Numerical Simulation of Seismic-Wave Propagation in Specific Layered Geological Structures
Abstract
1. Introduction
2. Seismic Event Conditions
2.1. Measurement Conditions
2.2. Analysis of Geological Conditions
- Crust: Depth of 36 km. The 20 km granite layer has a geological density of 2.66 g/cm3, of 5.8 km/s, and of 3.456 km/s. The 16 km basalt layer has a density of 3.3 g/cm3, of 6.03 km/s, and of 3.73 km/s.
- Lithospheric Upper Mantle: Depth of 24 km with a density of 3.2 g/cm3, of 8.1 km/s, and of 4.9 km/s.
- Asthenosphere: Depth of 160 km, a density of 3.3 g/cm3, of 8.14 km/s, and of 5.0 km/s.
- B layer Transition Zone: Depth of 190 km, a density of 3.4 g/cm3, of 8.8 km/s, and of 5.45 km/s.
- C Transition Zone: Depth of 320 km, a density of 3.6 g/cm3, of 10.1 km/s, and of 6.26 km/s.
2.3. Wave Propagation
2.4. Boundary Condition Analysis
3. Numerical Simulation
3.1. Numerical Modeling of Deep Earthquake
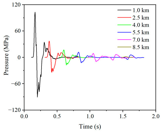
3.2. Numerical Results
4. Methodological Extension
4.1. Explosion Response of Water and Layered Geological Structures Models
4.1.1. Numerical Modeling of Layered Geological Structures
- Water Model (Figure 8a): This spatially axisymmetric model simulates the seismic-wave attenuation behavior of water at a 9 km depth across the given magnitudes. The model incorporates an air layer 1 km high, effectively representing a water body of 9 km depth and a 10 km radius.
- Three-Layered Medium (Figure 8b): This model explores responses in a tri-layered structure: an upper water layer 1 km deep, a middle granite layer 5 km deep, and a lower basalt layer 3 km deep. An air layer of 1 km is added above this structure.
4.1.2. Numerical Results for Water
4.1.3. Numerical Results of Layered Geological Structures Models
4.2. Numerical Analysis of the Equivalent Explosion Response
5. Conclusions
Author Contributions
Funding
Institutional Review Board Statement
Informed Consent Statement
Data Availability Statement
Conflicts of Interest
References
- Karato, S.-I.; Jung, H.; Katayama, I.; Skemer, P. Geodynamic significance of seismic anisotropy of the upper mantle: New insights from laboratory studies. Annu. Rev. Earth Planet. Sci. 2008, 36, 59–95. [Google Scholar] [CrossRef]
- Russo, R.M.; Silver, P.G. Trench-parallel flow beneath the nazca plate from seismic anisotropy. Science 1994, 263, 1105–1111. [Google Scholar] [CrossRef] [PubMed]
- Virieux, J.; Operto, S. An overview of full-waveform inversion in exploration geophysics. Geophysics 2009, 74, WCC1–WCC26. [Google Scholar] [CrossRef]
- Zhu, H.; Stern, R.J.; Yang, J. Seismic evidence for subduction-induced mantle flows underneath Middle America. Nat. Commun. 2020, 11, 2075. [Google Scholar] [CrossRef]
- Brossier, R.; Operto, S.; Virieux, J. Seismic imaging of complex onshore structures by 2D elastic frequency-domain full-waveform inversion. Geophysics 2009, 74, WCC105–WCC118. [Google Scholar] [CrossRef]
- Tromp, J. Seismic wavefield imaging of Earth’s interior across scales. Nat. Rev. Earth Environ. 2020, 1, 40–53. [Google Scholar] [CrossRef]
- Harris, C.W.; Miller, M.S.; Porritt, R.W. Tomographic Imaging of Slab Segmentation and Deformation in the Greater Antilles. Geochem. Geophys. Geosyst. 2018, 19, 2292–2307. [Google Scholar] [CrossRef]
- Pageot, D.; Operto, S.; Vallée, M.; Brossier, R.; Virieux, J. A parametric analysis of two-dimensional elastic full waveform inversion of teleseismic data for lithospheric imaging. Geophys. J. Int. 2013, 193, 1479–1505. [Google Scholar] [CrossRef]
- Gélis, C.; Virieux, J.; Grandjean, G. Two-dimensional elastic full waveform inversion using Born and Rytov formulations in the frequency domain. Geophys. J. Int. 2007, 168, 605–633. [Google Scholar] [CrossRef]
- Chi, B.; Dong, L.; Liu, Y. Full waveform inversion method using envelope objective function without low frequency data. J. Appl. Geophys. 2014, 109, 36–46. [Google Scholar] [CrossRef]
- Zhu, H.; Yang, J.; Li, X. Azimuthal Anisotropy of the North American Upper Mantle Based on Full Waveform Inversion. J. Geophys. Res. Solid Earth 2020, 125, 18432. [Google Scholar] [CrossRef]
- Zhang, J.; Toksöz, M.N. Nonlinear refraction traveltime tomography. Geophysics 1998, 63, 1726–1737. [Google Scholar] [CrossRef]
- Taillandier, C.; Noble, M.; Chauris, H.; Calandra, H. First-arrival traveltime tomography based on the adjoint-state method. Geophysics 2009, 74, WCB1–WCB10. [Google Scholar] [CrossRef]
- Almuhaidib, A.M.; Toksoez, M.N. Finite difference elastic wave modeling with an irregular free surface using ADER scheme. J. Geophys. Eng. 2015, 12, 435–447. [Google Scholar] [CrossRef]
- Kristeková, M.; Kristek, J.; Moczo, P. Time-frequency misfit and goodness-of-fit criteria for quantitative comparison of time signals. Geophys. J. Int. 2009, 178, 813–825. [Google Scholar] [CrossRef]
- Shragge, J.; Konuk, T. Tensorial elastodynamics for isotropic media. Geophysics 2020, 85, T359–T373. [Google Scholar] [CrossRef]
- Wang, Y.; Zhang, J. Joint refraction traveltime tomography and migration for multilayer near-surface imaging. Geophysics 2019, 84, U31–U43. [Google Scholar] [CrossRef]
- Manakou, M.; Raptakis, D.; Chávez-García, F.; Apostolidis, P.; Pitilakis, K. 3D soil structure of the Mygdonian basin for site response analysis. Soil Dyn. Earthq. Eng. 2010, 30, 1198–1211. [Google Scholar] [CrossRef]
- Huang, H.; Zhang, Z.; Chen, X. Investigation of topographical effects on rupture dynamics and resultant ground motions. Geophys. J. Int. 2018, 212, 311–323. [Google Scholar] [CrossRef]
- Zang, N.; Zhang, W.; Chen, X. An overset-grid finite-difference algorithm for simulating elastic wave propagation in media with complex free-surface topography. Geophysics 2021, 86, T277–T292. [Google Scholar] [CrossRef]
- Komatitsch, D.; Tromp, J. Introduction to the spectral element method for three-dimensional seismic wave propagation. Geophys. J. Int. 1999, 139, 806–822. [Google Scholar] [CrossRef]
- Etienne, V.; Chaljub, E.; Virieux, J.; Glinsky, N. An hp-adaptive discontinuous Galerkin finite-element method for 3-D elastic wave modelling. Geophys. J. Int. 2010, 183, 941–962. [Google Scholar] [CrossRef]
- Wang, D.; Qin, X.; Chen, W.; Wang, S. Simulation of the Deformation and Failure Characteristics of a Cylinder Shell under Internal Explosion. Appl. Sci. 2022, 12, 1217. [Google Scholar] [CrossRef]
- Kim, S.; Jang, T.; Oli, T.; Park, C. Behavior of Barrier Wall under Hydrogen Storage Tank Explosion with Simulation and TNT Equivalent Weight Method. Appl. Sci. 2023, 13, 3744. [Google Scholar] [CrossRef]
- Hung, C.-W.; Lai, H.-H.; Shen, B.-C.; Wu, P.-W.; Chen, T.-A. Development and Validation of Overpressure Response Model in Steel Tunnels Subjected to External Explosion. Appl. Sci. 2020, 10, 6166. [Google Scholar] [CrossRef]
- Gong, C.; Qiu, Y.-Y.; Long, Z.-L.; Liu, L.; Xu, G.-G.; Yang, L.-M. Study on the Earth-Covered Magazine Models under the Internal Explosion. Shock. Vib. 2024, 2024, 1–20. [Google Scholar] [CrossRef]
- Zhang, H.; Jia, Z.; Ye, Q.; Cheng, Y.; Li, S. Numerical simulation on influence of initial pressures on gas explosion propagation characteristics in roadway. Front. Energy Res. 2022, 10, 913045. [Google Scholar] [CrossRef]
- Hu, Y.; Lu, W.; Wu, X.; Liu, M.; Li, P. Numerical and experimental investigation of blasting damage control of a high rock slope in a deep valley. Eng. Geol. 2018, 237, 12–20. [Google Scholar] [CrossRef]
- Choy, G.L.; Boatwright, J.L. Global patterns of radiated seismic energy and apparent stress. J. Geophys. Res.-Solid Earth 1995, 100, 18205–18228. [Google Scholar] [CrossRef]
- Chen, J.; Jiang, L.; Li, J.; Shi, X. Numerical simulation of shaking table test on utility tunnel under non-uniform earthquake excitation. Tunn. Undergr. Space Technol. 2012, 30, 205–216. [Google Scholar] [CrossRef]
- Wolfe, C.J.; Silver, P.G. Seismic anisotropy of oceanic upper mantle: Shear wave splitting methodologies and observations. J. Geophys. Res.-Solid Earth 1998, 103, 749–771. [Google Scholar] [CrossRef]
- Salah, M.K.; Alqudah, M.; El-Aal, A.K.A.; Barnes, C. Effects of porosity and composition on seismic wave velocities and elastic moduli of lower cretaceous rocks, central Lebanon. Acta Geophys. 2018, 66, 867–894. [Google Scholar] [CrossRef]
- Olson, P.; Reynolds, E.; Hinnov, L.; Goswami, A. Variation of ocean sediment thickness with crustal age. Geochem. Geophys. Geosystems 2016, 17, 1349–1369. [Google Scholar] [CrossRef]
- Li, F.; Sun, Z.; Zhang, J. Influence of mid-crustal rheology on the deformation behavior of continental crust in the continental subduction zone. J. Geodyn. 2018, 117, 88–99. [Google Scholar] [CrossRef]
- Liu, M.; Cui, X.J.; Liu, F.T. Cenozoic rifting and volcanism in eastern China: A mantle dynamic link to the Indo-Asian collision? Tectonophysics 2004, 393, 29–42. [Google Scholar] [CrossRef]
- Song, B.; Nutman, A.P.; Liu, D.; Wu, J. 3800 to 2500 Ma crustal evolution in the Anshan area of Liaoning Province, northeastern China. Precambrian Res. 1996, 78, 79–94. [Google Scholar] [CrossRef]
- Chen, Y.-W.; Colli, L.; Bird, D.E.; Wu, J.; Zhu, H. Caribbean plate tilted and actively dragged eastwards by low-viscosity asthenospheric flow. Nat. Commun. 2021, 12, 1603. [Google Scholar] [CrossRef]
- Wolf, J.; Long, M.D.; Leng, K.; Nissen-Meyer, T. Constraining deep mantle anisotropy with shear wave splitting measurements: Challenges and new measurement strategies. Geophys. J. Int. 2022, 230, 507–527. [Google Scholar] [CrossRef]
- Levin, V.; Elkington, S.; Bourke, J.; Arroyo, I.; Linkimer, L. Seismic anisotropy in southern Costa Rica confirms upper mantle flow from the Pacific to the Caribbean. Geology 2021, 49, 8–12. [Google Scholar] [CrossRef]
- Schellart, W.P. Kinematics of subduction and subduction-induced flow in the upper mantle. J. Geophys. Res.-Solid Earth 2004, 109, B07401. [Google Scholar] [CrossRef]
- Feng, Z.-Q.; Jia, C.-Z.; Xie, X.-N.; Zhang, S.; Feng, Z.-H.; Cross, T.A. Tectonostratigraphic units and stratigraphic sequences of the nonmarine Songliao basin, northeast China. Basin Res. 2010, 22, 79–95. [Google Scholar]
- Feng, M.; An, M.; Hou, H.; Fan, T.; Zang, H. Channelised magma ascent and lithospheric zonation beneath the Songliao Basin, Northeast China, based on surface-wave tomography. Tectonophysics 2023, 862, 229969. [Google Scholar] [CrossRef]
- Lu, Q.; Wang, Z.-J. Studies of the propagation of viscoelastic spherical divergent stress waves based on the generalized Maxwell model. J. Sound Vib. 2016, 371, 183–195. [Google Scholar] [CrossRef]
- Towfighi, S.; Kundu, T. Elastic wave propagation in anisotropic spherical curved plates. Int. J. Solids Struct. 2003, 40, 5495–5510. [Google Scholar] [CrossRef]
- Sun, C.; Li, C.; Wei, X. Research on Seismic Wave Quality Factor of Marble Jointed Rock Mass under SHPB Impact. Appl. Sci. 2022, 12, 10875. [Google Scholar] [CrossRef]
- Gu, Z.; Wei, C.; Wu, X.; Huang, C. Laser-induced shock response of shear thickening fluid. Acta Mech. Sin. 2023, 39, 123118. [Google Scholar]
- Gu, Z.; Wu, X.; Li, Q.; Yin, Q.; Huang, C. Dynamic compressive behaviour of sandwich panels with lattice truss core filled by shear thickening fluid. Int. J. Impact Eng. 2020, 143, 103616. [Google Scholar] [CrossRef]
- Gu, Z.; Cheng, Y.; Xiao, K.; Li, K.; Wu, X.; Li, Q.; Huang, C. Geometrical scaling law for laser-induced micro-projectile impact testing. Int. J. Mech. Sci. 2022, 223, 107289. [Google Scholar] [CrossRef]
- Goswami, A.; Ganesh, T.; Adhikary, S.D. RC structures subjected to combined blast and fragment impact loading: A state-of-the-art review on the present and the future outlook. Int. J. Impact Eng. 2022, 170, 104355. [Google Scholar] [CrossRef]
- Barlow, A.J.; Maire, P.-H.; Rider, W.J.; Rieben, R.N.; Shashkov, M.J. Arbitrary Lagrangian-Eulerian methods for modeling high-speed compressible multimaterial flows. J. Comput. Phys. 2016, 322, 603–665. [Google Scholar] [CrossRef]
- Richter, T.; Wick, T. Finite elements for fluid-structure interaction in ALE and fully Eulerian coordinates. Comput. Methods Appl. Mech. Eng. 2010, 199, 2633–2642. [Google Scholar] [CrossRef]
- Liu, D.; Dai, C.; Yu, C.; Ma, Y. Numerical Simulation and Experimental Study on Single Point Blasting of Ice Jam of Heilongjiang River Based on ANSYS/LSDYNA. Water 2022, 14, 2808. [Google Scholar] [CrossRef]
- Phani, K.K. Estimation of elastic properties of porous ceramic using ultrasonic longitudinal wave velocity only. J. Am. Ceram. Soc. 2007, 90, 2165–2171. [Google Scholar] [CrossRef]
- Wang, Z.-L.; Li, Y.-C.; Shen, R. Numerical simulation of tensile damage and blast crater in brittle rock due to underground explosion. Int. J. Rock Mech. Min. Sci. 2007, 44, 730–738. [Google Scholar] [CrossRef]
- Ma, Y.; Hale, D. Wave-equation reflection traveltime inversion with dynamic warping and full-waveform inversion. Geophysics 2013, 78, R223–R233. [Google Scholar] [CrossRef]
- Scholz, C.H. Earthquakes and friction laws. Nature 1998, 391, 37–42. [Google Scholar] [CrossRef]
- Wang, C.-H.; Wang, S.-S.; Zhang, J.-X. Pressure Load Characteristics of Nonideal Explosives in a Simulation Cabin. Shock. Vib. 2019, 2019, 6862134. [Google Scholar] [CrossRef]
















(kg·m−3) | (m·s−1) | (GPa) | (GPa) | (GPa) | (J·m−3) | |||
|---|---|---|---|---|---|---|---|---|
| 1630 | 6930 | 27 | 371 | 0.743 | 4.15 | 0.95 | 0.3 |
Disclaimer/Publisher’s Note: The statements, opinions and data contained in all publications are solely those of the individual author(s) and contributor(s) and not of MDPI and/or the editor(s). MDPI and/or the editor(s) disclaim responsibility for any injury to people or property resulting from any ideas, methods, instructions or products referred to in the content. |
© 2024 by the authors. Licensee MDPI, Basel, Switzerland. This article is an open access article distributed under the terms and conditions of the Creative Commons Attribution (CC BY) license (https://creativecommons.org/licenses/by/4.0/).
Share and Cite
Hao, C.; Gu, Z.; Li, K.; Wu, X. Numerical Simulation of Seismic-Wave Propagation in Specific Layered Geological Structures. Appl. Sci. 2024, 14, 8278. https://doi.org/10.3390/app14188278
Hao C, Gu Z, Li K, Wu X. Numerical Simulation of Seismic-Wave Propagation in Specific Layered Geological Structures. Applied Sciences. 2024; 14(18):8278. https://doi.org/10.3390/app14188278
Chicago/Turabian StyleHao, Chunyue, Zhoupeng Gu, Kai Li, and Xianqian Wu. 2024. "Numerical Simulation of Seismic-Wave Propagation in Specific Layered Geological Structures" Applied Sciences 14, no. 18: 8278. https://doi.org/10.3390/app14188278
APA StyleHao, C., Gu, Z., Li, K., & Wu, X. (2024). Numerical Simulation of Seismic-Wave Propagation in Specific Layered Geological Structures. Applied Sciences, 14(18), 8278. https://doi.org/10.3390/app14188278

