Research on the Characterization of Bonding Parameters for Ore Particles Based on Response Surface Methodology
Abstract
1. Introduction
2. Construction of an Ore-Crushing Particle Bonding Model
3. Ore Bonding Parameter Determination Method
4. Simulation Verification
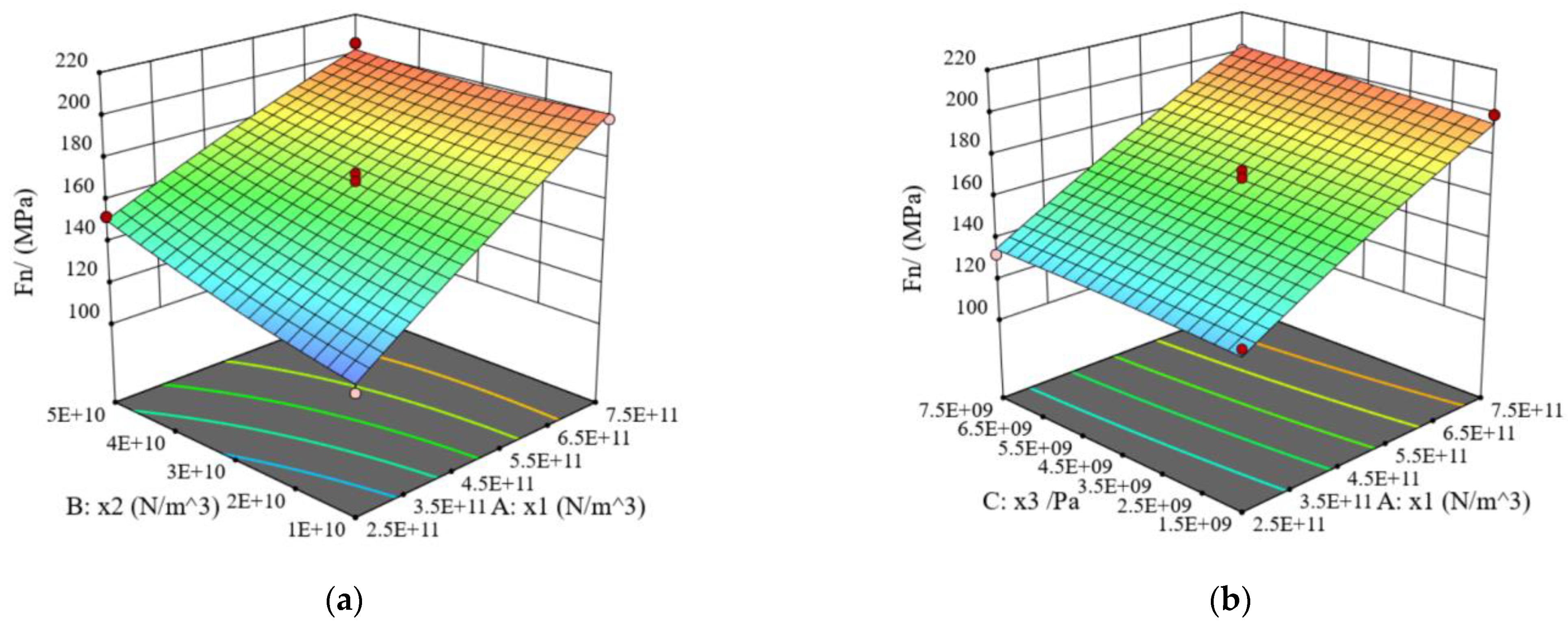
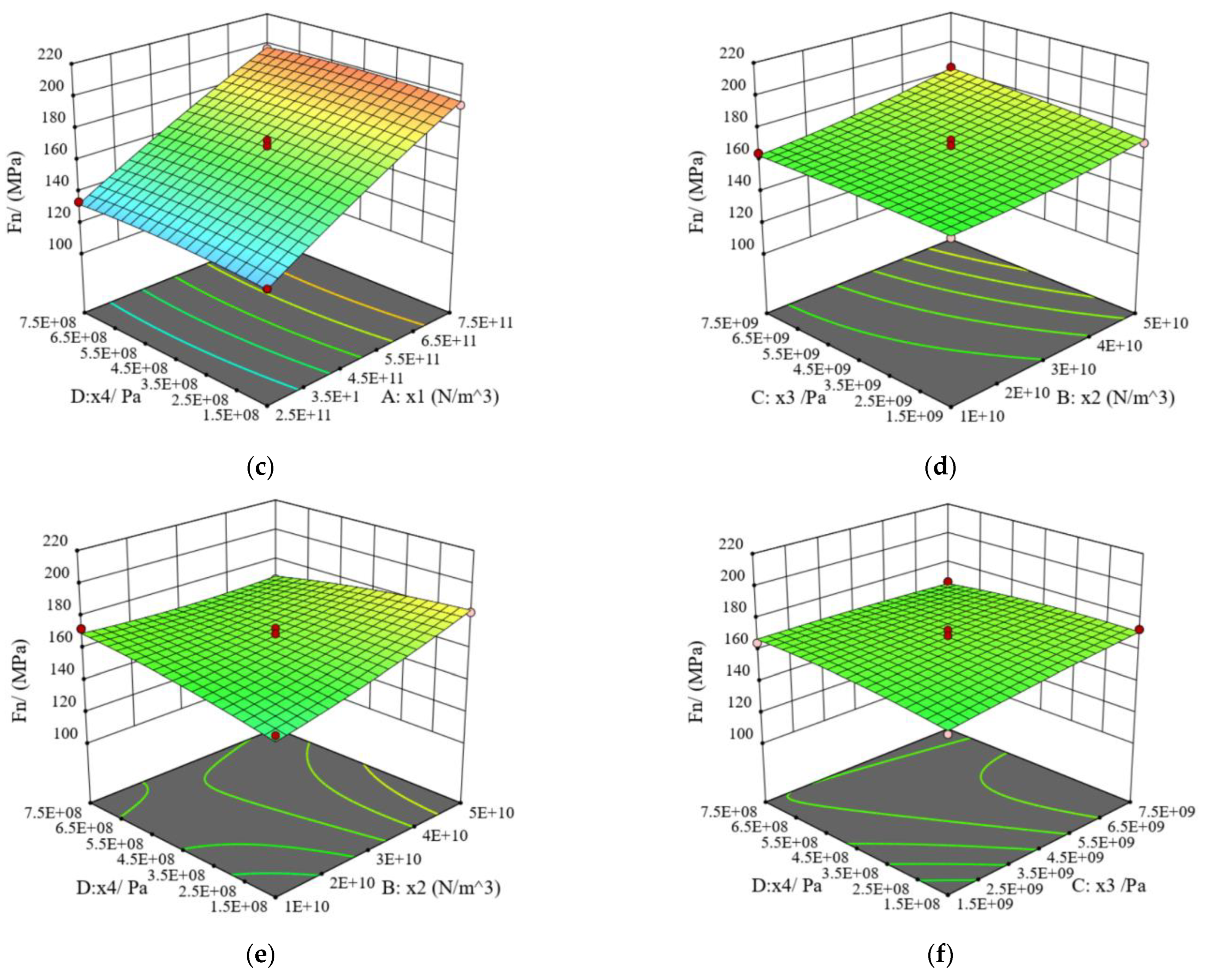
4.1. BBD Response Surface Simulation
4.2. Analysis of BBD Response Surface Method Results
4.3. Validation of Results
5. Conclusions
5.1. Model Accuracy and Feasibility Analysis
- (1)
- Discrete element simulation tests were conducted using the EDEM software, and a response surface test design was carried out on the established particle bonding model by combining the Box-Behnken design (BBD) with the response surface method (RSM). The degree of model fit was determined to be statistically significant through response surface analysis of variance (ANOVA), thereby establishing the accuracy and feasibility of the bonding model.
5.2. Significance Analysis of Bonding Parameters
- (2)
- The Box-Behnken design (BBD) combined with response surface methodology (RSM) revealed that the normal stiffness per unit area, shear stiffness per unit area, and critical normal stress had a significant influence on compressive strength at a level of significance of 0.05 or higher. However, the effect of critical shear stress on compressive strength was found to be insignificant.
5.3. Characterization and Verification of Bonding Parameters
- (3)
- A quadratic regression mathematical model was developed to investigate the relationship between the compressive strength of the bonded model and the bonding parameters. This was achieved by combining the Box–Behnken design (BBD) with the response surface methodology (RSM). Consequently, the optimal solution for the bonding parameters has been determined. The normal stiffness per unit area is 7.48 × 1011 N/m3, the shear stiffness per unit area is 1.29 × 1010 N/m3, the critical normal stress is 4.61 × 109 Pa, and the critical shear stress is 6.93 × 108 Pa. Furthermore, the validity of the bonding parameters was confirmed through simulation tests.
Author Contributions
Funding
Institutional Review Board Statement
Informed Consent Statement
Data Availability Statement
Conflicts of Interest
References
- Zhao, J.; Ni, K.; Su, Y.; Shi, Y. An evaluation of iron ore tailings characteristics and iron ore tailings concrete properties. Constr. Build. Mater. 2021, 286, 122968. [Google Scholar] [CrossRef]
- Lee, E.; Evertsson, C.M. A comparative study between cone crushers and theoretically optimal crushing sequences. Miner. Eng. 2011, 24, 188–194. [Google Scholar] [CrossRef]
- Lisjak, A.; Grasselli, G. A review of discrete modeling techniques for fracturing processes in discontinuous rock masses. J. Rock Mech. Geotech. Eng. 2014, 6, 301–314. [Google Scholar] [CrossRef]
- Wang, M.; Feng, Y.T.; Zhao, T.T.; Wang, Y. Modelling of sand production using a mesoscopic bonded particle lattice Boltzmann method. Eng. Comput. 2019, 36, 691–706. [Google Scholar] [CrossRef]
- Cho, N.; Martin, C.D.; Sego, D.C. A clumped particle model for rock. Int. J. Rock Mech. Min. Sci. 2007, 44, 997–1010. [Google Scholar] [CrossRef]
- Quist, J.; Evertsson, C.M.; Franke, J. The effect of liner wear on gyratory crushing—A DEM case study. Comput. Model. 2011, 11. [Google Scholar]
- Gröndahl, A.; Asbjörnsson, G.; Hulthén, E.; Evertsson, M. Diagnostics of cone crusher feed segregation using power draw measurements. Miner. Eng. 2018, 127, 15–21. [Google Scholar] [CrossRef]
- Sinha, R.S.; Mukhopadhyay, A.K. Failure rate analysis of Jaw Crusher: A case study. Sādhanā 2019, 44, 17. [Google Scholar] [CrossRef]
- Zhou, W.-T.; Han, Y.-X.; Sun, Y.-S.; Yang, J.-L.; Ma, S.-J. Multi-scale impact crushing characteristics of polymetallic sulphide ores. Trans. Nonferrous Met. Soc. China 2019, 29, 1929–1938. [Google Scholar] [CrossRef]
- Matthews, B.; Craig, I.K. Demand side management of a run-of-mine ore milling circuit. Control Eng. Pract. 2013, 21, 759–768. [Google Scholar] [CrossRef]
- Marion, C.; Li, R.; Waters, K.E. A review of reagents applied to rare-earth mineral flotation. Adv. Colloid Interface Sci. 2020, 279, 102142. [Google Scholar] [CrossRef] [PubMed]
- Cundall, P.A. A computer model for simulating progressive, large-scale movement in blocky rock system. In Proceedings of the International Symposium on Rock Mechanics, Nancy, France, 4–6 October 1971; Volume 8, pp. 129–136. [Google Scholar]
- Wang, Y.; Wang, G.; Wu, S.; Liu, Z.; Fang, Y. A calibration method for ore bonded particle model based on deep learning neural network. Powder Technol. 2023, 420, 118417. [Google Scholar] [CrossRef]
- Chen, Z.; Wang, G.; Xue, D. An approach to calibration of BPM bonding parameters for iron ore. Powder Technol. 2021, 381, 245–254. [Google Scholar] [CrossRef]
- Wu, S.; Wang, G.; Fan, L.; Guan, W.; Guo, J.; Liu, Z.; Wang, Y. A method to determine the bonded-particle model parameters for simulation of ores. Particuology 2024, 86, 24–38. [Google Scholar] [CrossRef]
- Keppler, I.; Safranyik, F.; Oldal, I. Shear test as calibration experiment for DEM simulations: A sensitivity study. Eng. Comput. 2016, 33, 742–758. [Google Scholar] [CrossRef]
- Palis, S.; Antonyuk, S.; Dosta, M.; Heinrich, S. Identification of micro parameters for discrete element simulation of agglomerates. AIP Conf. Proc. 2013, 1542, 871–874. [Google Scholar]
- Xia, L.; Zeng, Y. Parametric study of smooth joint parameters on the mechanical behavior of transversely isotropic rocks and research on calibration method. Comput. Geotech. 2018, 98, 1–7. [Google Scholar] [CrossRef]
- Ma, H.; Wang, X.; Li, B.; Wang, Z.; Liang, C.; Bao, Q. Calibration of discrete element microparameters of coal based on the response surface method. Part. Sci. Technol. 2022, 40, 543–557. [Google Scholar] [CrossRef]
- Qu, T.; Feng, Y.T.; Wang, M.; Jiang, S. Calibration of parallel bond parameters in bonded particle models via physics-informed adaptive moment optimization. Powder Technol. 2020, 366, 527–536. [Google Scholar] [CrossRef]
- Song, S.; Park, S. Discrete Element Method Approach to Modeling Mechanical Properties of Three-Dimensional Ice Beams. J. Mar. Sci. Eng. 2022, 10, 1359. [Google Scholar] [CrossRef]
- Zhao, W.; Chen, M.; Xie, J.; Cao, S.; Wu, A.; Wang, Z. Discrete element modeling and physical experiment research on the biomechanical properties of cotton stalk. Comput. Electron. Agric. 2023, 204, 107502. [Google Scholar] [CrossRef]
- Liu, J.S.; Gao, C.Q.; Nie, Y.J.; Yang, B.; Ge, R.Y.; Xu, Z.H. Numerical simulation of Fertilizer Shunt-Plate with uniformity based on EDEM software. Comput. Electron. Agric. 2020, 178, 105737. [Google Scholar] [CrossRef]
- Potyondy, D.O.; Cundall, P.A. A bonded-particle model for rock. Int. J. Rock Mech. Min. Sci. 2004, 41, 1329–1364. [Google Scholar] [CrossRef]
- Goodman, R.E. Introduction to Rock Mechanics; John Wiley & Sons: Hoboken, NJ, USA, 1991. [Google Scholar]
- Myers, R.H.; Montgomery, D.C.; Anderson-Cook, C.M. Response Surface Methodology: Process and Product Optimization Using Designed Experiments; John Wiley & Sons: Hoboken, NJ, USA, 2016. [Google Scholar]
- Laggoun, Z.; Khalfaoui, A.; Benalia, A.; Ghomrani, A.F.; Bouchareb, R.; Mahfouf, A.; Pizzi, A.; Panico, A.; Derbal, K. Application of Response Surface Design for Optimization of Direct Red Dye Biosorption onto Cockleshells. Appl. Sci. 2023, 13, 12333. [Google Scholar] [CrossRef]
- Rocha, S.; Ascensão, G.; Maia, L. Exploring Design Optimization of Self-Compacting Mortars with Response Surface Methodology. Appl. Sci. 2023, 13, 10428. [Google Scholar] [CrossRef]








| Argument | Numerical Value |
|---|---|
| Poisson’s ratio of ore | 0.3 |
| Density of Ore () | 6071 |
| Shear modulus of ore ( | |
| Poisson’s ratio of steel | 0.3 |
| Density of steel | 7850 |
| Shear modulus of steel ( | |
| Particle-steel collision recovery coefficient | 0.0025 |
| Particle-steel static friction coefficient | 0.007 |
| Particle-steel rolling friction coefficient | 0.001 |
| Particle-to-particle collision recovery coefficient | 0.2 |
| Coefficient of static friction between particles | 0.5 |
| Coefficient of rolling friction between particles | 0.1 |
| Parameters | Numerical Value |
|---|---|
| Normal stiffness per unit area (N/m3) | |
| Shear stiffness per unit area (N/m3) | |
| Critical normal stress (Pa) | |
| Critical shear stress (Pa) |
| Encoding | Factor | |||
|---|---|---|---|---|
| x1/(N/m3) | x2/(N/m3) | |||
| −1 | ||||
| 0 | ||||
| 1 | ||||
| Serial Number | Factor | Compressive Strength | |||
|---|---|---|---|---|---|
| x1/(N/m3) | x2/(N/m3) | Fn/MPa | |||
| 1 | 155.97 | ||||
| 2 | 169.46 | ||||
| 3 | 173.39 | ||||
| 4 | 164.62 | ||||
| 5 | 166.80 | ||||
| 6 | 171.11 | ||||
| 7 | 152.40 | ||||
| 8 | 155.14 | ||||
| 9 | 133.83 | ||||
| 10 | 116.37 | ||||
| 11 | 205.30 | ||||
| 12 | 194.91 | ||||
| 13 | 132.37 | ||||
| 14 | 183.13 | ||||
| 15 | 182.76 | ||||
| 16 | 130.54 | ||||
| 17 | 164.90 | ||||
| 18 | 169.46 | ||||
| 19 | 199.20 | ||||
| 20 | 200.66 | ||||
| 21 | 196.39 | ||||
| 22 | 159.81 | ||||
| 23 | 173.05 | ||||
| 24 | 172.59 | ||||
| 25 | 198.58 | ||||
| 26 | 166.70 | ||||
| 27 | 133.89 | ||||
| Source | Sum of Squares | df | Mean Square | F-Value | p-Value | Significance |
|---|---|---|---|---|---|---|
| Model | 14,575.81 | 14 | 1041.13 | 69.82 | <0.0001 | Significant |
| 13,044.25 | 1 | 13,044.25 | 874.72 | <0.0001 | Significant | |
| 742.46 | 1 | 742.46 | 49.79 | <0.0001 | Significant | |
| 107.94 | 1 | 107.94 | 7.24 | 0.0197 | Significant | |
| 6.02 | 1 | 6.02 | 0.4037 | 0.5371 | ||
| 214.77 | 1 | 214.77 | 14.40 | 0.0026 | Significant | |
| 2.22 | 1 | 2.22 | 0.1489 | 0.7064 | ||
| 0.8190 | 1 | 0.8190 | 0.0549 | 0.8187 | ||
| 13.00 | 1 | 13.00 | 0.8715 | 0.3689 | ||
| 279.06 | 1 | 279.06 | 18.71 | 0.0010 | Significant | |
| 61.00 | 1 | 61.00 | 4.09 | 0.0660 | ||
| 24.01 | 1 | 24.01 | 1.61 | 0.2286 | ||
| 24.64 | 1 | 24.64 | 1.65 | 0.2229 | ||
| 2.67 | 1 | 2.67 | 0.1792 | 0.6795 | ||
| 25.50 | 1 | 25.50 | 1.71 | 0.2155 | ||
| Residual | 178.95 | 12 | 14.91 | |||
| Lack of Fit | 129.36 | 10 | 12.94 | 0.5217 | 0.8026 | Not Significant |
| Pure error | 49.59 | 2 | 24.80 | |||
| Cor total | 14,754.76 | 26 |
| Source | Sum of Squares | df | Mean Square | F-Value | p-Value | Significance |
|---|---|---|---|---|---|---|
| Model | 14,575.81 | 14 | 1041.13 | 69.82 | <0.0001 | Significant |
| 13,044.25 | 1 | 13,044.25 | 815.33 | <0.0001 | Significant | |
| 742.46 | 1 | 742.46 | 46.41 | <0.0001 | Significant | |
| 107.94 | 1 | 107.94 | 6.75 | 0.0194 | Significant | |
| 6.02 | 1 | 6.02 | 0.3763 | 0.5482 | ||
| 214.77 | 1 | 214.77 | 13.42 | 0.0021 | Significant | |
| 279.06 | 1 | 279.06 | 17.44 | 0.0007 | Significant | |
| 24.01 | 1 | 24.01 | 1.50 | 0.2383 | ||
| 24.64 | 1 | 24.64 | 1.54 | 0.2325 | ||
| 2.67 | 1 | 2.67 | 0.1671 | 0.6882 | ||
| 25.50 | 1 | 25.50 | 1.59 | 0.2249 | ||
| Residual | 255.98 | 16 | 16.00 | |||
| Lack of Fit | 206.39 | 14 | 14.47 | 0.5945 | 0.7785 | Not significant |
| Pure error | 49.59 | 2 | 24.80 | |||
| Cor total | 14,754.76 | 26 |
Disclaimer/Publisher’s Note: The statements, opinions and data contained in all publications are solely those of the individual author(s) and contributor(s) and not of MDPI and/or the editor(s). MDPI and/or the editor(s) disclaim responsibility for any injury to people or property resulting from any ideas, methods, instructions or products referred to in the content. |
© 2024 by the authors. Licensee MDPI, Basel, Switzerland. This article is an open access article distributed under the terms and conditions of the Creative Commons Attribution (CC BY) license (https://creativecommons.org/licenses/by/4.0/).
Share and Cite
Yang, F.; Song, J.; Wang, X.; Cheng, B.; Gu, R.; Yu, W. Research on the Characterization of Bonding Parameters for Ore Particles Based on Response Surface Methodology. Appl. Sci. 2024, 14, 6606. https://doi.org/10.3390/app14156606
Yang F, Song J, Wang X, Cheng B, Gu R, Yu W. Research on the Characterization of Bonding Parameters for Ore Particles Based on Response Surface Methodology. Applied Sciences. 2024; 14(15):6606. https://doi.org/10.3390/app14156606
Chicago/Turabian StyleYang, Fang, Jiabao Song, Xiao Wang, Bo Cheng, Ruijie Gu, and Weitao Yu. 2024. "Research on the Characterization of Bonding Parameters for Ore Particles Based on Response Surface Methodology" Applied Sciences 14, no. 15: 6606. https://doi.org/10.3390/app14156606
APA StyleYang, F., Song, J., Wang, X., Cheng, B., Gu, R., & Yu, W. (2024). Research on the Characterization of Bonding Parameters for Ore Particles Based on Response Surface Methodology. Applied Sciences, 14(15), 6606. https://doi.org/10.3390/app14156606
