Delay Optimization for Wireless Powered Mobile Edge Computing with Computation Offloading via Deep Learning
Abstract
1. Introduction
- (1)
- To eliminate the “near–far” effect in the WPMEC, a UN cooperative transmission method is introduced. This method improves the data offloading delay of “far” UNs by enabling UN cooperation, while also eliminating the deployment cost of relay nodes.
- (2)
- In the case of energy-constrained edge computing, a proposal is made to transfer tasks that need to be offloaded to the MEC server as quickly as possible. A mathematical model aimed at minimum delay is established and solved using the proposed DOPA method to reduce the data offloading delay.
- (3)
- The proposed DLOO framework draws lessons from historical experiences under various wireless channel conditions and automatically predicts the transmission power of the UNs. This approach significantly reduces calculation delay while ensuring accurate predictions. The remainder of this paper is organized as follows. A review of some related work comprises Section 2. The system model and problem formulation are described in Section 3. The detailed design of the DOPA and the DLOO framework are introduced in Section 4. The numerical results are presented in Section 5. Finally, the paper is concluded in Section 6.
2. Related Work
3. System Model and Problem Formulation
- (1)
- the product relationship between the nonlinear log function and the linear variable, as seen in the right-hand side of Constraint (6).
- (2)
- the presence of bilinear variable multiplication terms, such as the Pitij term in Equation (3).
4. DOPA for Solving the Optimal Delay Problem
4.1. Conversion of Nonlinear Function to Piecewise Linear Function Using the PWL Method
| Algorithm 1. PWL method | |
| Inputs: , Outputs: . | |
| |
| (14) | |
| |
| |
| Algorithm 2. DOPA for solving MD1 |
| Inputs: r |
| Outputs: Optimal solution |
|
|
|
4.2. DLOO Framework for Predicting the Transmission Power
| Algorithm 3. Training of DBN |
| Inputs: Channel state information Outputs: Trained DBN network |
|
|
|
|
| Algorithm 4. DLOO framework for power prediction |
| Inputs: DBN module, channel state information Output: Each UN’s transmission power |
|
5. Experimental Results and Analysis
5.1. Simulation Setup
5.2. Simulation Results
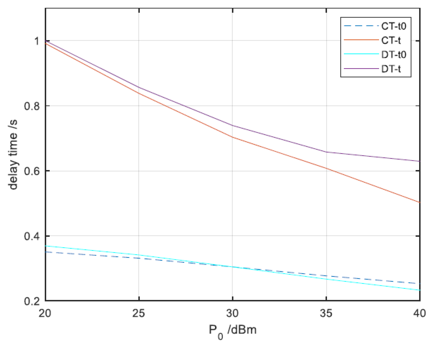
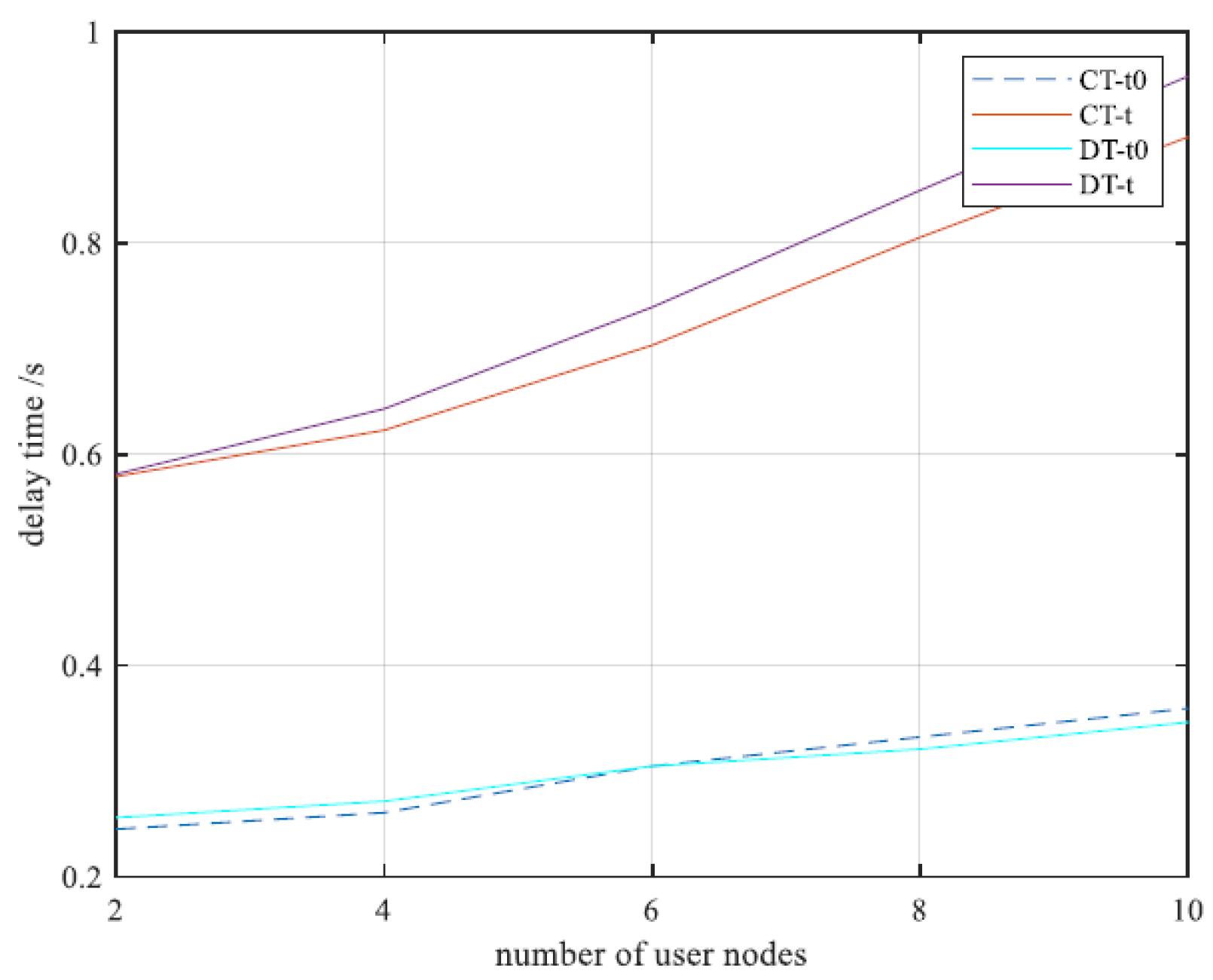
5.2.1. DOPA Performance Analysis
5.2.2. DLOO Performance Analysis
6. Conclusions
Author Contributions
Funding
Institutional Review Board Statement
Informed Consent Statement
Data Availability Statement
Conflicts of Interest
Abbreviations
| DOPA | Delay-optimal approximation algorithm |
| MEC | Mobile edge computing |
| WPMEC | Wireless powered mobile edge computing |
| UNs | User nodes |
| DLOO | Deep learning-based online offloading |
| MILP | Mixed-integer linear programming |
| MINLP | Mixed nonlinear integer programming |
| AP | Access point |
| PWL | Piecewise linear |
| WPT | Wireless power transfer |
| TDMA | Time-division multiple access |
| OFDMA | Orthogonal frequency-division multiple access |
| NOMA | Non-orthogonal multiple access |
| SNR | Signal-to-noise ratio |
| DP | Deep learning |
| DBN | Deep belief network |
References
- Satyanarayanan, M.; Bahl, P.; Caceres, R.; Davies, N. The case for vm-based cloudlets in mobile computing. IEEE Pervasive Comput. 2009, 8, 14–23. [Google Scholar] [CrossRef]
- Bonomi, F.; Milito, R.; Zhu, J.; Addepalli, S. Fog computing and its role in the internet of things. In Proceedings of the First Edition of the MCC Workshop on Mobile Cloud Computing, Helsinki, Finland, 17 August 2012; pp. 13–16. [Google Scholar]
- Lu, X.; Wang, P.; Niyato, D.; Kim, D.I.; Han, Z. Wireless networks with rf energy harvesting: A contemporary survey. IEEE Commun. Surv. Tutor. 2015, 17, 757–789. [Google Scholar] [CrossRef]
- You, C.; Huang, K.; Chae, H.; Kim, B.H. Energy-efficient resource allocation for mobile-edge computation of-floading. IEEE Trans. Wirel. Commun. 2017, 16, 1397–1411. [Google Scholar] [CrossRef]
- Chen, X.; Jiao, L.; Li, W.; Fu, X. Efficient multi-user computation offloading for mobile-edge cloud computing. IEEE/ACM Trans. Netw. 2016, 24, 2795–2808. [Google Scholar] [CrossRef]
- Hu, Y.C.; Patel, M.; Sabella, D.; Sprecher, N.; Young, V. Mobile edge computing—A key technology towards 5G. ETSI White Pap. 2015, 11, 1–16. [Google Scholar]
- Shi, W.; Cao, J.; Zhang, Q.; Li, Y.; Xu, L. Edge computing: Vision and challenges. Internet Things J. IEEE 2016, 3, 637–646. [Google Scholar] [CrossRef]
- Ju, H.; Zhang, R. Throughput maximization in wireless powered communication networks. IEEE Trans. Wirel. Commun. 2013, 13, 418–428. [Google Scholar] [CrossRef]
- Hu, S.; Chen, X.; Ni, W.; Wang, X.; Hossain, E. Modeling and analysis of energy harvesting and smart grid-powered wireless communication networks: A contemporary survey. IEEE Trans. Green Commun. Netw. 2020, 4, 461–496. [Google Scholar] [CrossRef]
- Wang, X.; Li, J.; Ning, Z.; Song, Q.; Guo, L.; Guo, S.; Obaidat, M.S. Wireless powered mobile edge computing networks: A survey. ACM Comput. Surv. 2023, 55, 135. [Google Scholar] [CrossRef]
- You, C.; Huang, K.; Chae, H. Energy efficient mobile cloud computing powered by wireless energy transfer. IEEE J. Sel. Areas Commun. 2016, 34, 1757–1771. [Google Scholar] [CrossRef]
- Wang, F.; Xu, J.; Wang, X.; Cui, S. Joint offloading and computing optimization in wireless powered mobile-edge computing systems. IEEE Trans. Wirel. Commun. 2017, 17, 1784–1797. [Google Scholar] [CrossRef]
- Wang, X.; Ning, Z.; Guo, L.; Guo, S.; Gao, X.; Wang, G. Online learning for distributed computation offloading in wireless powered mobile edge computing networks. IEEE Trans. Parallel Distrib. Syst. 2021, 33, 1841–1855. [Google Scholar] [CrossRef]
- Maray, M.; Mustafa, E.; Shuja, J. Wireless Power Assisted Computation Offloading in Mobile Edge Computing: A Deep Reinforcement Learning Approach. Hum.-Centric Comput. Inf. Sci. 2024, 14. [Google Scholar] [CrossRef]
- Mustafa, E.; Shuja, J.; Bilal, K.; Mustafa, S.; Maqsood, T.; Rehman, F.; Khan, A.U.R. Reinforcement learning for intelligent online computation offloading in wireless powered edge networks. Clust. Comput. 2023, 26, 1053–1062. [Google Scholar] [CrossRef]
- Bolourian, M.; Shah-Mansouri, H. Energy-efficient task offloading for three-tier wireless-powered mobile-edge computing. IEEE Internet Things J. 2023, 10, 10400–10412. [Google Scholar] [CrossRef]
- Wei, Z.; Yu, X.; Ng, D.W.K.; Schober, R. Resource allocation for simultaneous wireless information and power transfer systems: A tutorial overview. Proc. IEEE 2021, 110, 127–149. [Google Scholar] [CrossRef]
- Hu, X.; Wong, K.K.; Yang, K. Wireless powered cooperation-assisted mobile edge computing. IEEE Trans. Wirel. Commun. 2018, 17, 2375–2388. [Google Scholar] [CrossRef]
- Zeng, S.; Huang, X.; Li, D. Joint communication and computation cooperation in wireless-powered mobile-edge computing networks with NOMA. IEEE Internet Things J. 2023, 10, 9849–9862. [Google Scholar] [CrossRef]
- Mao, S.; Wu, J.; Liu, L.; Lan, D.; Taherkordi, A. Energy-efficient cooperative communication and computation for wireless powered mobile-edge computing. IEEE Syst. J. 2020, 16, 287–298. [Google Scholar] [CrossRef]
- Ju, H.; Zhang, R. User cooperation in wireless powered communication networks. In Proceedings of the 2014 IEEE Global Communications Conference, Austin, TX, USA, 8–12 December 2014; pp. 1430–1435. [Google Scholar]
- Pejoski, S.; Hadzi-Velkov, Z.; Duong, T.Q.; Zhong, C. Wireless powered communication networks with non-ideal circuit power consumption. IEEE Commun. Lett. 2017, 21, 1429–1432. [Google Scholar] [CrossRef]
- Wang, C.; Shih, J.; Pan, B.; Wu, T. A network lifetime enhancement method for sink relocation and its analysis in wireless sensor networks. IEEE Sens. J. 2014, 14, 1932–1943. [Google Scholar] [CrossRef]
- Garey, M.R.; Johnson, D.S. Computers and Intractability; Freeman: San Francisco, CA, USA, 1979; Volume 174. [Google Scholar]









| Symbol | Description | Symbol | Description |
|---|---|---|---|
| Ii | Data generated by UN i | Downlink energy harvesting time | |
| Lij | Link formed between UN i and UN j | Bij | Status of the feasible links during the uplink transmission |
| gij, hij | Uplink and downlink transmission power gains of link Lij | Pc | Power loss caused by the extra electronic device |
| P0 | Transmission power of AP | Pi | Transmission power of UN i |
| Energy conversion efficiency | Energy required to receive 1 bit of information | ||
| Information received by UN i through links | Bandwidth | ||
| η | Noise power | Data offloading time from UNs to the AP | |
| Data received by the AP | Active time of link Lij |
| Transmission Power of Each UN/W | Transmission Power of Each UN/W | Transmission Power of Each UN/W | |||||||||
|---|---|---|---|---|---|---|---|---|---|---|---|
| UNs | Times | DOPA | DLOO | UNs | Times | DOPA | DLOO | UNs | Times | DOPA | DLOO |
| 0 | 1 | 0.312 | 0.319 | 2 | 1 | 0.872 | 0.896 | 4 | 1 | 0.502 | 0.499 |
| 2 | 0.918 | 0.907 | 2 | 0.537 | 0.551 | 2 | 0.901 | 0.922 | |||
| 3 | 0.756 | 0.723 | 3 | 0.39 | 0.412 | 3 | 0.916 | 0.889 | |||
| 4 | 0.502 | 0.513 | 4 | 0.918 | 0.927 | 4 | 0.428 | 0.409 | |||
| 5 | 0.736 | 0.699 | 5 | 0.771 | 0.759 | 5 | 0.056 | 0.102 | |||
| 1 | 1 | 0.246 | 0.199 | 3 | 1 | 0.897 | 0.879 | 5 | 1 | 0.781 | 0.782 |
| 2 | 0.342 | 0.357 | 2 | 0.921 | 0.924 | 2 | 0.933 | 0.935 | |||
| 3 | 0.543 | 0.558 | 3 | 0.917 | 0.926 | 3 | 0.502 | 0.519 | |||
| 4 | 0.391 | 0.387 | 4 | 0.791 | 0.788 | 4 | 0.102 | 0.101 | |||
| 5 | 0.685 | 0.671 | 5 | 0.472 | 0.448 | 5 | 0.632 | 0.621 | |||
Disclaimer/Publisher’s Note: The statements, opinions and data contained in all publications are solely those of the individual author(s) and contributor(s) and not of MDPI and/or the editor(s). MDPI and/or the editor(s) disclaim responsibility for any injury to people or property resulting from any ideas, methods, instructions or products referred to in the content. |
© 2024 by the authors. Licensee MDPI, Basel, Switzerland. This article is an open access article distributed under the terms and conditions of the Creative Commons Attribution (CC BY) license (https://creativecommons.org/licenses/by/4.0/).
Share and Cite
Lei, M.; Fu, Z.; Yu, B. Delay Optimization for Wireless Powered Mobile Edge Computing with Computation Offloading via Deep Learning. Appl. Sci. 2024, 14, 7190. https://doi.org/10.3390/app14167190
Lei M, Fu Z, Yu B. Delay Optimization for Wireless Powered Mobile Edge Computing with Computation Offloading via Deep Learning. Applied Sciences. 2024; 14(16):7190. https://doi.org/10.3390/app14167190
Chicago/Turabian StyleLei, Ming, Zhe Fu, and Bocheng Yu. 2024. "Delay Optimization for Wireless Powered Mobile Edge Computing with Computation Offloading via Deep Learning" Applied Sciences 14, no. 16: 7190. https://doi.org/10.3390/app14167190
APA StyleLei, M., Fu, Z., & Yu, B. (2024). Delay Optimization for Wireless Powered Mobile Edge Computing with Computation Offloading via Deep Learning. Applied Sciences, 14(16), 7190. https://doi.org/10.3390/app14167190

