Abstract
Kiwifruit, as a climacteric fruit, undergoes rapid ripening and senescence after harvest, making it highly susceptible to softening, rotting, and spoilage. Therefore, monitoring the key quality parameters of kiwifruit, particularly the accurate detection of soluble solids content (SSC), is considered crucial. The performance of two spectral acquisition methods—diffuse reflectance and diffuse transmission—in detecting SSC in kiwifruit was compared. Various preprocessing methods and feature wavelength selection techniques were employed, and regression models were constructed using partial least squares (PLS) analysis. The stability and accuracy of the models were validated through an independent validation set. The results indicated that the spectral data acquired by the diffuse reflectance method, preprocessed using Savitzky–Golay smoothing and combined with competitive adaptive reweighted sampling (CARS), yielded a coefficient of determination (R2) of 0.98 for the prediction set, with a root-mean-square error (RMSE) of 0.66. In contrast, the spectral data obtained by the diffuse transmission method, preprocessed using multiplicative scatter correction and combined with CARS, achieved an R2 of 0.95 and an RMSE of 0.93 for the prediction set. This study demonstrated that both methods were effective for detecting SSC in kiwifruit, with the diffuse reflectance method showing the greater advantage.
1. Introduction
Kiwifruit, known for its tasty, juicy, and sweet-tart flavor, has often been named the “Vitamin C King” and “King of Fruits”, enjoying global popularity [1]. The soluble solid content (SSC) serves as a crucial indicator for assessing kiwifruit quality, influencing taste, acceptability, and market price, and is used to determine its ripeness and optimal harvest time [2]. SSC has been employed in quality assessment and grading to determine the quality level of kiwifruit, impacting pricing and distribution strategies [3]. Therefore, the rapid and non-destructive detection of SSC is vital for guiding harvesting, storage, and processing.
Traditional SSC measurement involves extracting fruit juice and determining its refractive index with a refractometer [4]. Although straightforward, this approach is time-consuming, destructive to the samples, and requires significant manual handling. Moreover, the refractometer cannot directly assess solid samples, necessitating juice extraction for each measurement. Additionally, the need to clean the instrument after each use prolongs the process and increases the likelihood of human error. In recent years, non-destructive detection technologies, such as machine vision [5], spectral analysis [6], and electronic nose technology [7], have been widely used in food and agricultural product testing. Machine vision can only reflect the appearance information of the sample and is suitable for coarse grading. The electronic nose system, which uses sensors and algorithms for detection, is expensive and large, limiting its on-site application. Spectral analysis, which can generally collect surface layer (10–20 mm) spectra of samples to obtain chemical composition, offers rapid, accurate, non-destructive, portable, and cost-effective advantages and has been extensively used for agricultural product quality detection [8]. Compared with refractometers, machine vision, spectroscopy, and electronic nose technologies offer distinct advantages for non-destructive testing. Machine vision excels at detecting external appearance, while spectroscopy provides rapid, accurate, and non-invasive measurements of surface spectral information to estimate SSC and other quality parameters. The electronic nose is highly sensitive to volatile compounds, though its high cost and large size limit its field applications. These advanced technologies address the refractometer limitations of being time-consuming, destructive to samples, and labor-intensive.
Near-infrared (NIR) spectroscopy enables non-destructive quality assessment by measuring the absorption characteristics of the chemical components within samples [9]. Modern portable spectrometers are lightweight, easy to operate, and feature real-time data transmission and cloud processing capabilities, which can make agricultural testing more efficient and precise, reduce waste, and ensure high-quality fruit for consumers. In recent years, many scholars have conducted extensive research on the quality indicators of kiwifruit, including SSC [10], firmness [11], dry matter [12], titratable acid [13], and starch content [14]. Furthermore, the research on the spectra acquisition conditions of kiwifruit has also deepened, such as the influence of different origins [15], temperatures [16], maturities [17], and storage methods [18]. Additionally, research on data processing algorithms has also progressed, such as various preprocessing methods [19], effective wavelength selection methods [20], and neural network-based analysis techniques [21].
However, research on the effect on spectral acquisition methods of SSC evaluation for kiwifruit has been limited. When NIR light interacts with biological tissue, it can be absorbed, reflected, or transmitted, with its behavior closely related to the chemical composition and physical structure of the samples [22]. NIR spectroscopy can reveal the physical structure and chemical information of the sample, such as the distribution of water, fat, and proteins. The intensity and wavelength changes in reflected and transmitted light can also provide information about the superficial characteristics and internal structure of the sample. When using diffuse reflection and diffuse transmission methods for spectral acquisition, the mechanisms of light interaction with the sample differ, leading to variations in sensitivity and accuracy in capturing and reflecting sample characteristics, which can result in differing final detection outcomes. Diffuse reflectance spectroscopy is well-suited to the rough surface of fruits, providing uniform light scattering information and making it ideal for non-destructive testing. However, its penetration depth is shallow, primarily reflecting surface characteristics. In contrast, diffuse transmittance spectroscopy can penetrate deeper into the fruit, detecting internal features such as moisture and sugar content. Nevertheless, its light penetration efficiency is limited by the fruit thickness and color.
P.N. Schaare [23] compared reflectance, interactance, and transmittance in visible–NIR (Vis/NIR) spectroscopy for predicting the internal quality of yellow-fleshed kiwifruit. The results indicated that NIR spectroscopy is an effective tool for the rapid, non-destructive assessment of internal fruit quality, with the interactance mode outperforming the other two. Reflectance is suitable for surface detection but requires a smooth surface, while transmittance is limited in thicker or darker fruits. The interactance mode captures both surface and partial internal information, making it ideal for rapid online detection, though it is less precise than diffuse reflectance and diffuse transmittance. This study aimed to investigate the impact of diffuse reflection and diffuse transmission spectral acquisition methods on the accuracy of kiwifruit SSC prediction. Optimal prediction models were built using different preprocessing methods and effective wavelength selection approaches, and the acquisition method providing better prediction performance was evaluated. By comparing these two different spectral acquisition methods, we aim to identify a superior approach for developing a portable device for predicting SSC in kiwifruit.
2. Materials and Methods
2.1. Samples
The experimental samples used in this study were freshly harvested ‘Xuxiang’ kiwifruits from a kiwifruit base in Meixian, Baoji, Shaanxi Province. Immediately after harvest, samples were transported to the laboratory, where they were stored in sealed polyethylene bags in a refrigerator at 4 °C. Before each experiment, samples of similar size and free from surface damage or scars were selected and taken out of the refrigerator. Then, samples were wiped with aseptic papers to remove any surface contaminants, sequentially numbered, and left to preserve in the laboratory for 24 h to minimize experimental interference caused by temperature differences. After the spectral data were collected, the SSC of the samples was measured by a digital refractometer (Product model: DFT-F10V55H23, Shenzhen flow number technology Co., Ltd., Shenzhen, China). During the experiments, the ambient temperature of the laboratory was maintained at (22 ± 1) °C.
2.2. Spectral Acquisition
The diffuse transmittance spectral collection device used in this study was a self-developed portable SSC detector. The principle diagram of the device is shown in Figure 1a, and the physical photo is shown in Figure 1c. An STM32 microprocessor was employed as core controller. The peripheral circuits included a spectrometer driving circuit, a halogen lamp driving circuit, a power management circuit, and communication interface circuits. The light source played a crucial role in obtaining stable spectra with the device. A halogen lamp with a power rating of only 1.5 W (997418, Welch Allyn, Skaneateles Falls, NY, USA) was selected for compatibility with the detector.
Figure 1.
Diffuse transmittance spectroscopy acquisition device.
This portable device featured a miniaturized, low-cost, and specialized design. It employed a miniature spectrometer (C11708MA, Hamamatsu, Japan) with a wavelength range of 640–1050 nm. During the detection process, the device was equipped with an OLED display to show real-time predictions of SSC content. The device was powered by a rechargeable lithium battery with a capacity of 6000 mA·h, supporting continuous operation for approximately 3 h. Each spectral data acquisition took less than 2 s.
This device was not only used for collecting the spectra of kiwifruits but also for other similarly sized fruits with about 1.3 mm of thin peel. Compared with other laboratory-based spectral collection systems, this device offered significant advantages in terms of being lightweight, compact, and low-cost, which made it highly applicable for internal quality detection in fruit during the ripening period. Using this device, fruit production management became more efficient, growth trends were monitored, fertilization was guided, and rough grading on production lines was performed. It ensured the production of high-quality fruits, thereby enhancing their market competitiveness. To conduct the detection with the device, it was turned on and allowed to preheat for 5 min. Next, a polytetrafluoroethylene white reference board was placed over the probe, and the reference spectrum was collected to calibrate the device. For spectral collection, each kiwifruit was positioned at the equatorial positions and rotated to capture spectra at three distinct equatorial locations, as shown in Figure 1b. After obtaining the spectra from these three positions, the average spectrum was computed to represent the final spectrum for each kiwifruit. This method ensured that the spectral data collected were accurate and representative of the entire fruit.
As shown in Figure 2, the diffuse reflectance spectra collection device was used. The diffuse reflectance spectra were primarily collected using a USB2000+ spectrometer (Ocean optics Inc., Dunedin, FL, USA) with a wavelength range of 300–1100 nm. For the spectral collection of kiwifruit using the diffuse reflectance method, the following steps were performed:
- (1)
- Device preparation: The device was turned on and preheated for 5 min. This step was crucial for stabilizing both the light source and the detector.
- (2)
- Reference spectrum collection: The white reference spectrum was collected using the standard reflectance white board, and simultaneously, the dark spectrum was captured by covering the detection fiber with the black cap. These reference spectra were used for subsequent spectral calibration, ensuring that the collected data were accurate and consistent.
- (3)
- Sample spectrum collection: The kiwifruit was positioned at the detection location, and spectral collection was performed at its equatorial region. To obtain comprehensive and accurate data, spectra were captured at various equatorial positions of the kiwifruit, and these locations were marked for subsequent SSC measurement.
Figure 2.
Diffuse reflectance spectra collection device.
All spectral collection experiments were conducted in a dark environment to avoid interference from ambient light [24]. The dark environment ensured the accuracy and reliability of the spectral data, minimizing external disturbances and enhancing the reproducibility and comparability of the results. This controlled condition provided a solid foundation for subsequent data analysis and research.
2.3. Spectral Correction
During the spectral collection process, the spectra acquired may contain noise due to uncertainties in the instrument and the environment. Therefore, it is necessary to perform calibration on the collected spectra to ensure data accuracy and reliability. To calibrate the diffuse transmittance spectra () and diffuse reflectance spectra (), the following calibration formulas are used.
Diffuse transmittance spectrum calibration ():
where is the calibrated diffuse transmittance spectrum; is the raw diffuse transmittance spectrum; and is the white reference spectrum (collected using the standard reflectance white board).
Diffuse reflectance spectrum calibration ():
where is the calibrated diffuse reflectance spectrum; is the raw diffuse reflectance spectrum; is the dark spectrum (collected with the detection fiber covered); and is the white reference spectrum (collected using the standard reflectance white board).
By using the above calibration formulas, noise introduced by instrument and environmental factors was effectively eliminated, thereby improving the quality and accuracy of the spectral data.
2.4. Soluble Solids Content Measurement
After completing the spectral collection, the next steps involved processing the kiwifruit samples to measure their sugar content. First, the area of the kiwifruit where the spectral data were collected was peeled, and approximately 8 to 10 g of fruit flesh was extracted for juicing. The extracted juice was then analyzed using a digital refractometer (Model PR-101α, Atago Co., Ltd., Tokyo, Japan) to determine its sugar content. The Atago PR-101α refractometer offers high-precision °Brix measurements, excellent portability, and suitability for both field and laboratory use. Its digital display allows for quick and easy result reading, making it widely used for SSC detection in the fruit and beverage industries. To ensure accuracy and reliability, each measurement was repeated three times at the same sample point, with the average of these measurements used as the actual SSC value for that point. All measurements were conducted at room temperature to minimize the impact of environmental factors on the results. This process ensured that the sugar content data were accurate and reliable, which is crucial for evaluating the SSC in kiwifruit.
2.5. Spectral Preprocessing
Spectral preprocessing played a crucial role in improving the quality of spectral data by eliminating various types of noise present in the raw spectra [25]. This noise included background information from the sample, noise from the spectrometer itself, and stray light from the surrounding environment. Such noise could interfere with the signal and reduce the accuracy and reliability of the spectra. By applying various preprocessing techniques, such as smoothing, normalization, and denoising, the spectral data were effectively processed to enhance signal quality and minimize the impact of noise on subsequent analyses. This preprocessing established a solid foundation for further spectral analysis, quantitative modeling, and chemometric analysis. High-quality preprocessing not only improved the accuracy of the analytical results but also enhanced the robustness of the model, making it more adaptable under different conditions.
2.6. Effective Wavelengths Selection
Effective wavelengths selection played a crucial role in reducing the dimensionality of spectral data by choosing only the wavelengths with significant and important features, thereby enhancing the efficiency and accuracy of the predictive model construction [26]. By selecting wavelengths that were highly correlated with the target characteristics, irrelevant information variables were eliminated, which helped to avoid overfitting and spectral overlap. This improved the generalization capability and stability of the predictive model.
Effective wavelength selection methods included Monte Carlo cross-validation (MC-UVE) [27], successive projections algorithm (SPA) [28], competitive adaptive reweighted sampling (CARS) [29], and random frog (RF) [30]. These methods were used to identify the wavelengths most relevant to the target characteristics from the full spectral range, thereby reducing data dimensionality and increasing model computational efficiency and predictive accuracy.
2.7. PLSR Modeling
Partial least squares regression (PLSR) is a modeling method used in visible and near-infrared spectral analysis, capable of handling the challenges of high dimensionality, collinearity, and noise in spectral data. By simultaneously decomposing the spectral matrix (X) and reference matrix (Y) into latent variables that maximize the covariance between the two, PLSR enhances model stability and prediction accuracy. Selecting the appropriate number of latent variables is crucial in the modeling process and is typically determined through cross-validation, such as 10-fold cross-validation, to minimize the root-mean-square error of cross-validation (RMSECV) and avoid overfitting or underfitting. Additionally, preprocessing methods such as smoothing and normalization can affect the model performance, requiring experimentation with different preprocessing techniques and latent variable combinations to optimize the model configuration. PLSR has demonstrated its effectiveness in handling complex spectral data, providing accurate and reliable prediction results. A comparison of diffuse transmission and reflection spectral analysis is presented in Figure 3.
Figure 3.
Comparison of diffuse transmission vs. reflection spectral analysis.
3. Results
3.1. Diffuse Transmission Spectroscopy Analysis
3.1.1. Overview of Transmittance Spectra
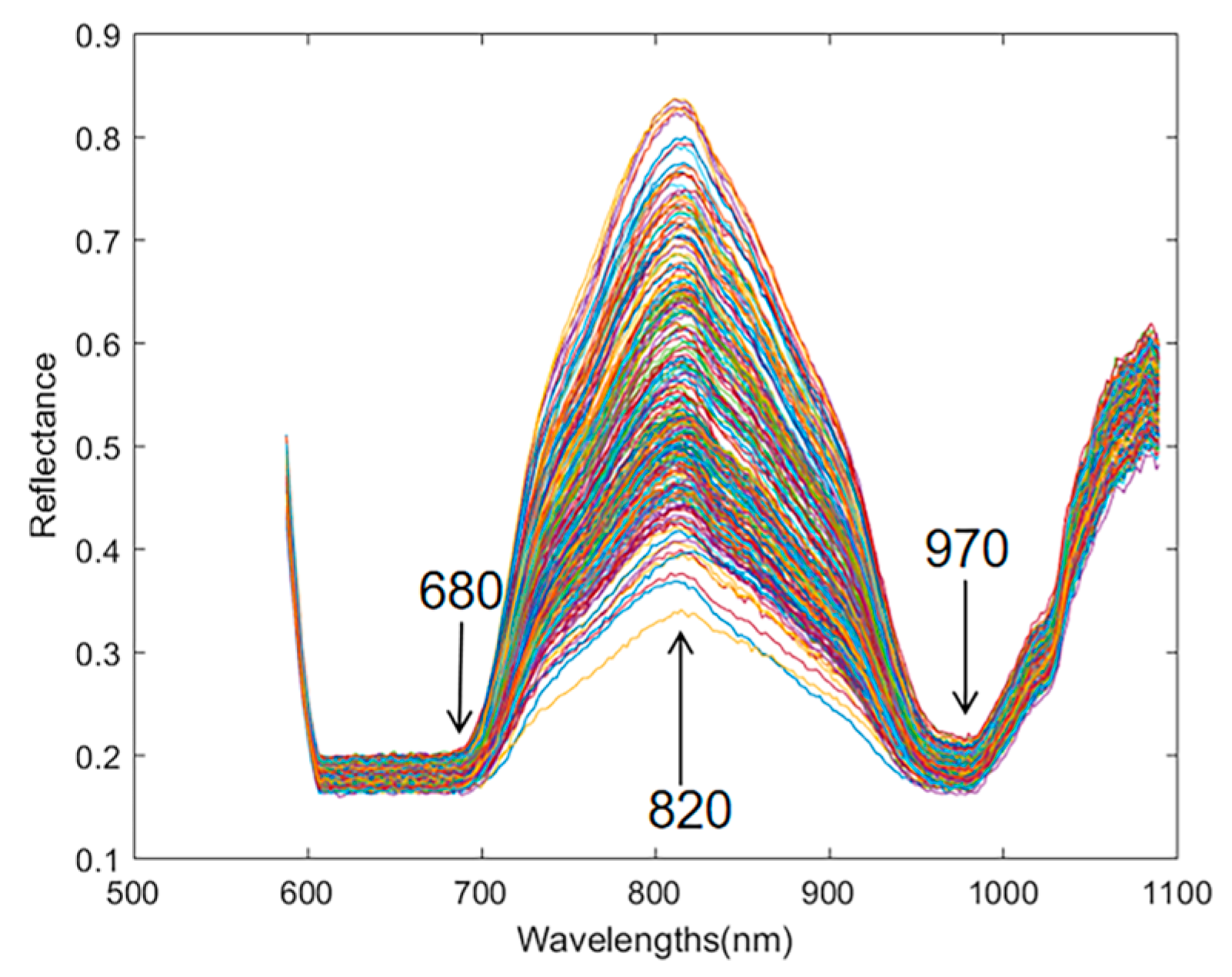
As illustrated in Figure 4, the diffuse transmittance raw spectra of the kiwifruit reveal three distinct absorption peaks at 680 nm, 820 nm, and 970 nm. The peak at 680 nm is likely attributed to the strong absorption of chlorophyll [31], while the peak at 970 nm is associated with the overtone absorption of O-H bonds [32], which are notably prevalent in water. The peak at 820 nm is probably related to the overtone absorption of N-H bonds [33]. Vis/NIR spectroscopy is highly sensitive to the concentrations of organic compounds, primarily responding to molecular bonds such as C-H and O-H. Since SSC in kiwifruit consists of organic molecules that include bonds such as C-H, O-H, C-O, and C-C [34], Vis/NIR spectroscopy can be effectively employed to determine the SSC content in kiwifruit.
Figure 4.
Diffuse transmittance raw spectra.
3.1.2. Monte Carlo (MC) Outlier Elimination in Transmittance Spectra
When conducting data analysis, removing outliers is essential to ensure the accuracy of model development. In this study, the MC outlier detection method was employed as a crucial step for this purpose. This method effectively identifies various types of outliers, including those in both (X) and (Y) datasets. MC outlier detection involves multiple rounds of random sampling and statistical analysis to pinpoint data points that significantly deviate from other samples. The method utilizes a large number of simulations to assess each data point performance, determining its status as an outlier based on the distribution of the mean and standard deviation. In this study, the MC outlier detection method was applied to the collected spectral data and SSC measurements. As illustrated in Figure 5, this approach identified samples with unusually high means and standard deviations as outliers. Consequently, the samples labeled 45, 74, 115, and 166 were removed based on the results of the outlier detection.
Figure 5.
Outliers in diffuse transmittance spectra.
As shown in Table 1, the analysis using the PLSR model demonstrates that the removal of outlier samples significantly improved the model performance. Specifically, after removing outliers, the coefficient of determination increased notably. Although there was a slight decrease in the for the calibration set from 0.95 to 0.96, the prediction set improved markedly. Additionally, the root-mean-square error (RMSE) decreased significantly. The calibration set RMSE increased marginally from 0.34 to 0.39, while the prediction set RMSE decreased from 0.87 to 0.79.
Table 1.
Evaluation of PLSR model metrics before and after removing outlier samples.
These changes indicated that outlier removal had effectively enhanced the model fit and predictive capabilities. The results underscored the importance and efficacy of outlier removal, as cleaning the dataset mitigated the interference from anomalies and rendered the model more accurate and reliable in both calibration and prediction. This improvement not only boosted the overall performance of the model but also strengthened its generalization ability to new data. The method of outlier removal was applicable not only to PLSR models but also to other regression analysis techniques. In practical applications, data cleaning and preprocessing to eliminate outliers could significantly enhance model performance and predictive accuracy. This process highlighted the critical role of data quality in the modeling process and demonstrated how appropriate data processing techniques could substantially optimize model outcomes.
3.1.3. Statistics of SSC in Transmittance Samples
The Kennard–Stone (K-S) algorithm is particularly beneficial in fields such as spectral analysis, where it markedly improves model performance and practical applicability by providing a more accurate and representative dataset for model training and evaluation. In this study, the K-S algorithm was employed for sample partitioning. The K-S algorithm selected representative samples with precision to ensure that both the calibration set and the prediction set comprehensively reflected the characteristics and distribution of the entire sample set. This approach enhanced the reliability and predictive capability of the model.
As shown in Table 2, the total sample set comprised 251 samples, with SSC ranging from a minimum of 5.00 °Brix to a maximum of 17.60 °Brix and an average SSC of 11.18 °Brix. The samples were partitioned into calibration and prediction sets at a 3:1 ratio. The calibration set included 188 samples, with SSC values ranging from 5.00 to 17.60 °Brix and an average SSC of 12.03 °Brix. The prediction set consisted of 63 samples, with SSC values ranging from 5.20 to 16.80 °Brix and an average SSC of 8.66 °Brix. This distribution ensures that both the calibration and prediction sets are representative of the overall sample set, providing a robust basis for model development and evaluation.
Table 2.
Statistics of kiwifruit SSC for establishing the diffuse transmittance PLSR model.
The distribution of samples in the calibration set, which includes those from the prediction set, contributes to the development of a robust predictive model. By employing the K-S algorithm for partitioning, the representativeness of both the calibration and prediction sets was ensured, thereby enhancing the model reliability and predictive capability. The K-S algorithm demonstrates significant advantages in fields such as spectral analysis, where it effectively improves both model performance and practical applicability.
3.1.4. Comparison of Preprocessing on Transmittance PLSR Model
This study employed a series of advanced spectral preprocessing methods to enhance modeling performance and analytical accuracy. The preprocessing methods utilized included normalization, smoothing, SNV, MSC, autoscaling, and centering. These steps are designed to effectively reduce noise and eliminate interfering signals, thereby extracting more meaningful features from the raw spectral data.
Normalization adjusts the intensity values of spectral data to a standard range, which helps eliminate differences in spectral intensity due to variations in sample thickness or concentration, thereby enhancing comparability between different samples. Smoothing, such as with the Savitzky–Golay (SG) filter, reduces noise in the spectral data while preserving the main trends and features of the signal, effectively mitigating the impact of random noise. SNV transformation standardizes each data point within every spectrum to reduce spectral variations caused by sample scattering, correcting for scattering effects due to differences in particle size and distribution. MSC compares and corrects the measured spectra against a reference spectrum to effectively eliminate scattering effects, which is particularly useful when significant variations exist between different spectra. Autoscaling standardizes spectral data so that each variable has the same variance, balancing the importance of different wavelength points and preventing any single wavelength from disproportionately influencing the results during modeling. Centering adjusts the average value of the spectral data to zero, eliminating baseline shifts between different spectra. This step is crucial for subsequent multivariate analysis and modeling, ensuring that all spectral data are compared on the same baseline.
The combined application of these preprocessing methods significantly enhances the quality of spectral data, providing a more reliable and accurate foundation for subsequent modeling and analysis. This integration not only improves the predictive performance of the model but also increases its stability and robustness, thereby making it better suited for practical problem-solving applications.
As shown in Table 3, the model using raw data also exhibited high values, and the performance of the PLSR models was significantly influenced by the different spectral preprocessing methods. Among these, MSC preprocessing demonstrated the best performance, with an R2 of 0.99 for the calibration set and 0.97 for the prediction set, as well as the lowest RMSEC (0.38 °Brix) and RMSEP (0.80 °Brix). Although normalization and SG preprocessing reduced the number of latent variables, their performance did not surpass that of MSC. Overall, MSC was identified as the most effective preprocessing method, improving both model fitting and prediction accuracy. The modeling effect after MSC preprocessing is shown in Figure 6.
Table 3.
Results of diffuse transmittance PLSR models using different preprocessing methods.
Figure 6.
Diffuse transmittance PLSR model established using MSC preprocessing.
3.1.5. Comparison of Wavelength Selection Methods on Transmittance PLSR Model
In this study, four methods were employed for spectral feature wavelength selection, to optimize model performance. These methods were CARS, SPA, MC-UVE, and RF.
CARS selects the most critical wavelengths for modeling through adaptive weighting and resampling techniques, reducing redundant features and improving the model accuracy and stability. SPA employs a stepwise projection approach to minimize correlations between variables, optimizing the feature set and enhancing the model interpretability. MC-UVE utilizes the Monte Carlo method, selecting the wavelengths that contribute the most to prediction through multiple random samplings and cross-validation, thereby improving the model accuracy and robustness. RF, inspired by swarm intelligence, randomly optimizes feature combinations and identifies the most informative wavelengths, enhancing the model predictive performance. By integrating these methods, this study aims to select the most representative spectral feature wavelengths, thereby enhancing both model prediction capability and interpretability. These feature selection techniques preserve the integrity of the information while eliminating redundant features in high-dimensional spectral data, thus optimizing modeling outcomes. The modeling effects of spectral feature wavelength selection using these four methods are shown in Figure 7.

Figure 7.
Diffuse transmittance PLSR model for kiwifruit physicochemical indices.
From the analysis of the data presented in Table 4, it is evident that different feature wavelength selection methods significantly impacted the model performance. Among these methods, CARS behaved as the most effective and notably enhanced both the calibration and prediction capabilities of the model through adaptive weighting of feature wavelengths. Specifically, CARS identified 63 feature wavelengths, achieving a coefficient of determination of 0.98 for the calibration set and 0.97 for the prediction set. The RMSE was 0.58 °Brix for the calibration set and 0.72 °Brix for the prediction set. These results indicated that CARS not only optimized feature selection but also substantially improved the overall performance of the model.
Table 4.
Results of diffuse transmittance PLSR models using different effective wavelength selections.
In comparison, although the SPA also selected 63 feature wavelengths, it achieved a coefficient of determination of 0.94 for the calibration set and 0.95 for the prediction set. However, SPA exhibited higher RMSEs of 1.02 °Brix and 1.03 °Brix, indicating limitations in prediction accuracy. The RF method also demonstrated strong performance with 70 feature wavelengths. The coefficients of determination for RF were 0.98 for the calibration set and 0.96 for the prediction set, with RMSE values of 0.52 °Brix and 0.87 °Brix, respectively. Although the overall performance of RF was slightly inferior to that of CARS, it still provided high prediction accuracy and model stability. The MC-UVE method, which selected 64 feature wavelengths, showed stability in terms of coefficient of determination and prediction accuracy. However, its RMSE values were relatively high, at 0.67 °Brix and 0.77 °Brix. In summary, the CARS method significantly enhanced modeling performance through effective feature wavelength selection, making it the most effective feature selection technique in this study. The detailed results of the feature wavelength selection are shown in Figure 8.
Figure 8.
Different effective wavelength selection methods: RMSE and selected wavelengths.
3.2. Diffuse Reflectance Spectroscopy
3.2.1. Overview of Diffuse Reflectance Spectra
As shown in Figure 9, significant noise was evident at both the beginnings and ends of the spectra. This noise was primarily attributable to the characteristics of the light source and detector. In the short- and long-wavelength regions, the intensity of the light source was often lower, and the detector sensitivity in these ranges was also reduced, resulting in a lower signal-to-noise ratio and increased noise. Additionally, the response of the spectrometer might be uneven across different wavelength ranges, particularly at the edges of the spectrum, where the instrument response is weaker and more susceptible to noise. To enhance the effectiveness of spectral modeling, it was recommended to exclude spectral data affected by noise during the data modeling process. For the reflectance spectra of kiwifruit, a significant absorption peak was observed at 680 nm, likely due to the strong absorption characteristics of chlorophyll at this wavelength. Additionally, a smaller absorption peak around 720 to 750 nm might be associated with the fourth overtone vibration of C-H bonds.
Figure 9.
Diffuse reflectance raw spectra.
3.2.2. Monte Carlo Outlier Elimination in Diffuse Reflectance Spectra
Outlier detection was performed on the collected spectral data and SSC using the Monte Carlo outlier removal method. As shown in Figure 10, samples with larger means and standard deviations were identified as outliers. Consequently, three samples, labeled 22, 58, and 95, were removed based on these results. To evaluate the impact of outlier removal on model performance, PLSR modeling was conducted and compared both before and after the removal of outliers.
Figure 10.
Outliers in diffuse reflectance spectra.
As shown in Table 5, the removal of outlier samples resulted in significant improvements in model performance. The improved from 0.81 to 0.84. Concurrently, the RMSEC decreased substantially from 0.54 to 0.51 °Brix, and the RMSEP was reduced from 0.93 to 0.92 °Brix. These results indicated a notable enhancement in model accuracy following outlier removal, with substantial reductions in both calibration and prediction RMSE. This improvement emphasized the importance of outlier removal in enhancing model performance during spectral data modeling. The Monte Carlo outlier removal method, by identifying and eliminating samples that deviate from the overall trend of the dataset, enabled the model to more accurately reflect the true relationships between samples, thereby improving its predictive capability and reliability, as illustrated in Figure 11.
Table 5.
Diffuse reflectance PLSR model before and after outlier removal.
Figure 11.
Prediction of kiwi SSC using diffuse reflectance PLSR model before and after outlier removal.
3.2.3. Statistics of SSC in Diffuse Reflectance Samples
As shown in Table 6, after removing the outliers, the dataset consisted of a total of 141 samples, with SSC ranging from a minimum of 5.00 °Brix to a maximum of 16.50 °Brix, with an average value of 8.14 °Brix. The samples were divided into calibration and prediction sets using the K-S algorithm at a 3:1 ratio. The calibration set included 106 samples, with SSC values ranging from 5.00 to 16.50 °Brix and an average SSC of 8.36 °Brix. The prediction set comprised 35 samples, with SSC values ranging from 5.20 to 14.60 °Brix and an average SSC of 7.50 °Brix.
Table 6.
Statistical analysis and diffuse reflectance PLSR model for kiwifruit SSC.
3.2.4. Comparison of Preprocessing Methods on Diffuse Reflectance PLSR Model
As shown in Table 7, in the analysis of preprocessing methods for the diffuse reflectance PLSR model, SG smoothing was found to deliver the best performance, with an of 0.96 and an RMSEP of 0.68 °Brix, significantly improving predictive accuracy. In contrast, SNV and MSC were shown to affect prediction negatively, resulting in lower values (0.43 and 0.49, respectively) and higher RMSEP. Normalization and centering yielded moderate outcomes, with centering performing similarly to the raw data. The combination of SG with other methods such as centering did not provide significant improvements. Therefore, SG was selected as the final preprocessing method due to its simplicity and effectiveness.
Table 7.
Results of diffuse reflectance PLSR models using different preprocessing methods.
3.2.5. Comparison of Wavelength Selection Methods on Diffuse Reflectance PLSR
This study compared the performance of four feature wavelength selection methods—CARS, SPA, RF, and MC-UVE—in the establishment of PLSR models using diffuse reflectance spectra. By evaluating and comparing the performance of these methods, we gained insights into their respective strengths and limitations. As shown in Table 8, the modeling parameters for the four feature wavelength selection methods are described in detail.
Table 8.
Results of diffuse reflectance PLSR models using different effective wavelength selections.
Firstly, the CARS method selected the fewest feature wavelengths, totaling only 90. The PLSR model utilizing CARS achieved a coefficient of determination of 0.97 on the calibration set and an of 0.96 on the prediction set. The RMSEC was 0.49 °Brix, and the RMSEP was 0.67 °Brix. These results indicated that the CARS method achieved high-precision modeling with a reduced number of feature wavelengths while maintaining excellent error control and overall performance.
In contrast, the SPA method achieved the highest of 0.98 on the calibration set, but its on the prediction set was lower, at 0.90, with higher RMSE values. This discrepancy may be attributed to overfitting due to the inclusion of too many feature wavelengths. The RF method exhibited balanced performance, with stable and RMSE values on both the calibration and prediction sets, although its errors were slightly higher compared with those of CARS. The MC-UVE method performed the least effectively among the methods, showing lower values and higher RMSE on both the calibration and prediction sets, indicating suboptimal performance in feature selection. As shown in Figure 12, these results illustrated the prediction performance of the diffuse reflectance PLSR models for kiwifruit physicochemical indices.
Figure 12.
Diffuse reflectance PLSR model prediction results for kiwifruit physicochemical indices.
4. Discussion
4.1. Validation of Diffuse Transmittance PLSR Model
To evaluate the performance of the prediction models established, an independent validation set was employed. This validation set comprised 58 samples, covering a broad range of SSC values from 4.85 to 16.80 °Brix, as detailed in Table 9. These samples were used to assess the model predictive capability across different SSC values, ensuring that the model performed effectively not only during the training and feature selection phases but also maintained high predictive performance in practical applications. This step is crucial for validating the model real-world applicability, as it simulates actual conditions and provides an objective assessment of model effectiveness.
Table 9.
Diffuse transmittance prediction set and independent validation set of SSC distribution.
As shown in Table 10, the validation analysis using the independent validation set indicated that while data processing with MSC alone yielded an of 0.99 and an of 0.94, there was still room for improvement. The model RMSEC was 0.98 °Brix, and the RMSEP was 1.00 °Brix.
Table 10.
Diffuse transmittance independent validation set PLSR model construction.
However, significant improvements in model performance were observed when MSC was combined with CARS. After applying CARS for feature wavelength selection, the for the calibration set slightly decreased to 0.98, while the for the prediction set increased to 0.95, indicating enhanced performance in prediction. More notably, the RMSE values showed substantial decreases. The RMSEC decreased from 0.98 to 0.61 °Brix, and the RMSEP was reduced from 1.00 to 0.93 °Brix. These improvements demonstrated that CARS feature wavelength selection significantly enhanced the model predictive accuracy and stability.
In summary, while MSC alone offered some modeling effectiveness, the combination of MSC with CARS for feature wavelength selection significantly enhanced the overall model performance. Validation analysis using the independent validation set further reconfirmed the model superior performance in practical applications. Notably, the feature wavelengths selected through CARS markedly improved the model detection accuracy, making it highly effective for SSC prediction tasks.
4.2. Validation of Diffuse Reflectance PLSR Model
The accuracy of the diffuse reflectance spectral model was validated using an independent validation set, with the results detailed in Table 11. This validation set included 40 samples with SSC values ranging from 4.85 to 16.50 °Brix, an average SSC of 8.24 °Brix, and a standard deviation of 4.57 °Brix.
Table 11.
Diffuse reflectance prediction set and independent validation set SSC distribution.
The validation results demonstrated that the model exhibited good adaptability across a broad SSC range. Initially, the PLSR model constructed from the diffuse reflectance spectral data achieved coefficients of determination of = 0.96 for the calibration set and = 0.97 for the prediction set. The RMSEC and RMSEP were 0.54 and 0.74 °Brix, respectively. These results indicated that the model demonstrated high accuracy and low error even at the initial stage.
To further enhance model performance, the CARS method was employed for feature wavelength selection. As detailed in Table 12, the optimized model exhibited significant improvements. The coefficients of determination increased to = 0.98 for the calibration set and = 0.98 for the prediction set. Additionally, the RMSE values were notably reduced, with RMSEC decreasing to 0.40 °Brix and RMSEP to 0.66 °Brix.
Table 12.
Diffuse reflectance independent validation set PLSR model construction.
The application of CARS not only effectively reduced the computational load but also markedly improved both efficiency and accuracy. The enhanced performance of the optimized PLSR model in both the calibration and prediction sets emphasized its reliability and precision in practical applications. These results indicated that the model with CARS feature wavelength selection demonstrated exceptional performance and wide applicability in real-world scenarios.
5. Conclusions
This study employed diffuse reflectance and diffuse transmittance devices to collect spectra for evaluating the SSC of kiwifruit, leading to the following conclusions: (1) SSC prediction models developed using diffuse transmittance and diffuse reflectance spectra demonstrated excellent performance across the entire wavelength range. The application of the CARS method for feature wavelength selection further improved the prediction accuracy, reduced model errors, and significantly decreased the computational load. (2) Validation with an independent set revealed that the PLSR model based on diffuse reflectance spectra outperformed the diffuse transmittance model in both accuracy and error metrics. In summary, the diffuse reflectance method shows greater potential for SSC spectral analysis in kiwifruit, offering higher accuracy and reliability due to its ability to capture comprehensive information about the fruit internal structure. Conversely, diffuse transmittance spectroscopy, which requires light penetration, provides limited insight into internal tissues, with varying source–detector distances affecting spectral analysis. Future work will focus on optimizing source–detector distances to enhance the precision and efficiency of kiwifruit detection instruments.
Author Contributions
Writing—review and editing, Y.X.; writing—original draft preparation, W.Z.; visualization, T.C.; validation, J.H.; software, S.C.; formal analysis, W.L.; data curation, J.K.; funding acquisition, W.T.; resources, H.L. All authors have read and agreed to the published version of the manuscript.
Funding
This research was funded by the National Natural Science Foundation of China, grant number 62203285; the Young Talent Fund of the Xi’an Association for Science and Technology, grant number 959202413041; the Xi’an Science and Technology Plan Project, grant number 23NYGG0070; and the Natural Science Basic Research Program of Shaanxi, grant number 2022JQ-181.
Institutional Review Board Statement
Not applicable.
Informed Consent Statement
Not applicable.
Data Availability Statement
The data presented in this study are available upon request from the corresponding author. The data are not publicly available due to them being necessary for future essay writing.
Acknowledgments
The authors gratefully acknowledge the financial support from the National Natural Science Foundation of China (62203285), the Young Talent Fund of Xi’an Association for Science and Technology (959202413041), the Xi’an Science and Technology Plan Project (23NYGG0070), and the Natural Science Basic Research Program of Shaanxi (2022JQ-181).
Conflicts of Interest
The authors declare no conflicts of interest.
References
- Shao, Y.-Y.; Wang, Y.-X.; Xuan, G.-T.; Gao, Z.-M.; Liu, Y.; Han, X.; Hu, Z.-C. Hyperspectral Imaging Technique for Estimating the Shelf-Life of Kiwifruits. Spectrosc. Spectr. Anal. 2020, 40, 1940–1946. [Google Scholar] [CrossRef]
- Huang, Y.; Lu, R.; Chen, K. Assessment of Tomato Soluble Solids Content and Ph by Spatially-Resolved and Conventional Vis/Nir Spectroscopy. J. Food Eng. 2018, 236, 19–28. [Google Scholar] [CrossRef]
- Han, C.; Jifan, Y.; Hao, T.; Jinshan, Y.; Huirong, X. Evaluation of the Optical Layout and Sample Size on Online Detection of Apple Watercore and Ssc Using Vis/Nir Spectroscopy. J. Food Compos. Anal. 2023, 123, 105528. [Google Scholar] [CrossRef]
- Yang, B.; Guo, W.; Li, W.; Li, Q.; Liu, D.; Zhu, X. Portable, Visual, and Nondestructive Detector Integrating Vis/Nir Spectrometer for Sugar Content of Kiwifruits. J. Food Process Eng. 2019, 42, e12982. [Google Scholar] [CrossRef]
- Shi, Y.; Wang, X.; Borhan, M.S.; Young, J.; Newman, D.; Berg, E.; Sun, X. A Review on Meat Quality Evaluation Methods Based on Non-Destructive Computer Vision and Artificial Intelligence Technologies. Food Sci. Anim. Resour. 2021, 41, 563–588. [Google Scholar] [CrossRef]
- Li, J.; Chen, L. Comparative Analysis of Models for Robust and Accurate Evaluation of Soluble Solids Content in ‘Pinggu’ Peaches by Hyperspectral Imaging. Comput. Electron. Agric. 2017, 142, 524–535. [Google Scholar] [CrossRef]
- Jia, W.; Liang, G.; Jiang, Z.; Wang, J. Advances in Electronic Nose Development for Application to Agricultural Products. Food Anal. Methods 2019, 12, 2226–2240. [Google Scholar] [CrossRef]
- Gao, H.; Guo, Z.; Zeng, Y.; Gang, D.; Wang, X.; Li, L. Early Classification and Detection of Kiwifruit Soft Rot Based on Hyperspectral Image Band Fusion. Spectrosc. Spectr. Anal. 2024, 44, 241–249. [Google Scholar] [CrossRef]
- Jiang, Z.; Ying, J.; Wan, Y.; Wang, C.; Lin, X.; Liu, B. Non-Destructive Evaluation of Soluble Solids Content in Navel Orange by an on-Line Visible near-Infrared System with Four Parallel Spectrometers. J. Food Meas. Charact. 2023, 17, 4225–4235. [Google Scholar] [CrossRef]
- Ma, T.; Zhao, J.; Inagaki, T.; Su, Y.; Tsuchikawa, S. Rapid and Nondestructive Prediction of Firmness, Soluble Solids Content, and Ph in Kiwifruit Using Vis-Nir Spatially Resolved Spectroscopy. Postharvest Biol. Technol. 2022, 186, 111841. [Google Scholar] [CrossRef]
- Ma, T.; Xia, Y.; Inagaki, T.; Tsuchikawa, S. Rapid and Nondestructive Evaluation of Soluble Solids Content (Ssc) and Firmness in Apple Using Vis-Nir Spatially Resolved Spectroscopy. Postharvest Biol. Technol. 2021, 173, 111417. [Google Scholar] [CrossRef]
- Xu, L.; Zheng, L.; Huang, P.; Chen, H.; Kang, Z. Detection of Kiwifruit Dry Matter Content Based on Hyperspectral Technology Using Uninformed Variable Elimination Coupled with Successive Projection Algorithm. Dyna 2020, 95, 654–660. [Google Scholar] [CrossRef]
- Luo, Z.; Zhang, J.; Xiang, M.; Zeng, J.; Chen, J.; Chen, M. Exogenous Melatonin Treatment Affects Ascorbic Acid Metabolism in Postharvest ‘Jinyan’ Kiwifruit. Front. Nutr. 2022, 9, 1081476. [Google Scholar] [CrossRef]
- Finn, A.S.H.; O’Donoghue, E.M.; Seelye, R.J.; Somerfield, S.D.; Oliver, R.J.; McGlone, A. A Simple and Fast Alternative Method for Measuring the Insoluble Solids and Starch Content of Kiwifruit Tissue. Postharvest Biol. Technol. 2024, 211, 112854. [Google Scholar] [CrossRef]
- Guaschino, M.; Garello, M.; Nari, L.; Zhimo, Y.V.; Droby, S.; Spadaro, D. Soil, Rhizosphere, and Root Microbiome in Kiwifruit Vine Decline, an Emerging Multifactorial Disease. Front. Microbiol. 2024, 15, 1330865. [Google Scholar] [CrossRef]
- Huo, L.; Chen, Y.; Zhang, Y.; Zhang, H.; Wang, H.; Xu, K.; Sun, X. Exogenous Γ-Aminobutyric Acid Enhances Heat Tolerance of Kiwifruit Plants by Protecting Photosynthetic System and Promoting Heat Shock Proteins Expression. Ann. Agric. Sci. 2023, 68, 137–147. [Google Scholar] [CrossRef]
- Zhang, W.; Wang, A.; Lv, Z.; Gao, Z. Nondestructive Measurement of Kiwifruit Firmness, Soluble Solid Content (Ssc), Titratable Acidity (Ta), and Sensory Quality by Vibration Spectrum. Food Sci. Nutr. 2020, 8, 1058–1066. [Google Scholar] [CrossRef] [PubMed]
- Wang, J.; Zhang, L.; Dong, X.; Wang, J.; Raghavan, V. Effects of Variety, Maturity and Storage Conditions on the Allergic Potential of Kiwifruit and Its Relationship with Antioxidant Activity. Food Chem.-X 2022, 16, 100467. [Google Scholar] [CrossRef]
- Sarkar, S.; Basak, J.K.; Moon, B.E.; Kim, H.T. A Comparative Study of Plsr and Svm-R with Various Preprocessing Techniques for the Quantitative Determination of Soluble Solids Content of Hardy Kiwi Fruit by a Portable Vis/Nir Spectrometer. Foods 2020, 9, 1078. [Google Scholar] [CrossRef]
- Huang, X.; Xia, L. Application of Iterative Distance Correlation and Pls for Wavelength Interval Selection in near Infrared Spectroscopy. Chemom. Intell. Lab. Syst. 2023, 234, 104756. [Google Scholar] [CrossRef]
- Wang, F.; Lv, C.; Pan, Y.; Zhou, L.; Zhao, B. Efficient Non-Destructive Detection for External Defects of Kiwifruit. Appl. Sci. 2023, 13, 11971. [Google Scholar] [CrossRef]
- Vanoli, M.; Van Beers, R.; Sadar, N.; Rizzolo, A.; Buccheri, M.; Grassi, M.; Lovati, F.; Nicolai, B.; Aernouts, B.; Watte, R.; et al. Time- and Spatially-Resolved Spectroscopy to Determine the Bulk Optical Properties of ‘Braeburn’ Apples after Ripening in Shelf Life. Postharvest Biol. Technol. 2020, 168, 111233. [Google Scholar] [CrossRef]
- Schaare, P.; Fraser, D.G. Comparison of Reflectance, Interactance and Transmission Modes of Visible-near Infrared Spectroscopy for Measuring Internal Properties of Kiwifruit (Actinidia Chinensis). Postharvest Biol. Technol. 2000, 20, 175–184. [Google Scholar] [CrossRef]
- Shang, M.; Xue, L.; Jiang, W.; Cheng, B.; Li, Z.; Liu, M.; Li, J. Sorting of Navel Orange Soluble Solids Content Based on Online near Infrared Spectroscopy. Int. J. Food Eng. 2023, 19, 487–495. [Google Scholar] [CrossRef]
- Luo, W.; Zhang, J.; Liu, S.; Huang, H.; Zhan, B.; Fan, G.; Zhang, H. Prediction of Soluble Solid Content in Nanfeng Mandarin by Combining Hyperspectral Imaging and Effective Wavelength Selection. J. Food Compos. Anal. 2024, 126, 105939. [Google Scholar] [CrossRef]
- Zhu, Y.; Fan, S.; Zuo, M.; Zhang, B.; Zhu, Q.; Kong, J. Discrimination of New and Aged Seeds Based on on-Line near-Infrared Spectroscopy Technology Combined with Machine Learning. Foods 2024, 13, 1570. [Google Scholar] [CrossRef] [PubMed]
- Lin, J.J.; Meng, Q.H.; Wu, Z.F.; Pei, S.Y.; Tian, P.; Huang, X.; Qiu, Z.Q.; Chang, H.J.; Ni, C.Y.; Huang, Y.Q.; et al. Nondestructive Detection of Mango Soluble Solid Content in Hyperspectral Imaging Based on Multi-Combinatorial Feature Wavelength Selection. Acta Aliment. 2023, 52, 401–412. [Google Scholar] [CrossRef]
- Guo, W.; Li, W.; Yang, B.; Zhu, Z.; Liu, D.; Zhu, X. A Novel Noninvasive and Cost-Effective Handheld Detector on Soluble Solids Content of Fruits. J. Food Eng. 2019, 257, 1–9. [Google Scholar] [CrossRef]
- Meng, Q.; Tan, T.; Feng, S.; Wen, Q.; Shang, J. Prediction and Visualization Map for Physicochemical Indices of Kiwifruits by Hyperspectral Imaging. Front. Nutr. 2024, 11, 1364274. [Google Scholar] [CrossRef]
- Seki, H.; Ma, T.; Murakami, H.; Tsuchikawa, S.; Inagaki, T. Visualization of Sugar Content Distribution of White Strawberry by near-Infrared Hyperspectral Imaging. Foods 2023, 12, 931. [Google Scholar] [CrossRef]
- Huang, Y.; Xiong, J.; Li, Z.; Hu, D.; Sun, Y.; Jin, H.; Zhang, H.; Fang, H. Recent Advances in Light Penetration Depth for Postharvest Quality Evaluation of Fruits and Vegetables. Foods 2024, 13, 2688. [Google Scholar] [CrossRef] [PubMed]
- Huang, Y.; Si, W.; Chen, K.; Sun, Y. Assessment of Tomato Maturity in Different Layers by Spatially Resolved Spectroscopy. Sensors 2020, 20, 7229. [Google Scholar] [CrossRef] [PubMed]
- Tian, S.; Liu, W.; Xu, H. Improving the Prediction Performance of Soluble Solids Content (Ssc) in Kiwifruit by Means of near-Infrared Spectroscopy Using Slope/Bias Correction and Calibration Updating. Food Res. Int. 2023, 170, 112988. [Google Scholar] [CrossRef] [PubMed]
- Ma, T.; Xia, Y.; Inagaki, T.; Tsuchikawa, S. Non-Destructive and Fast Method of Mapping the Distribution of the Soluble Solids Content and Ph in Kiwifruit Using Object Rotation near-Infrared Hyperspectral Imaging Approach. Postharvest Biol. Technol. 2021, 174, 111440. [Google Scholar] [CrossRef]
Disclaimer/Publisher’s Note: The statements, opinions and data contained in all publications are solely those of the individual author(s) and contributor(s) and not of MDPI and/or the editor(s). MDPI and/or the editor(s) disclaim responsibility for any injury to people or property resulting from any ideas, methods, instructions or products referred to in the content. |
© 2024 by the authors. Licensee MDPI, Basel, Switzerland. This article is an open access article distributed under the terms and conditions of the Creative Commons Attribution (CC BY) license (https://creativecommons.org/licenses/by/4.0/).