The Relationship Between Training Load and Injury in Competitive Swimming: A Two-Year Longitudinal Study
Abstract
1. Introduction
2. Materials and Methods
2.1. Participants
2.2. Data Collection
2.3. Statistical Analysis
- 1.
- Likelihood of Observations:
- 2.
- Prior Distributions:
- 3.
- Random Intercept Model:
- 1.
- Random Intercept and Slope Model:
3. Results
3.1. Training Load
3.2. Injuries
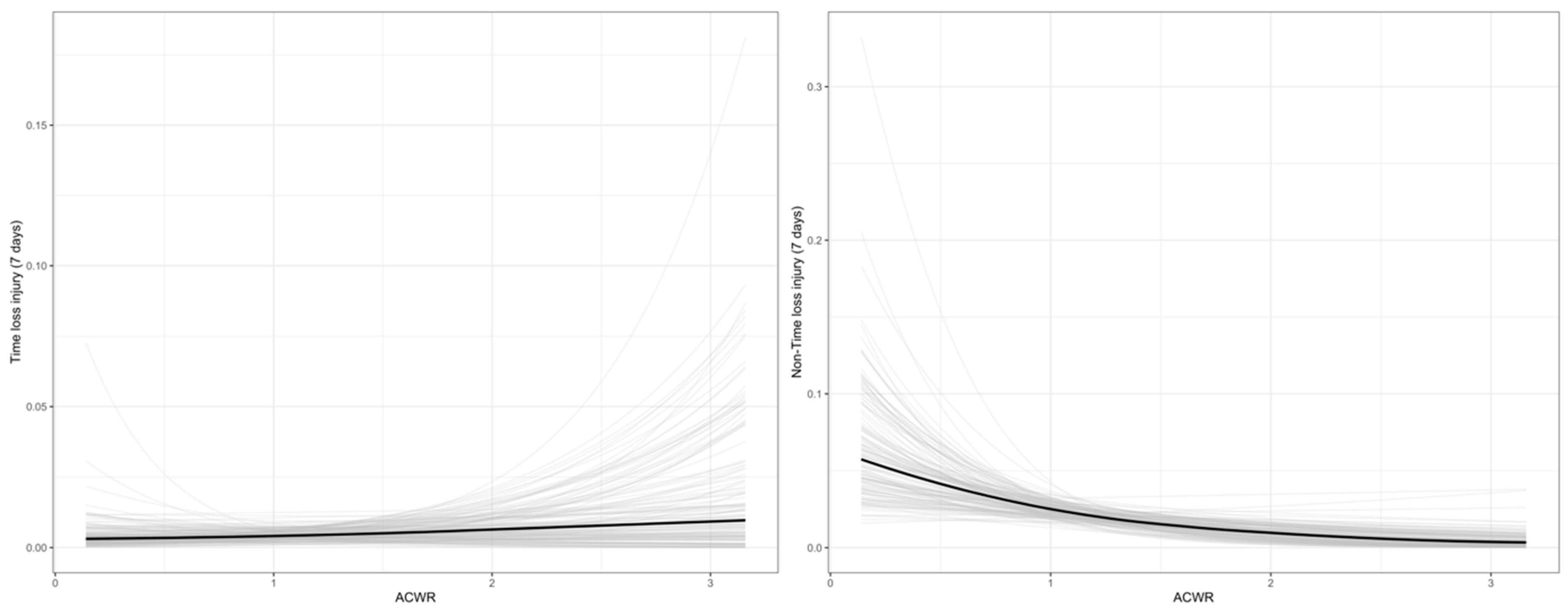
3.3. Seven-Day Time Lag
4. Discussion
4.1. Limitations
4.2. Practical Application
5. Conclusions
Author Contributions
Funding
Institutional Review Board Statement
Informed Consent Statement
Data Availability Statement
Conflicts of Interest
References
- Drew, M.K.; Raysmith, B.P.; Charlton, P.C. Injuries impair the chance of successful performance by sportspeople: A systematic review. Br. J. Sports Med. 2017, 51, 1209–1214. [Google Scholar] [CrossRef] [PubMed]
- Raysmith, B.P.; Drew, M.K. Performance success or failure is influenced by weeks lost to injury and illness in elite Australian track and field athletes: A 5-year prospective study. J. Sci. Med. Sport 2016, 19, 778–783. [Google Scholar] [CrossRef] [PubMed]
- Feijen, S.; Struyf, T.; Kuppens, K.; Tate, A.; Struyf, F. Prediction of Shoulder Pain in Youth Competitive Swimmers: The Development and Internal Validation of a Prognostic Prediction Model. Am. J. Sports Med. 2021, 49, 154–161. [Google Scholar] [CrossRef] [PubMed]
- Pollock, S.; Gaoua, N.; Johnston, M.J.; Cooke, K.; Girard, O.; Mileva, K.N. Training Regimes and Recovery Monitoring Practices of Elite British Swimmers. J. Sports Sci. Med. 2019, 18, 577–585. [Google Scholar]
- Kellmann, M.; Bertollo, M.; Bosquet, L.; Brink, M.; Coutts, A.J.; Duffield, R.; Erlacher, D.; Halson, S.L.; Hecksteden, A.; Heidari, J.; et al. Recovery and Performance in Sport: Consensus Statement. Int. J. Sports Physiol. Perform. 2018, 13, 240–245. [Google Scholar] [CrossRef]
- Meeusen, R.; Duclos, M.; Gleeson, M.; Rietjens, G.; Steinacker, J.; Urhausen, A. Prevention, diagnosis and treatment of the Overtraining Syndrome: ECSS Position Statement ‘Task Force’. Eur. J. Sport Sci. 2006, 6, 1–14. [Google Scholar] [CrossRef]
- Mujika, I. Quantification of Training and Competition Loads in Endurance Sports: Methods and Applications. Int. J. Sports Physiol. Perform. 2017, 12 (Suppl. S2), S2–S9. [Google Scholar] [CrossRef]
- Impellizzeri, F.M.; Menaspà, P.; Coutts, A.J.; Kalkhoven, J.; Menaspà, M.J. Training Load and Its Role in Injury Prevention, Part I: Back to the Future. J. Athl. Train. 2020, 55, 885–892. [Google Scholar] [CrossRef]
- Gabbett, T.J. The training—injury prevention paradox: Should athletes be training smarter and harder? Br. J. Sports Med. 2016, 50, 273–280. [Google Scholar] [CrossRef]
- Feijen, S.; Tate, A.; Kuppens, K.; Barry, L.A.; Struyf, F. Monitoring the swimmer’s training load: A narrative review of monitoring strategies applied in research. Scand. J. Med. Sci. Sports 2020, 30, 2037–2043. [Google Scholar] [CrossRef]
- Barry, L.; Lyons, M.; McCreesh, K.; Powell, C.; Comyns, T. International survey of training load monitoring practices in competitive swimming: How, what and why not? Phys. Ther. Sport 2022, 53, 51–59. [Google Scholar] [CrossRef] [PubMed]
- Soligard, T.; Schwellnus, M.; Alonso, J.-M.; Bahr, R.; Clarsen, B.; Dijkstra, H.P.; Gabbett, T.; Gleeson, M.; Hägglund, M.; Hutchinson, M.R.; et al. How much is too much? (Part 1) International Olympic Committee consensus statement on load in sport and risk of injury. Br. J. Sports Med. 2016, 50, 1030–1041. [Google Scholar] [CrossRef] [PubMed]
- Drew, M.K.; Finch, C.F. The relationship between training load and injury, illness and soreness: A systematic and literature review. Sports Med. Sports Med. 2016, 46, 861–883. [Google Scholar] [CrossRef]
- Barry, L.; Lyons, M.; McCreesh, K.; Powell, C.; Comyns, T. The relationship between training load and pain, injury and illness in competitive swimming: A systematic review. Phys. Ther. Sport 2021, 48, 154–168. [Google Scholar] [CrossRef] [PubMed]
- Mountjoy, M.; Junge, A.; Alonso, J.M.; Clarsen, B.; Pluim, B.M.; Shrier, I.; Hoogenband, C.v.D.; Marks, S.; Gerrard, D.; Heyns, P.; et al. Consensus statement on the methodology of injury and illness surveillance in FINA (aquatic sports). Br. J. Sports Med. 2016, 50, 590–596. [Google Scholar] [CrossRef]
- Bahr, R.; Clarsen, B.; Derman, W.; Dvorak, J.; Emery, C.A.; Finch, C.F.; Hägglund, M.; Junge, A.; Kemp, S.; Khan, K.M.; et al. International Olympic Committee consensus statement: Methods for recording and reporting of epidemiological data on injury and illness in sport 2020 (including STROBE Extension for Sport Injury and Illness Surveillance (STROBE-SIIS)). Br. J. Sports Med. 2020, 54, 372–389. [Google Scholar] [CrossRef]
- McKay, A.K.A.; Stellingwerff, T.; Smith, E.S.; Martin, D.T.; Mujika, I.; Goosey-Tolfrey, V.L.; Sheppard, J.; Burke, L.M. Defining training and performance caliber: A participant classification framework. Int. J. Sports Physiol. Perform. 2022, 17, 317–331. [Google Scholar] [CrossRef]
- Barry, L.; Lyons, M.; McCreesh, K.; Powell, C.; Comyns, T. The design and evaluation of an integrated training load and injury/illness surveillance system in competitive swimming. Phys. Ther. Sport 2023, 60, 54–62. [Google Scholar] [CrossRef]
- Borg, G. Borg’s Perceived Exertion and Pain Scales; Human Kinetics: Champaign, IL, USA, 1998; p. 104. [Google Scholar]
- Foster, C.; Florhaug, J.A.; Franklin, J.; Gottschall, L.; Hrovatin, L.A.; Parker, S.; Doleshal, P.; Dodge, C. A new approach to monitoring exercise training. J. Strength Cond. Res. 2001, 15, 109–115. [Google Scholar] [CrossRef]
- Griffin, A.; Kenny, I.C.; Comyns, T.M.; Lyons, M. The association between the acute: Chronic workload ratio and injury and its application in team sports: A systematic review. Sports Med. 2020, 50, 561–580. [Google Scholar] [CrossRef]
- Wallace, L.; Coutts, A.; Bell, J.; Simpson, N.; Slattery, K. Using session-RPE to monitor training load in swimmers. Strength Cond. J. 2008, 30, 72–76. [Google Scholar] [CrossRef]
- Williams, S.; West, S.; Cross, M.J.; Stokes, K.A. Better way to determine the acute: Chronic workload ratio? Br. J. Sports Med. 2017, 51, 209–210. [Google Scholar] [CrossRef] [PubMed]
- Orchard, J.W.; Meeuwisse, W.; Derman, W.; Hägglund, M.; Soligard, T.; Schwellnus, M.; Bahr, R. Sport medicine diagnostic coding system (SMDCS) and the Orchard sports injury and illness classification system (OSIICS): Revised 2020 consensus versions. Br. J. Sports Med. 2020, 54, 397–401. [Google Scholar] [CrossRef]
- Tiernan, C.; Comyns, T.; Lyons, M.; Nevill, A.M.; Warrington, G. The association between training load indices and upper respiratory tract infections (URTIs) in elite soccer players. Int. J. Sports Sci. Coach. 2022, 17, 151–160. [Google Scholar] [CrossRef]
- Wasserstein, R.L.; Lazar, N.A. The ASA statement on p -values: Context, process, and purpose. Am Stat. 2016, 70, 129–133. [Google Scholar] [CrossRef]
- Morey, R.D.; Hoekstra, R.; Rouder, J.N.; Lee, M.D.; Wagenmakers, E.-J. The fallacy of placing confidence in confidence intervals. Psychon. Bull. Rev. 2016, 23, 103–123. [Google Scholar] [CrossRef]
- Gabry, J.; Simpson, D.; Vehtari, A.; Betancourt, M.; Gelman, A. Visualization in Bayesian workflow. J. R. Stat. Soc. Ser. A Stat. Soc. 2019, 182, 389–402. [Google Scholar] [CrossRef]
- Vehtari, A.; Simpson, D.; Gelman, A.; Yao, Y.; Gabry, J. Pareto smoothed importance sampling. arXiv 2015, arXiv:1507.02646. [Google Scholar] [CrossRef]
- Gelman, A.; Shalizi, C.R. Philosophy and the practice of Bayesian statistics. Br. J. Math. Stat. Psychol. 2013, 66, 8–38. [Google Scholar] [CrossRef]
- Bürkner, P.-C. brms: An R Package for Bayesian Multilevel Models Using Stan. J. Stat. Softw. 2017, 80, 1–28. [Google Scholar] [CrossRef]
- Bürkner, P.-C. Advanced Bayesian Multilevel Modeling with the R Package brms. R J. 2018, 10, 395. [Google Scholar] [CrossRef]
- Stan Development Team. RStan: The R Interface to Stan. 2023. Available online: https://mc-stan.org/ (accessed on 17 January 2024).
- Makowski, D.; Ben-Shachar, M.; Lüdecke, D. bayestestR: Describing Effects and their Uncertainty, Existence and Significance within the Bayesian Framework. J. Open Source Softw. 2019, 4, 1541. [Google Scholar] [CrossRef]
- Rue, H.; Martino, S.; Chopin, N. Approximate Bayesian inference for latent Gaussian models by using integrated nested laplace approximations. J. R. Stat. Soc. Ser. B Stat Methodol. 2009, 71, 319–392. [Google Scholar] [CrossRef]
- Lippincott, E.L. Predictors of Shoulder Injuries in Female Collegiate Swimmers; Nova Southeastern University: Fort Lauderdale, FL, USA, 2018; Available online: https://nsuworks.nova.edu/cgi/viewcontent.cgi?article=1070&context=hpd_pt_stuetd (accessed on 18 February 2023).
- Impellizzeri, F.M.; Woodcock, S.; Coutts, A.J.; Fanchini, M.; McCall, A.; Vigotsky, A.D. What role do chronic workloads play in the acute to chronic workload ratio? Time to dismiss ACWR and its underlying theory. Sports Med. 2021, 51, 581–592. [Google Scholar] [CrossRef]
- Gabbett, T.J. Reductions in pre-season training loads reduce training injury rates in rugby league players. Br. J. Sports Med. 2004, 38, 743–749. [Google Scholar] [CrossRef]
- Rogalski, B.; Dawson, B.; Heasman, J.; Gabbett, T.J. Training and game loads and injury risk in elite Australian footballers. J. Sci. Med. Sport 2013, 16, 499–503. [Google Scholar] [CrossRef] [PubMed]
- Trinidad, A.; González-Garcia, H.; López-Valenciano, A. An updated review of the epidemiology of swimming injuries. J. Inj. Funct. Rehabil. 2021, 13, 1005–1020. [Google Scholar] [CrossRef]
- Clifton, D.R.; Grooms, D.R.; Hertel, J.; Onate, J.A. Predicting injury: Challenges in prospective injury risk factor identification. J. Athl. Train. 2016, 51, 658–661. [Google Scholar] [CrossRef]
- Edouard, P.; Ford, K.R. Great challenges toward sports injury prevention and rehabilitation. Front. Sports Act. Living 2020, 2, 80. [Google Scholar] [CrossRef]
- West, S.W.; Clubb, J.; Torres-Ronda, L.; Howells, D.; Leng, E.; Vescovi, J.D.; Carmody, S.; Posthumus, M.; Dalen-Lorentsen, T.; Windt, J. More than a metric: How training load is used in elite sport for athlete management. Int. J. Sports Med. 2020, 42, 300–306. [Google Scholar] [CrossRef]
- Tondelli, E.; Zabaloy, S.; Comyns, T.M.; Kenny, I.C. Effect of COVID-19 lockdown on injury incidence and burden in amateur rugby union. Phys. Ther. Sport 2023, 59, 85–91. [Google Scholar] [CrossRef] [PubMed]
- Waldén, M.; Ekstrand, J.; Hägglund, M.; McCall, A.; Davison, M.; Hallén, A.; Bengtsson, H. Influence of the Covid-19 lockdown and restart on the injury incidence and injury burden in men’s professional football leagues in 2020: The UEFA elite club injury study. Sports Med.-Open. 2022, 8, 67. [Google Scholar] [CrossRef] [PubMed]
- Athlete Biological Passport. World Anti-Doping Agency. Available online: https://www.wada-ama.org/en/athlete-biological-passport (accessed on 15 February 2024).
- Prien, A.; Mountjoy, M.; Miller, J.; Boyd, K.; Hoogenband, C.v.D.; Gerrard, D.; Cherif, M.Y.; Lu, Y.; Nanousis, K.; Liscano, E.I.O.; et al. Injury and illness in aquatic sport: How high is the risk? A comparison of results from three FINA World Championships. Br. J. Sports Med. 2017, 51, 277–282. [Google Scholar] [CrossRef] [PubMed]


| Variable | Male | Female |
|---|---|---|
| N | 22 | 10 |
| Age (y) | 22 ± 4 | 18 ± 3 |
| Height (m) | 1.87 ± 0.08 | 1.69 ± 0.07 |
| Body Mass (kg) | 82.7 ± 6.8 | 61.2 ± 7.4 |
| Tier 5—World Class | 1 | 1 |
| Tier 4—Elite/International | 9 | 2 |
| Tier 3—Highly Trained/National | 12 | 7 |
| Training Load Metric | Calculation | Description | Scaled Units |
|---|---|---|---|
| Weekly Pool Volume (km) | All session volumes (km) from Monday to Sunday are summed together to generate weekly volume. | Distance swam per week in kilometres | 1.0 km |
| 4-week Rolling Pool Volume (km) | Sum of the weekly volume for the current week and the previous three weeks. | Accumulated distance swam for 4 weeks. | 10.0 km |
| Weekly Pool Training Load (AU) | Session RPE * Duration (minutes) = sRPE-TL. Total pool session sRPE-TL from Monday to Sunday summed together to generate weekly pool value. | Pool training load for one week. | 100.0 AU |
| Weekly Gym Training Load (AU) | Session RPE * Duration (minutes) = sRPE-TL. Total dryland session sRPE-TL from Monday to Sunday summed together to generate weekly gym value. | Gym training load for one week. | 100.0 AU |
| Weekly Total Load Training (AU) | Weekly pool and weekly gym values are summed together. | All training load for the week. | 100.0 AU |
| 4-week Rolling Total Training Load (AU) | Sum of the weekly total for the current week and the previous three weeks. | Accumulated training load for 4 weeks. | 100.0 AU |
| Acute: Chronic Workload Ratio (ACWR) | , where is a value between 0 and 1 that represents the degree of decay, with higher values discounting older ob-servations at a faster rate. The is given by: where N is the chosen time decay constant, typically 7 and 28 days for acute (‘fatigue’) and chronic (‘fitness’) loads, respectively [23]. | The ratio of the acute training load (past 7 days) in relation to the chronic training load (past 28 days). | 0.1 AU |
| Term | Definition |
|---|---|
| Injury | Tissue damage or other derangement of normal physical function, resulting from rapid or competitive transfer of kinetic energy [16]. |
| Medical Attention | A physical complaint where a qualified clinician assessed the athlete’s physical complaint or medical condition. A qualified clinician is anyone who is involved in the health care of athletes, reviews medical or physiological information and/or implements an action plan to improve the athlete’s health, where health is considered in a broad sense but must be more than performance enhancement [15]. |
| Time Loss | A health problem which leads to the athlete being unable to take full part in FINA activities. If the athlete misses the rest of the training or competition session but returns for the next training/competition, this should be recorded as a time-loss incident [15]. |
| Severity | Mild: 0–7 days missed; moderate: 8–28 days missed; severe: >29 days missed [15]. |
| Variable | Max | Min | Mean | Stdev |
|---|---|---|---|---|
| Weekly Pool Volume (km) | 63.20 | 0.00 | 33.54 | 12.88 |
| 4-week Rolling Pool Volume (km) | 217.00 | 0.00 | 115.99 | 58.64 |
| Total Weekly Training Load (AU) | 12,280.00 | 0.00 | 3838.02 | 1616.13 |
| 4-week Rolling Total Training Load (AU) | 29,980.00 | 0.00 | 13,162.08 | 6535.19 |
| ACWR (AU) | 3.16 | 0.14 | 1.23 | 0.39 |
| Number of Individuals | Observations Per Individual | Coefficient Estimate | Coefficient SE | Odds Ratio | Credible Interval Lower | Upper | Width (Precision) |
|---|---|---|---|---|---|---|---|
| 20 | 20 | 0.112 | 0.025 | 1.119 | 1.064 | 1.176 | 0.112 |
| 34 | 70 | 0.096 | 0.009 | 1.101 | 1.081 | 1.121 | 0.040 |
| 40 | 90 | 0.103 | 0.009 | 1.108 | 1.09 | 1.127 | 0.037 |
| Injury Type (7-Day Lag) | Variable | Log Odds (95% CI) | Probability of the Direction Relationship | Odds Ratio (95% CI) | Bayes Factor [10] |
|---|---|---|---|---|---|
| Time loss | Weekly Pool Volume (km) | −0.02 (−0.05:0.02) | 82% | 0.98 (0.95:1.01) | s0 |
| Time loss | 4-week Rolling Pool Volume (km) | −0.00 (−0.01:0.00) | 76% | 1.00 (0.99:1.01) | 0 |
| Time loss | Weekly Total Load Training (AU) | 0.00 (−0.0:0.00) | 75% | 1.00 (1.00:1.00) | 0 |
| Time loss | 4-week Rolling Total Training Load (AU) | −0.00 (−0.00:0.01) | 98% | 1.00 (0.99:1.01) | 0 |
| Time loss | ACWR (AU) | 0.32 (−1.54:1.60) | 70% | 1.51 (0.21:4.96) | 0.17 |
| Non-Time loss | Weekly Pool Volume (km) | −0.01 (−0.03:0.02) | 76% | 0.99 (0.97:1.02) | 0 |
| Non-Time loss | 4-week Rolling Pool Volume (km) | 0.01 (0.00:0.01) | 76% | 1.01 (1.00:1.01) | 0 |
| Non-Time loss | Weekly Total Load Training (AU) | −0.00 (−0.00:0.00) | 78% | 1.00 (0.99:1.00) | 0 |
| Non-Time loss | 4-week Rolling Total Training Load (AU) | −0.00 (−0.00:0.00) | 91% | 1.00 (1.00:1.00) | 0 |
| Non-Time loss | ACWR (AU) | −0.98 (−2.19:0.04) | 97% | 0.38 (0.11:1.04) | 0.48 |
Disclaimer/Publisher’s Note: The statements, opinions and data contained in all publications are solely those of the individual author(s) and contributor(s) and not of MDPI and/or the editor(s). MDPI and/or the editor(s) disclaim responsibility for any injury to people or property resulting from any ideas, methods, instructions or products referred to in the content. |
© 2024 by the authors. Licensee MDPI, Basel, Switzerland. This article is an open access article distributed under the terms and conditions of the Creative Commons Attribution (CC BY) license (https://creativecommons.org/licenses/by/4.0/).
Share and Cite
Barry, L.; Lyons, M.; McCreesh, K.; Myers, T.; Powell, C.; Comyns, T. The Relationship Between Training Load and Injury in Competitive Swimming: A Two-Year Longitudinal Study. Appl. Sci. 2024, 14, 10411. https://doi.org/10.3390/app142210411
Barry L, Lyons M, McCreesh K, Myers T, Powell C, Comyns T. The Relationship Between Training Load and Injury in Competitive Swimming: A Two-Year Longitudinal Study. Applied Sciences. 2024; 14(22):10411. https://doi.org/10.3390/app142210411
Chicago/Turabian StyleBarry, Lorna, Mark Lyons, Karen McCreesh, Tony Myers, Cormac Powell, and Tom Comyns. 2024. "The Relationship Between Training Load and Injury in Competitive Swimming: A Two-Year Longitudinal Study" Applied Sciences 14, no. 22: 10411. https://doi.org/10.3390/app142210411
APA StyleBarry, L., Lyons, M., McCreesh, K., Myers, T., Powell, C., & Comyns, T. (2024). The Relationship Between Training Load and Injury in Competitive Swimming: A Two-Year Longitudinal Study. Applied Sciences, 14(22), 10411. https://doi.org/10.3390/app142210411

