Search for True Ternary Fission in Reaction 40Ar + 208Pb
Abstract
1. Introduction
2. Materials and Methods
2.1. Kinematics of DTF and STF Decay Mechanisms
2.1.1. One-Step Decay: Direct Ternary Fission
2.1.2. Two-Step Decay: Sequential Ternary Fission
2.2. DTF and STF Differences in Energy and Angular Distributions
2.2.1. Energy Distributions
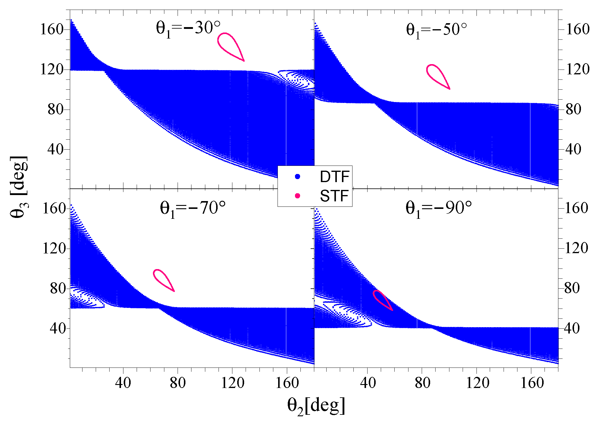
2.2.2. Angular Distributions
2.2.3. Disentangling of DTF and STF in the 132Sn + 68Zn + 48Ca Tripartition
2.3. Collection of Binary Fission Events
2.4. Detection Apparatus
- (i)
- A TOF arm at ;
- (ii)
- A TOF arm at ;
- (iii)
- A string of 7 telescope detectors covering and centered at ;
- (iv)
- A system of a TOF arm combined with a squared array of telescope detectors at .
- (a)
- Coincidences between (i) and (ii) elements;
- (b)
- Coincidences between (i) and (iii) elements;
- (d)
- Coincidences between (i), (ii), and (iii) elements;
- (e)
- Single event form (iv) and (iii) elements.
2.5. Rate Estimates
3. Geant4—Simulation Results
3.1. Correlated Velocities in forward Detectors
3.2. Identification of Light Ions at Backward Direction for STF Characterization
3.3. Identification of Light Ions in Forward Direction for DTF Characterization
4. Discussion and Conclusions
Author Contributions
Funding
Institutional Review Board Statement
Informed Consent Statement
Data Availability Statement
Conflicts of Interest
Abbreviations
| Binary Fission | BF |
| Liquid Drop Model | LDM |
| Compound Nucleus | CN |
| Ternary Fission | TF |
| Ternary Particle | TP |
| Ternary Fission Potential | TFP |
| Potential Energy Surface | PES |
| True Ternary Fission | TTF |
| Direct Ternary Fission | DTF |
| Sequential Ternary Fission | STF |
| Asymmetrical Binary Fission | AsymBF |
| Total Kinetic Energy | TKE |
| Symmetrical Binary Fission | SymBF |
| Time Of Flight | TOF |
References
- Meitner, L.; Frisch, O.R. Disintegration of uranium by neutrons: A new type of nuclear reaction. Nature 1939, 143, 239. [Google Scholar] [CrossRef]
- Hahn, O.; Strassmann, F. Uber den nachweis und das verhalten der bei der bestrahlung des urans mittels neutronen entstehenden erdalkalimetalle. Naturwissenschaften 1939, 27, 11–15. [Google Scholar] [CrossRef]
- Hahn, O.; Strassmann, F. Nachweis der entstehung aktiver bariumisotope aus uran und thorium durch neutronenbestrahlung; nachweis weiterer aktiver bruchstucke bei der uranspaltung; nachweis weiterer aktiver bruchst¨ucke bei der uranspaltung. Naturwissenschaften 1939, 27, 89–95. [Google Scholar] [CrossRef]
- Bohr, N. Neutron Capture and Nuclear Constitution. Nature 1936, 137, 344–348. [Google Scholar] [CrossRef]
- Bohr, N.; Wheeler, J.A. The Mechanism of Nuclear Fission. Phys. Rev. 1939, 56, 426–450. [Google Scholar] [CrossRef]
- Present, R.D.; Knipp, J.K. On the Dynamics of Complex Fission. Phys. Rev. 1940, 57, 751. [Google Scholar] [CrossRef]
- Present, R. Possibility of ternary fission. Phys. Rev. 1941, 59, 466. [Google Scholar]
- Grad, H.; Rubin, H. Peaceful uses of atomic energy. In Proceedings of the 2nd United Nations International Conference, Geneva, Switzerland, 1–13 September 1958; Volume 31, p. 100. [Google Scholar]
- Diehl, H.; Greiner, W. Theory of ternary fission in the liquid drop model. Nucl. Phys. A 1974, 229, 29–46. [Google Scholar] [CrossRef]
- Alvarez, L.; Farwell, G.; Segre, E.; Wiegand, C. Long Range Alpha-Particles Emitted in Connection with Fission. Preliminary Report. Phys. Rev. 1947, 71, 327. [Google Scholar] [CrossRef]
- San-Tsiang, T.; Zah-Wei, H.; Chastel, R.; Vigneron, L. On the New Fission Processes of Uranium Nuclei. Phys. Rev. 1947, 71, 382. [Google Scholar] [CrossRef]
- San-Tsiang, T.; Zah-Wei, H.; Vigneron, L.; Chastel, R. Ternary and Quaternary Fission of Uranium Nuclei. Nature 1947, 159, 773. [Google Scholar] [CrossRef]
- Gönnenwein, F. Ternary and quaternary fission. Nucl. Phys. A 2004, 734, 213–216. [Google Scholar] [CrossRef]
- Gönnenwein, F.; Mutterer, M.; Kopatch, Y. Ternary and quaternary fission. Europhys. News 2005, 36, 11. [Google Scholar] [CrossRef]
- Wagemans, C.; Deruytter, A. The emission of Long-Range α-particles in the thermal neurtron induced fission of 233U, 235U, and 239Pu. Z. für Phys. A Atoms Nucl. 1975, 275, 149–156. [Google Scholar] [CrossRef]
- Papka, P.; Beck, C. Cluster in Nuclei: Experimental Perspectives. Clust. Nucl. 2012, 2, 299. [Google Scholar] [CrossRef]
- Muga, M.L.; Bowman, H.R.; Thompson, S.G. Tripartition in the Spontaneous-Fission Decay of Cf252. Phys. Rev. 1961, 121, 270. [Google Scholar] [CrossRef]
- Rubchenya, V.; Alexandrov, A.; Khlebnikov, S.; Lyapin, V.; Maslov, V.; Penionzhkevich, Y.E.; Prete, G.; Sobolev, Y.G.; Tyurin, G.; Trzaska, W.; et al. Light particle accompanied quasifission in superheavy composite systems. Phys. At. Nucl. 2006, 69, 1388–1398. [Google Scholar] [CrossRef]
- Duek, E.; Ajitanand, N.; Alexander, J.M.; Logan, D.; Kildir, M.; Kowalski, L.; Vaz, L.C.; Guerreau, D.; Zisman, M.; Kaplan, M.; et al. Mechanisms for emission of 4 He in the reactions of 334 MeV 40 Ar with 238 U. Z. für Phys. A Atoms. Nucl. 1984, 317, 83–100. [Google Scholar] [CrossRef]
- Vardaci, E.; Kaplan, M.; Parker, W.E.; Moses, D.J.; Boger, J.; Gilfoyle, G.; McMahan, M.; Montoya, M. Search for ternary fragmentation in the reaction 856 MeV 98Mo+ 51V: Kinematic probing of intermediate-mass-fragment emissions. Phys. Lett. B 2000, 480, 239–244. [Google Scholar] [CrossRef]
- Wagemans, C. Ternary Fission in The Nuclear Fission Process; CRC Press: Boca Raton, FL, USA, 1991. [Google Scholar]
- Gönnenwein, F. Seminar on Fission; World Scientific: Singapore, 1999; p. 59. [Google Scholar] [CrossRef]
- Brandt, R. Ternary fission. Angew. Chem. internat. 1971, 10, 890. [Google Scholar] [CrossRef]
- Vijayaraghavan, K.; von Oertzen, W.; Balasubramaniam, M. Kinetic energies of cluster fragments in ternary fission of 252Cf. Eur. Phys. J. A 2012, 48, 27. [Google Scholar] [CrossRef]
- Iyer, R.; Cobble, J. Evidence of ternary fission at lower energies. Phys. Rev. Lett. 1966, 17, 541. [Google Scholar] [CrossRef]
- Gönnenwein, F.; Möller, A.; Crön, M.; Hesse, M.; Wöstheinrich, M.; Faust, H.; Fioni, G.; Oberstedt, S. Cold binary and ternary fission. Il Nuovo C. A 1997, 110, 1089. [Google Scholar] [CrossRef]
- Rosen, L.; Hudson, A.M. Symmetrical tripartition of U235, by thermal neutrons. Phys. Rev. 1950, 78, 533. [Google Scholar] [CrossRef]
- Schall, P.; Heeg, P.; Mutterer, M.; Theobald, J. On symmetric tripartition in the spontaneous fission of 252Cf. Phys. Lett. B 1987, 191, 339. [Google Scholar] [CrossRef]
- Zagrebaev, V.; Karpov, A.; Greiner, W. True ternary fission of superheavy nuclei. Phys. Rev. C 2010, 81, 044608. [Google Scholar] [CrossRef]
- Vijayaraghavan, K.; Balasubramaniam, M.; von Oertzen, W. True ternary fission. Phys. Rev. C 2015, 91, 044616. [Google Scholar] [CrossRef]
- von Oertzen, W.; Nasirov, A. True ternary fission, the collinear decay into fragments of similar size in the 252Cf (sf) and 235U(nth, f) reactions. Phys. Lett. B 2014, 734, 234–238. [Google Scholar] [CrossRef]
- Poenaru, D.; Gherghescu, R.; Greiner, W.; Nagame, Y.; Hamilton, J.; Ramayya, A. True ternary fission. Rom. Rep. Phys. 2003, 55, 549–554. [Google Scholar]
- Hamilton, J.H.; Ramayya, A.V.; Kormicki, J.; Ma, W.C.; Lu, Q.; Shi1, D.; Deng, J.K.; Zhu, S.J.; Sandulescu, A.; Greiner, W.; et al. Zero neutron emission in spontaneous fission of 252Cf: A form of cluster radioactivity. J. Phys. G Nucl. Part. Phys. 1994, 20, L85. [Google Scholar] [CrossRef]
- Ter-Akopian, G.M.; Hamilton, J.H.; Oganessian, Y.T.; Kormicki, J.; Popeko, G.S.; Daniel, A.V.; Ramayya, A.V.; Lu, Q.; Butler-Moore, K.; Ma, W.C.; et al. Neutron Multiplicities and Yields of Correlated Zr-Ce and Mo-Ba Fragment Paris in Spontaneous Fission of 252Cf. Phys. Rev. Lett. 1994, 73, 1477. [Google Scholar] [CrossRef] [PubMed]
- Hamilton, J.H.; Ramayya, A.V.; Hwang, J.K.; Kormicki, J.; Babu, B.R.S.; Sandulescu, A.; Florescu, A.; Greiner, W.; Ter-Akopian, G.M.; Oganessian, Y.T.; et al. New cold and ultra hot binary and cold ternary spontaneous fission modes for 252Cf and new band structures with gammasphere. Prog. Part. Nucl. Phys. 1997, 38, 273–287. [Google Scholar] [CrossRef]
- Ramayya, A.V.; Hamilton, J.H.; Hwang, J.K.; Peker, L.K.; Kormicki, J.; Babu, B.R.S.; Ginter, T.N.; Sandulescu, A.; Florescu, A.; Carstoiu, F.; et al. Cold (neutronless) α ternary fission of 252Cf. Phys. Rev. C 1998, 57, 2370. [Google Scholar] [CrossRef]
- Ramayya, A.V.; Hwang, J.K.; Hamilton, J.H.; Sandulescu, A.; Florescu, A.; Ter-Akopian, G.M.; Daniel, A.V.; Oganessian, Y.T.; Popeko, G.S.; Greiner, W.; et al. Observation of 10Be Emission in the Cold Ternary Spontaneous Fission of 252Cf. Phys. Rev. Lett. 1998, 81, 947. [Google Scholar] [CrossRef]
- Kopatch, Y.N.; Mutterer, M.; Schwalm, D.; Thirolf, P.; Gönnenwein, F. 5He, 7He, and 8Li (E* = 2.26 MeV) intermediate ternary. Phys. Rev. C 2002, 65, 044614. [Google Scholar] [CrossRef]
- Daniel, A.V.; Ter-Akopian, G.M.; Hamilton, J.H.; Ramayya, A.V.; Kormicki, J.; Popeko, G.S.; Fomichev, A.S.; Rodin, A.M.; Oganessian, Y.T.; Cole, J.D.; et al. Ternary fission of 252Cf: 3368keV γ radiation from 10Be fragments. Phys. Rev. C 2004, 69, 041305. [Google Scholar] [CrossRef]
- Ter-Akopian, G.; Daniel, A.V.; Fomichev, A.S.; Popeko, G.S.; Rodin, A.M.; Oganessian, Y.T.; Hamilton, J.H.; Ramayya, A.V.; Kormicki, J.; Hwang, J.K.; et al. New data on the ternary fission of 252Cf from the Gammasphere facility. Phys. At. Nuclei 2004, 67, 1860. [Google Scholar] [CrossRef]
- Manimaran, K.; Balasubramaniam, M. Ternary fission fragmentation of 252Cf for all possible third fragments. Eur. Phys. J. A 2010, 45, 293. [Google Scholar] [CrossRef]
- Manimaran, K.; Balasubramaniam, M. All possible ternary fragmentations of 252Cf in collinear configuration. Phys. Rev. C 2011, 83, 034609. [Google Scholar] [CrossRef]
- Pyatkov, Y.; Kamanin, D.; Kopach, Y.; Alexandrov, A.; Alexandrova, I.; Borzakov, S.; Voronov, Y.; Zhuchko, V.; Kuznetsova, E.; Panteleev, T.; et al. Collinear cluster tri-partition channel in reaction 235U(nth, f). Phys. Atom. Nucl. 2010, 73, 1309–1316. [Google Scholar] [CrossRef]
- Poenaru, D.N.; Greiner, W.; Hamilton, J.H.; Ramayya, A.V.; Hourany, E.; Gherghescu, R.A. Multicluster accompanied fission. Phys. Rev. C 1999, 59, 3457. [Google Scholar] [CrossRef]
- Pyatkov, Y.; Trzaska, W.; Khlebnikov, S. Island of the high yields of 252Cf(sf) collinear tripartition in the fragment mass space. Rom. Rep. Phys. 2007, 59, 569. [Google Scholar]
- Pyatkov, Y.; Kamanin, D.; von Oertzen, W.; Alexandrov, A.; Alexandrova, I.; Falomkina, O.; Kondratjev, N.; Kopatch, Y.; Kuznetsova, E.; Lavrova, Y.; et al. Collinear cluster tri-partition of 252Cf (sf) and in the 235U(nth, f) reaction. Eur. Phys. J. A 2010, 45, 29. [Google Scholar] [CrossRef]
- Pyatkov, Y.; Kamanin, D.; Alexandrov, A.; Alexandrova, I.; Kondratuev, N.; Kuznetsova, E.; Jacobs, N.; Malaza, V.; Minh, D.P.; Zhuchko, V. Presumable scenario of one of the collinear cluster tripartition modes. Int. J. Mod. Phys. E 2010, 20, 1008. [Google Scholar] [CrossRef]
- Pyatkov, Y.; Kamanin, D.; von Oertzen, W.; Alexandrov, A.; Alexandrova, I.; Falomkina, O.; Jacobs, N.; Kondratjev, N.; Kuznetsova, E.; Lavrova, Y.; et al. Collinear cluster tri-partition (CCT) of 252Cf (sf): New aspects from neutron gated data. Eur. Phys. J. A 2012, 48, 94. [Google Scholar] [CrossRef]
- Kamanin, D.V.; Pyatkov, Y.V. Cluster in Nuclei, Volume 3: Clusterization in Ternary Fission. Lect. Notes Phys. 2014, 3, 183–246. [Google Scholar] [CrossRef]
- Vandenbosch, R.; Huizenga, J.R. Nuclear Fission; Academic Press: New York, NY, USA, 1973. [Google Scholar]
- Perelygin, V.; Shadieva, N.; Tretiakova, S.; Boos, A.; Brandt, R. Ternary fission produced in Au, Bi, Th and U with Ar ions. Nucl. Phys. Sect. 1969, 127, 577–585. [Google Scholar] [CrossRef]
- Price, P.; Fleischer, R.; Walker, R.; Hubbard, E. Ternary Fission of Heavy Compound Nucleus. In Proceedings of the Third Conference on Reactions between Complex Nuclei, Asilomar, Pacific Grove, CA, USA, 14–18 April 1963; Ghiorso, A., Diamond, R.M., Conzett, H.E., Eds.; University of California: Berkeley, CA, USA, 1963; pp. 332–337. [Google Scholar] [CrossRef]
- Badala, A.; Cognata, M.L.; Nania, R.; Osipenko, M.; Piantelli, S.; Turrisi, R.; Barion, L.; Capra, S.; Carbone, D.; Carnesecchi, F.; et al. Trends in particle and nuclei identification techniques in nuclear physics experiments. Riv. Nuovo Cim. 2022, 45, 189–276. [Google Scholar] [CrossRef]
- Kozulin, E.; Knyazheva, G.; Karpov, A.; Saiko, V.; Bogachev, A.; Itkis, I.; Novikov, K.; Vorobiev, I.; Pchelintsev, I.; Savelieva, E.; et al. Detailed study of multinucleon transfer features in the Xe 136+ U 238 reaction. Phys. Rev. C 2024, 109, 034616. [Google Scholar] [CrossRef]
- Kozulin, E.; Knyazheva, G.; Itkis, I.; Kozulina, N.; Loktev, T.; Novikov, K.; Harca, I. Shell effects in fission, quasifission and multinucleon transfer reaction. In Proceedings of the Journal of Physics: Conference Series, Messina, Italy, 6–8 November 2013; Volume 515, p. 012010. [Google Scholar] [CrossRef]
- Di Nitto, A.; Vardaci, E.; La Rana, G.; Nadtochy, P.N.; Prete, G. Evaporation channel as a tool to study fission dynamics. Nucl. Phys. A 2018, 971, 21–34. [Google Scholar] [CrossRef]
- Ramos, D.; Caamano, M.; Farget, F.; Rodriguez-Tajes, C.; Lemasson, A.; Schmitt, C.; Audouin, L.; Benlliure, J.; Casarejos, E.; Clement, E.; et al. NSR Query Results. Phys. Rev. C 2023, 107, L021601. [Google Scholar] [CrossRef]
- Wang, M.; Huang, W.; Kondev6, F.; Audi, G.; Naimi, S. The AME 2020 atomic mass evaluation (II). Tables, graphs and references. Chin. Phys. C 2021, 45, 030003. [Google Scholar] [CrossRef]
- Di Nitto, A.; Vardaci, E.; Brondi, A.; La Rana, G.; Cinausero, M.; Gelli, N.; Moro, R.; Nadtochy, P.N.; Prete, G.; Vanzanella, A. Clustering effects in 48Cr composite nuclei produced via the 24Mg + 24Mg reaction. Phys. Rev. C 2016, 93, 044602. [Google Scholar] [CrossRef]
- Di Nitto, A.; Vardaci, E.; Davide, F.; La Rana, G.; Ashaduzzaman, M.; Mercogliano, D.; Setaro, P.A.; Banerjee, T.; Vanzanella, A.; Bianco, D.; et al. Clustering effects in 36Ar nuclei produced via the 24Mg + 12C reaction. Phys. Rev. C 2023, 107, 024615. [Google Scholar] [CrossRef]
- Moro, R.; Brondi, A.; Gelli, N.; Barbui, M.; Boiano, A.; Cinausero, M.; Di Nitto, A.; Fabris, D.; Fioretto, E.; La Rana, G.; et al. Compound nucleus evaporative decay as a probe for the isospin dependence of the level density. Eur. Phys. J. A 2012, 48, 159. [Google Scholar] [CrossRef]
- Mijatovic, T.; Szilner, S.; Corradi, L.; Montanari, D.; Courtin, S.; Fioretto, E.; Gadea, A.; Goasduff, A.; Haas, F.; Malenica, D.J.; et al. The pairing correlation study in the 40Ar + 208Pb reaction. AIP Conf. Proc. 2015, 1681, 060012. [Google Scholar] [CrossRef]
- Mijatovic, T.; Szilner, S.; Corradi, L.; Montanari, D.; Pollarolo, G.; Fioretto, E.; Gadea, A.; Goasduff, A.; Malenica, D.J.; Marginean, N.; et al. Multinucleon transfer reactions in the 40Ar + 208Pb system. Phys. Rev. C 2016, 94, 064616. [Google Scholar] [CrossRef]
- Strobele, H.; Brockmann, R.; Harris, J.; Riess, F.; Sandoval, A.; Stock, R.; Wolf, K.; Pugh, H.; Schroeder, L.; Renfordt, R.; et al. Charged-particle exclusive analysis of central Ar + KCl and Ar + Pb reactions at 1.8 and 0.8 GeV/nucleon. Phys. Rev. C 1983, 27, 1349. [Google Scholar] [CrossRef]
- Grabe, B. Intermediate mass fragment production in interaction 40Ar + 208Pb at E/A = 19.6 MeV. Phys. Rev. C 1992, 45, R5–R8. [Google Scholar] [CrossRef]
- Isaev, A.; Mukhin, R.; Andreev, A.; Bychkov, M.; Chelnokov, M.; Chepigin, V.; Devaraja, H.; Dorvaux, O.; Forge, M.; Gall, B.; et al. Prompt neutron emission in the spontaneous fission of 246Fm. Eur. Phys. J. A 2022, 58, 108. [Google Scholar] [CrossRef]
- Manjunatha, H.; Sowmya, N.; Sridhar, K.; Seenappa, L. A study of probable alpha-ternary fission fragments of 257Fm. J. Radioanal. Nucl. Chem. 2017, 314, 991–999. [Google Scholar] [CrossRef]
- Vijayaraghavan, K.; Lakshmi, V.G.; Prema, P.; Balasubramaniam, M. Equatorial, collinear trajectories in the ternary fission of Cf252 for various third fragments. J. Phys. G Nucl. Part. Phys. 2019, 46, 025103. [Google Scholar] [CrossRef]
- Poenaru, D.; Gherghescu, R.; Greiner, W. Complex fission phenomena. Nucl. Phys. A 2005, 747, 182. [Google Scholar] [CrossRef]
- Degheidy, A.; Maruhn, J. A three-center shell model for ternary fission. Z. Phys. A 1979, 290, 205–2012. [Google Scholar] [CrossRef]
- Vardaci, E. TOSCA: A Time-of-Flight sub-nanosecond Spectrometer for Charged radiation Applications. Unpublished, in preparation.
- Vardaci, E.; Pulcini, A.; Kozulin, E.M.; Matea, I.; Verney, D.; Maj, A.; Schmitt, C.; Itkis, I.M.; Knyazheva, G.N.; Novikov, K.; et al. Using γ rays to disentangle fusion-fission and quasifission near the Coulomb barrier: A test of principle in the fusion-fission and quasielastic channels. Phys. Rev. C 2020, 101, 064612. [Google Scholar] [CrossRef]
- Agodi, C.; Cappuzzello, F.; Cardella, G.; Cirrone, G.A.P.; De Filippo, E.; Di Pietro, A.; Gargano, A.; La Cognata, M.; Mascali, D.; Milluzzo, G.; et al. Nuclear physics midterm plan at LNS. Eur. Phys. J. Plus 2023, 138, 1038. [Google Scholar] [CrossRef]
- Iyer, R.; Cobble, J. Ternary Fission of U 238 Induced by Intermediate-Energy Helium Ions. Phys. Rev. 1968, 172, 1186. [Google Scholar] [CrossRef]
- Agostinelli, S.; Allison, J.; Amako, K.; Apostolakis, J.; Araujo, H.; Arce, P.; Asai, M.; Axen, D.; Banerjee, S.; Barrand, G.; et al. Geant4—A simulation toolkit. Nucl. Instrum. Methods Phys. Res. Sect. Accel. Spectrometers Detect. Assoc. Equip. 2003, 506, 250–303. [Google Scholar] [CrossRef]
- Allison, J.; Amako, K.; Apostolakis, J.; Arce, P.; Asai, M.; Aso, T.; Bagli, E.; Bagulya, A.; Banerjee, S.; Barrand, G.; et al. Recent developments in Geant4. Nucl. Instrum. Methods Phys. Res. Sect. Accel. Spectrometers Detect. Assoc. Equip. 2016, 835, 186–225. [Google Scholar] [CrossRef]
- Bass, R.; Czarnecki, J.; Zitzmann, R. Design study of a magnetically focussed time-of-flight spectrometer for heavy ions. Nucl. Instrum. Methods 1975, 130, 125–133. [Google Scholar] [CrossRef]
- Cetnar, J.; Stanisz, P.; Oettingen, M. Linear Chain Method for Numerical Modelling of Burnup Systems. Energies 2021, 14, 1520. [Google Scholar] [CrossRef]
- Stanisz, P.; Oettingen, M.; Cetnar, J. Development of a Trajectory Period Folding Method for Burnup Calculations. Energies 2022, 15, 2245. [Google Scholar] [CrossRef]
















Disclaimer/Publisher’s Note: The statements, opinions and data contained in all publications are solely those of the individual author(s) and contributor(s) and not of MDPI and/or the editor(s). MDPI and/or the editor(s) disclaim responsibility for any injury to people or property resulting from any ideas, methods, instructions or products referred to in the content. |
© 2024 by the authors. Licensee MDPI, Basel, Switzerland. This article is an open access article distributed under the terms and conditions of the Creative Commons Attribution (CC BY) license (https://creativecommons.org/licenses/by/4.0/).
Share and Cite
Ashaduzzaman, M.; Di Nitto, A.; Vardaci, E.; La Rana, G.; Setaro, P.A.; Banerjee, T.; Vanzanella, A.; Alifano, G. Search for True Ternary Fission in Reaction 40Ar + 208Pb. Appl. Sci. 2024, 14, 8522. https://doi.org/10.3390/app14188522
Ashaduzzaman M, Di Nitto A, Vardaci E, La Rana G, Setaro PA, Banerjee T, Vanzanella A, Alifano G. Search for True Ternary Fission in Reaction 40Ar + 208Pb. Applied Sciences. 2024; 14(18):8522. https://doi.org/10.3390/app14188522
Chicago/Turabian StyleAshaduzzaman, Md, Antonio Di Nitto, Emanuele Vardaci, Giovanni La Rana, Pia Antonella Setaro, Tathagata Banerjee, Antonio Vanzanella, and Giuseppe Alifano. 2024. "Search for True Ternary Fission in Reaction 40Ar + 208Pb" Applied Sciences 14, no. 18: 8522. https://doi.org/10.3390/app14188522
APA StyleAshaduzzaman, M., Di Nitto, A., Vardaci, E., La Rana, G., Setaro, P. A., Banerjee, T., Vanzanella, A., & Alifano, G. (2024). Search for True Ternary Fission in Reaction 40Ar + 208Pb. Applied Sciences, 14(18), 8522. https://doi.org/10.3390/app14188522

