Rock Slope Instability Mechanism Induced by Repeated Mining in Mountain Mining Areas
Abstract
1. Introduction
2. The Background of the Landslide
2.1. Overview of the Landslide
2.2. Engineering Geological Condition
2.2.1. Stratigraphic and Lithologic Structure
2.2.2. Geological Structure
2.3. The Underground Mine
3. The Model Test of the Collapse
3.1. Model Design
3.2. The Displacement Induced by the Mining
3.2.1. The Displacement Induced by the Mining of the Upper Coal Seam
3.2.2. The Displacement Induced by the Mining of the Lower Coal Seam
4. Numerical Simulation Analysis of the Collapse
4.1. Scheme of Numerical Simulation
4.1.1. The Numerical Model
4.1.2. Excavation and Monitoring
4.2. Analysis of the Failure Process
4.2.1. The Mining of the Upper Coal Seam
4.2.2. The Mining of the Lower Coal Seam
4.3. Slope Deformation Induced by Mining
4.3.1. The Displacement Characteristic of the Slope
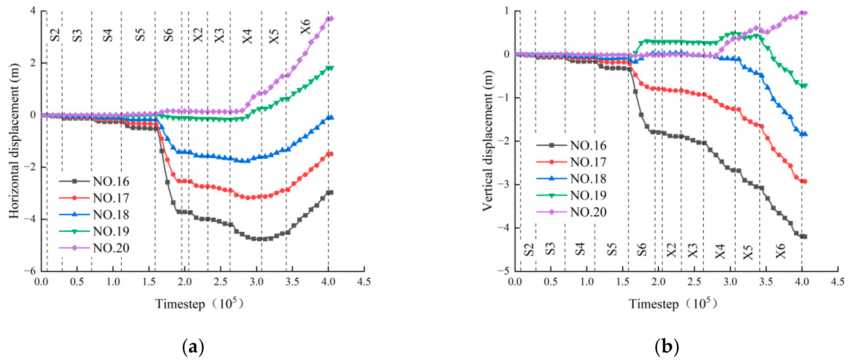
4.3.2. The Displacement Characteristic of the Measuring Point
5. Slope Instability Slip Mechanism
6. Conclusions
- (1)
- During the repeated mining process, the joint rock mass at the top of the mountain will be broken by the mining of the upper coal seam. The rock mass topples to the inside of slope first. Then, the outward displacement of the slope will be caused by the mining of the lower coal seam. The potential slip zone will be formed.
- (2)
- The immediate rock caving and strata subsidence will be caused by the mining. When the mining-induced crack connects with natural fissures, the rock mass at the foot of the slope has to support the overlying rock mass, which is also squeezed by the collapsed rock mass. Hence, shear cracking can be caused at the foot of the slope.
- (3)
- The instability evolution of the slope under underground repeated mining disturbance can be divided into four stages as follows: roof caving and overlaying rock subsidence, joint rock toppling, fracture penetration, and slope toe shearing and slope slipping.
Author Contributions
Funding
Institutional Review Board Statement
Informed Consent Statement
Data Availability Statement
Acknowledgments
Conflicts of Interest
References
- Takashi, S.; Hiroshi, T.; Hideki, S.; Jiro, O.; Akihiro, H.; Kikuo, M. Surface subsidence due to underground mining operation under weak geological condition in Indonesia. J. Rock Mech. Geotech. Eng. 2015, 7, 337–344. [Google Scholar]
- Chi, S.; Yu, X.; Wang, L. Method of predicting dynamic deformation of mining areas based on synthetic aperture radar I interferometry (InSAR) time series Boltzmann function. Appl. Sci. 2024, 14, 7917. [Google Scholar] [CrossRef]
- Chen, L.; Yu, X.; Luo, R.; Zeng, L.; Cao, H. High steep rock slope instability mechanism induced by the pillar deterioration in the mountain mining area. Mathematics 2023, 11, 1889. [Google Scholar] [CrossRef]
- Zhong, Z.; Xu, Y.; Wang, N.; Liu, X.; Gao, G. Environmental characteristics and unified failure mode classification system for mining landslides in the Karst mountainous areas of southwestern China. Carbonates Evaporites 2023, 38, 2. [Google Scholar] [CrossRef]
- Qiu, Y.; Shang, Y. Analysis of progressive failure mechanism of loose slope under seismic load. J. China Foreign Highw. 2022, 42, 15–21. [Google Scholar]
- Fernández, P.; Granda, G.; Krzemień, A.; Cortés, S.; Valverde, G. Subsidence versus natural landslides when dealing with property damage liabilities in underground coal mines. Int. J. Rock Mech. Min. Sci. 2020, 126, 104175. [Google Scholar]
- Chen, J.; Tong, J.; Rui, Y.; Cui, Y.; Pu, Y.; Du, J.; Apel, D.B. Step-path failure mechanism and stability analysis of water-bearing rock slopes based on particle flow simulation. Theor. Appl. Fract. Mech. 2024, 131, 104370. [Google Scholar]
- Fan, X.; Xu, Q.; Scaringi, G.; Zheng, G.; Huang, R.; Dai, L.; Ju, Y. The “long” runout rock avalanche in Pusa, China, on august 28, 2017: A preliminary report. Landslides 2019, 16, 139–154. [Google Scholar] [CrossRef]
- Esterhuizen, G.S.; Tyrna, P.L.; Murphy, M.M. A case study of the collapse of slender pillars affected by through-going discontinuities at a limestone mine in Pennsylvania. Rock Mech. Rock Eng. 2019, 52, 4941–4952. [Google Scholar]
- Reed, M.; Steve, K. Peripheral gully and landslide erosion on an extreme anthropogenic landscape produced by mountaintop removal coal mining. Earth Surf. Process. Landf. 2020, 45, 2078–2090. [Google Scholar]
- Luo, R.; Li, G.Y.; Chen, L.; Yang, Q.Y.; Zang, C.W.; Cao, W.Z. Ground subsidence induced by pillar deterioration in abandoned mine districts. J. Cent. South Univ. 2020, 27, 2160–2172. [Google Scholar]
- Yang, C.; Shi, W.; Peng, X.; Zhang, S.; Wang, X. Numerical simulation of layered anti-inclined mining slopes based on different free face characteristics. Bull. Eng. Geol. Environ. 2022, 81, 359. [Google Scholar]
- Li, Z.F.; Zhang, Y.J.; Huang, J.X.; Luo, Z.M. Stability analysis of karst subgrade roof considering spatial form of the Karst cave. Highw. Automot. Appl. 2023, 216, 66–72. [Google Scholar]
- Salmi, E.; Nazem, M.; Karakus, M. Numerical analysis of a large landslide induced by coal mining subsidence. Eng. Geol. 2017, 217, 141–152. [Google Scholar]
- Arca, D.; Kutoğlu, H.; Becek, K. Landslide susceptibility mapping in an area of underground mining using the multicriteria decision analysis method. Environ. Monit. Assess. 2018, 190, 725. [Google Scholar]
- Cui, F.; Xiong, C.; Wu, Q.; Li, B.; Luo, W.; Pei, Y.Q. Dynamic mechanism triggering an underground-mining induced landslide in karst mountains, Southwest China. Bull. Eng. Geol. Environ. 2023, 82, 449. [Google Scholar]
- Yang, D.; Qiu, H.; Ma, S.; Liu, Z.; Du, C.; Zhu, Y.; Cao, M. Slow surface subsidence and its impact on shallow loess landslides in a coal mining area. Catena 2022, 209, 0341–8162. [Google Scholar]
- Lai, Q.; Zhao, J.; Shi, B.; Liu, H.; Ji, L.; Li, Q.; Huang, R. Deformation evolution of landslides induced by coal mining in mountainous areas case study of the Madaling landslide, Guizhou, China. Landslides 2023, 20, 2003–2016. [Google Scholar]
- Liu, F.; Yang, Z.; Deng, W.; Yang, T.; Zhou, J.; Yu, Q.; Mao, Y. Rock landslide early warning system combining slope stability analysis, two-stage monitoring, and case-based reasoning a case study. Bull. Eng. Geol. Environ. 2021, 80, 8433–8451. [Google Scholar]
- Zhong, J.; Mao, Z.; Ni, W.; Zhang, J.; Liu, G.; Zhang, J.; Geng, M. Analysis of formation mechanism of slightly inclined bedding mudstone landslide in coal mining subsidence area based on finite–discrete element method. Mathematics 2022, 10, 3995. [Google Scholar] [CrossRef]
- Dhahri, F.; Benassi, R.; Mhamdi, A.; Zeyeni, K.; Boukadi, N. Structural and geomorphological controls of the present-day landslide in the Moulares phosphate mines (western-central Tunisia). Bull. Eng. Geol. Environ. 2016, 75, 1459–1468. [Google Scholar] [CrossRef]
- Rui, Y.; Chen, J.; Chen, J.; Qiu, J.; Zhou, Z.; Wang, W.; Fan, J. A robust triaxial localization method of AE source using refraction path. Int. J. Min. Sci. Technol. 2024, 34, 521–530. [Google Scholar] [CrossRef]
- Li, H.J.; Dong, J.H.; Zhu, Y.Q.; Zou, Y.X.; Ding, H. Characteristics and genesis mechanism of Jianshanying landslide in Faer coal mine, Guizhou province. Sci. Technol. Eng. 2019, 19, 345–351. [Google Scholar]
- Zhao, Q.; Yang, Z.; Jiang, Y.; Liu, X.; Cui, F.; Li, B. Discrete element analysis of deformation features of slope controlled by Karst fissures under the mining effect: A case study of Pusa landslide, China. Geomat. Nat. Hazards Risk 2023, 14, 1–35. [Google Scholar]
- Stephen, H.; Valery, V.; Richard, G.; Philippe, C. Behavior in mixed-mode of desiccation cracks on a clayey rock front gallery. Int. J. Rock Mech. Min. Sci. 2022, 154, 105104. [Google Scholar]
- Chen, L.; Zhou, Z.; Zang, C.; Zeng, L.; Zhao, Y. Failure pattern of large-scale goaf collapse and a controlled roof caving method used in gypsum mine. Geomech. Eng. 2019, 18, 449–457. [Google Scholar]
- Zhu, W.; Chen, L.; Zhou, Z.; Shen, B.; Xu, Y. Failure propagation of pillars and roof in a room and pillar mine induced by longwall mining in the lower seam. Rock Mech. Rock Eng. 2019, 52, 1193–1209. [Google Scholar]
- Zhao, Y.; Zhao, G.; Zhou, J.; Ma, J.; Cai, X. Failure mechanism analysis of rock in particle discrete element method simulation based on moment tensors. Comput. Geotech. 2021, 136, 104215. [Google Scholar]
- Zhong, H.; Liang, C.; Chen, L.; Gao, S. Characteristics of large deformation and prevention methods for shallow buried large span tunnels. J. Transp. Sci. Eng. 2024, 40, 71–78. [Google Scholar]
- Potyondya, D.; Cundall, P. A bonded-particle model for rock. Int. J. Rock Mech. Min. Sci. 2004, 41, 1329–1364. [Google Scholar] [CrossRef]
- Zhou, Z.; Chen, L.; Zhao, Y.; Zhao, T.; Cai, X.; Du, X. Experimental and numerical investigation on the bearing and failure mechanism of multiple pillars under overburden. Rock Mech. Rock Eng. 2017, 50, 995–1010. [Google Scholar] [CrossRef]




















| Lithology | Density/(g/cm3) | Strength/MPa | Young’s Modulus/GPa |
|---|---|---|---|
| Limestone | 2.67~2.72 | 57.6~85.6 | 9.51~36.7 |
| Marl | 2.62~2.69 | 43.3~64 | 6.47~30 |
| Silty mudstone | 2.54~2.65 | 33.9~56.2 | 5.18~14 |
| Coal | 1.3~1.4 | 4.65~20 | 0.76~3.5 |
| Muddy siltstone | 2.58~2.66 | 22.4~47.5 | 2.15~12 |
| Lithology | Mixture Composition | Strength (MPa) | Young’s Modulus (MPa) | ||||
|---|---|---|---|---|---|---|---|
| Sand (kg) | Barite Powder (kg) | CaCO3 (kg) | Gypsum (kg) | Water (kg) | |||
| Limestone | 22.91 | 9.82 | 0.16 | 1.47 | 3.82 | 0.227 | 29.6 |
| Marl | 11.50 | 4.93 | 0.33 | 0.49 | 1.92 | 0.165 | 20 |
| Silty mudstone | 12.81 | 3.20 | 0.40 | 0.40 | 1.33 | 0.157 | 15.4 |
| Muddy siltstone | 54.36 | 6.04 | 1.81 | 1.21 | 3.02 | 0.115 | 6.6 |
| Coal seam | 2.82 | 0.31 | 3.14 | 0.00 | 1.15 | 0.014 | 2.4 |
| Parameter | Limestone | Marl | Silty Mudstone | Coal Seam | Muddy Siltstone |
|---|---|---|---|---|---|
| Porosity (%) | 0.1 | 0.1 | 0.1 | 0.1 | 0.1 |
| Particle density (kg/m3) | 2700 | 2650 | 2600 | 1350 | 2560 |
| Effective modulus/GPa | 10 | 8 | 7 | 1.84 | 5.6 |
| Bond normal-to-shear stiffness Ratio () | 1 | 1 | 1 | 1 | 1 |
| Bond effective modulus/GPa | 10 | 7 | 5 | 1.84 | 4.6 |
| Bond tensile strength/MPa | 15 | 12.5 | 10.2 | 3.15 | 8 |
| Bond cohesion/MPa | 25 | 18.1 | 15.4 | 5.53 | 14.45 |
| Bond friction angle/° | 38 | 35 | 33.8 | 18 | 30.1 |
Disclaimer/Publisher’s Note: The statements, opinions and data contained in all publications are solely those of the individual author(s) and contributor(s) and not of MDPI and/or the editor(s). MDPI and/or the editor(s) disclaim responsibility for any injury to people or property resulting from any ideas, methods, instructions or products referred to in the content. |
© 2024 by the authors. Licensee MDPI, Basel, Switzerland. This article is an open access article distributed under the terms and conditions of the Creative Commons Attribution (CC BY) license (https://creativecommons.org/licenses/by/4.0/).
Share and Cite
Luo, R.; Li, G.; Chen, L.; Zeng, L.; Pei, K.; Yu, X. Rock Slope Instability Mechanism Induced by Repeated Mining in Mountain Mining Areas. Appl. Sci. 2024, 14, 9634. https://doi.org/10.3390/app14219634
Luo R, Li G, Chen L, Zeng L, Pei K, Yu X. Rock Slope Instability Mechanism Induced by Repeated Mining in Mountain Mining Areas. Applied Sciences. 2024; 14(21):9634. https://doi.org/10.3390/app14219634
Chicago/Turabian StyleLuo, Rong, Guangyue Li, Lu Chen, Ling Zeng, Ke Pei, and Xiangxi Yu. 2024. "Rock Slope Instability Mechanism Induced by Repeated Mining in Mountain Mining Areas" Applied Sciences 14, no. 21: 9634. https://doi.org/10.3390/app14219634
APA StyleLuo, R., Li, G., Chen, L., Zeng, L., Pei, K., & Yu, X. (2024). Rock Slope Instability Mechanism Induced by Repeated Mining in Mountain Mining Areas. Applied Sciences, 14(21), 9634. https://doi.org/10.3390/app14219634

