, nickel 200 mg/kg, and zinc 1750 mg/kg. In this study, the treated sludge contained 32.97 mg/kg of copper, 15.06 mg/kg of nickel, and 34.77 mg/kg of zinc, all well below the regulatory limits, confirming the suitability of this treated sludge for use as fertilizer in the Russian Federation. However, practical application depends significantly on the properties of the initial sludge, which may require further treatment, such as metal recovery for reuse as secondary resources in industry, to meet safety and sustainability standards.

4. Conclusions

This study examined the characteristics of urban wastewater sludge after natural drying for five years, following accelerated laboratory freeze–thaw–drying cycles and after composting (with and without the addition of zeolite). The findings of this research led to the following conclusions:
  • The composting of sludge facilitated the stabilization of wastewater sludge while retaining essential nutrients for the agricultural sector, namely, nitrogen and phosphorus. This effect was particularly pronounced when zeolite was added to the mixture (specifically, at a volume of 2% of the total mass). In this experiment, approximately 40% of the total nitrogen was preserved, which elevated its concentration in the final product to levels comparable with low-concentration organic fertilizers. However, despite the increased nutrient concentrations, the nitrogen and phosphorus contents in the treated sludge remained lower than those in traditional mineral fertilizers used in agriculture. This indicates the need for additional processing or combined use with other nutrient sources to achieve optimal efficiency in the agricultural sector. To maintain phosphorus compounds within acceptable levels, effective aeration of the mixture was essential.
  • Both the composting and thermal treatments did not significantly affect the concentration of heavy metals in the processed sludge. In cases where heavy metals are present in the initial feedstock, additional treatment methods must be considered to enable the safe use of the final product as a fertilizer.
  • The composting of sludge can significantly reduce the concentration of petroleum products in the sludge (from 30 to 3 mg/kg), making this method viable for processing contaminated sludges. Further research is needed to establish the upper limits of permissible contamination levels.

Author Contributions

Conceptualization, E.G. and N.M.; methodology, E.G.; software, I.G.; validation, I.G. and N.M.; formal analysis, I.G.; investigation, E.G.; resources, N.M.; data curation, N.M.; writing—original draft preparation, I.G.; writing—review and editing, N.M.; visualization, I.G.; supervision, E.G.; project administration, N.M.; funding acquisition, E.G. All authors have read and agreed to the published version of the manuscript.

Funding

This research was funded by the National Research Moscow State University of Civil Engineering (grant for fundamental and applied scientific research, project no. 17-392/130).

Institutional Review Board Statement

Not applicable.

Informed Consent Statement

Not applicable.

Data Availability Statement

Data are contained within the article.

Conflicts of Interest

The author declares no conflicts of interest.

References

  1. Chojnacka, K.; Mikula, K.; Skrzypczak, D.; Izydorczyk, G.; Gorazda, K.; Kulczycka, J.; Kominko, H.; Moustakas, K.; Witek-Krowiak, A. Practical aspects of biowastes conversion to fertilizers. Biomass Convers. Biorefinery 2024, 14, 1515–1533. [Google Scholar] [CrossRef]
  2. Hidalgo, D.; Corona, F.; Martín-Marroquín, J.M. Nutrient recycling: From waste to crop. Biomass Convers. Biorefinery 2021, 11, 207–217. [Google Scholar] [CrossRef]
  3. Gao, S.; Lu, D.; Qian, T.; Zhou, Y. Thermal hydrolyzed food waste liquor as liquid organic fertilizer. Sci. Total Environ. 2021, 775, 145786. [Google Scholar] [CrossRef] [PubMed]
  4. Sharma, B.; Sarkar, A.; Singh, P.; Singh, R.P. Agricultural utilization of biosolids: A review on potential effects on soil and plant grown. Waste Manag. 2017, 64, 117–132. [Google Scholar] [CrossRef]
  5. Mateo-Sagasta, J.; Raschid-Sally, L.; Thebo, A. Global wastewater and sludge production, treatment and use. In Wastewater; Springer: Dordrecht, The Netherlands, 2015; pp. 15–38. [Google Scholar] [CrossRef]
  6. Mohapatra, D.P.; Cledón, M.; Brar, S.K.; Surampalli, R.Y. Application of wastewater and biosolids in soil: Occurrence and fate of emerging contaminants. Water Air Soil Pollut. 2016, 227, 77. [Google Scholar] [CrossRef]
  7. Yuan, Z.; Pratt, S.; Batstone, D.J. Phosphorus recovery from wastewater through microbial processes. Curr. Opin. Biotechnol. 2012, 23, 878–883. [Google Scholar] [CrossRef]
  8. Tyagi, V.K.; Lo, S.L. Sludge: A waste or renewable source for energy and resources recovery? Renew. Sust. Energ. Rev. 2013, 25, 708–728. [Google Scholar] [CrossRef]
  9. Tarayre, C.; De Clercq, L.; Charlier, R.; Michels, E.; Meers, E.; Camargo-Valero, M.; Delvigne, F. New perspectives for the design of sustainable bioprocesses for phosphorus recovery from waste. Bioresour. Technol. 2016, 206, 264–274. [Google Scholar] [CrossRef]
  10. Kumar, M.; Ghosh, P.; Khosla, K.; Thakur, I.S. Recovery of polyhydroxyalkanoates from municipal secondary wastewater sludge. Bioresour. Technol. 2018, 255, 111–115. [Google Scholar] [CrossRef]
  11. Ahuja, V.; Singh, P.K.; Mahata, C.; Jeon, J.M.; Kumar, G.; Yang, Y.H.; Bhatia, S.K. A review on microbes mediated resource recovery and bioplastic (polyhydroxyalkanoates) production from wastewater. Microb. Cell Factories 2024, 23, 187. [Google Scholar] [CrossRef]
  12. Tejada, M.; Macias-Benitez, S.; Caballero, P.; Gomez, I.; Paneque, P.; Parrado, J. Bioremediation of an oxyfluorfen-polluted soil using biostimulants obtained by fermentation processes: Effect on biological properties. Appl. Soil Ecol. 2022, 170, 104270. [Google Scholar] [CrossRef]
  13. Oladejo, J.; Shi, K.; Luo, X.; Yang, G.; Wu, T. A review of sludge-to-energy recovery methods. Energies 2018, 12, 60. [Google Scholar] [CrossRef]
  14. Kominko, H.; Gorazda, K.; Wzorek, Z. Formulation and evaluation of organo-mineral fertilizers based on sewage sludge optimized for maize and sunflower crops. Waste Manag. 2021, 136, 57–66. [Google Scholar] [CrossRef] [PubMed]
  15. Nunes, N.; Ragonezi, C.; Gouveia, C.S.S.; Pinheiro de Carvalho, M.Â.A. Review of Sewage Sludge as a Soil Amendment in Relation to Current International Guidelines: A Heavy Metal Perspective. Sustainability 2021, 13, 2317. [Google Scholar] [CrossRef]
  16. Drangert, J.O. Phosphorus–a limited resource that could be made limitless. Procedia Eng. 2012, 46, 228–233. [Google Scholar] [CrossRef][Green Version]
  17. Chrispim, M.C.; Scholz, M.; Nolasco, M.A. Phosphorus recovery from municipal wastewater treatment: Critical review of challenges and opportunities for developing countries. J. Environ. Manag. 2019, 248, 109268. [Google Scholar] [CrossRef]
  18. Engida, T.; Mekonnen, A.; Wu, J.M.; Xu, D.; Wu, Z.B. Review paper on beverage agro-industrial wastewater treatment plant bio-sludge for fertilizer potential in Ethiopia. Appl. Ecol. Env. Res. 2020, 18, 33–57. [Google Scholar] [CrossRef]
  19. Pahalvi, H.N.; Rafiya, L.; Rashid, S.; Nisar, B.; Kamili, A.N. Chemical fertilizers and their impact on soil health. Microbiota Biofertil. 2021, 2, 1–20. [Google Scholar] [CrossRef]
  20. Kominko, H.; Gorazda, K.; Wzorek, Z. Potentiality of sewage sludge-based organo-mineral fertilizer production in Poland considering nutrient value, heavy metal content and phytotoxicity for rapeseed crops. J. Environ. Manag. 2019, 248, 109283. [Google Scholar] [CrossRef]
  21. Santos, A.F.; Almeida, P.V.; Alvarenga, P.; Gando-Ferreira, L.M.; Quina, M.J. From wastewater to fertilizer products: Alternative paths to mitigate phosphorus demand in European countries. Chemosphere 2021, 284, 131258. [Google Scholar] [CrossRef]
  22. Macura, B.; Johannesdottir, S.L.; Piniewski, M.; Haddaway, N.R.; Kvarnstrom, E. Effectiveness of ecotechnologies for recovery of nitrogen and phosphorus from anaerobic digestate and effectiveness of the recovery products as fertilisers: Systematic review protocol. Environ. Evid. 2019, 8, 29. [Google Scholar] [CrossRef]
  23. Sugurbekova, G.; Nagyzbekkyzy, E.; Sarsenova, A.; Danlybayeva, G.; Anuarbekova, S.; Kudaibergenova, R.; Frochot, C.; Acherar, A.; Zhatkanbayev, Y.; Moldagulova, N. Sewage sludge management and application in the form of sustainable fertilizer. Sustainability 2023, 15, 6112. [Google Scholar] [CrossRef]
  24. de Corato, U. Agricultural Waste Recycling in Horticultural Intensive Farming Systems by On-Farm Composting and Compost-Based Tea Application Improves Soil Quality and Plant Health: A Review under the Perspective of a Circular Economy. Sci. Total. Environ. 2020, 738, 139840. [Google Scholar] [CrossRef] [PubMed]
  25. Wijesekara, H.; Colyvas, K.; Rippon, P.; Hoang, S.A.; Bolan, N.S.; Manna, M.C.; Thangavel, R.; Seshadri, B.; Vithanage, M.; Awad, Y.M.; et al. Carbon Sequestration Value of Biosolids Applied to Soil: A Global Meta-Analysis. J. Environ. Manag. 2021, 284, 112008. [Google Scholar] [CrossRef]
  26. Umlauf, G.; Christoph, E.H.; Lanzini, L.; Savolainen, R.; Skejo, H.; Bidoglio, G.; Clemens, J.; Goldbach, H.; Scherer, H. PCDD/F and Dioxin-like PCB Profiles in Soils Amended with Sewage Sludge, Compost, Farmyard Manure, and Mineral Fertilizer since 1962. Environ. Sci. Pollut. Res. 2011, 18, 461–470. [Google Scholar] [CrossRef]
  27. Bolan, N.S.; Kunhikrishnan, A.; Naidu, R. Carbon Storage in a Heavy Clay Soil Landfill Site after Biosolid Application. Sci. Total. Environ. 2013, 465, 216–225. [Google Scholar] [CrossRef]
  28. Iticescu, C.; Georgescu, P.L.; Arseni, M.; Rosu, A.; Timofti, M.; Carp, G.; Cioca, L.I. Optimal Solutions for the Use of Sewage Sludge on Agricultural Lands. Water 2021, 13, 585. [Google Scholar] [CrossRef]
  29. Chojnacka, K.; Skrzypczak, D.; Szopa, D.; Izydorczyk, G.; Moustakas, K.; Witek-Krowiak, A. Management of biological sewage sludge: Fertilizer nitrogen recovery as the solution to fertilizer crisis. J. Environ. Manag. 2023, 326, 116602. [Google Scholar] [CrossRef]
  30. Zhang, B.; Zhou, X.; Ren, X.; Hu, X.; Ji, B. Recent research on municipal sludge as soil fertilizer in China: A review. Water Air Soil Pollut. 2023, 234, 119. [Google Scholar] [CrossRef]
  31. Zhou, X.; Zhang, B.; Li, L. From waste to resource: Assessing the feasibility of municipal sludge as a fertilizer from a soil and microbial perspective. Chem. Eng. J. Adv. 2024, 19, 100630. [Google Scholar] [CrossRef]
  32. Zhang, D.; Xu, Z.; Wang, G.; Huda, N.; Li, G.; Luo, W. Insights into characteristics of organic matter during co-biodrying of sewage sludge and kitchen waste under different aeration intensities. Environ. Technol. Innov. 2020, 20, 101117. [Google Scholar] [CrossRef]
  33. Guerra Gorostegui, N. Obtaining New-Generation Biomass Fuels and Bio-Based Fertilisers from Sludges Through Biodrying and Advanced Composting Technologies to Enhance the Overall Resource Recovery of the Water Sector. Ph.D. Thesis, University of Vic—Central University of Catalonia (UVic-UCC), Vic, Catalonia, Spain, 4 February 2022. [Google Scholar]
  34. Wang, Q.; Awasthi, M.K.; Ren, X.; Zhao, J.; Li, R.; Wang, Z.; Wang, M.; Chen, H.; Zhang, Z. Combining biochar, zeolite and wood vinegar for composting of pig manure: The effect on greenhouse gas emission and nitrogen conservation. Waste Manag. 2018, 74, 221–230. [Google Scholar] [CrossRef] [PubMed]
  35. GOST R 52160-2003; Water. Method for determining petroleum products by the fluorimetric method. Rosstandart: Moscow, Russia, 2003.
  36. GOST 31861-2012; Water. Method for determining anionic surfactants by the fluorimetric method. Rosstandart: Moscow, Russia, 2012.
  37. ISO 18227:2014; Soil quality—Determination of elemental composition by X-ray fluorescence. ISO: Genève, Switzerland, 2014.
  38. Kulikowska, D.; Gusiatin, Z.M. Sewage sludge composting in a two-stage system: Carbon and nitrogen transformations and potential ecological risk assessment. Waste Manag. 2015, 38, 312–320. [Google Scholar] [CrossRef] [PubMed]
  39. Puyuelo, B.; Gea, T.; Sánchez, A. GHG emissions during the high-rate production of compost using standard and advanced aeration strategies. Chemosphere 2014, 109, 64–70. [Google Scholar] [CrossRef]
  40. Qian, L.; Wang, S.; Wang, S.; Zhao, S.; Zhang, B. Supercritical water gasification and partial oxidation of municipal sewage sludge: An experimental and thermodynamic study. Int. J. Hydrog. Energy 2021, 46, 89–99. [Google Scholar] [CrossRef]
  41. Idim, K.S.; Marzi, M.; Oyeyiola, A.; Kazemian, H. Enhancing Composting Efficiency and Nutrient Retention through Zeolite Amendment: Implications for Sustainable Soil Management and Plant Growth. ACS Sustain. Resour. Manag. 2024, 1, 1340–1349. [Google Scholar] [CrossRef]
  42. Geng, X.; Yang, H.; Gao, W.; Yue, J.; Mu, D.; Wei, Z. Greenhouse gas emission characteristics during kitchen waste composting with biochar and zeolite addition. Bioresour. Technol. 2024, 399, 130575. [Google Scholar] [CrossRef]
  43. Wang, L.K.; Wang, M.H.S. Sludge drying lagoon design and its comparison with sludge drying bed and evaporation lagoon. In Evolutionary Progress in Science, Technology, Engineering, Arts and Mathematics; Lenox Institute Press: Williamstown MA, USA, 2024; pp. 1–45. [Google Scholar] [CrossRef]
  44. Alinouri, M.; Saeedi, R.; Coulon, F.; Villaseñor, J.; Godini, K.; Ghamari, F.; Hesampoor, F.; Asghari, F.; Sartaj, M.; Koolivand, A. Biodegradation of oily waste sludge using vermiremediation and composting process bioaugmentated with isolated hydrocarbon-degrading bacteria: Performance and ecotoxicity assessment. Environ. Nanotechnol. Monit. Manag. 2024, 22, 100992. [Google Scholar] [CrossRef]
  45. GOST R 17.4.3.07-2001; Nature Protection. Soils. Requirements for Sewage Sludge Use for Fertilization. Rosstandart: Moscow, Russia, 2003.
  46. SanPiN 2.1.7.573-96; Hygienic Requirements for the Use of Wastewater and Its Sludge for Irrigation and Fertilization. Rospotrebnadzor: Moscow, Russia, 1996.
Figure 1. Zeolite used for sludge mixture before composting.
Figure 1. Zeolite used for sludge mixture before composting.
Applsci 14 10446 g001
Figure 2. The examined sludge: (a) collection after dewatering; (b) collection from the disposal site; (c) sludge that underwent freeze–thaw–drying cycles.
Figure 2. The examined sludge: (a) collection after dewatering; (b) collection from the disposal site; (c) sludge that underwent freeze–thaw–drying cycles.
Applsci 14 10446 g002
Figure 3. Laboratory reactor used in the wastewater treatment efficiency evaluation phase: (a) reaction vessel containing the composting mixture; (b) water baths in heating mode with the reaction vessels.
Figure 3. Laboratory reactor used in the wastewater treatment efficiency evaluation phase: (a) reaction vessel containing the composting mixture; (b) water baths in heating mode with the reaction vessels.
Applsci 14 10446 g003
Figure 4. Temperature profile of composting: (1) heating phase; (2) thermophilic stage; (3) mesophilic stage; (4) cooling of the compost.
Figure 4. Temperature profile of composting: (1) heating phase; (2) thermophilic stage; (3) mesophilic stage; (4) cooling of the compost.
Applsci 14 10446 g004
Figure 5. Boxplots for ash content in the samples.
Figure 5. Boxplots for ash content in the samples.
Applsci 14 10446 g005
Figure 6. Boxplots for pH in the samples.
Figure 6. Boxplots for pH in the samples.
Applsci 14 10446 g006
Figure 7. Boxplots for ammonium in the samples.
Figure 7. Boxplots for ammonium in the samples.
Applsci 14 10446 g007
Figure 8. Boxplots for phosphates in the samples.
Figure 8. Boxplots for phosphates in the samples.
Applsci 14 10446 g008
Figure 9. Boxplots of petroleum products values in the samples.
Figure 9. Boxplots of petroleum products values in the samples.
Applsci 14 10446 g009
Figure 10. Boxplots of metal concentrations in the analyzed sludge: (a) copper concentration range; (b) nickel concentration range; (c) aluminum concentration range.
Figure 10. Boxplots of metal concentrations in the analyzed sludge: (a) copper concentration range; (b) nickel concentration range; (c) aluminum concentration range.
Applsci 14 10446 g010
Table 1. Average characteristics of the samples.
Table 1. Average characteristics of the samples.
ParameterInitial SludgeNatural DepositonAccelerated AgingCompostingComposting with Zeolite
Humidity (W) [%]65.2168.12 ± 2.2949.85 ± 2.3763.74 ± 3.0468.84 ± 4.09
Ash content (ASH) [%]31.5950.2 ± 2.938.19 ± 1.3445.11 ± 2.5646.58 ± 1.24
Ammonium [mg/kg]5.212.2 ± 0.12.56 ± 0.153.81 ± 3.184.55 ± 0.09
Nitrate [mg/kg]4.842.87 ± 0.143.19 ± 0.263.18 ± 0.083.19 ± 0.09
Anionic surfactants [mg/kg]0.990.51 ± 0.010.60 ± 0.080.09 ± 0.020.10 ± 0.01
Total iron [mg/kg]119.0199.39 ± 4.2118.69 ± 4.35113.97 ± 8.38117.39 ± 4.9
pH8.99.1 ± 0.28.7 ± 0.35.9 ± 0.26.5 ± 0.2
Manganese [mg/kg]200.21181.0 ± 9.1204.71 ± 15.88171.87 ± 3.9194.9 ± 3.7
Copper [mg/kg]26.3222.55 ± 1.626.86 ± 1.7925.12 ± 0.9832.97 ± 2.36
Petroleum products [mg/kg]35.5120.17 ± 0.722.78 ± 1.83.18 ± 0.157.98 ± 0.11
Nickel [mg/kg]12.3310.73 ± 0.712.30 ± 0.9412.03 ± 0.6115.06 ± 0.68
Aluminum [mg/kg]0.580.49 ± 0.110.58 ± 0.130.49 ± 0.010.91 ± 0.02
Phosphorus (P2O5) [mg/kg]326.34250.64 ± 8.8286.31 ± 15.67293.47 ± 4.8296.44 ± 3.59
Chromium [mg/kg]3.823.15 ± 0.233.67 ± 0.252.79 ± 0.063.47 ± 0.1
Zinc [mg/kg]34.1825.53 ± 1.1529.54 ± 1.3432.0 ± 0.4534.77 ± 0.59
Disclaimer/Publisher’s Note: The statements, opinions and data contained in all publications are solely those of the individual author(s) and contributor(s) and not of MDPI and/or the editor(s). MDPI and/or the editor(s) disclaim responsibility for any injury to people or property resulting from any ideas, methods, instructions or products referred to in the content.

Share and Cite

MDPI and ACS Style

Gogina, E.; Makisha, N.; Gulshin, I. Comparative Analysis of Sewage Sludge Characteristics After Natural Deposition, Accelerated Aging, and Composting. Appl. Sci. 2024, 14, 10446. https://doi.org/10.3390/app142210446

AMA Style

Gogina E, Makisha N, Gulshin I. Comparative Analysis of Sewage Sludge Characteristics After Natural Deposition, Accelerated Aging, and Composting. Applied Sciences. 2024; 14(22):10446. https://doi.org/10.3390/app142210446

Chicago/Turabian Style

Gogina, Elena, Nikolay Makisha, and Igor Gulshin. 2024. "Comparative Analysis of Sewage Sludge Characteristics After Natural Deposition, Accelerated Aging, and Composting" Applied Sciences 14, no. 22: 10446. https://doi.org/10.3390/app142210446

APA Style

Gogina, E., Makisha, N., & Gulshin, I. (2024). Comparative Analysis of Sewage Sludge Characteristics After Natural Deposition, Accelerated Aging, and Composting. Applied Sciences, 14(22), 10446. https://doi.org/10.3390/app142210446

Note that from the first issue of 2016, this journal uses article numbers instead of page numbers. See further details here.

Article Metrics

Back to TopTop