Next Article in Journal
Special Issue: Recent Advances in Pathogenesis and Management of Eye Diseases
Previous Article in Journal
Study of the Impact of Acquisition Parameters on Fault Feature Identification Based on Magnetotelluric Modeling
 
 
Font Type:
Arial Georgia Verdana
Font Size:
Aa Aa Aa
Line Spacing:
Column Width:
Background:
Article

A Self-Supervised One-Shot Learning Approach for Seismic Noise Reduction

by
Catarina de Nazaré Pereira Pinheiro
1,*,
Roosevelt de Lima Sardinha
1,
Pablo Machado Barros
2,
André Bulcão
2,
Bruno Vieira Costa
3 and
Alexandre Gonçalves Evsukoff
1
1
COPPE, Federal University of Rio de Janeiro, Rio de Janeiro 21941-598, RJ, Brazil
2
CENPES, Petrobras, Rio de Janeiro 21941-915, RJ, Brazil
3
Military Institute of Engineering, Rio de Janeiro 22290-270, RJ, Brazil
*
Author to whom correspondence should be addressed.
Appl. Sci. 2024, 14(21), 9721; https://doi.org/10.3390/app14219721
Submission received: 20 July 2024 / Revised: 9 September 2024 / Accepted: 12 September 2024 / Published: 24 October 2024
(This article belongs to the Section Computing and Artificial Intelligence)

Abstract

Neural networks have been used in various computer vision applications, including noise removal. However, removing seismic noise via deep learning approaches faces a specific issue: the scarcity of labeled data. To address this difficulty, this work introduces an adaptation of the Noise2Self algorithm featuring a one-shot learning approach tailored for the seismic context. Essentially, the method leverages a single noisy image for training, utilizing a context-centered masking system and convolutional neural network (CNN) architectures, thus eliminating the dependence on previously labeled data. In tests with Gaussian noise, the method was competitive with established approaches such as Noise2Noise. Under real noise conditions, it demonstrated effective noise suppression removal for a smaller architecture. Therefore, our proposed method is a robust alternative for noise removal that is especially valuable in scenarios lacking sufficient data and labels. With a new approach to processing seismic images, particularly in terms of denoising, our method contributes to the ongoing evolution and enhancement of techniques in this field.

1. Introduction

To explore and monitor underground natural resources, advanced techniques for acquiring subsurface images must be used. One of the most effective tools in this field is seismic imaging. The crucial first step in this technique is to acquire seismic data, which are subsequently processed to generate a seismic image of the subsurface. During seismic data acquisition, seismic waves are transmitted through the Earth, and the echoes reflected from various geological layers are captured.
During this step, external factors, such as environmental elements and interference from the devices used in this process, impact the acquired signals. This interference leads to the production of various types of noise, which are typically classified as either random or coherent noise. In the first group, the noise is characterized mainly by strong randomness. On the other hand, coherent noise exhibits a certain regularity and is characterized by relatively low speed, high amplitude, low frequency, and strong energy [1].
To increase the quality of the acquired data and hence their interpretation, the data are processed, thus preventing the masking of pertinent reflections. In this step, a sequence of sophisticated techniques specifically designed to process seismic data is applied. A crucial component of this procedure is noise attenuation, which is aimed primarily at improving the signal-to-noise ratio of the obtained seismic data.
Different techniques are applied depending on the characteristics of the noise. The methods for random noise generally rely on filtering techniques in the time domain, predictive filtering, median filtering, methods based on sparse transformations, and low-rank matrix decomposition [2,3,4]. Coherent noise, on the other hand, is addressed with techniques for suppressing unwanted parts in the spectral domain, such as filters in the frequency domain, low-pass and high-pass filters, and the ground-roll attenuation method [5,6]. A challenge encountered with this type of technique is the undesired removal of signals.
With the increasing use of artificial intelligence in various fields, methodologies employing machine learning have begun to emerge in seismic applications [7,8]. Deep learning techniques, due to their ability to solve high-complexity end-to-end problems, have extensively progressed recently and are now used in applications ranging from the exploration phase to processing, inversion, and seismic interpretation [9,10,11,12]. In seismic data denoising, the deep learning methods employed typically use a supervised approach, as shown below. In this approach, a set of noisy data and a set of corresponding precleaned data are used as the input and target of the model, respectively.
These supervised approaches have been the foundation for numerous studies aimed at noise attenuation in seismic data processing. Yu et al. [13] applied a CNN architecture to attenuate random and linear noise generated synthetically. Du et al. [14] proposed an architecture named FD-Net composed of convolutional layers with batch normalization and a rectified linear unit (ReLU) activation function for random synthetic seismic noise removal. For the same type of noise, Song et al. [15] and Mandelli et al. [16] presented variations of an autoencoder architecture as models. Lin et al. [17], on the other hand, proposed not only noise reduction but also improvements in the resolution of the generated seismic images through a generative adversarial network (GAN). Employing the same architecture, Ming Wei et al. [18] proposed the addition of a lightweight convolutional attention module in the generator to better extract signal features. Moreover, Jin et al. [19] developed an autoencoder architecture over residual layers for a synthetic dataset with additive Gaussian noise.
Zhong et al. [20] introduced residual and building blocks into a UNet architecture. The residual blocks enable the acquisition of multiscale features. The building blocks, on the other hand, can incorporate these features by distinguishing signals and random noise, generating results superior to those of a standard UNet architecture. Considering multi-scale feature extraction, Zhong et al. [21] proposed a new architecture called MSD-Net, designed for mutual-guided scale-aggregation noise reduction. Spatial aggregation attention was used in this context to enhance relevant features and consequently improve noise reduction. For traffic noise issues, Zhu et al. [22] use a UNet with asymmetric convolutional blocks (ABC-Unet) that yields results superior to those of the base model.
Dong et al. [23] proposed a new architecture for seismic denoising named D-CNN that uses dilated convolutional layers to increase the receptive field without increasing the number of network parameters. In addition, the authors introduced a new augmentation strategy using generative adversarial networks (GANs), which addresses the issue of a lack of real seismic data. Li et al. [24] introduced the MAW-Net architecture, based on the U-Net network, for noise suppression and microseismic event localization. This architecture employed a two-channel decoder and integrated an attention module to enhance feature extraction.
Si and Yuan [25] adapted a denoising convolutional neural network (DnCNN) algorithm originally proposed by Zhang [26] for image noise removal to seismic noise removal. In this approach, the noise is used as the target instead of the clean data. The prediction is then subtracted from the original noise to obtain the clean data.
Specifically for coherent noise, Wu et al. [27] proposed a method using a U-Net architecture for removing noise generated through the sum of four types of noise: high-level Gaussian noise, repetitive hyperbolic noise at fixed locations, random Gaussian noise, and real noise from field data. Huang et al. [28] presented a new densely connected residual convolutional network (DCRCD) architecture for the removal of complex noise from distributed acoustic sensing (DAS) data.
Zhao et al. [29] introduced the Only2Noise model, which aims to extract swell noise of varying intensities and shot characteristics. The model, which is embedded in layers of residual convolutional networks, features the swell noise as the target, whereas the clean data are obtained by removing the prediction from the original data. In this scenario, the model can be utilized not only for noise attenuation but also for capturing the patterns of the swell noise.
Some approaches combine traditional methods with neural network models. Ji et al. [30] applied a combination of the singular value decomposition (SVD) method and deep learning, where the right singular vector (RSV) resulting from SVD is used as the target of the neural network model, producing better results than the traditional method alone. Lan et al. [31] proposed the decomposition of the data input and output of a residual network via 1D wavelets, which are ranked in low- and high-frequency coefficients.
In general, the progress achieved with these methodologies is considerable. Nevertheless, supervised techniques continue to be limited by their dependence on the volume of labeled data. In response, self-supervised methodologies have been proposed as potential solutions. These methodologies do not require clean data for training. In self-supervised methodologies, context is used to facilitate automatic supervision; thus, human intervention is not required. This is cleverly accomplished by treating the input data themselves as an extensive source of supervisory signals. Rather than relying on external annotations, these approaches extract features from the structure of the data through innovative methods. For example, an image can be artificially masked or distorted, and the model is then trained to predict the original unaltered content, thereby acquiring a deep understanding of the visual semantics without explicit labeling.
In addition to general applications involving images, this methodology is gaining prominence in seismic applications, with an increasing number of methods being developed. For example, to remove random seismic noise, Zhang et al. [32] employed a robust autoencoder neural network, along with maximum and minimum normalization and sampling of patches from the raw data for training in an unsupervised manner, using cross-entropy as the loss function.
Birnie et al. [33] built upon the idea that the noise in each sample is statistically independent and adapted the noise2void method [34] for random Gaussian and Laplace synthetic noise. The results were compared with those of traditional methods of FX deconvolution and sparsity-promoting inversion via curvelet transform.
Hao Wu et al. [35] introduced an input data generation approach that involves the addition of noise via a combination of Gaussian–Poisson distributions while simultaneously employing the original training data as labels. The objective function was accordingly adapted to accommodate this approach. On the other hand, Dan Shao et al. [36] proposed modifications to the Noise2Noise (N2N) method [37], which remains one of the initial self-supervised denoising methodologies presenting results significantly comparable to those of the present day. They adapted this method to suit a seismic context where the training pairs were generated through a random noise sampler, operating under the assumption that the signal remains unchanged. Also based on the N2N method, Han Wang et al. [38] proposed the use of the Monte Carlo method to select training samples that include more valid signals. In related work, Detao Wang [39] leveraged the self-supervised Neighbor2Neighbor method [40] for noise attenuation in seismology. This was carried out by employing a subsampling technique among neighboring pixels.
Notably, for clarity, the term “pixel” is used here out of conventional convenience. A seismogram is not, strictly speaking, an image where each point represents a specific color or level of light. Instead, each point in a seismogram represents a measurement of seismic waves at a specific point in time and space, with the amplitude of those waves corresponding to the value associated with that “pixel”. We utilize the term “pixel” only because of its common usage and familiarity in digital image processing, which shares many computational similarities with our methodology. Understanding this adapted use of “pixel” is foundational, as it directly informs our methodological approach detailed below.
In this study, we modify the Noise2Self (N2S) method [41], originally proposed by Batson et al., for seismic noise reduction. This method stands out for its approach to the blind noise problem, where the statistical independence of noise is exploited during the image reconstruction stage. First, a certain section of an image is masked; then, a CNN-based architecture is trained to identify the masked area. Once the training is complete, any inconsistencies among the pixels are excluded, yielding a noise-free image as a final product.
The contributions of this work include several adaptations specifically tailored to seismic denoising. Initially, we proposed various neural network structures. Then, we modified the training protocol, which typically encompasses distinct phases of training, validation, and testing, to a one-shot learning approach, employing multiple masks derived from the same image and controlling their initiation through the number of iterations.
Each seismic shot contains a significantly larger volume of data than an average standard image does, and each shot exhibits characteristics that are intrinsically similar. This proximity suggests that a single image might be sufficient to enable effective learning, making the one-shot training method the most appropriate for this context. This approach aims to explore the uniqueness and density of information contained in a single seismic shot, thereby enhancing the efficiency and efficacy of neural network training in the recognition and interpretation of complex seismic patterns.
We also modified the format and arrangement of the masks. Masks with distinct formats were adopted to match the characteristics of the noise better, as Gaussian noise is random and real seismic noise is generally directionally coherent. The formats and arrangements of the masks were adjusted to optimize the seismic results, reducing Gaussian noise across various signal-to-noise ratio (SNR) levels and taking into account the real seismic noise with selected metrics to better capture its particularities.
To accurately compare and verify the efficacy of the proposed model, we implemented the N2N method [37] as well as a traditional supervised method. However, the application of the N2N method is limited to Gaussian noise because it requires two identical images with different noise realizations, which renders it unsuitable for the analysis of actual seismic noise.
This paper is organized as follows. Section 2 provides a comprehensive overview of the theoretical framework underlying this research. First, an in-depth examination of the N2N method is presented, followed by an analysis of N2S, with a particular focus on its masking process. This section also delves into the theory behind deep learning architectures and discusses the metrics employed in this study. Section 3 outlines the dataset used for evaluation. The results of the proposed model are detailed in Section 4, where they are compared against those obtained via the N2N and supervised methods. Finally, Section 5 offers some concluding remarks.

2. Method

In the study of noise removal in data, a model characterizing the nature of this noise must be precisely defined. A commonly accepted mathematical model depicts noise as an additive component [42]. This leads to a formulation in which noisy data are interpreted as follows:
x = y + n ,
where x represents the observed noisy data, y represents the clean data, and n represents the embedded noise.
With this formulation, techniques can be applied to separate noise from clean data. Thus, understanding this relationship is fundamental for the development of effective data denoising methods.
With the preliminary definition of noise formulated, we now turn to the investigation of methodological approaches for its removal. The analysis begins with N2N, adopted as a benchmark in this study, followed by N2S, which directly inspires the development of the method we propose.

2.1. Noise2Noise

The N2N [37] methodology addresses the challenge of image restoration without the need for clean reference data, utilizing a self-supervised approach. This methodology introduces the idea of training a noise removal model using only pairs of noisy images. These are generated from the same object or scene but with different noise realizations. The authors argued that although noisy images do not contain direct information about the object or scene without noise, they can still provide valuable information to teach a model to remove noise.
Traditionally, the learning process for determining the correlation between a clean image and a noisy image involves solving the following optimization problem:
argmin θ E ( x , y ) { L ( f θ ( x ) , y ) } ,
where during training, we attempt to learn the parameters  θ  that minimize the value of the cost function  L  between the noisy input image after processing through the neural network given by the function  f θ ( x )  and the clean output image y.
Employing the  L 2  cost function in this optimization problem leads to the derivation of parameters that guide us toward an expected value. This expected value effectively represents the mean of the observed values, assuming a normal distribution similar to a Gaussian distribution.
In the N2N paradigm, rather than targeting a clean image as the output y, several noisy images are used as the training target. The network then learns to reconstruct the average of these noisy images. Assuming that the noise present within these images adheres to a distribution centered on a zero mean and that a substantial variety of noise realizations are provided, the derived network parameters exhibit consistency across diverse sets of noisy inputs.
In essence, through the  L 2  framework, the network is steered toward learning parameters that converge on the expected value: the mean of the noisy image instances. This expected value, if the noise indeed averages zero and sufficient noise variations are presented, aligns with the clean image. This mechanism underscores the ability of the  L 2  loss to extract the signal (or clean image) from a noisy environment by leveraging the statistical properties of the noise.
Therefore, for this methodology, the optimization problem to be solved as follows:
argmin θ i L ( f θ ( x ^ i ) , x ^ j ) ,
where both the noisy input  x ^ i  and unobserved clean target  x j ^  are drawn from a corrupted distribution.

2.2. Noise2Self

The N2S approach builds on the premises established by self-supervised learning techniques such as N2N; however, this novel method enables efficient noise removal without requiring even pairs of noisy images generated from the same object or scene. Instead, N2S capitalizes on the inherent structure of single noisy images and leverages the statistical independence of noise at different locations within the same image. Thus, this method does not require different versions of the same image—either clean or noisy counterparts—because it fosters an internal learning environment that highlights the noise pattern inherent in individual images.
An important part of the N2S approach is the hypothesis that noise in any specific pixel or pixel group is statistically independent of the corresponding signal or image content in adjacent pixels. This premise facilitates the prediction of the value of a pixel on the basis of its neighboring pixels, excluding the noise specific to the target pixel(s). Consequently, N2S employs a “j-invariant” prediction model, where the value of a pixel is estimated within a context in which the pixel itself is intentionally omitted. This ensures that the training leverages a proxy for clean data derived from the noisy image itself.
The concept of J invariance is pivotal in our understanding of how to approach the statistical relationship between a pixel and its adjoining pixels. In particular, J invariance upholds the postulation that the value of a given pixel can be accurately predicted without incorporating the specific information of that pixel by instead leveraging data from adjacent pixels. This suggests that the statistical noise inherent within the target pixel does not interfere with the predictive process.
To formalize, let  J  denote a partition of dimensions  { 1 , , m } . Let x represent the initial noisy image, and let  x J  denote a subsample of x confined to  J J . A function  f : R m R m  is considered J-invariant if the value of  f ( x ) J  is independent of the value of  x J . Thus, f is  J -invariant if it exhibits J-invariance for every  J J .
Figure 1a illustrates the concepts being discussed. Here, the feature space of an image is divided into two independent sets: J, containing the features of interest and  J C , representing the remaining features. Within this space, we have points x that are mapped by the function f. The function f is J-invariant because, when applying this transformation, the features in J remain unaltered. In other words, f preserves the information in the subset J while utilizing information from  J C  to perform tasks such as denoising.
For the practical application of J invariance via N2S, the model is trained to deduce the clean values of target pixels or areas using only the information from surrounding pixels, thus omitting the target pixels themselves. This objective is achieved by applying a J-invariant mask during training, which forces the model to discern missing or modified pixel information on the basis of the statistical characteristics of nearby pixels, effectively separating the signal from the noise. Figure 1b shows an example of independent features; the gray boxes represent regions processed independently, with the mask varying depending on the specific masking process used.
The training objective function under J invariance is depicted as follows:
argmin θ E x { L ( f θ ( x ) J , x J ) } ,
where  L  denotes the loss function that measures the discrepancy between the model prediction  f θ ( x ) J  and the masked noisy observation  x J .
The model that reconstructs clean images from their noisy counterparts, parameterized by  θ , is refined by minimizing this loss. This is accomplished by exploiting the context and the statistical independence of the noise, eliminating the requirement for clean examples or the comparison of noisy image pairs.

2.3. Proposed Masking Process

The effectiveness of the N2S method is significantly influenced by the choice of masks, which could be a potential limitation of the method. The construction of the masks is performed through a masking procedure. This involves selectively obscuring parts of the image, thereby dividing it into target regions J and their complementary set  J c . The original approach uses a neural network to implement J-invariant functions, which are adapted to process and reconstruct the information from  J c , the unmasked segments. By tailoring the mask to the specific characteristics of the noisy dataset, considering strategies such as single-pixel masks for zero-mean noise, the signal coherence within  J c  can be enhanced while the influence of noise is reduced. This masking process not only augments the ability of the model to infer clean images directly from noisy inputs but also maximizes the self-supervised learning efficiency.
In this study, two masking processes were proposed to address different noise characteristics. For artificially generated Gaussian noise, a mask that simulates a regular grid was used. This grid is evenly spaced in both the horizontal and vertical directions on the basis of the hyperparameters designated “h” and “w”, both of which are fixed at 10-pixel units.
The novelty of this approach lies in the fact that the initial position of the grid is randomly determined and modified at each iteration during the training process. This method, therefore, ensures that the model is exposed to different sections of the image during its various training phases, thereby resulting in better generalization during the learning process.
For data characterized by real noise, which are commonly more prominent in the vertical direction, we were required to rethink the strategy for the construction and application of the masks. An approach that preserves the independence of the noise was adopted, using vertical masks with a size of nx1, fixed at 250 in this study. The choice of masks with a unit vertical width was motivated by the prevalence of horizontal coherence in the signals that is significantly more pronounced than that of the noise. This approach aims to minimize signal removal, an inevitable consequence when opting for masks of greater width.
The mask is developed by analyzing subtle differences between pixel values in vertical positions within the image. In this process, the mask is applied precisely where the difference between adjacent pixels in the y-axis is small, ensuring the maximum efficacy of the strategy.
In essence, this approach is implemented similar to that used for Gaussian noise in terms of mask positioning. However, prior analysis of the differences in pixel values allows more precise placement of the mask in the context of seismic noise, providing more appropriate processing for this type of data.

2.4. FCN Architecture

The fully convolutional network (FCN) architecture is exclusively composed of convolutional layers. In this configuration, the network processes an input of arbitrary size and produces an output with a size corresponding to the inference. This type of network architecture is particularly applicable to image segmentation and denoising because of its efficiency and adaptability to the final structure size.
In the development of the models, two distinct FCN topologies, FCN3 and FCN9, were established. The less complex model, FCN3, incorporates a structure with three convolutional layers, all of which employ 9 × 9 filters with identical padding and ReLU activation layers. The first convolutional layer has 32 filters, followed by a second layer with 64 filters and a third layer with 32 filters. The final layer of this network consists of a convolutional layer containing 1 × 1 filters. The total number of parameters was 334,529. A diagram illustrating the architecture of the network used in this study is presented in Figure 2. The input images will contain masks, as exemplified in the figure, and the target value will be the original, noisy image.
In contrast, the FCN9 topology consists of a structure that shares many similarities with a DnCNN network. This network begins with a first convolutional layer coupled with a ReLU activation function. Following this layer, seven more convolutional layers are added, all equipped with 9 × 9 filters, using ‘same padding’, ‘batch normalization’, and a ReLU activation function. Each of these intermediate layers has 64 filters. The final network configuration is a convolutional layer equipped with 1 × 1 filters and a linear activation function. The total number of parameters was 2,328,576. Figure 3 presents a schematic representation of the FCN9 topology used in this study.

2.5. SRGAN Generator Architecture

The comprehensive architecture of a super-resolution generative adversarial network (SRGAN), proposed by Ledig et al. [43] to address the problem of super-resolution, essentially consists of two separate networks: a generator network and a discriminator network. The underlying concept involves training the generator model to effectively deceive the discriminator model, which in turn becomes proficiently trained to distinguish between super-resolved and authentic images. Through this approach, the generator model can produce solutions that more closely resemble high-resolution reality, whereas the discriminator model progressively becomes more refined in distinguishing these images.
To address the issue of blind denoising, the generator architecture can be used alone, keeping its design unchanged but with adjustments to the appropriate cost function. Thus, for this study, only the generator portion of the network is implemented. This component incorporates residual blocks, whose main function is to retain the information originating from the previous layers. This arrangement enables the network to adaptively select the most relevant features—a crucial factor for the overall performance of the system.
As illustrated in Figure 4, the generator section of the SRGAN architecture consists of a series of residual blocks with similar configurations; specifically, 12 blocks were adopted for this study. Each block is composed of three convolutional layers equipped with 3 × 3 filters and 64 feature maps, which are followed by batch normalization layers and an activation function called parametric ReLU (PreLU). Following these blocks, the architecture is finalized by two subpixel convolutional layers and an additional convolutional layer adapted for use with 1 × 1 dimension filters.

2.6. Implementation of the Proposed Method

To operationalize the proposed method in a practical one-shot denoising scenario, the process begins with a single noisy image x as input. A masking procedure J is applied to this image, as described in Section 2.3. These masks intentionally hide different subsets of pixels in each iteration, forcing the model to focus on the contextual data of adjacent pixels. By excluding the target pixels themselves during the prediction phase, the neural network model trains to infer the clean values of these pixels based on the structures and patterns present in their local neighbors.
This process is iterated over several epochs, during which the model refines its parameters  θ  of the neural network, which include weights and biases, to minimize the discrepancy defined by the loss function  L , in this case defined as the mean squared error, between the masked predicted values  f θ ( x ) J  and the masked noisy observation  x J .
After the training phase is completed, the model is applied to the original noisy image x without any mask, using the learned parameters to predict a denoised output. This approach highlights the theoretical foundation of J-invariance discussed earlier, where the prediction leverages the statistical independence of the noise and the contextual coherence of the adjacent pixel data. By internalizing these principles, the practical implementation aligns with the theoretical objective of separating noise from the signal, producing a final image with reduced noise that respects the statistical properties learned from the single input image.

2.7. Evaluation Metrics

The peak signal-to-noise ratio (PSNR) serves as a pertinent metric to quantify the quality of a restored image against its original form. Predicated upon the relationship between the highest power of a signal and the noise components, the PSNR is designed to evaluate the discrepancies between the noise-free image and the image following the execution of the noise elimination process. In essence, an elevated PSNR value is indicative of diminished noise interference, thereby corroborating the superior quality of the predicted image. The computation of the PSNR is conducted in accordance with Equation (5).
P S N R = 10 log 10 M A X 2 M S E
where the mean squared error (MSE) model is calculated by the following:
M S E = 1 n i = 1 n ( f ( x i ) y i ) 2
In the analysis of general images, the maximum value in 8-bit images is conventionally accepted to be 255. However, in the field of geophysics, where no predefined maximum value is established, a constant maximum value of 20 was adopted for this study to enable an objective comparison between various models. By standardizing the maximum value, the comparisons between models were conducted fairly, without noise interference in the comparative analysis of the data.

3. Dataset

The synthetic seismic dataset used in this paper was generated through numerical simulations of the acoustic wave equation with variable density via a finite difference code in 2D. The dataset consists of a series of seismograms that represent the wavefield recorded by receivers at specific locations along the 2D model. These receivers capture the wavefield over time, forming individual seismic traces. The collection of these traces constitutes a seismogram.
In brief, the dataset is structured as two-dimensional matrices with real values. Each column in the matrix corresponds to a seismic trace, and each row is associated with propagation time. In this work, these data are visualized as images, where each pixel represents a measurement for a specific trace at a particular propagation time.
This dataset contains 931,200 traces. In the context of the generated seismograms, 1200 shots were carried out, incorporating 776 receivers per shot, which ensures wide and detailed coverage of the area of interest. A maximum offset of 8 km was registered, providing an extensive spectrum of subsurface data. Additionally, a sampling interval of 2 ms was adopted, which allows for a temporal resolution adequate for capturing fine details in the seismic reflections.
Gaussian noise—known for its normal probability distribution—was added to the synthetic data to simulate seismic data with distinct signal-to-noise ratios. The focus was on producing data representations with explicit divisions of signal by noise, particularly highlighting scenarios where the divisions were set at 1, 2, and 5. This method is instrumental in mimicking the inherently unpredictable nature of actual seismic data while providing a framework for evaluating different analysis methodologies under various levels of noise.

4. Results

4.1. Additive White Gaussian Noise (AWGN)

Throughout our experimental investigation, we employed the N2S, N2N, and supervised methodologies to process datasets characterized by varying signal-to-noise ratios (SNRs). The training phases for the N2N and supervised algorithms followed a conventional framework, involving a training set, a separate validation set to monitor and stop training to prevent overfitting, especially in the supervised case that relies on external labels rather than just internal coherence, and a distinct test set to evaluate the efficacy of each method. The dataset was meticulously divided, allocating 770 seismograms to the training set, 330 to the validation set, and 100 to the test set.
Alternatively, a one-shot training strategy was adopted for N2S, in which only a single noisy image is considered for model training, resulting directly in the final noise-free image. In both methods, 1000 training iterations were carried out, adopting the  M S E  function as a cost function and the Adam algorithm as an optimization strategy with an initial learning rate of 0.0001. We used clean images as a reference; these images were used only for metric calculations and qualitative analysis purposes and were not included in any stage of the training process.
In this study, we analyzed different neural network architectures, including a basic FCN3, an FCN9 topology, and the generator component of the super-resolution generative adversarial network (SRGAN—generator). For better comprehension, we categorized the noise levels into three distinct groups: Noise 1, Noise 2, and Noise 5, corresponding to signal-to-noise data ratios of 1, 2, and 5, respectively. Table 1 presents the results of N2S concerning the peak signal-to-noise ratio (PSNR) across the three distinct architectures for these specified noise categories.
Our analysis shows that the three architectures we tested, all running on V100 NVLink 8 GPUs, have similar performance outcomes. However, the processing time of the FCN3 architecture stands out, at more than five times faster than the FCN9 architecture and nearly three times faster than the SRGAN generator, as indicated in Table 2. This difference is crucial because it shows that FCN3 not only works well but does so much more efficiently, saving significant time and computational resources.
For the qualitative analysis in question, a seismic sample from the test dataset used in the N2N method was chosen, with the addition of Noise 2. Figure 5 displays the three components of this sample: the noisy data, incorporating Noise 2; the original, already cleaned data; and the isolated noise, derived from the subtraction between the noisy and clean data.
The results for this sample are displayed in Figure 6. Each row of the figure corresponds to a tested topology. The left column shows the predicted clean data, and the right column presents the isolated noise obtained by the difference between the noisy data and the prediction. We adjusted the image scale to the 99th percentile to improve clarity and maintain consistency in visualization.
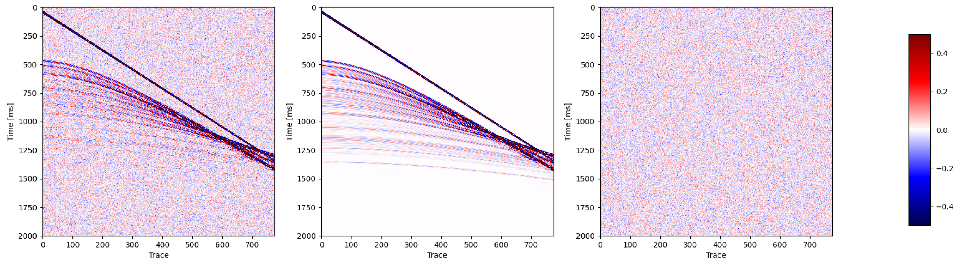
Detailed analysis reveals that all the tested architectures can attenuate the noise present in the data; however, the distortion of the original signal varies. Specifically, the FCN9 architecture produces more pronounced interference in the original signal, whereas the FCN3 and the SRGAN generator architectures have less significant impacts. This suggests that the analyzed architectures exhibit distinctive efficacy in preserving the original signals, with the FCN3 and the SRGAN generator ensuring greater integrity of the clean data than FCN9.
To assess the efficacy of the proposed methodology, a comparative study was conducted to compare the proposed method with the traditional self-supervised method, N2N, and a supervised methodology. This study included the three architectures used in the preliminary analysis of both methods. The performance was evaluated with the average PSNR and its standard deviation from a sample of 100 seismic shots.
The results obtained with the N2N and supervised methods are presented in Table 3. A comparative analysis with the data from Table 1 reveals that the proposed method achieves slightly lower PSNR values than N2N and the supervised method. However, a significant advantage of the new method is its ability to be trained from a single example, drastically reducing the amount of data needed for its effective operation. This characteristic represents a substantial competitive advantage for the proposed method.
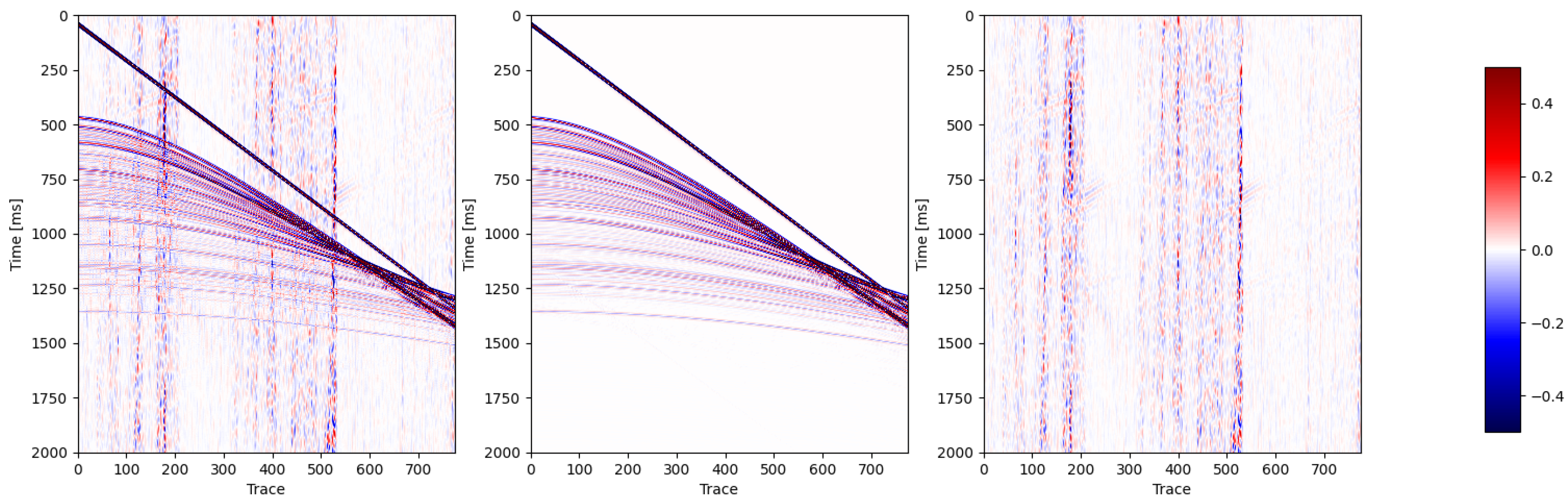
In addition to the quantitative analysis, an additional qualitative assessment was performed, as shown in Figure 7. To improve the comparison, a side-by-side depiction of the original noisy data and the predictions generated by the N2S, N2N, and supervised methods is included. The model employed in both methods was FCN3, as it proved to be the most efficient in terms of cost-effectiveness and processing time. The analysis allows visual confirmation of the previously presented quantitative results, with the proposed method demonstrating its effectiveness in noise removal comparable to that of the N2N method.
In conjunction with the main analysis, the number of training iterations used when the FCN3 and SRGAN topologies were employed was explored. While the standard number of iterations set for the study was 1000, the effectiveness of the N2S method at an SNR of 2 was also examined across different iterations. Importantly, even with a total of 500 iterations, effective results are observed. Figure 8 demonstrates that the results progressively improve with increasing number of iterations until a stabilization point is reached, where minimal improvement is seen with increasing number of epochs. Thus, the process could be started with a reduced iteration volume, equivalent to half of the standard presented, and there is room for refinement in the model performance.
It is worth noting a slight decrease in PSNR for the FCN3 model between Epochs 1500 and 1750. However, this difference is small and within the expected range due to the inherent variability in the training process of neural networks. Specifically, this variability can be attributed to the gradient-based optimization method and the hyperparameters of the model, which can cause convergence to be non-monotonic. Additionally, there is an increase in standard deviation at 1750 epochs, indicating slightly more variability in the results at this stage. These fluctuations are typical and do not indicate an underlying issue with the model.

4.2. Real Noise

In the case of real noise, the lack of different realizations of the same seismic shot makes testing and using the N2N method impracticable, as its application directly depends on two samples of the same image. However, the proposed method, which uses the image itself for training, can be applied for analysis. Tests were carried out using the same hyperparameters used in the Gaussian noise optimization, with equivalent cost functions and preprocessing involving mean and standard deviation.
For the implementation in question, we opted for the FCN3 and the SRGAN generator topologies. These were selected on the basis of their superior performance in tests involving Gaussian noise. This decision was balanced against consideration of the evaluation metrics, required processing time, and minimal signal removal. To evaluate and compare the effectiveness of our proposed method, we implemented the supervised method using the same topologies employed in the N2S method.
In our experiments, we noticed that convergence was achieved with fewer epochs, which prompted us to limit the total number of iterations to 500. This decision resulted in a processing time of approximately 6.8 min for the FCN and 39.5 min for the SRGAN, maintaining the same configuration as that used for the Gaussian noise experiments. The outcomes from analyzing 100 seismic records affected by real noise for both topologies are detailed in Table 4.
For the qualitative analysis presented, we used the same seismic sample from the test dataset as that previously analyzed but incorporated real noise. Figure 9 illustrates the following elements: the noisy image, the clean (original) image, and the noise derived from the difference between the original and clean images.
Figure 10 shows the predictive results obtained by the proposed model in comparison with those of the supervised model. The first row shows the results for the FCN3 topology for both models, including the respective differences. The second row presents analogous results for the SRGAN generator topology. Like the results obtained with Gaussian noise, the intensity scale shown was determined on the basis of the 99th percentile of the intensity distributions, thereby ensuring consistent and informative visualization of the analyzed data.
Although the results from the FCN3 network are inferior to those of the supervised method (Table 4), qualitative analysis indicates that the FCN3 network manages to remove most of the noise, suggesting its effectiveness in this process (Figure 9). However, a slight increase in the loss of useful signal is observed, particularly compared with the results obtained in Gaussian noise scenarios, which justifies the worse quantitative results. Considering the use of a single image for training, the topology performance is deemed satisfactory.
In contrast, the SRGAN generator performance does not meet our expectations. This model tends to excessively remove signals, significantly diminishing the overall image quality compared with that of the original recordings. This suggests that more complex architectures may affect the original signal more severely, resulting in a reduction in image quality.

5. Discussion and Conclusions

In this paper, we adopted a one-shot self-supervised learning approach, inspired by the N2S technique, for noise removal in seismic data using only the original image for training. This methodology was evaluated in scenarios with synthetic noise designed to mimic random variations found in real conditions and in data contaminated by real swell noise. For a more robust comparative analysis, we employed an adaptation of the N2N method in the context of synthetic noise and a supervised method for real noise, allowing more accurate evaluation of our proposed model.
The results obtained for the elimination of Gaussian noise demonstrate a high level of efficiency, highlighting the ability of the model to operate effectively using only one image for training and without using labels. In contexts characterized by real noise, the implementation of this same method with different network architectures revealed significant variations in the results. The SRGAN generator network exhibited a high signal removal rate compared to noise, which was not satisfactory.
On the other hand, the more simplified architecture, FCN3, not only showed superior denoising performance but also better preserved the original signal. This aspect is crucial, as it prevents the excessive elimination of vital information contained in the data, thus ensuring the quality and fidelity of the original information. Nonetheless, note that both methods produced results inferior to those of the supervised method. However, the unsupervised nature of this approach, using only a single image for training, highlights its potential utility in situations where labeled data are scarce or unavailable.
Therefore, this study reinforces the potential of self-supervised learning and one-shot learning techniques in mitigating noise in seismic data. These findings indicate the capabilities of the proposed method, particularly in the context of simpler architectures, to remove noise and preserve the integrity of the information contained in the data. However, there remains room for improvement, particularly in optimizing the mask design, which can also be seen as a potential limitation of the method. Furthermore, considering the potential use of foundation models for initialization presents an avenue for further investigation to enhance the performance of the proposed method.
In conclusion, this work advances signal processing by presenting an innovative approach to tackling the challenges of noise contamination. Unlike state-of-the-art methods, our one-shot solution does not require labels and can be applied to various types of noise, not just random noise, in both synthetic and real-world scenarios. This method offers a new perspective on noise mitigation, standing out for its simplicity and effectiveness.

Author Contributions

Conceptualization, C.d.N.P.P.; Methodology, C.d.N.P.P.; Software, C.d.N.P.P., R.d.L.S. and B.V.C.; Validation, C.d.N.P.P., A.G.E. and B.V.C.; Formal analysis, C.d.N.P.P., P.M.B., A.B. and A.G.E.; Investigation, C.d.N.P.P., B.V.C. and A.G.E.; Resources, C.d.N.P.P., P.M.B., A.B. and A.G.E.; Data curation, C.d.N.P.P. and R.d.L.S.; Writing—original draft, C.d.N.P.P.; Writing—review & editing, C.d.N.P.P., P.M.B., A.B. and A.G.E.; Supervision, A.G.E.; Project administration, A.B. and A.G.E. All authors have read and agreed to the published version of the manuscript.

Funding

The authors are grateful to Petrobras for financial support, for providing the real swell noise data used in this work, and for providing the high-performance computing environment for running the experiments. The authors are also grateful to Brazilian Research Council—CNPq and Rio de Janeiro State Research Agency—FAPERJ for the financial support for this research.

Institutional Review Board Statement

Not applicable.

Informed Consent Statement

Not applicable.

Data Availability Statement

The raw data supporting the conclusions of this article will be made available by the authors on request.

Conflicts of Interest

Authors Pablo Machado Barros and André Bulcão were employed by the company Petrobras. The remaining authors declare that the research was conducted in the absence of any commercial or financial relationships that could be construed as a potential conflict of interest.

References

  1. Ahmed, J.R.A.; Hassan, A.T. Random and coherent noise attenuation for 2D land seismic reflection line acquired in Iraq. NRIAG J. Astron. Geophys. 2022, 11, 337–354. [Google Scholar]
  2. Ray, A.; Jon, C. Lateral prediction for noise attenuation by t-x and f-x techniques. Geophysics 1995, 60, 1887–1896. [Google Scholar]
  3. Yang, Y.; Lu, J.; Wang, Y. Vertical seismic profile wavefield separation using median filtering constrained by the linear radon transform. Appl. Sci. 2018, 8, 1494. [Google Scholar] [CrossRef]
  4. Alsdorf, D. Noise reduction in seismic data using Fourier correlation coefficient filtering. Geophysics 1997, 62, 1617–1627. [Google Scholar] [CrossRef]
  5. Xiao, L.; Zhang, Z.; Gao, J. Ground roll attenuation of multicomponent seismic data with the noise-assisted multivariate empirical mode decomposition (NA-MEMD) method. Appl. Sci. 2022, 12, 2429. [Google Scholar] [CrossRef]
  6. Bekara, M.; Van der Bann, M.; Gao, J. Random and coherent noise attenuation by empirical mode decomposition. Geophysics 2009, 74, V89–V98. [Google Scholar] [CrossRef]
  7. Jia, Y.; Ma, J. What can machine learning do for seismic data processing? An interpolation application. Geophysics 2017, 82, V163–V177. [Google Scholar] [CrossRef]
  8. Wrona, T.; Pan, I.; Gawthorpe, R.L.; Fossen, H. Seismic facies analysis using machine learning. Geophysics 2017, 83, O83–O95. [Google Scholar] [CrossRef]
  9. Wu, X.; Liang, L.; Shi, Y.; Fomel, S. FaultSeg3D: Using synthetic data sets to train an end-to-end convolutional neural network for 3D seismic fault segmentation. Geophysics 2019, 84, IM35–IM45. [Google Scholar] [CrossRef]
  10. Wu, B.; Meng, D.; Zhao, H. Semi-supervised learning for seismic impedance inversion using generative adversarial networks. Remote Sens. 2021, 13, 909. [Google Scholar] [CrossRef]
  11. Ross, Z.E.; Meier, M.; Hauksson, E.; Heaton, T.H. Generalized seismic phase detection with deep learning. Bull. Seismol. Soc. Am. 2018, 108, 2894–2901. [Google Scholar] [CrossRef]
  12. Milosavljević, A. Identification of salt deposits on seismic images using deep learning method for semantic segmentation. ISPRS Int. J. Geo-Inf. 2020, 9, 24. [Google Scholar] [CrossRef]
  13. Yu, S.; Ma, J.; Wang, W. Deep learning for denoising. Geophysics 2019, 84, V333–V350. [Google Scholar] [CrossRef]
  14. Du, R.; Liu, W.; Fu, X. Random noise attenuation via convolutional neural network in seismic datasets. Alex. Eng. J. 2022, 61, 9901–9909. [Google Scholar] [CrossRef]
  15. Song, H.; Gao, Y.; Chen, W.; Xue, Y.; Zhang, H.; Zhang, X. Seismic random noise suppression using deep convolutional autoencoder neural network. J. Appl. Geophys. 2020, 178, 104071. [Google Scholar] [CrossRef]
  16. Mandelli, S.; Lipari, V.; Bestagini, P.; Tubaro, S. Interpolation and denoising of seismic data using convolutional neural networks. arXiv 2019, arXiv:1901.07927. [Google Scholar]
  17. Lin, L.; Zhong, Z.; Cai, C.; Li, C.; Zhang, H. SeisGAN: Improving seismic image resolution and reducing random noise using a generative adversarial network. Math. Geosci. 2023, 56, 723–749. [Google Scholar] [CrossRef]
  18. Wei, M.; Sun, X.; Zong, J. Time–Frequency Domain Seismic Signal Denoising Based on Generative Adversarial Networks. Appl. Sci. 2024, 14, 4496. [Google Scholar] [CrossRef]
  19. Jin, Y.; Wu, X.; Chen, J.; Han, Z.; Hu, W. Seismic data denoising by deep-residual networks. In SEG Technical Program Expanded Abstracts; SEG Library: Houston, TX, USA, 2018; pp. 4593–4597. [Google Scholar]
  20. Zhong, T.; Cheng, M.; Dong, X.; Li, Y.; Wu, N. Seismic random noise suppression by using deep residual U-Net. J. Pet. Sci. Eng. 2022, 209, 109901. [Google Scholar] [CrossRef]
  21. Zhong, T.; Zheng, C.; Tong, X.; Dong, S.; Dong, X. Mutual-guided scale-aggregation denoising network for seismic noise attenuation. Comp. Geosci. 2024, 191, 105682. [Google Scholar] [CrossRef]
  22. Zhu, Z.; Chen, X.; Cao, D.; Cheng, M.; Ding, S. U-Net with asymmetric convolution blocks for road traffic noise attenuation in seismic data. Appl. Sci. 2023, 13, 4751. [Google Scholar] [CrossRef]
  23. Dong, X.; Lin, J.; Lu, S.; Huang, X.; Wang, H.; Li, Y. Seismic shot gather denoising by using a supervised-deep-learning method with weak dependence on real noise data. A solution to the lack of real noise data. Surv. Geophys. 2022, 43, 1363–1394. [Google Scholar] [CrossRef]
  24. Li, Q.; Zhang, F.; Han, L. MAW-Net-Based Dual-Output Method for Microseismic Localization in Strong Noise Environments. Appl. Sci. 2024, 44, 5668. [Google Scholar]
  25. Si, X.; Yuan, Y. Random noise attenuation based on residual learning of deep convolutional neural network. In SEG Technical Program Expanded Abstracts; SEG Library: Houston, TX, USA, 2018; pp. 1986–1990. [Google Scholar]
  26. Zhang, K.; Zuo, W.; Chen, Y.; Meng, D.; Zhang, L. Beyond a gaussian denoiser: Residual learning of deep CNN for image denoising. IEEE Trans. Image Process. 2017, 26, 3142–3155. [Google Scholar] [CrossRef] [PubMed]
  27. Wu, Y.; Stewart, R.R. Attenuating coherent environmental noise in seismic data via the U-net method. Front. Earth Sci. 2023, 11, 1082435. [Google Scholar] [CrossRef]
  28. Huang, T.; Li, A.; Zhang, J.; Li, X.; Xiong, L.; Tu, J.; Sun, W.; Hu, X. Multiple noise reduction for distributed acoustic sensing data processing through densely connected residual convolutional networks. J. Appl. Geophys. 2024, 228, 105464. [Google Scholar] [CrossRef]
  29. Zhao, X.; Lu, P.; Zhang, Y.; Chen, J.; Li, X. Swell-noise attenuation: A deep learning approach. Lead. Edge 2019, 38, 934–942. [Google Scholar] [CrossRef]
  30. Ji, G.; Wang, C. A denoising method for seismic data based on SVD and deep learning. Appl. Sci. 2022, 12, 12840. [Google Scholar] [CrossRef]
  31. Lan, T.; Zeng, Z.; Han, L.; Zeng, J. Seismic data denoising based on wavelet transform and the residual neural network. Appl. Sci. 2023, 13, 655. [Google Scholar] [CrossRef]
  32. Zhang, M.; Liu, Y.; Chen, Y. Unsupervised seismic random noise attenuation based on deep convolutional neural network. IEEE Access 2019, 7, 179810–179822. [Google Scholar] [CrossRef]
  33. Birnie, C.; Ravasi, M.; Liu, S.; Alkhalifah, T. The potential of self-supervised networks for random noise suppression in seismic data. Artif. Intell. Geosci. 2021, 2, 47–59. [Google Scholar] [CrossRef]
  34. Krull, A.; Buchholz, T.; Florian, J. Noise2Void-learning denoising from single noisy images. In Proceedings of the IEEE Conference on Computer Vision and Pattern Recognition, Long Beach, CA, USA, 9–15 June 2019; pp. 2129–2137. [Google Scholar]
  35. Wu, H.; Zhang, B.; Liu, N. Self-adaptive denoising net: Self-supervised learning for seismic migration artifacts and random noise attenuation. J. Pet. Sci. Eng. 2022, 214, 110431. [Google Scholar] [CrossRef]
  36. Shao, D.; Zhao, Y.; Li, Y.; Li, T. Noisy2Noisy: Denoise pre-stack seismic data without paired training data with labels. IEEE Geosci. Remote Sens. Lett. 2022, 19, 1–5. [Google Scholar] [CrossRef]
  37. Lehtinen, J.; Munkberg, J.; Hasselgren, J.; Laine, S.; Karras, T.; Aittala, M.; Aila, T. Noise2Noise: Learning image restoration without clean data. In Proceedings of the 35th International Conference on Machine Learning, Stockholmsmässan, Stockholm, Sweden, 10–15 July 2018; pp. 2965–2974. [Google Scholar]
  38. Wang, H.; Zhang, J. A deep learning framework for suppressing prestack seismic random noise without noise-free labels. Energy Geosci. 2024, 5, 100297. [Google Scholar] [CrossRef]
  39. Wang, D.; Chen, G.; Chen, J.; Cheng, Q. Seismic data denoising using a self-supervised deep learning network. Math. Geosci. 2024, 56, 487–510. [Google Scholar] [CrossRef]
  40. Huang, T.; Li, S.; Jia, X.; Lu, H.; Liu, J. Neighbor2Neighbor: A self-supervised framework for deep image denoising. In Proceedings of the IEEE/CVF Conference on Computer Vision and Pattern Recognition (CVPR), Nashville, TN, USA, 19–25 June 2021; pp. 14781–14790. [Google Scholar]
  41. Batson, J.; Royer, L. Noise2Self: Blind Denoising by Self-Supervision. In Proceedings of the 36th International Conference on Machine Learning, Long Beach, CA, USA, 9–15 June 2019; pp. 524–533. [Google Scholar]
  42. Gonzalez, R.; Woods, R. Digital Image Processing, 3rd ed.; Prentice Hall: Upper Saddle River, NJ, USA, 2008; pp. 205–225. [Google Scholar]
  43. Ledig, C.; Theis, L.; Huszár, F.; Caballero, J.; Cunningham, A.; Acosta, A.; Aitken, A.; Tejani, A.; Totz, J.; Wang, Z.; et al. Photo-realistic single image super-resolution using a generative adversarial network. In Proceedings of the IEEE Conference on Computer Vision and Pattern Recognition (CVPR), Honolulu, HI, USA, 21–26 July 2017; pp. 105–114. [Google Scholar]
Figure 1. (a) Dimensions of independent features; (b) independent features.
Figure 1. (a) Dimensions of independent features; (b) independent features.
Applsci 14 09721 g001
Figure 2. FCN3 topology.
Figure 2. FCN3 topology.
Applsci 14 09721 g002
Figure 3. FCN9 topology.
Figure 3. FCN9 topology.
Applsci 14 09721 g003
Figure 4. SRGAN generator network adapted from [43].
Figure 4. SRGAN generator network adapted from [43].
Applsci 14 09721 g004
Figure 5. Shot gather records (Noise 2).
Figure 5. Shot gather records (Noise 2).
Applsci 14 09721 g005
Figure 6. N2S Results: (a) Prediction using FCN3 topology; (b) comparison between removed noise and data predicted with FCN3; (c) prediction using FCN9 topology; (d) comparison of removed noise and data predicted with FCN9; (e) prediction using SRGAN generator topology; (f) comparison between removed noise and data predicted with the SRGAN generator.
Figure 6. N2S Results: (a) Prediction using FCN3 topology; (b) comparison between removed noise and data predicted with FCN3; (c) prediction using FCN9 topology; (d) comparison of removed noise and data predicted with FCN9; (e) prediction using SRGAN generator topology; (f) comparison between removed noise and data predicted with the SRGAN generator.
Applsci 14 09721 g006
Figure 7. Comparison of synthetic data utilizing Noise 2: (a) raw data; (b) noise-reduced data from N2S; (c) noise-reduced data from N2N; and (d) noise-reduced data from the supervised method.
Figure 7. Comparison of synthetic data utilizing Noise 2: (a) raw data; (b) noise-reduced data from N2S; (c) noise-reduced data from N2N; and (d) noise-reduced data from the supervised method.
Applsci 14 09721 g007
Figure 8. Average PSNR performance over 100 shots across epochs with FCN3 and SRGAN generator topologies—Noise 2.
Figure 8. Average PSNR performance over 100 shots across epochs with FCN3 and SRGAN generator topologies—Noise 2.
Applsci 14 09721 g008
Figure 9. Shot gather records (real noise).
Figure 9. Shot gather records (real noise).
Applsci 14 09721 g009
Figure 10. (a) Supervised: prediction using FCN3 topology; (b) supervised: comparison between removed noise and data predicted with FCN3; (c) N2S: prediction using FCN3 topology; (d) N2S: comparison between removed noise and data predicted with FCN3; (e) supervised: prediction using SRGAN generator topology; (f) supervised: comparison between removed noise and data predicted with the SRGAN generator; (g) N2S: prediction using the SRGAN generator topology; (h) N2S: comparison between removed noise and data predicted with the SRGAN generator.
Figure 10. (a) Supervised: prediction using FCN3 topology; (b) supervised: comparison between removed noise and data predicted with FCN3; (c) N2S: prediction using FCN3 topology; (d) N2S: comparison between removed noise and data predicted with FCN3; (e) supervised: prediction using SRGAN generator topology; (f) supervised: comparison between removed noise and data predicted with the SRGAN generator; (g) N2S: prediction using the SRGAN generator topology; (h) N2S: comparison between removed noise and data predicted with the SRGAN generator.
Applsci 14 09721 g010
Table 1. Average PSNR Values Analysis for Seismic N2S with 100 Shots.
Table 1. Average PSNR Values Analysis for Seismic N2S with 100 Shots.
FCN3FCN9SRGAN—Generator
Noise 152.79 ± 0.7353.03 ± 1.3352.23 ± 0.61
Noise 255.68 ± 0.9255.28 ± 1.6755.62 ± 0.75
Noise 558.64 ± 1.3056.90 ± 1.7056.55 ± 2.25
Table 2. Process time for N2S Method—1000 iterations.
Table 2. Process time for N2S Method—1000 iterations.
TopologyTime (min)
FCN314.50
FCN975.87
SRGAN—Generator22.38
Table 3. P S N R —Seismic N2N and supervised methods (100 shots).
Table 3. P S N R —Seismic N2N and supervised methods (100 shots).
MethodModelNoise 1Noise 2Noise 5
N2NFCN3 57.18 ± 1.02 61.56 ± 1.22 66.30 ± 1.38
FCN9 59.41 ± 1.74 63.22 ± 2.01 67.24 ± 1.78
SRGAN—Generator 58.15 ± 1.15 62.32 ± 1.49 67.39 ± 1.71
SupervisedFCN3 58.00 ± 1.11 62.04 ± 1.42 67.28 ± 1.68
FCN9 60.03 ± 2.20 64.14 ± 2.72 69.17 ± 2.76
SRGAN—Generator 58.99 ± 1.49 63.01 ± 1.89 68.28 ± 2.18
Table 4. Average  P S N R : synthetic seismic data with real noise added (100 shots).
Table 4. Average  P S N R : synthetic seismic data with real noise added (100 shots).
TopologyN2SSupervised
FCN3 56.06 ± 0.74 81.32 ± 1.97
SRGAN—Generator 47.47 ± 0.78 78.61 ± 1.83
Disclaimer/Publisher’s Note: The statements, opinions and data contained in all publications are solely those of the individual author(s) and contributor(s) and not of MDPI and/or the editor(s). MDPI and/or the editor(s) disclaim responsibility for any injury to people or property resulting from any ideas, methods, instructions or products referred to in the content.

Share and Cite

MDPI and ACS Style

Pereira Pinheiro, C.d.N.; Sardinha, R.d.L.; Barros, P.M.; Bulcão, A.; Costa, B.V.; Evsukoff, A.G. A Self-Supervised One-Shot Learning Approach for Seismic Noise Reduction. Appl. Sci. 2024, 14, 9721. https://doi.org/10.3390/app14219721

AMA Style

Pereira Pinheiro CdN, Sardinha RdL, Barros PM, Bulcão A, Costa BV, Evsukoff AG. A Self-Supervised One-Shot Learning Approach for Seismic Noise Reduction. Applied Sciences. 2024; 14(21):9721. https://doi.org/10.3390/app14219721

Chicago/Turabian Style

Pereira Pinheiro, Catarina de Nazaré, Roosevelt de Lima Sardinha, Pablo Machado Barros, André Bulcão, Bruno Vieira Costa, and Alexandre Gonçalves Evsukoff. 2024. "A Self-Supervised One-Shot Learning Approach for Seismic Noise Reduction" Applied Sciences 14, no. 21: 9721. https://doi.org/10.3390/app14219721

APA Style

Pereira Pinheiro, C. d. N., Sardinha, R. d. L., Barros, P. M., Bulcão, A., Costa, B. V., & Evsukoff, A. G. (2024). A Self-Supervised One-Shot Learning Approach for Seismic Noise Reduction. Applied Sciences, 14(21), 9721. https://doi.org/10.3390/app14219721

Note that from the first issue of 2016, this journal uses article numbers instead of page numbers. See further details here.

Article Metrics

Back to TopTop