Next Article in Journal
Reinforcement Learning for Semi-Active Vertical Dynamics Control with Real-World Tests
Previous Article in Journal
Research Prospects for the Optimization of Magneto-Optical Trap Parameters for Cold Atom Interferometers
 
 
Font Type:
Arial Georgia Verdana
Font Size:
Aa Aa Aa
Line Spacing:
Column Width:
Background:
Article

Frequency Estimation Algorithm for FMCW Beat Signal Based on Spectral Refinement and Phase Angle Interpolation

1
School of Intelligent Science and Engineering, Qinghai Minzu University, Xining 810007, China
2
School of Computer Science and Technology, China University of Mining and Technology, Xuzhou 221116, China
3
Science and Technology on Microsystem Laboratory, Shanghai Institute of Microsystem and Information Technology, Chinese Academy of Sciences, Shanghai 201800, China
4
University of Chinese Academy of Sciences, Beijing 100049, China
5
Shanghai Research and Development Center for Micro-Nano Electronics, Shanghai 200120, China
*
Author to whom correspondence should be addressed.
Appl. Sci. 2024, 14(16), 7067; https://doi.org/10.3390/app14167067
Submission received: 26 June 2024 / Revised: 7 August 2024 / Accepted: 9 August 2024 / Published: 12 August 2024
(This article belongs to the Section Electrical, Electronics and Communications Engineering)

Abstract

The beat signal obtained from frequency-modulated continuous-wave (FMCW) radar is a waveform that is corrupted by noise and requires filtering out interference components for frequency calibration. Traditional FFT methods are affected by the fence effect and spectral leakage, leading to a reduction in frequency estimation accuracy. Therefore, an improved double-spectrum-line interpolation frequency estimation algorithm is proposed in this paper, utilizing spectral refinement and phase interpolation. Firstly, the post-FFT spectral signal is refined to narrow the frequency search range and enhance frequency resolution, thereby separating the noise signal. Then, a frequency deviation factor is defined based on the relationship between adjacent phase angles. Finally, the signal’s phase angles are interpolated using the frequency deviation factor to estimate the frequency of the beat signal. Experimental results demonstrate that the proposed algorithm reduces the impact of quantization on the frequency distribution and increases the signal’s noise resistance. The proposed algorithm has a higher accuracy and lower standard deviation compared to the recently proposed algorithm.

1. Introduction

Frequency-modulated continuous-wave (FMCW) radar is a widely utilized radar system, esteemed for its high measurement accuracy and robust anti-interference capabilities. Its performance is minimally affected by adverse weather conditions such as rain and snow, rendering it highly suitable for applications in military, traffic management, automotive collision avoidance, and liquid level measurement [1]. The FMCW radar generates a beat signal by mixing the transmitted signal with the reflected echo, thereby deriving information on the target’s distance and velocity [2]. However, the beat signal acquired by FMCW radar is contaminated by noise, leading to significant frequency errors when using direct FFT. Therefore, the accurate estimation of the beat signal’s frequency is a crucial problem in FMCW radar signal processing.
The purpose of frequency estimation is to estimate the distance or velocity of a target object by using the phase difference or time delay of the beat signal, and its accuracy directly affects the accuracy of the distance and velocity measurements [3]. Due to the non-integer relationship between the sampling frequency and the actual frequency, spectral leakage [4] and the fence effect [5] can result in frequency estimation biases. In practical engineering, FFT-based interpolation is typically employed to enhance the accuracy of frequency estimation. Rife et al. [6] proposed the Rife algorithm, which employs double spectral line interpolation. This algorithm uses the ratio between the maximum spectral line and the adjacent second-largest spectral line to interpolate and estimate the signal, thereby improving the accuracy of frequency estimation. Nevertheless, when the actual frequency is close to the quantized frequency point, the frequency estimation accuracy decreases. Dou et al. [7] proposed an improved Quinn and Rife Automatic Segmentation algorithm, which adaptively selects the optimal estimation method for the frequency interval, thereby improving the stability of the algorithm. Nevertheless, the complexity is not considered. Nian et al. [8] proposed an anticipated Rife interpolation algorithm. This algorithm improved the original single-discriminant method of Rife, enhancing the estimation stability within any frequency range. Nevertheless, the algorithm’s noise suppression capability is relatively weak.
To reduce estimation errors caused by noise and spectral leakage, and to balance both anti-interference performance and complexity, a FMCW beat signal frequency estimation algorithm based on spectral refinement and phase interpolation (SP–Rife) is proposed. This algorithm achieves a more accurate frequency estimation by improving the signal resolution and utilizing phase interpolation. The main steps are as follows:
  • Spectral Refinement: The post-FFT spectral signal is refined to narrow the frequency search range and enhance frequency resolution, effectively separating the noise signal.
  • Frequency Deviation Factor is Defined: By defining the frequency deviation factor as the ratio of the maximum spectral amplitude to the sum of the maximum and second-largest spectral amplitudes, the relationship of spectral proportions is established. This approach enhances the algorithm’s capability to correct frequency deviations.
  • Phase Angle Interpolation: Leveraging the stability of phase angles, the algorithm converts spectral amplitudes into phase angles to determine the frequency deviation factor and interpolation direction, thereby increasing the estimation accuracy.
The rest of this paper is organized as follows: Firstly, a comprehensive review of existing frequency estimation algorithms is presented in Section 2. Then, the SP–Rife algorithm is proposed in Section 3. Furthermore, the simulation and experimental results are provided to validate the performance of the proposed algorithm in Section 4. Finally, the research work of this paper is summarized in Section 5.

2. Related Works

The frequency measurement algorithms with a high accuracy can be categorized as autocorrelation-function-based time-domain frequency estimation algorithms and Fourier-transform-based frequency-domain estimation algorithms. Basic time-domain frequency estimation algorithms mainly include the Fitz algorithm [9] and the Kay algorithm [10] and their improved algorithms for the signal-to-noise ratio threshold and constraint parameters. These methods estimate the frequency value from the phase relationship. Frequency-domain frequency estimation algorithms primarily rely on spectral peaks for signal frequency estimation. Examples include the Rife algorithm and the Quinn algorithm [11], as well as improved algorithms designed to address errors that arise when estimated frequency values are close to quantized frequency points. Time-domain estimation algorithms have higher requirements on the signal, such as the signal length and signal-to-noise ratio threshold. In contrast, frequency estimation algorithms are more universally applicable [12].
In response to the fence effect and spectral leakage effects caused by the Fourier transform, Wang et al. [13] proposed a fast and accurate frequency estimation method for monotone signals based on DFT interpolation. Firstly, the frequency deviation direction was accurately identified by the three-sample DFT phase difference, and then a new unbiased estimator was developed for an arbitrary number of samples, which solved the problems of the accuracy of the existing methods in noisy conditions and the bias in a small number of samples. However, the method was still limited by the signal-to-noise ratio threshold in finding the peak DFT in the initial coarse estimation. Serbes et al. [14] proposed the HAQSE algorithm, which employed a hybrid approach combining the half-shift and Q-shift DFT interpolation methods. The first iteration of the algorithm was modified using an unbiased A&M interpolator and then refined using the QSE algorithm to obtain the final frequency estimate. The algorithm required only two iterations, which reduced the computational cost, but the algorithm limited the computational length of the signal and performs poorly above a certain threshold.
Among frequency estimation algorithms, the Rife algorithm, which relied on the ratio of spectral amplitude values, was widely utilized in signal processing due to its relatively low computational complexity and minimal requirements for signal length. However, misjudging the direction of the second-largest spectral value leads to substantial estimation errors when the signal-to-noise ratio is relatively low. Additionally, while the Rife algorithm provided a high accuracy when the estimated frequency was near the center of the quantization frequency, its performance deteriorated significantly and errors increased when the estimated frequency was close to the quantization frequency.
In order to improve the accuracy of frequency interpolation algorithms in the frequency domain, Chen et al. [15] proposed a non-iterative accurate frequency estimator using two DFT spectral lines. The method calculated the Fourier coefficients on the two spectral lines located midway between the two spectral lines adjacent to the maximum value and used the properties of sine function fitting to compute the amplitude ratios of the two intermediate spectral lines to the maximum spectral line, in order to estimate the position of the actual maximum magnitude Fourier coefficient. The complexity of the proposed method was lower than that of traditional methods. However, the method could only achieve CRLB performance under high signal-to-noise ratio conditions, and the estimation bias was larger when the frequency was close to the band edges.
The primary sine frequency estimation method was only suitable for signals with zero padding, resulting in a decrease in frequency estimation performance. Jiang et al. [16] proposed a novel method for the frequency estimation of non-stationary discrete-time sinusoidal signals. They first estimated the signal parameters through a linear regression model, and then constructed a frequency estimation algorithm using the standard gradient descent approach. The method ensured the global exponential convergence of the frequency estimation and had a certain degree of robustness. However, the method relied on the persistently exciting (PE) assumption of the signal, and its performance could be affected when the noise level was high or the signal did not meet the PE condition. Zhang et al. [17] introduced a frequency estimation method based on the amplitude ratio of two DFT samples from zero-filled signals. This method employed the analytical expression of the DFT signal after zero-filling, defining the amplitude ratio function between the two DFT samples nearest to the actual frequency. Utilizing the monotonicity of this ratio function, the residual frequency was estimated using either the Newton–Raphson method or a leveling search. While this method markedly improved the estimation accuracy, it also increased the complexity of signal processing and the overall algorithm.
To tackle the issue of incorrect interpolation direction in estimation algorithms that rely on spectral value ratios, Li et al. [18] proposed a frequency estimation method that uses the peak of the sidelobe. It was not always possible to determine the peak of the first sidelobe from the DFT spectrum due to the fence effect. The method zero-filled the signal and then performed a Fourier transform to accurately locate the peaks of the main flap and the corresponding peaks of the first para flap. However, the method was significantly affected by noise. It was suitable for signals with high signal-to-noise ratios, and a sufficiently large number of samples were required to ensure that the method contributed to the identification of the peak. Borkowski et al. [19] proposed frequency estimation in the interpolated discrete Fourier transforms with a generalized maximum sidelobe attenuation window, defining the Fourier analysis concerning the generalized MSD (GMSD) window. By double-zero padding, the frequency values were estimated using a three-point interpolation algorithm, which provided a greater flexibility for noisy signals but had specific requirements on the signal-to-noise ratio of the processed signals.
Cheng et al. [20] introduced a phase angle interpolation-based improved Rife frequency estimation algorithm called PAI–Rife, which utilized frequency shifting techniques. First, they redefined the existing interpolation method. Then, frequencies outside the frequency shift threshold range were moved to the optimal estimation space. This proposed algorithm reduced the impact of the quantization frequency distribution on estimation accuracy and improved the frequency estimation precision. However, the algorithm’s noise resistance was limited, being effective only within the range of −10 dB to 10 dB, making it unsuitable for harsher environments.
Based on the frequency bias for the corrected frequency estimation, Shi et al. [21] proposed the Golden–MacLeod (GM) algorithm. By improving the MacLeod algorithm and employing an iterative method to obtain the frequency bias, followed by the application of the golden ratio algorithm for frequency estimation, this method significantly reduced estimation errors and enhanced stability. However, the iterative process was influenced by the number of sample points, which led to an increased computational load.
An analysis of the discussed algorithms indicates that the performance of frequency estimation methods is predominantly limited by the trade-off between accuracy and efficiency, especially under low signal-to-noise ratio conditions. The key research objective is to reconcile the reduced computational complexity with the improved accuracy. This paper tackles this issue by combining phase spectrum refinement and phase angle interpolation with the Rife algorithm, aiming to optimize the overall performance of frequency estimation.

3. SP–Rife Algorithm

The SP–Rife algorithm is proposed to enhance the precision of frequency estimation and improve the algorithm’s noise resistance by combining spectral refinement and phase angle interpolation. The algorithm is primarily divided into three parts: spectral refinement, the definition of the frequency deviation factor, and phase angle interpolation estimation.

3.1. Spectral Refinement

Due to the limitation in frequency resolution, it is not possible to obtain the frequencies between adjacent discrete points, which may cause some useful frequencies to be missed. Increasing the number of sampling points will solve this problem, but it will result in higher hardware costs. The spectral refinement technique can improve the signal’s resolution, making it easier to identify and suppress noise signals. Therefore, to enhance the accuracy of frequency estimation at low signal-to-noise ratios, spectral refinement processing is performed on the signal before conducting interpolation estimation in the SP–Rife algorithm.
Let the index corresponding to the maximum value in the spectrum be denoted by k 1 , and the index corresponding to the second-largest value be denoted by k 2 . The corresponding spectra are represented as
X k 1 = n = 0 M 1 x n e j 2 π k 1 N n
and
X k 2 = n = 0 M 1 x n e j 2 π k 2 N n ,
where M is the signal length, N is the number of sampling points, and x n is the sine signal.
Due to the fence effect, the frequency between points k 1 and k 2 has not been detected. Therefore, it is necessary to further refine the frequency resolution by a factor of L between the original adjacent spectral lines. In other words, the spectral amplitudes of the frequencies at the following frequency points need to be obtained:
L k 1 L N , L k 1 + 1 L N , , L k 1 + L 1 L N , L k 1 + L L N if   k 2 = k 1 + 1 L k 2 L N , L k 2 + 1 L N , , L k 2 + L 1 L N , L k 2 + L L N if   k 2 = k 1 1 .
After performing spectral refinement, it is only necessary to calculate the spectra corresponding to the mentioned frequency points, without computing the entire spectrum. For the frequency spectrum of each frequency point k between k 1 and k 2 , use Equation (4) to calculate:
X k 1 + l L = n = 0 M 1 x n e j 2 π N k 1 + l L 1 n M 2 if   k 2 = k 1 + 1 X k 2 + l L = n = 0 M 1 x n e j 2 π N k 2 + l L 1 n M 2 if   k 2 = k 1 1 ,
where l is an integer from 0 to L − 1 indicating the deviation of the refined frequency point with respect to k 1 and k 2 . In this way, a more refined spectral representation can be obtained between k 1 and k 2 , thus enabling a more accurate estimation of the frequency.
Subsequently, the search for the maximum and second-largest spectral values is performed again. In the SP–Rife algorithm, a 100-fold spectral refinement is conducted. Additionally, to find the true maximum spectral peak, the real part of the spectrum is used for determination.

3.2. Defining the Frequency Deviation Factor

The Rife algorithm is known for its high estimation accuracy when the estimated frequency is situated between two quantized frequency points. However, its accuracy diminishes as the estimated frequency approaches these quantized points. To address the limitations of the Rife algorithm and mitigate the effects of spectral leakage, the original sinusoidal signal is processed using the Rife–Vincent (I) window, and the frequency deviation factor is redefined.
The Rife–Vincent (I) window function is expressed as follows [20]:
h t = h τ t 4 M Q ! 2 2 Q ! sin 2 M π t T ,
where 0 Q N / 2 is the order of the window function, T = N / f s is the sampling period, and h τ t is the rectangular window.
Given the symmetry of the DFT for a real sequence, only the positive frequency component of the spectrum is considered in this context. The representation of the frequency spectrum for the windowed signal x n is given by:
X k = 1 M Q ! 2 A N 2 sin 2 π k k 0 π n = M M k k 0 + n ,
where A is the amplitude of the sinusoidal signal, and k 0 is the index of the quantized frequency point corresponding to the true frequency of the signal.
The main frequency components of the signal can be localized by X k 1 . However, relying on the maximum spectrum alone is not sufficient to accurately estimate the true frequency because quantization errors lead to deviations in the signal frequency. By considering both X k 1 and X k 2 , the energy distribution of the signal in the vicinity of the quantized frequency point can be obtained. This distribution usually reflects the true location of the signal frequency. If the true frequency of the signal is closer to the quantization point k 1 , then X k 1 will be significantly larger than X k 2 ; conversely, if the true frequency is closer to the quantization point k 2 , then X k 2 will be relatively large. By calculating the ratio of these two spectra, it is possible to quantify this difference in energy distribution and thus estimate the degree of deviation of the signal frequency relative to the quantization point.
By utilizing Equation (6), the values of X k 1 and X k 2 can be obtained:
X k 1 = 1 M Q ! 2 A N 2 sin 2 π δ 0 π n = M M δ 0 + n ,
and
X k 2 = 1 M Q ! 2 A N 2 sin 2 π δ 0 r π n = M M δ 0 + n r .
When Q = 0 , the Rife–Vincent (I) window function does not exhibit any sidelobes, resulting in minimal impact on the signal [6].
The true frequency of the signal always lies between k 1 and k 2 , with an interval of r = ± 1 between these two indices. Additionally, it is known that the sampling frequency and the actual frequency do not have an integer relationship in reality, resulting in a deviation δ 0 between k 1 and k 0 , known as the frequency deviation factor. It satisfies the relation 0 δ 0 1 / 2 . Based on the relationship between the spectra, the frequency deviation factor can be determined using the ratio of X k 1 and X k 2 .
Therefore, the redefined frequency deviation factor can be expressed as
δ 0 = r X k 1 X k 1 + X k 2 .
The δ 0 provides a way to quantify the frequency deviation. When δ 0 is close to 1, it means that the energy of the signal is mainly concentrated near k 1 , which suggests that the true frequency of the signal may be closer to the quantization frequency point k 1 , whereas, when δ 0 is close to 0, it means that the energy of the signal is more uniformly distributed between k 1 and k 2 , which may suggest that the true frequency of the signal is located in between these two quantization points. By using δ 0 as a compensation for interpolation, the energy distribution of the signal near the quantization points is taken into account, allowing for the more accurate estimation between the quantization frequency points.
After substituting the refined spectrum into Equation (9), it is possible to perform interpolation correction among the refined frequency points.

3.3. Phase Angle Interpolation and Criterion

The phase angle varies within the range of 0 to π , offering greater stability compared to the amplitude. Therefore, in the SP–Rife algorithm, frequency estimation is conducted through phase angle interpolation.
The spectrum of a sinusoidal signal can be further expressed in terms of phase and amplitude as follows:
X k = A k cos φ k + j A k sin φ k = a sin 2 π k k 0 2 sin 2 π k k 0 / N e j θ 0 π k k 0 .
A k = a sin 2 π k k 0 2 sin 2 π k k 0 / N
φ k = θ 0 π k k 0
From the above equations, it can be concluded that the magnitude of the phase angle corresponding to the spectrum is determined by A k and φ k . Given 0 < k k 0 < 0.5 , when k 1 corresponds to the quantized frequency point with the maximum spectrum value, 0 < π ( k 1 k 0 ) < π . It can be concluded that A k 1 and A k 1 + 1 are positive, while A k 1 1 is negative. As shown in Figure 1, the denominator of A k is always positive when k k 0 > 0 . When k = k 1 + 1 , both the denominator and numerator of A k are positive, so A k 1 + 1 is positive. When k = k 1 1 , the numerator of A k is positive and the denominator is negative, so A k 1 1 is negative.
Assuming φ k 1 is in the first quadrant, it can be derived that cos φ k 1 > 0 , and both φ k 1 1 and φ k 1 + 1 are in the third quadrant. From Equation (10), the following is obtained:
A k 1 cos φ k 1 > 0 A k 1 sin φ k 1 > 0 A k 1 + 1 cos φ k 1 + 1 < 0 A k 1 + 1 sin φ k 1 + 1 < 0 A k 1 1 cos φ k 1 1 > 0 A k 1 1 sin φ k 1 1 > 0 .
From the above analysis, it can be inferred that the phase angles corresponding to k 1 and k 1 1 are situated in the first quadrant, while the phase angle corresponding to k 1 + 1 is in the third quadrant. Given the substantial phase angle variation at k 1 + 1 , interpolation correction will be applied between k 1 and k 1 + 1 . The direction of frequency deviation correction is also determined based on the extent of the phase angle variation. Similarly, for other quadrant conditions of φ k 1 , this analysis allows for analogous conclusions.
Combining Equation (9), the frequency deviation factor δ 1 based on the phase angle can be obtained:
δ 1 = r 1 a n g l e X k 1 a n g l e X k 1 + a n g l e X k 1 + r 1 ,
where a n g l e · is the phase angle function, and r 1 represents the correction direction. The determination of the correction direction is based on the following conditions:
r 1 = 1 , a n g l e X k 1 + 1 a n g l e X k 1 1 1 , a n g l e X k 1 + 1 a n g l e X k 1 1 .
If r 1 = 1 , the true frequency point is to the right of the maximum spectral position k 1 . If r 1 = 1 , the true frequency point is to the left of k 1 .
After frequency spectrum refinement and phase angle interpolation, the corrected frequency is calculated using Equation (16).
f ^ 0 = k 1 + r 1 δ 1 f s N ,
where f s is the signal sampling frequency.

3.4. SP–Rife Algorithm

The SP–Rife algorithm, as presented in Algorithm 1, is proposed based on the comprehensive content from Section 3.1, Section 3.2, Section 3.3. The computation process of the algorithm involves spectral refinement and phase angle interpolation estimation, aiming to optimize the issues of the spectral leakage, direction correction determination, and interpolation method.
Algorithm 1: SP–Rife Algorithm
Input:A sinusoidal signal s n
Output:Frequency estimation f ^ 0
Initialize:Windowing
x n = s n h n
Step 1:Obtain the position of the maximum spectral
                                               k 1 = max F F T x n
Step 2:Refine the spectrum at [ k 1 1 , k 1 + 1 ] by a factor of 100 and update k 1
Step 2:Calculate F F T x k 1 and F F T x k 1 ± 1
Step 3:Calculate the phase angles P 1 , P 2 and P 3 at k 1 , k 1 + 1 and k 1 1 with phase angle function a n g l e ·
Step 4:Calculate correction direction and frequency deviation
If P 2 > P 3
    r 1 = 1
    δ 1 = P 1 P 1 + P 2
Else
    r 1 = 1
    δ 1 = P 1 P 1 + P 3
End of if
Step 5: f ^ 0 = k 1 + r 1 δ 1 f s N
Return f ^ 0
The SP–Rife algorithm can be summarized as follows:
1.
The signal is windowed, and the position k 1 corresponding to the maximum value in the spectrum is detected.
2.
The spectrum between k 1 1 and k 1 + 1 is refined 100 times, and the maximum and second-largest values in the refined spectrum are found.
3.
The phase function a n g l e · is used to calculate the phase angle P 1 corresponding to the maximum value in the spectrum and the phase angles P 2 and P 3 corresponding to the adjacent two frequencies.
4.
By comparing the values of P 2 and P 3 , the correction direction r 1 and the frequency deviation factor δ 1 are determined. Assuming P 2 = a n g l e [ X k 1 1 ] , if P 2 > P 3 , interpolation is performed on the left side of the maximum spectrum, and r 1 = 1 ; if P 2 < P 3 , it is concluded that the actual frequency point is on the right side of the maximum spectrum, and r 1 = 1 .
5.
The final frequency estimation value is computed using Equation (16).

4. Simulation Analysis

The simulation and evaluation of the SP–Rife algorithm, along with the comparison to other algorithms (Rife [6], ASIQ–Rife [7], and PAI–Rife [20]), are performed using the MATLAB platform. The evaluation metrics include computational complexity, and mean and standard deviation. To evaluate the accuracy of the estimation, additive Gaussian white noise with a zero mean is introduced into the signal, with the Cramer–Rao lower bound (CRLB) used as the benchmark. The simulation parameters are outlined in Table 1.

4.1. Computational Complexity

In the Rife algorithm, a single N-point FFT operation requires C M complex multiplications and C A complex additions.
C M = N 2 log N .
C A = N log N ,
where log · is the base-2 logarithmic operation.
During the algorithm execution, finding the maximum and second maximum values in the spectrum requires 2 N complex multiplications and 2 ( N 1 ) complex additions.
Table 2 shows the computational complexities of different Rife algorithms. While the ASIQ–Rife algorithm avoids frequency deviation, its computational complexity is substantially higher due to the repeated use of the Rife and Quinn algorithms. The PAI–Rife algorithm recalculates the spectrum with a 40% probability following frequency shifting. On the other hand, the SP–Rife algorithm reduces the computational load by applying 100-fold spectrum interpolation to selected frequency points, limiting the number of computation points to 200. As a result, the SP–Rife algorithm presents a lower computational demand than the other two improved algorithms and exhibits only a 5.2% increase in complexity compared to the original Rife algorithm.

4.2. Estimated Performance at Different Frequencies

In this subsection, the performance of the SP–Rife algorithm is evaluated across various frequencies. The quantization frequency f 0 = 19   Hz is set, 0.05 Δ f is the quantization interval, and 11 quantization frequency points f i are taken between f 0 f 0 + Δ f / 2 . The SNR is −4 dB.
The results comparing the SP–Rife algorithm with other Rife algorithms are illustrated in Figure 2 and Figure 3. The Rife algorithm exhibits significant estimation errors near quantized frequencies. Despite improvements in the ASIQ–Rife algorithm aimed at reducing estimation errors near quantized frequencies, its fundamental spectral interpolation method has not been altered. Consequently, the estimation accuracy remains consistent within the optimal range. The PAI–Rife algorithm changes the criteria for determining the correction direction and the interpolation method, resulting in a more accurate estimation of the frequency deviation factor, but there are still fluctuations in errors near quantized frequencies. In contrast, SP–Rife achieves the most stable frequency estimation performance by increasing the frequency resolution through spectral refinement.
Based on the statistical analysis of the standard deviation, the mean standard deviation of the Rife algorithm across 11 frequency points is approximately 0.068. For the ASIQ–Rife algorithm, the mean standard deviation is about 0.045, while the PAI–Rife algorithm has a mean standard deviation of approximately 0.018. In contrast, the SP–Rife algorithm exhibits a mean standard deviation of around 0.013. This indicates a significant improvement in frequency estimation accuracy with the SP–Rife algorithm, achieving an 80.9% reduction compared to the Rife algorithm and a 27.8% reduction compared to the PAI–Rife algorithm. The SP–Rife algorithm consistently delivers a superior frequency estimation accuracy across various frequency points relative to other algorithms.

4.3. Estimated Performance at SNRs

In addition to evaluating the algorithm’s estimation performance at various frequencies, the effects of noise on frequency estimation are also assessed. The quantized frequency point is set to f i = 19.2   Hz .
Figure 4 and Figure 5 present the comparison results, where (a) displays the data for SNR values ranging from −20 dB to 20 dB, and (b) offers an expanded view of (a) for SNR values between −10 dB and 10 dB. The ASIQ–Rife and PAI–Rife algorithms show an improved estimation accuracy compared to the original Rife algorithm under certain SNR conditions. Nevertheless, substantial errors are still evident at lower SNR levels. Conversely, the SP–Rife algorithm capitalizes on the stability of phase angles and spectral refinement techniques, effectively reducing the impact of noise on the frequency estimation. Consequently, the SP–Rife algorithm consistently achieves the most stable mean frequency estimation in low-SNR scenarios.
The calculations reveal that, within an SNR range of −10 dB to 10 dB, the Rife algorithm has an average standard deviation of approximately 0.063. Among the two enhanced Rife algorithms, the PAI–Rife algorithm performs better, with an average standard deviation of about 0.013. The SP–Rife algorithm delivers the best performance, with an average standard deviation of approximately 0.008. Compared to the Rife algorithm, the PAI–Rife algorithm shows a notable improvement of 87.3% in noise resilience, while the SP–Rife algorithm surpasses PAI–Rife with a 38.5% improvement in noise resilience. In low-SNR conditions, this enhancement is even more significant, with the standard deviation nearing the CRLB.

4.4. Correction Direction Misjudgment Rate

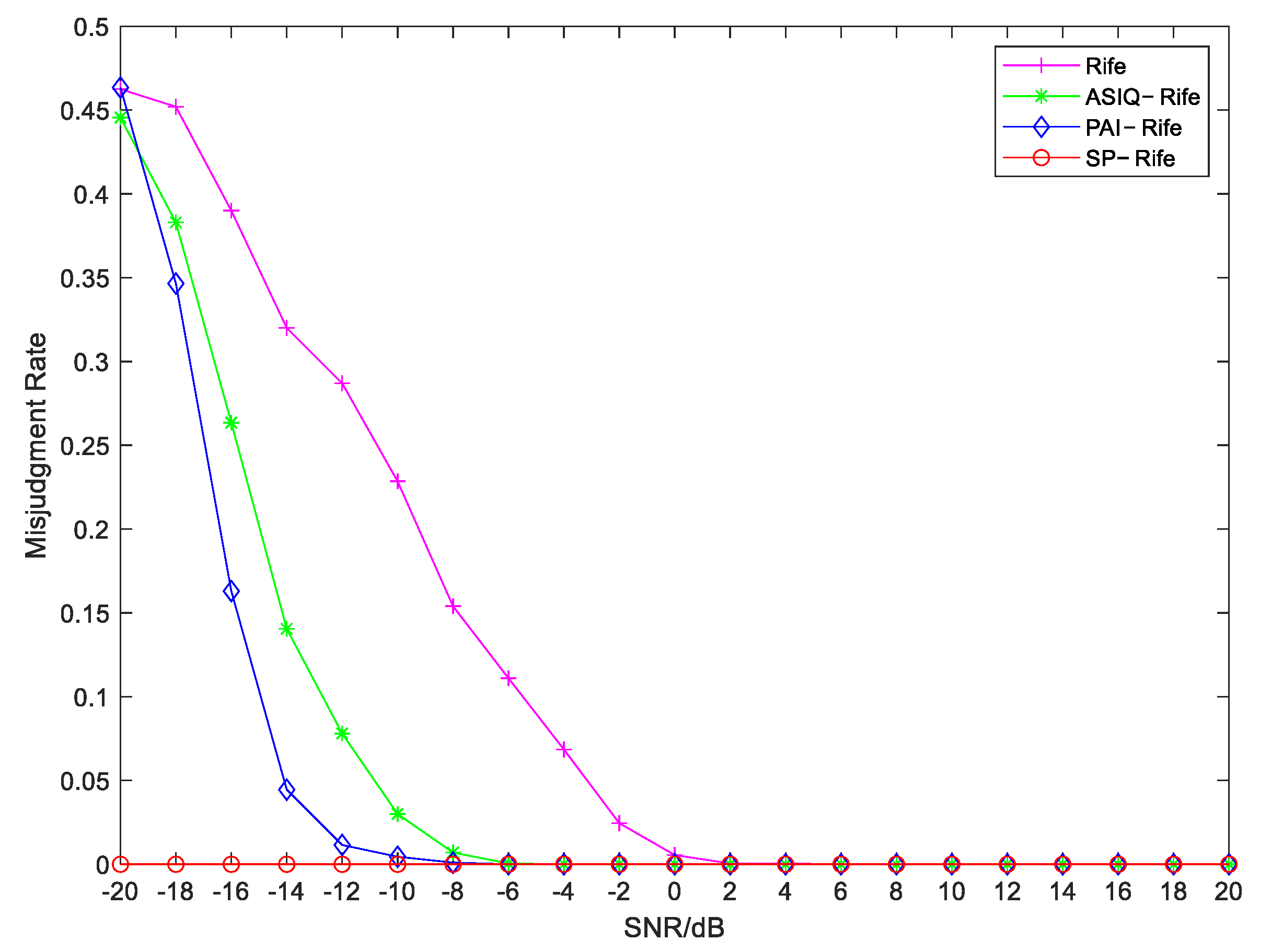
Frequency estimation errors can be attributed to two main categories: one is the inaccurate estimation of frequency deviation, leading to deviations in interpolation positions; the other is the misjudgment of the correction direction, resulting in increased frequency estimation errors. To address this, a comparative analysis of the misjudgment of the correction direction for each algorithm under different SNR conditions is shown in Figure 6.
As previously analyzed, the Rife algorithm tends to exhibit a relatively high misjudgment rate for the correction direction when the frequency point is near the quantized frequency, leading to increased frequency errors after deviation correction. To address this issue, the ASIQ–Rife algorithm reassesses the correction direction following signal frequency shifting, which reduces the misjudgment rate. The PAI–Rife algorithm enhances the accuracy by shifting the signal to the optimal estimation range, thereby improving the correction direction judgment; however, significant errors persist under low-SNR conditions. In contrast, the SP–Rife algorithm effectively mitigates the effects of spectral leakage and noise by refining the frequency resolution through spectrum refinement. Additionally, it enhances the accuracy of correction direction judgment using phase angle interpolation. Consequently, the SP–Rife algorithm achieves a misjudgment rate for the correction direction that is significantly closer to zero and much lower compared to both the Rife and ASIQ–Rife algorithms, especially in high-noise environments.

4.5. Analysis of Actual Measurement Data

To validate the practical performance of the SP–Rife algorithm, actual data are collected using FMCW radar at five different distances. Subsequently, the SP–Rife algorithm is employed to estimate the frequency of the received echo signals containing distance information. The estimated frequency values are then used in Equation (16) to obtain the distance estimates.
R = c T f 0 2 B ,
where T = N / f s is the sampling period, c = 299 , 792 , 458   m / s is the speed of electromagnetic waves, and B is the signal bandwidth.
The experimental data acquisition environment is shown in Figure 7. The metallic panel on the wall serves as the target for measurement. The radar-to-target distance is set using the launching platform, and then the equipment is fixed on the track. The FMCW radar transmits the signal, which reflects off the metallic panel in front and is received by the device’s receiving panel, generating beat signals. Before the measurement, the sampling frequency of the FMCW radar is set to f s = 92.7835   KHz , the signal bandwidth B = 999.47   MHz , and the sampling number N = 1024 . The actual distances measured by the radar are 2378 mm, 2420 mm, 2561 mm, and 2653 mm.
The beat frequency of the FMCW radar’s beat signal is estimated using various frequency estimation algorithms, and the corresponding distances are calculated. Table 3 displays the distance results obtained with different beat frequency estimation algorithms. For a more intuitive comparison, measurement errors from these algorithms are plotted in Figure 8. The analysis reveals that the Rife algorithm provides the least accurate estimates across all datasets. The PAI–Rife algorithm reduces errors by optimizing the signal’s estimation range. Conversely, the SP–Rife algorithm achieves the most precise beat frequency estimates through spectrum refinement and phase interpolation, resulting in the smallest distance measurement errors.

5. Conclusions

Frequency leakage and the fence effect pose significant challenges in the estimation of FMCW signals. The commonly used Rife algorithm, while prevalent, is vulnerable to noise and has limitations concerning the frequency range. To address these issues, this paper proposes the SP–Rife algorithm, which leverages spectrum refinement and phase interpolation techniques. The algorithm enhances the frequency resolution through spectrum refinement, improving the signal’s robustness against noise. Additionally, by employing amplitude–phase conversion followed by interpolation estimation, the SP–Rife algorithm achieves a greater accuracy and precision in frequency estimation.
The simulation results indicate that the SP–Rife algorithm reduces the computational complexity by 30.1% compared to the Rife algorithm, demonstrating a significant advantage over the other two improved Rife algorithms. In comparison to the PAI–Rife algorithm, which shows a relatively strong estimation performance, the SP–Rife algorithm provides a 38.5% improvement in noise robustness and a 27.8% enhancement in frequency estimation accuracy. Overall, the SP–Rife algorithm achieves an effective balance between computational efficiency and accuracy, outperforming the Rife, ASIQ–Rife, and PAI–Rife algorithms in terms of overall estimation performance. Despite these advancements, the algorithm’s effectiveness is contingent upon the appropriate setting of the spectrum refinement factor, which is sensitive to varying environmental conditions. In future work, adaptive methods for adjusting the spectral refinement factor will be explored to enable automatic calibration based on the characteristics of signals and environmental noise, thereby enhancing the generality and robustness of the algorithm. The current work has solved the estimation accuracy, which provides a foundation for future parameter adaptation.

Author Contributions

Conceptualization, G.J. and M.C.; methodology, W.F.; software, M.C. and S.G.; validation, G.J. and M.C.; formal analysis, S.G.; investigation, G.J.; resources, W.F.; data curation, W.F. and M.C.; writing—original draft preparation, S.G.; writing—review and editing, M.C.; visualization, G.J.; supervision, M.C.; project administration, W.F.; funding acquisition, M.C. and G.J. All authors have read and agreed to the published version of the manuscript.

Funding

This research was funded by the Key R&D and Transformation Plan of Qinghai Province (Grant Number 2023-SF-148S-I).

Institutional Review Board Statement

Not applicable.

Informed Consent Statement

Not applicable.

Data Availability Statement

The data presented in this study are available upon request from the authors.

Acknowledgments

The authors would like to thank the editor-in-chief, editor, and anonymous reviewers for their valuable reviews.

Conflicts of Interest

The authors declare no conflicts of interest.

References

  1. Xu, Z.; Qi, S.; Zhang, P. A Coherent CZT-Based Algorithm for High-Accuracy Ranging With FMCW Radar. IEEE Trans. Instrum. Meas. 2023, 72, 8001511. [Google Scholar] [CrossRef]
  2. Cao, Z.; Li, J.; Song, C.; Xu, Z.; Wang, X. Compressed Sensing-Based Multitarget CFAR Detection Algorithm for FMCW Radar. IEEE Trans. Geosci. Remote. Sens. 2021, 59, 9160–9172. [Google Scholar] [CrossRef]
  3. Peter, S.; Reddy, V.V. Extraction and Analysis of Micro-Doppler Signature in FMCW Radar. In Proceedings of the 2021 IEEE Radar Conference (RadarConf21), Atlanta, GA, USA, 8–14 May 2021; pp. 1–6. [Google Scholar] [CrossRef]
  4. Hao, Y.; Song, P.; Wang, X.; Pan, Z. A Spectrum Correction Algorithm Based on Beat Signal of FMCW Laser Ranging System. Sensors 2021, 21, 5057. [Google Scholar] [CrossRef] [PubMed]
  5. Oruganti, V.S.R.V.; Dhanikonda, V.S.S.S.S.; Paredes, H.K.M.; Simões, M.G. Enhanced Dual-Spectrum Line Interpolated FFT with Four-Term Minimal Sidelobe Cosine Window for Real-Time Harmonic Estimation in Synchrophasor Smart-Grid Technology. Electronics 2019, 8, 191. [Google Scholar] [CrossRef]
  6. Rife, D.C.; Vincent, G.A. Use of the Discrete Fourier Transform in the Measurement of Frequencies and Levels of Tones. Bell Syst. Tech. J. 1970, 49, 197–228. [Google Scholar] [CrossRef]
  7. Dou, X.; Liang, H. Frequency Estimation of Sinusoidal Signals Using ASIQ–Rife Interpolation Method. IETE J. Res. 2019, 65, 810–817. [Google Scholar] [CrossRef]
  8. Nian, P.; Liu, R. Anticipated Rife Interpolation Algorithm for Frequency Estimation of Sinusoid Signal. In Proceedings of the 2019 IEEE International Conference on Power, Intelligent Computing and Systems (ICPICS), Shenyang, China, 12–14 July 2019; pp. 287–291. [Google Scholar] [CrossRef]
  9. Kay, S. A fast and accurate single frequency estimator. IEEE Trans. Acoust. Speech Signal Process. 1989, 37, 1987–1990. [Google Scholar] [CrossRef]
  10. Fitz, M. Further results in the fast estimation of a single frequency. IEEE Trans. Commun. 1994, 42, 862–864. [Google Scholar] [CrossRef]
  11. Quinn, B. Estimation of frequency, amplitude, and phase from the DFT of a time series. IEEE Trans. Signal Process. 1997, 45, 814–817. [Google Scholar] [CrossRef]
  12. Campobello, G.; Segreto, A.; Donato, N. A Novel Low-Complexity Frequency Estimation Algorithm for Industrial Internet-of-Things Applications. IEEE Trans. Instrum. Meas. 2020, 70, 6501610. [Google Scholar] [CrossRef]
  13. Wang, M.; Wang, Q.; Wen, Y.; Liang, K. A Fast and Accurate Frequency Estimator for Complex Single-Tone Signal Based on DFT Interpolation. IEEE Trans. Instrum. Meas. 2024, 73, 6501311. [Google Scholar] [CrossRef]
  14. Serbes, A.; Qaraqe, K. A Fast Method for Estimating Frequencies of Multiple Sinusoidals. IEEE Signal Process. Lett. 2020, 27, 386–390. [Google Scholar] [CrossRef]
  15. Chen, Y.; Ko, A.H.C.; Tam, W.S.; Kok, C.W.; So, H.C. Non-iterative and accurate frequency estimation of a single cisoid using two DFT coefficients. Digit. Signal Process. 2020, 98, 102652. [Google Scholar] [CrossRef]
  16. Jiang, T.; Cui, G. Frequency Estimation of Discrete-Time Sinusoidal Signals With Time-Varying Amplitude. IEEE Trans. Circuits Syst. II Express Briefs 2024, 71, 2754–2758. [Google Scholar] [CrossRef]
  17. Zhang, Y.; Xie, Y.; Li, X.; Zhang, X.-P.; Zhou, J. Frequency Estimation for Zero-Padded Signal Based on the Amplitude Ratio of Two DFT Samples. IEEE Trans. Signal Process. 2021, 69, 6504–6514. [Google Scholar] [CrossRef]
  18. Li, R.; Xuan, J.; Shi, T. A frequency estimation method for two adjacent frequencies. Measurement 2020, 157, 107614. [Google Scholar] [CrossRef]
  19. Borkowski, J.; Mroczka, J.; Matusiak, A.; Kania, D. Frequency Estimation in Interpolated Discrete Fourier Transform With Generalized Maximum Sidelobe Decay Windows for the Control of Power. IEEE Trans. Ind. Inform. 2020, 17, 1614–1624. [Google Scholar] [CrossRef]
  20. Cheng, M.; Jia, G.; Fang, W.; Yi, H.; Zhang, W. Accurate Sinusoidal Frequency Estimation Algorithm for Internet of Things Based on Phase Angle Interpolation Using Frequency Shift. Appl. Sci. 2022, 12, 6232. [Google Scholar] [CrossRef]
  21. Shi, L.-F.; Yin, W.; Lv, Y.-F.; Shi, Y. An Improved Radar Echo Signal Processing Algorithm for Industrial Liquid Level Measurement. IEEE Trans. Instrum. Meas. 2022, 71, 1008008. [Google Scholar] [CrossRef]
Figure 1. The process of changing the symbol of A k .
Figure 1. The process of changing the symbol of A k .
Applsci 14 07067 g001
Figure 2. The mean of SP–Rife and other algorithms at different frequencies.
Figure 2. The mean of SP–Rife and other algorithms at different frequencies.
Applsci 14 07067 g002
Figure 3. The standard deviation of SP–Rife and other algorithms at different frequencies.
Figure 3. The standard deviation of SP–Rife and other algorithms at different frequencies.
Applsci 14 07067 g003
Figure 4. The mean of SP–Rife and other algorithms at different SNRs. (a) The results at SNR ranging from −20 dB to 20 dB are presented to demonstrate the overall noise resilience of different algorithms. (b) The results at SNR ranging from −10 dB to 10 dB are provided to compare the estimation performance of different algorithms under varying SNRs.
Figure 4. The mean of SP–Rife and other algorithms at different SNRs. (a) The results at SNR ranging from −20 dB to 20 dB are presented to demonstrate the overall noise resilience of different algorithms. (b) The results at SNR ranging from −10 dB to 10 dB are provided to compare the estimation performance of different algorithms under varying SNRs.
Applsci 14 07067 g004
Figure 5. The standard deviation of SP–Rife and other algorithms at different SNRs. (a) The results at SNR ranging from −20 dB to 20 dB are presented to demonstrate the overall noise resilience of different algorithms. (b) The results at SNR ranging from −10 dB to 10 dB are provided to compare the estimation performance of different algorithms under varying SNRs.
Figure 5. The standard deviation of SP–Rife and other algorithms at different SNRs. (a) The results at SNR ranging from −20 dB to 20 dB are presented to demonstrate the overall noise resilience of different algorithms. (b) The results at SNR ranging from −10 dB to 10 dB are provided to compare the estimation performance of different algorithms under varying SNRs.
Applsci 14 07067 g005
Figure 6. Correction misjudgment rates of several Rife algorithms under different SNRs.
Figure 6. Correction misjudgment rates of several Rife algorithms under different SNRs.
Applsci 14 07067 g006
Figure 7. Experimental data collection environment.
Figure 7. Experimental data collection environment.
Applsci 14 07067 g007
Figure 8. Comparison results of measurement errors.
Figure 8. Comparison results of measurement errors.
Applsci 14 07067 g008
Table 1. Simulation parameters.
Table 1. Simulation parameters.
ParametersValue
Monte Carlo times10,000
Sampling points ( N )1024
Quantization frequency ( f 0 )19 Hz
Sampling frequency ( f s )1024 Hz
Frequency resolution ( Δ f )1 Hz
Spectrum refinement range18 Hz: 0.01 Hz: 20 Hz
SNR−20 dB: 2 dB: 20 dB
Table 2. Complexity of different Rife algorithms ( N = 1024 ).
Table 2. Complexity of different Rife algorithms ( N = 1024 ).
AlgorithmComplex MultiplicationsComplex AdditionsComputation PointsIncreased Complexity
Rife C M C A 15,360.00%
ASIQ–Rife C M + 8 N C A + 5.3 ( N 1 ) 28,973.988.6%
PAI–Rife C M + 1.2 N C A + 0.8 ( N 1 ) 17,407.213.3%
SP–Rife C M + 2 200 C A + 2 ( 200 1 ) 16,158.05.2%
Table 3. Comparison of distance values obtained by different algorithms.
Table 3. Comparison of distance values obtained by different algorithms.
Algorithm2378 mm2420 mm2561 mm2653 mm
ResultErrorResultsErrorResultErrorResultError
Rife2324.353.72362.257.82603.442.42607.245.8
ASIQ–Rife2328.449.62466.946.92586.525.52623.629.4
PAI–Rife2363.914.12412.27.82567.66.62656.23.2
SP–Rife2373.14.92416.33.72558.12.92654.71.7
Disclaimer/Publisher’s Note: The statements, opinions and data contained in all publications are solely those of the individual author(s) and contributor(s) and not of MDPI and/or the editor(s). MDPI and/or the editor(s) disclaim responsibility for any injury to people or property resulting from any ideas, methods, instructions or products referred to in the content.

Share and Cite

MDPI and ACS Style

Jia, G.; Cheng, M.; Fang, W.; Guo, S. Frequency Estimation Algorithm for FMCW Beat Signal Based on Spectral Refinement and Phase Angle Interpolation. Appl. Sci. 2024, 14, 7067. https://doi.org/10.3390/app14167067

AMA Style

Jia G, Cheng M, Fang W, Guo S. Frequency Estimation Algorithm for FMCW Beat Signal Based on Spectral Refinement and Phase Angle Interpolation. Applied Sciences. 2024; 14(16):7067. https://doi.org/10.3390/app14167067

Chicago/Turabian Style

Jia, Guoqing, Minglong Cheng, Weidong Fang, and Shanshan Guo. 2024. "Frequency Estimation Algorithm for FMCW Beat Signal Based on Spectral Refinement and Phase Angle Interpolation" Applied Sciences 14, no. 16: 7067. https://doi.org/10.3390/app14167067

APA Style

Jia, G., Cheng, M., Fang, W., & Guo, S. (2024). Frequency Estimation Algorithm for FMCW Beat Signal Based on Spectral Refinement and Phase Angle Interpolation. Applied Sciences, 14(16), 7067. https://doi.org/10.3390/app14167067

Note that from the first issue of 2016, this journal uses article numbers instead of page numbers. See further details here.

Article Metrics

Back to TopTop