More Efficient and Verifiable Privacy-Preserving Aggregation Scheme for Internet of Things-Based Federated Learning
Abstract
1. Introduction
- We propose a novel, efficiency-focused federated learning scheme that facilitates privacy-preserving data aggregation, while notably reducing computational and communication costs. One of the distinguishing features of our solution is that it allows users to perform low-cost validation of the aggregation results provided by the server to ensure their integrity and reliability. This neither compromises computational efficiency nor strict privacy measures, making it a secure and effective data aggregation solution.
- We also devised a dynamic user management mechanism. This mechanism is constructed to enable the seamless onboarding and departure of participants within the federated learning process. Through its implementation, it ensures that the federated learning process remains robust against user attrition. When some users dropout, the remaining active participants experience minimal disruption in terms of both computational load and communication bandwidth. Despite these departures, the integrity of the aggregated encrypted gradients is preserved, maintaining the overall efficacy of the federated learning process.
- We conduct comprehensive tests on numerous real-world datasets and thoroughly analyze accuracy and performance. The outcomes of these tests have been strikingly positive. Our scheme demonstrates a significant reduction in computational and communication costs, achieving at least 85% and 47%, respectively, when compared to current schemes in existence. Furthermore, our scheme has proven its mettle in terms of accuracy as well. It has managed to attain a level of precision that is highly comparable to those achieved using plaintext baselines, thereby affirming its reliability and robustness. These findings not only highlight the superiority of our scheme but also underscore its potential for practical application in real-world scenarios, particularly where computational resources are limited.
2. Related Work
3. Preliminaries
Federated Learning
4. System and Threat Model
4.1. System Model
- Users. Data ownership and local execution of the training algorithm fall under the purview of the users. Upon finishing a training round, users encrypt the local gradient parameters and transmit them to the fog node. Moreover, users receive the encrypted global gradient parameters that have been aggregated by the aggregation server. They then update their local models and proceed to conduct a next round of model training with their respective datasets. This iterative process continues until the model’s training is deemed successful. Users possess the capability to authenticate the correctness of the aggregation outcomes produced by the server.
- Server. The fog node dispatches ciphered gradients to the server, which then conducts aggregation calculations without breaching user confidentiality. The server’s access is limited to the aggregate of locally encrypted model gradients, precluding any direct exposure to users’ unencrypted gradients. As an added measure, the server creates a proof of correctness for its aggregated results, subsequently transmitting this proof alongside the aggregated results to the respective users.
- Fog Node. The Fog Node (FN), equipped with robust computing, storage, and networking functionalities, is strategically positioned in proximity to the user. Its primary duty involves gathering data from all online users involved in the current round. Following this collection phase, the aggregated information is seamlessly transmitted to the central aggregation server for further processing.
4.2. Threat Model
4.3. Security Model
4.4. Design Goal
- Privacy-preserving: In our proposed scheme, the utmost importance is given to safeguarding users’ privacy in federated learning. At no point can an attacker access any genuine information regarding the user’s data.
- Verifiability: Users have the ability to check if the results that the server sends back, after combining all the data, are correct. They can do this by performing a simple calculation. This process is designed to be easy and not too complicated, ensuring that users can confirm the correctness of the server’s aggregated results without much cost.
- Fault tolerance: Even if some users drop out or fail to upload their local model gradients in time due to various reasons, the federated learning system is still capable of correctly aggregating the gradients from the remaining normally active users to form a global model gradient.
5. Methodology
5.1. System Initialization
5.2. Keys Broadcasting
5.3. Local Training and Masking
5.4. Messages Collecting
5.5. Aggregating and Unmasking
5.6. Verification
6. Security Analysis
6.1. Correctness
6.2. Privacy Protection
6.3. Verifiability
6.4. Fault Tolerance
7. Results
7.1. Experimental Setup
7.1.1. Train Model
7.1.2. Hyperparameter Settings
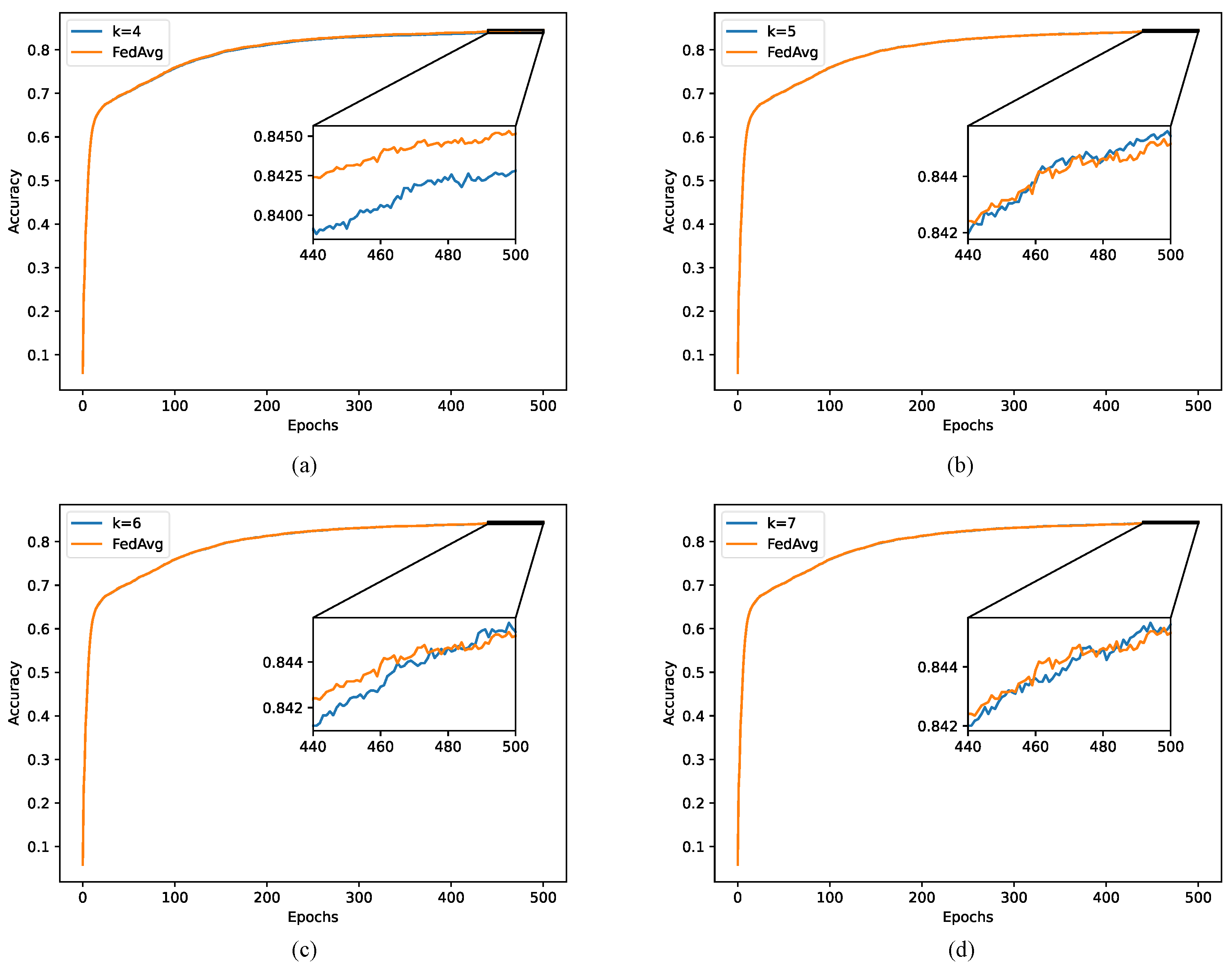
7.1.3. Accuracy
7.2. Computational and Communication Costs
7.2.1. Complexity Analysis
7.2.2. Computational Cost
7.2.3. Communication Cost
8. Conclusions
Author Contributions
Funding
Institutional Review Board Statement
Informed Consent Statement
Data Availability Statement
Acknowledgments
Conflicts of Interest
References
- Hasan, M. State of IOT 2022: Number of Connected IOT Devices Growing 18% to 14.4 Billion Globally. 2022. Available online: https://iot-analytics.com/number-connected-iot-devices/ (accessed on 28 April 2024).
- McMahan, B.; Moore, E.; Ramage, D.; Hampson, S.; y Arcas, B.A. Communication-Efficient Learning of Deep Networks from Decentralized Data. In Proceedings of the 20th International Conference on Artificial Intelligence and Statistics, Fort Lauderdale, FL, USA, 20–22 April 2017. [Google Scholar]
- Xu, J.; Glicksberg, B.S.; Su, C.; Walker, P.; Bian, J.; Wang, F. Federated learning for healthcare informatics. J. Healthc. Inform. Res. 2021, 5, 1–19. [Google Scholar] [CrossRef] [PubMed]
- Long, G.; Tan, Y.; Jiang, J.; Zhang, C. Federated learning for open banking. In Federated Learning: Privacy and Incentive; Springer: Berlin/Heidelberg, Germany, 2020; pp. 240–254. [Google Scholar]
- Kevin, I.; Wang, K.; Zhou, X.; Liang, W.; Yan, Z.; She, J. Federated transfer learning based cross-domain prediction for smart manufacturing. IEEE Trans. Ind. Inform. 2021, 18, 4088–4096. [Google Scholar]
- Mothukuri, V.; Parizi, R.M.; Pouriyeh, S.; Huang, Y.; Dehghantanha, A.; Srivastava, G. A survey on security and privacy of federated learning. Future Gener. Comput. Syst. 2021, 115, 619–640. [Google Scholar] [CrossRef]
- Wang, Z.; Song, M.; Zhang, Z.; Song, Y.; Wang, Q.; Qi, H. Beyond inferring class representatives: User-level privacy leakage from federated learning. In Proceedings of the IEEE INFOCOM 2019—IEEE Conference on Computer Communications, Paris, France, 29 April–2 May 2019; IEEE: Piscataway, NJ, USA, 2019; pp. 2512–2520. [Google Scholar]
- Zhu, L.; Liu, Z.; Han, S. Deep leakage from gradients. In Advances in Neural Information Processing Systems 32; Neural Information Processing Systems Foundation: La Jolla, CA, USA, 2019. [Google Scholar]
- Phong, L.T.; Aono, Y.; Hayashi, T.; Wang, L.; Moriai, S. Privacy-preserving deep learning via additively homomorphic encryption. IEEE Trans. Inf. Forensics Secur. 2017, 13, 1333–1345. [Google Scholar] [CrossRef]
- Cheon, J.H.; Kim, A.; Kim, M.; Song, Y. Homomorphic encryption for arithmetic of approximate numbers. In Advances in Cryptology—ASIACRYPT 2017: 23rd International Conference on the Theory and Applications of Cryptology and Information Security, Hong Kong, China, 3–7 December 2017, Proceedings, Part I 23; Springer: Berlin/Heidelberg, Germany, 2017; pp. 409–437. [Google Scholar]
- Wibawa, F.; Catak, F.O.; Kuzlu, M.; Sarp, S.; Cali, U. Homomorphic encryption and federated learning based privacy-preserving cnn training: Covid-19 detection use-case. In Proceedings of the 2022 European Interdisciplinary Cybersecurity Conference, Barcelona, Spain, 15–16 June 2022; pp. 85–90. [Google Scholar]
- Wei, K.; Li, J.; Ding, M.; Ma, C.; Yang, H.H.; Farokhi, F.; Jin, S.; Quek, T.Q.; Poor, H.V. Federated learning with differential privacy: Algorithms and performance analysis. IEEE Trans. Inf. Forensics Secur. 2020, 15, 3454–3469. [Google Scholar] [CrossRef]
- Fu, Y.; Zhou, Y.; Wu, D.; Yu, S.; Wen, Y.; Li, C. On the practicality of differential privacy in federated learning by tuning iteration times. arXiv 2021, arXiv:2101.04163. [Google Scholar]
- Zhao, C.; Zhao, S.; Zhao, M.; Chen, Z.; Gao, C.Z.; Li, H.; Tan, Y.A. Secure multi-party computation: Theory, practice and applications. Inf. Sci. 2019, 476, 357–372. [Google Scholar] [CrossRef]
- Kalapaaking, A.P.; Stephanie, V.; Khalil, I.; Atiquzzaman, M.; Yi, X.; Almashor, M. SMPC-Based Federated Learning for 6G-Enabled Internet of Medical Things. IEEE Netw. 2022, 36, 182–189. [Google Scholar] [CrossRef]
- Bonawitz, K.; Ivanov, V.; Kreuter, B.; Marcedone, A.; McMahan, H.B.; Patel, S.; Ramage, D.; Segal, A.; Seth, K. Practical secure aggregation for privacy-preserving machine learning. In Proceedings of the 2017 ACM SIGSAC Conference on Computer and Communications Security, Dallas, TX, USA, 30 October–3 November 2017; pp. 1175–1191. [Google Scholar]
- Hahn, C.; Kim, H.; Kim, M.; Hur, J. VerSA: Verifiable Secure Aggregation for Cross-Device Federated Learning. IEEE Trans. Dependable Secur. Comput. 2023, 20, 36–52. [Google Scholar] [CrossRef]
- Xu, G.; Li, H.; Liu, S.; Yang, K.; Lin, X. Verifynet: Secure and verifiable federated learning. IEEE Trans. Inf. Forensics Secur. 2019, 15, 911–926. [Google Scholar] [CrossRef]
- Ghodsi, Z.; Gu, T.; Garg, S. Safetynets: Verifiable execution of deep neural networks on an untrusted cloud. In Advances in Neural Information Processing Systems 30; Neural Information Processing Systems Foundation: La Jolla, CA, USA, 2017. [Google Scholar]
- Tramer, F.; Boneh, D. Slalom: Fast, verifiable and private execution of neural networks in trusted hardware. arXiv 2018, arXiv:1806.03287. [Google Scholar]
- Fu, A.; Zhang, X.; Xiong, N.; Gao, Y.; Wang, H.; Zhang, J. VFL: A verifiable federated learning with privacy-preserving for big data in industrial IoT. IEEE Trans. Ind. Inform. 2020, 18, 3316–3326. [Google Scholar] [CrossRef]
- Fang, H.; Qian, Q. Privacy Preserving Machine Learning with Homomorphic Encryption and Federated Learning. Future Internet 2021, 13, 94. [Google Scholar] [CrossRef]
- Zhu, Y.; Gong, J.; Zhang, K.; Qian, H. Malicious-Resistant Non-Interactive Verifiable Aggregation for Federated Learning. IEEE Trans. Dependable Secur. Comput. 2024, 1–17. [Google Scholar] [CrossRef]
- Ma, J.; Naas, S.A.; Sigg, S.; Lyu, X. Privacy-preserving federated learning based on multi-key homomorphic encryption. Int. J. Intell. Syst. 2022, 37, 5880–5901. [Google Scholar] [CrossRef]
- Zhao, L.; Jiang, J.; Feng, B.; Wang, Q.; Shen, C.; Li, Q. SEAR: Secure and Efficient Aggregation for Byzantine-Robust Federated Learning. IEEE Trans. Dependable Secur. Comput. 2022, 19, 3329–3342. [Google Scholar] [CrossRef]
- Nguyen, T.; Thai, M.T. Preserving Privacy and Security in Federated Learning. IEEE/ACM Trans. Netw. 2024, 32, 833–843. [Google Scholar] [CrossRef]
- Zhang, Z.; Wu, L.; Ma, C.; Li, J.; Wang, J.; Wang, Q.; Yu, S. LSFL: A Lightweight and Secure Federated Learning Scheme for Edge Computing. IEEE Trans. Inf. Forensics Secur. 2023, 18, 365–379. [Google Scholar] [CrossRef]
- Liu, Y.; James, J.; Kang, J.; Niyato, D.; Zhang, S. Privacy-preserving traffic flow prediction: A federated learning approach. IEEE Internet Things J. 2020, 7, 7751–7763. [Google Scholar] [CrossRef]
- Albaseer, A.; Ciftler, B.S.; Abdallah, M.; Al-Fuqaha, A. Exploiting Unlabeled Data in Smart Cities using Federated Edge Learning. In Proceedings of the 2020 International Wireless Communications and Mobile Computing (IWCMC), Limassol, Cyprus, 15–19 June 2020; pp. 1666–1671. [Google Scholar] [CrossRef]
- Shokri, R.; Stronati, M.; Song, C.; Shmatikov, V. Membership inference attacks against machine learning models. In Proceedings of the 2017 IEEE Symposium on Security and Privacy (SP), San Jose, CA, USA, 22–26 May 2017; IEEE: Piscataway, NJ, USA, 2017; pp. 3–18. [Google Scholar]
- Bos, J.W.; Lauter, K.; Naehrig, M. Private predictive analysis on encrypted medical data. J. Biomed. Inform. 2014, 50, 234–243. [Google Scholar] [CrossRef] [PubMed]
- Melis, L.; Song, C.; De Cristofaro, E.; Shmatikov, V. Exploiting unintended feature leakage in collaborative learning. In Proceedings of the 2019 IEEE Symposium on Security and Privacy (SP), San Francisco, CA, USA, 20–22 May 2019; IEEE: Piscataway, NJ, USA, 2019; pp. 691–706. [Google Scholar]
- Fredrikson, M.; Jha, S.; Ristenpart, T. Model inversion attacks that exploit confidence information and basic countermeasures. In Proceedings of the 22nd ACM SIGSAC Conference on Computer and Communications Security, Denver, CO, USA, 12–16 October 2015; pp. 1322–1333. [Google Scholar]
- Bhowmick, A.; Duchi, J.; Freudiger, J.; Kapoor, G.; Rogers, R. Protection against reconstruction and its applications in private federated learning. arXiv 2018, arXiv:1812.00984. [Google Scholar]
- Hitaj, B.; Ateniese, G.; Perez-Cruz, F. Deep models under the GAN: Information leakage from collaborative deep learning. In Proceedings of the 2017 ACM SIGSAC Conference on Computer and Communications Security, Dallas, TX, USA, 30 October–3 November 2017; pp. 603–618. [Google Scholar]
- Park, J.; Yu, N.Y.; Lim, H. Privacy-Preserving Federated Learning Using Homomorphic Encryption With Different Encryption Keys. In Proceedings of the 2022 13th International Conference on Information and Communication Technology Convergence (ICTC), Jeju Island, Republic of Korea, 19–21 October 2022; pp. 1869–1871. [Google Scholar] [CrossRef]
- Erlingsson, Ú.; Pihur, V.; Korolova, A. Rappor: Randomized aggregatable privacy-preserving ordinal response. In Proceedings of the 2014 ACM SIGSAC Conference on Computer and Communications Security, Scottsdale, AZ, USA, 3–7 November 2014; pp. 1054–1067. [Google Scholar]
- Wang, N.; Xiao, X.; Yang, Y.; Zhao, J.; Hui, S.C.; Shin, H.; Shin, J.; Yu, G. Collecting and analyzing multidimensional data with local differential privacy. In Proceedings of the 2019 IEEE 35th International Conference on Data Engineering (ICDE), Macao, China, 8–11 April 2019; IEEE: Piscataway, NJ, USA, 2019; pp. 638–649. [Google Scholar]
- Wang, S.; Huang, L.; Nie, Y.; Zhang, X.; Wang, P.; Xu, H.; Yang, W. Local differential private data aggregation for discrete distribution estimation. IEEE Trans. Parallel Distrib. Syst. 2019, 30, 2046–2059. [Google Scholar] [CrossRef]
- Jung, T.; Li, X.Y.; Wan, M. Collusion-tolerable privacy-preserving sum and product calculation without secure channel. IEEE Trans. Dependable Secur. Comput. 2014, 12, 45–57. [Google Scholar] [CrossRef]
- De Caro, A.; Iovino, V. jPBC: Java pairing based cryptography. In Proceedings of the 16th IEEE Symposium on Computers and Communications, ISCC 2011, Kerkyra, Greece, 28 June–1 July 2011; pp. 850–855. [Google Scholar]
- Zhao, P.; Cao, Z.; Jiang, J.; Gao, F. Practical Private Aggregation in Federated Learning Against Inference Attack. IEEE Internet Things J. 2022, 10, 318–329. [Google Scholar] [CrossRef]
- Cai, J.; Shen, W.; Qin, J. ESVFL: Efficient and secure verifiable federated learning with privacy-preserving. Inf. Fusion 2024, 109, 102420. [Google Scholar] [CrossRef]









| Schemes | L | F | I | H | V | T |
|---|---|---|---|---|---|---|
| Bonawitz et al. [16] | ✓ | ✓ | ✓ | ✓ | ✗ | ✓ |
| Fang et al. [22] | ✗ | ✓ | ✗ | ✓ | ✗ | ✓ |
| Zhu et al. [23] | ✗ | ✓ | ✗ | ✓ | ✓ | ✓ |
| Ma et al. [24] | ✗ | ✓ | ✗ | ✓ | ✗ | ✓ |
| Xu et al. [18] | ✗ | ✓ | ✗ | ✓ | ✓ | ✓ |
| Zhao et al. [25] | ✓ | ✓ | ✓ | ✓ | ✗ | ✗ |
| Nguyen et al. [26] | ✗ | ✓ | ✗ | ✓ | ✗ | ✗ |
| Zhang et al. [27] | ✓ | ✓ | ✓ | ✓ | ✗ | ✓ |
| Our work | ✓ | ✓ | ✓ | ✓ | ✓ | ✓ |
| Software and Hardware | Configurations |
|---|---|
| OS | Ubuntu 16.04 64 bit LTS |
| CPU | Intel(R) Xeon(R) Gold 6130 2.10 GHz |
| Memory | 256 GB |
| Storage | 24 TB |
| GPU | NVIDIA RTX 2080 Ti |
| Graphics memory | 11 GB |
| Hardware acceleration | 4352 CUDA Cores |
| Settings | MNIST | Fashion-MNIST | CIFAR-10 |
|---|---|---|---|
| Model | CNN | CNN | CNN |
| Learning rate | 0.005 | 0.005 | 0.001 |
| Batch size | 16 | 16 | 128 |
| Local epoch | 1 | 1 | 1 |
| Optimizer | SGD | SGD | SGD |
| Gradient Numbers | Phase I | Phase II | Phase III | Phase IV | Phase V | Total |
|---|---|---|---|---|---|---|
| 0.25 | 0.2 | 149.31 | 0.28 | 2.67 | 152.71 | |
| 0.22 | 0.22 | 224.09 | 0.2 | 2.59 | 227.32 | |
| 0.25 | 0.24 | 426.31 | 0.25 | 3.57 | 430.62 | |
| 0.45 | 0.2 | 553.29 | 0.18 | 3.47 | 557.59 | |
| 0.38 | 0.2 | 692.21 | 0.21 | 2.46 | 695.49 |
Disclaimer/Publisher’s Note: The statements, opinions and data contained in all publications are solely those of the individual author(s) and contributor(s) and not of MDPI and/or the editor(s). MDPI and/or the editor(s) disclaim responsibility for any injury to people or property resulting from any ideas, methods, instructions or products referred to in the content. |
© 2024 by the authors. Licensee MDPI, Basel, Switzerland. This article is an open access article distributed under the terms and conditions of the Creative Commons Attribution (CC BY) license (https://creativecommons.org/licenses/by/4.0/).
Share and Cite
Shi, R.; Wei, L.; Zhang, L. More Efficient and Verifiable Privacy-Preserving Aggregation Scheme for Internet of Things-Based Federated Learning. Appl. Sci. 2024, 14, 5361. https://doi.org/10.3390/app14135361
Shi R, Wei L, Zhang L. More Efficient and Verifiable Privacy-Preserving Aggregation Scheme for Internet of Things-Based Federated Learning. Applied Sciences. 2024; 14(13):5361. https://doi.org/10.3390/app14135361
Chicago/Turabian StyleShi, Rongquan, Lifei Wei, and Lei Zhang. 2024. "More Efficient and Verifiable Privacy-Preserving Aggregation Scheme for Internet of Things-Based Federated Learning" Applied Sciences 14, no. 13: 5361. https://doi.org/10.3390/app14135361
APA StyleShi, R., Wei, L., & Zhang, L. (2024). More Efficient and Verifiable Privacy-Preserving Aggregation Scheme for Internet of Things-Based Federated Learning. Applied Sciences, 14(13), 5361. https://doi.org/10.3390/app14135361
