Assessment of the Impact of Anthropogenic Drainage of Raised Peat-Bog on Changing the Physicochemical Parameters and Migration of Atmospheric Fallout Radioisotopes in Russia’s Subarctic Zone (Subarctic Zone of Russia)
Abstract
1. Introduction
2. Material and Methods
2.1. Study Area and Sample Collection
2.2. Study of Physical, Chemical and Physicochemical Characteristics of Peat
2.3. In Situ Determination of ORP and PH of Peat Core
2.4. Gamma Spectrometry Measurements
2.5. Determination of 210Pb and U Isotopes
2.6. 210Pb Chronology of the Peat Core
3. Results and Discussion
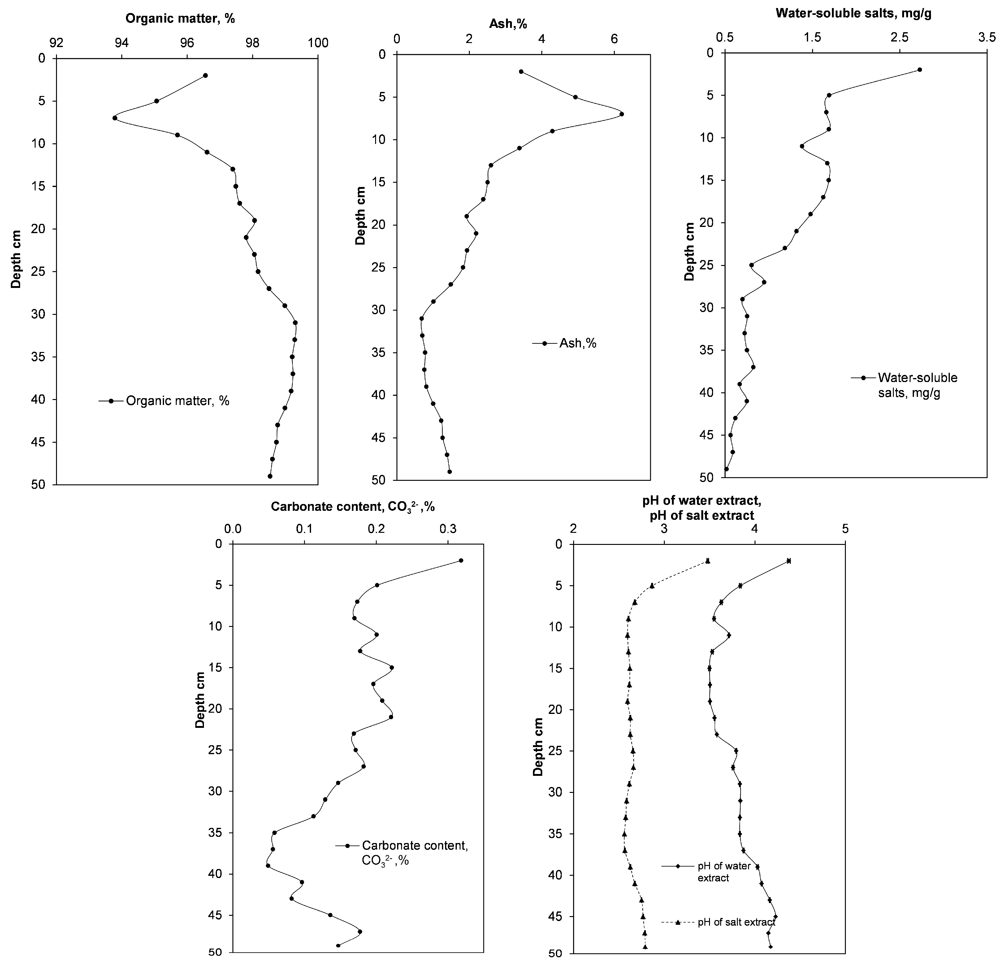
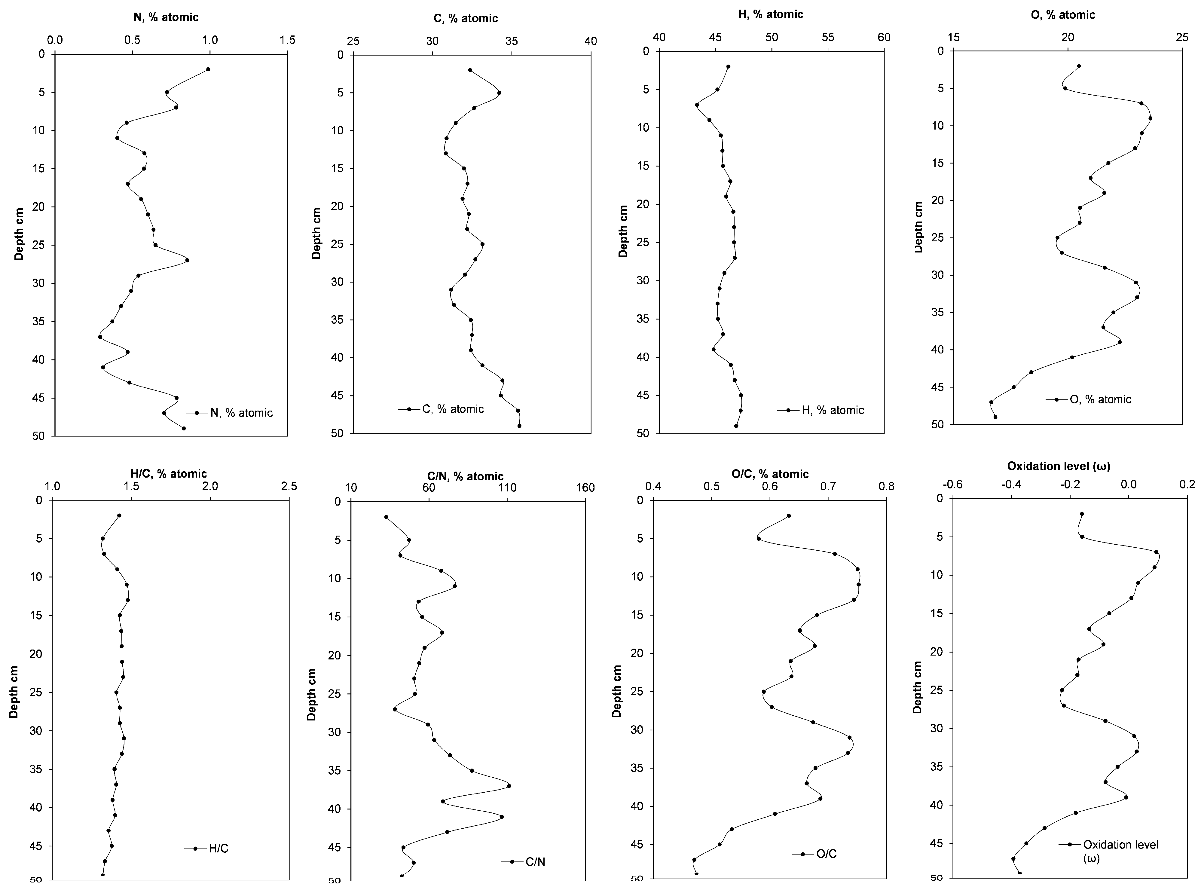
3.1. The Physical and Chemical Parameters of Peat Core
3.2. Variations in the Radioisotopes Content in the ISO-1 Peat Profile
3.3. 210Pb Dating
3.4. The Statistical Analysis
4. Conclusions
Author Contributions
Funding
Institutional Review Board Statement
Informed Consent Statement
Data Availability Statement
Acknowledgments
Conflicts of Interest
References
- Couture, C.; Mavrocordatos, D.; Atteia, O.; Perret, D. The genesis and transformation of organo-mineral colloids in a drained peatland area. Phys. Chem. Earth 1998, 23, 153–157. [Google Scholar] [CrossRef]
- Freeman, C.; Fenner, N.; Ostle, N.J.; Kang, H.; Dowrick, D.J.; Reynolds, B.; Lock, M.A.; Sleep, D.; Hughes, S.; Hudson, J. Export of dissolved organic carbon from peatlands under elevated carbon dioxide levels. Nature 2004, 430, 195–198. [Google Scholar] [CrossRef] [PubMed]
- Linden, M.; Barke, J.; Vickery, E.; Charman, D.; Geel, B. Late Holocene human impact and climate change recorded in a North Swedish peat deposit. Palaeogeogr. Palaeoclim. Palaeoecol. 2008, 258, 1–27. [Google Scholar] [CrossRef]
- Strack, M. Peatlands and Climate Change; International Peat Society: Jyväskylä, Finland, 2008. [Google Scholar]
- Generó, M.M. Microbial Communities in Boreal Peatlands: Responses to Climate Change and Nitrogen and Sulfur Depositions; Linköping Studies in Arts and Science, Department of Thematic Studies–Environmental Change, Linköping University Faculty of Arts and Sciences: Linköping, Sweden, 2017; Volume 715, p. 73. [Google Scholar]
- Williamson, J.; Rowe, E.; Reed, D.; Ruffino, L.; Jones, P.; Dolan, R.; Buckingham, H.; Norris, D.; Astbury, S.; Evans, C.D. Historical peat loss explains limited short-term response of drained blanket bogs to rewetting. J. Environ. Manag. 2017, 188, 278–286. [Google Scholar] [CrossRef]
- Jucha, W.; Mareczka, P.; Okupny, D. Assessment of Peat Extraction Range and Vegetation Succession on the Baligówka Degraded Peat Bog (Central Europe) Using the ALS Data and Orthophotomap. Remote Sens. 2022, 14, 2817. [Google Scholar] [CrossRef]
- Magiera, T.; Szuszkiewicz, M.M.; Michczyński, A.; Chróst, L.; Szuszkiewicz, M. Peat bogs as archives of local ore mining and smelting activities over the centuries: A case study of Miasteczko Śląskie (Upper Silesia, Poland). Catena 2020, 198, 105063. [Google Scholar] [CrossRef]
- Antala, M.; Juszczak, R.; van der Tol, C.; Rastogi, A. Impact of climate change-induced alterations in peatland vegetation phenology and composition on carbon balance. Sci. Total Environ. 2022, 827, 154294. [Google Scholar] [CrossRef] [PubMed]
- Healy, M.; Siggins, A.; Molloy, K.; Potito, A.; O’Leary, D.; Daly, E.; Callery, O. The impact of alternating drainage and inundation cycles on geochemistry and microbiology of intact peat cores. Sci. Total Environ. 2023, 858, 159664. [Google Scholar] [CrossRef]
- Savichev, O.; Soldatova, E.; Rudmin, M.; Mazurov, A. Geochemical barriers in oligotrophic peat bog (Western Siberia). Appl. Geochem. 2020, 113, 104519. [Google Scholar] [CrossRef]
- Rachkova, N.G.; Shuktomova, I.I.; Taskaev, A.I. Sorption of uranium, radium, and thorium from saline solutions on hydrolyzed wood lignin. Russ. J. Appl. Chem. 2006, 79, 715–721. [Google Scholar] [CrossRef]
- Schleich, B.N.; Degering, D.; Unterricker, S. Natural and artificial radionuclides in forest and bog soils: Tracers for migration processes and soil development. Radiochim. Acta 2000, 88, 803–808. [Google Scholar] [CrossRef]
- Frohne, T.; Rinklebe, J.; Diaz-Bone, R.A.; Du Laing, G. Controlled variation of redox conditions in a floodplain soil: Impact on metal mobilization and biomethylation of arsenic and antimony. Geoderma 2011, 160, 414–424. [Google Scholar] [CrossRef]
- Husson, O. Redox potential (Eh) and pH as drivers of soil/plant/microorganism systems: A transdisciplinary overview pointing to integrative opportunities for agronomy. Plant Soil 2013, 362, 389–417. [Google Scholar] [CrossRef]
- MacKenzie, A.B.; Farmer, J.G.; Sugden, C.L. Isotopic evidence of the relative retention and mobility of lead and radiocaesium in Scottish ombrotrophic peats. Sci. Total Environ. 1997, 203, 115–127. [Google Scholar] [CrossRef]
- Salt, C.A. Radionuclides in Grassland, Heath, Mire and Mountain Ecosystems; Radioactivity in the Environment; Shaw, G., Ed.; Elsevier: Amsterdam, The Netherlands, 2007; Volume 10, pp. 97–125. [Google Scholar] [CrossRef]
- Ikonen, A.; Aro, L.; Kangasniemi, V. Radioactivity on peatlands: Ecosystem approach on late-phase fallout situations. In Proceedings of the Next Level in Radiation Protection, Espoo, Finland, 10–14 June 2019; 2019. [Google Scholar] [CrossRef]
- Le, R.G.; Marshall, W.A. Constructing recent peat accumulation chronologies using atmospheric fall-out radionuclides. Mires Peat 2011, 7, 1–14. [Google Scholar]
- Fiałkiewicz-Kozieł, B.; Łokas, E.; Gałka, M.; Kołaczek, P.; De Vleeschouwer, F.; Le Roux, G.; Smieja-Król, B. Influence of transboundary transport of trace elements on mountain peat geochemistry (Sudetes, Central Europe). Quat. Sci. Rev. 2020, 230, 106162. [Google Scholar] [CrossRef]
- Łokas, E.; Bartmiński, P.; Wachniew, P.; Mietelski, J.W.; Kawiak, T.; Środoń, J. Sources and pathways of artificial radionuclides to soils at a High Arctic site. Environ. Sci. Pollut. Res. 2014, 21, 12479–12493. [Google Scholar] [CrossRef]
- Mroz, T.; Łokas, E.; Kocurek, J.; Gasiorek, M. Atmospheric fallout radionuclides in peatland from Southern Poland. J. Environ. Radioact. 2017, 175–176, 25–33. [Google Scholar] [CrossRef]
- Rosca, C.; Tomlinson, E.L.; Geibert, W.; McKenna, C.A.; Babechuk, M.G.; Kamber, B.S. Trace element and Pb isotope fingerprinting of atmospheric pollution sources: A case study from the east coast of Ireland. Appl. Geochem. 2018, 96, 302–326. [Google Scholar] [CrossRef]
- Rosén, K.; Vinichuk, M.; Johanson, K. 137Cs in a raised bog in central Sweden. J. Environ. Radioact. 2009, 100, 534–539. [Google Scholar] [CrossRef]
- Helariutta, K.; Rantavaara, A.; Lehtovaara, J. Radionuclides in Peat Bogs and Energy Peat (STUK-A--143); Radiation and Nuclear Safety Authority: Helsinki, Finland, 2000. [Google Scholar]
- Biebighauser, T.R. Wetland Drainage, Restoration, and Repair; University Press of Kentucky: Lexington, KY, USA, 2007. [Google Scholar]
- Paoli, R.; Feofilovs, M.; Kamenders, A.; Romagnoli, F. Peat production for horticultural use in the Latvian context: Sustainability assessment through LCA modeling. J. Clean. Prod. 2022, 378, 134559. [Google Scholar] [CrossRef]
- Boroń, K.J.; Mietelski, J.W.; Lipka, K.; Gaca, P.; Jasińska, M. Radionuclides in raised bogs: A case study of Borza Lasem. J. Environ. Monit. 2001, 3, 324–329. [Google Scholar] [CrossRef] [PubMed]
- Yakovlev, E.Y.; Orlov, A.S.; Kudryavtseva, A.A.; Zykov, S.B. Estimation of Physicochemical Parameters and Vertical Migration of Atmospheric Radionuclides in a Raised Peat Bog in the Arctic Zone of Russia. Appl. Sci. 2022, 12, 10870. [Google Scholar] [CrossRef]
- Chibisova, V.G.; Selyanina, S.B.; Yarygina, O.N.; Ponomareva, T.I.; Shtang, A.K.; Kotova, E.I. Influence of drainage of swamps on the group composition of organic matter in high-moor peat of the European North of Russia. Geospheric Res. 2022, 3, 126–135. [Google Scholar] [CrossRef]
- Evzerov, V.Y. Peat deposits of the Murmansk region. Bull. VSU Ser. Geol. 2012, 2, 153–157. [Google Scholar]
- Levesque, M.; Maruun, S.P.; Dinel, H. Admixing organic overlays and mineral sublayers of shallow peat soils for improving soil productivity. Can. J. Soil Sci. 1988, 68, 775–786. [Google Scholar] [CrossRef]
- Noskova, M.G. Field Atlas of Sphagnum Mosses in the Taiga Zone of European Russia; Aquarius Publisher: Tula, Russia, 2016. [Google Scholar]
- Zubov, I.N.; Orlov, A.S.; Selyanina, S.B.; Zabelina, S.A.; Ponomareva, T.I. Redox potential and acidity of peat are key diagnostic physicochemical properties for the stratigraphic zones of a boreal raised bog. Mires Peat 2022, 28, 16. [Google Scholar]
- Urquhart, C. The redox characteristics of four peat profiles. C. Urquhart. A.J.P. Gore. Soil Biol. Biochem. 1973, 5, 659–672. [Google Scholar] [CrossRef]
- Method for Performing Measurements on a Gamma Spectrometer; Recommendation: MN 3421-2010; Belarusian State Institute of Metrology: Minsk, Belarus, 2010.
- Bahur, A.E.; Manuilova, L.I.; Zueva, D.M.; Ovsyannikova, T.M.; Trukhina, T.P. The Method for Measuring the Specific Activity of Uranium Isotopes (238U, 234U, 235U) in Samples of Soils, Soils, Bottom Sediments, Rocks and Building Materials Based on Them Using an α-Spectrometric Method with Radiochemical Preparation; VIMS: Moscow, Russia, 2013. [Google Scholar]
- Bahur, A.E.; Manuilova, L.I.; Zueva, D.M.; Ovsyannikova, T.M.; Trukhina, T.P. The Method for Measuring the Specific Activity of Polonium-210 (210Po) and Lead-210 (210Pb) in Samples of Soils, Soils, Bottom Sediments, Rocks and Building Materials Based on Them by α-β Radiometric Method with Radiochemical Preparation; VIMS: Moscow, Russia, 2013. [Google Scholar]
- Appleby, P.; Oldfield, F. The calculation of lead-210 dates assuming a constant rate of supply of unsupported 210Pb to the sediment. Catena 1978, 5, 1–8. [Google Scholar] [CrossRef]
- Appleby, P.G. Three decades of dating recent sediments by fallout radionuclides: A review. Holocene 2008, 18, 83–93. [Google Scholar] [CrossRef]
- Swarzenski, P.W. 210Pb Dating. Encycl. Sci. Dating Methods 2014, 1, 1–14. [Google Scholar] [CrossRef]
- Piotrowska, N.; De Vleeschouwer, F.; Sikorski, J.; Pawlyta, J.; Fagel, N.; Le Roux, G.; Pazdur, A. Intercomparison of radiocarbon bomb pulse and 210Pb age models. A study in a peat bog core from North Poland. Nucl. Instrum. Methods Phys. Res. Sect. B Beam Interactions Mater. Atoms 2010, 268, 1163–1166. [Google Scholar] [CrossRef]
- Sanchez-Cabeza, J.; Ruiz-Fernández, A. 210Pb sediment radiochronology: An integrated formulation and classification of dating models. Geochim. Cosmochim. Acta 2012, 82, 183–200. [Google Scholar] [CrossRef]
- Ali, A.A.; Ghaleb, B.; Garneau, M.; Asnong, H.; Loisel, J. Recent peat accumulation rates in minerotrophic peatlands of the Bay James region, Eastern Canada, inferred by 210Pb and 137Cs radiometric techniques. Appl. Radiat. Isot. 2008, 66, 1350–1358. [Google Scholar] [CrossRef] [PubMed]
- Putyrskaya, V.; Klemt, E.; Röllin, S.; Corcho-Alvarado, J.; Sahli, H. Dating of recent sediments from Lago Maggiore and Lago di Lugano (Switzerland/Italy) using 137Cs and 210Pb. J. Environ. Radioact. 2020, 212, 106135. [Google Scholar] [CrossRef]
- Foucher, A.; Chaboche, P.-A.; Sabatier, P.; Evrard, O. A worldwide meta-analysis (1977–2020) of sediment core dating using fallout radionuclides including 137Cs and 210Pbxs. Earth Syst. Sci. Data 2021, 13, 4951–4966. [Google Scholar] [CrossRef]
- Mihalík, J.; Bartusková, M.; Hölgye, Z.; Ježková, T.; Henych, O. Fractionation of 137Cs and Pu in natural peatland. J. Environ. Radioact. 2014, 134, 14–20. [Google Scholar] [CrossRef]
- Lishtvan, I.I.; Bazin, Y.T.; Gamayunouv, N.I. Peat Physics and Chemistry; Nedra: Moscow, Russia, 1989. (In Russian) [Google Scholar]
- Garcia, J.-L.; Patel, B.; Ollivier, B. Taxonomic, phylogenetic and ecological diversity of methanogenic Archaea. Anaerobe 2000, 6, 205–226. [Google Scholar] [CrossRef]
- Horn, M.A.; Matthies, C.; Kusel, K.; Schramm, A.; Drake, H.L. Hydrogenotrophic methanogenesis by moderately acid-tolerant methanogens of a methane-emitting acidic peat. Appl. Environ. Microbiol. 2003, 69, 74–83. [Google Scholar] [CrossRef]
- Vaasma, T.; Karu, H.; Kiisk, M.; Pensa, M.; Isakar, K.; Realo, E.; Alliksaar, T.; Tkaczyk, A.H. Pb-210 and fly ash particles in ombrotrophic peat bogs as indicators of industrial emissions. J. Environ. Radioact. 2017, 174, 78–86. [Google Scholar] [CrossRef]
- Parfenova, L.; Selyanina, S.; Trufanova, M.; Bogolitsyn, K.; Orlov, A.; Volkova, N.; Ponomareva, T.; Sokolova, T. Influence of climatic and hydrological factors on structure and composition of peat from northern wetland territories with low anthropogenic impact. Sci. Total Environ. 2016, 551–552, 108–115. [Google Scholar] [CrossRef]
- Shishov, L.L.; Tonkonogov, V.D.; Lebedeva, I.I.; Gerasimova, M.I. Classification and detection of soils in Russia. Oykumena Smolensk 2004, 2, 341. (In Russian) [Google Scholar]
- Ponomareva, T.; Selyanina, S.; Shtang, A.; Zubov, I.; Yarygina, O. Transformation of an oligotrophic sphagnum bog during the process of rewetting. Land 2021, 10, 670. [Google Scholar] [CrossRef]
- Orlov, D.S. Humic acids of soils and the general theory of humification. Mosc. State Univ. 1990, 1, 325. [Google Scholar]
- Schulz, C.; Meier-Uhlherr, R.; Luthardt, V.; Joosten, H. Portraits of peatland deposits Germany. Mires Peat 2019, 24, 20. [Google Scholar]
- Łokas, E.; Mietelski, J.W.; Ketterer, M.E.; Kleszcz, K.; Wachniew, P.; Michalska, S.; Miecznik, M. Sources and vertical distribution of 137Cs, 238Pu, 239+240Pu and 241Am in peat profiles from southwestern Spitsbergen. Appl. Geochem. 2013, 28, 100–108. [Google Scholar] [CrossRef]
- Vile, M.A.; Wieder, K.R.; Novak, M. Mobility of Pb in Sphagnum-derived peat. Biogeochemistry 1999, 45, 35–52. [Google Scholar] [CrossRef]
- Shotyk, W.; Kempter, H.; Krachler, M.; Zaccone, C. Stable (206Pb, 207Pb, 208Pb) and radioactive (210Pb) lead isotopes in 1year of growth of Sphagnum moss from four ombrotrophic bogs in southern Germany: Geochemical significance and environmental implications. Geochim. Cosmochim. Acta 2015, 163, 101–125. [Google Scholar] [CrossRef]
- Davies, L.; Appleby, P.; Jensen, B.; Magnan, G.; Mullan-Boudreau, G. High-resolution age modelling of peat bogs from northern Alberta, Canada, using pre- and post-bomb 14C, 210Pb and historical cryptotephra. Quat. Geochronol. 2018, 47, 138–162. [Google Scholar] [CrossRef]
- Vodyanickij, Y.N.; Grebenkin, N.A.; Manahov, D.V.; Sashchenko, A.V.; Tyuleneva, V.M. Positive anomalies of uranium content in peatlands of the humid zone (review). Soil Sci. 2019, 12, 1492–1501. [Google Scholar]
- Kiselev, G.P. Even Isotopes of Uranium in the Geosphere; Publishing house of the Ural Branch of the RAS: Yekaterinburg, Russia, 1999; p. 220. [Google Scholar]
- Shcheglov, A.I. Biogeochemistry of Man-Made Radionuclides in Forest Ecosystems: Based on l0-Year Research in the Zone of Influence of the Chernobyl Accident; Nayka: Moscow, Russia, 2000; p. 268. [Google Scholar]
- Cwanek, A.; Łokas, E.; Mitchell, E.A.; Mazei, Y.; Gaca, P.; Milton, J.A. Temporal variability of Pu signatures in a 210Pb-dated Sphagnum peat profile from the Northern Ural, Russian Federation. Chemosphere 2021, 281, 130962. [Google Scholar] [CrossRef] [PubMed]
- Testa, C.; Jia, G.; Degetto, S.; Desideri, D.; Guerra, F.; Meli, M.; Roselli, C. Vertical profiles of 239,240Pu and 241Am in two sphagnum mosses of Italian peat. Sci. Total Environ. 1999, 232, 27–31. [Google Scholar] [CrossRef]
- Li, C.; Le Roux, G.; Sonke, J.; van Beek, P.; Souhaut, M.; Van der Putten, N.; De Vleeschouwer, F. Recent 210Pb, 137Cs and 241Am accumulation in an ombrotrophic peatland from Amsterdam Island (Southern Indian Ocean). J. Environ. Radioact. 2017, 175–176, 164–169. [Google Scholar] [CrossRef] [PubMed]
- Oleksandrenko, A.; Appleby, P.; Noernberg, T.; Shotyk, W. Americium-241 in peat bogs as a marker of the beginning of the Anthropocene: Examples from Europe and North America. In Proceedings of the EGU General Assembly 2021, Online, 19–30 April 2021. EGU21-3744. [Google Scholar] [CrossRef]
- Olid, C.; Diego, D.; Garcia-Orellana, J.; Cortizas, A.M.; Klaminder, J. Modeling the downward transport of 210Pb in Peatlands: Initial Penetration-Constant Rate of Supply (IP-CRS) model. Sci. Total Environ. 2016, 541, 1222–1231. [Google Scholar] [CrossRef]
- Tokarz, E.; Urban, D. Soil redox potential and its impact on microorganisms and plants of wetlands. J. Ecol. Eng. 2015, 16, 20–30. [Google Scholar] [CrossRef]
- Rachkova, N.G.; Shuktomova, I.I.; Taskaev, A.I. The state of natural radionuclides of uranium, radium, and thorium in soils. Eurasian Soil Sci. 2010, 43, 651–658. [Google Scholar] [CrossRef]
- Putilina, V.S.; Galitskaya, I.V.; Yuganova, T.I. Sorption processes in underground water pollution with heavy metals and radioactive elements. Uranus: Analyte. Review. Novosib. State Public Sci. Technol. Libr. Sib. Branch Russ. Acad. Sci. 2014, 3, 127. [Google Scholar]
- Konoplev, A.V. Distribution of radiocaesium of accidental origin between suspended sediments and solution in rivers: Comparison of Fukushima and Chernobyl. Radiochemistry 2015, 57, 471–474. [Google Scholar] [CrossRef]









| Horizon, cm | Level of Peat Degradation R, % | Moisture Content, g/g | Bulk Density, g/cm3 | Eh4, mV * | rH |
|---|---|---|---|---|---|
| 0–10 | 10 | 7.39 ± 0.37 | 0.320 ± 0.006 | 510 ± 60 | 25.3 ± 2.0 |
| 10–20 | 7 | 6.55 ± 0.40 | 0.259 ± 0.005 | 521 ± 28 | 25.7 ± 0.9 |
| 20–30 | 7 | 6.25 ± 0.44 | 0.185 ± 0.003 | 409 ± 29 | 21.8 ± 1.0 |
| 30–40 | 7 | 9.39 ± 0.03 | 0.229 ± 0.005 | 298 ± 50 | 18.1 ± 1.7 |
| 40–50 | 15 | 7.49 ± 0.35 | 0.410 ± 0.001 | 195 ± 51 | 14.6 ± 1.7 |
| Parameter | Factor 1 | Factor 2 | Factor 3 | Factor 4 | Factor 5 |
|---|---|---|---|---|---|
| Depth | −0.55 | −0.62 | −0.45 | −0.29 | −0.06 |
| 137Cs | 0.10 | 0.44 | 0.88 | 0.10 | 0.03 |
| 210Pb | 0.01 | 0.64 | 0.71 | 0.02 | 0.14 |
| 234U/238U | −0.09 | −0.03 | 0.11 | 0.11 | 0.94 |
| U | 0.30 | 0.80 | 0.00 | 0.25 | −0.29 |
| CO32− | 0.17 | 0.22 | 0.60 | 0.71 | −0.01 |
| Ash | 0.03 | 0.90 | 0.34 | 0.23 | 0.04 |
| pHwater | −0.67 | −0.43 | 0.43 | −0.35 | 0.12 |
| pHsalt | −0.33 | −0.05 | 0.92 | 0.10 | 0.10 |
| Water soluble salts | 0.38 | 0.50 | 0.68 | 0.29 | −0.15 |
| Organic matter | −0.03 | −0.90 | −0.34 | −0.23 | −0.04 |
| N | −0.39 | 0.11 | 0.50 | 0.56 | 0.28 |
| C | −0.96 | −0.10 | −0.02 | 0.11 | 0.16 |
| H | −0.39 | −0.72 | 0.00 | 0.51 | −0.09 |
| O | 0.83 | 0.39 | −0.03 | −0.35 | −0.08 |
| H/C | 0.88 | −0.31 | 0.02 | 0.19 | −0.25 |
| C/N | 0.21 | −0.18 | −0.34 | −0.68 | −0.27 |
| O/C | 0.88 | 0.31 | −0.02 | −0.29 | −0.12 |
| Oxidation level | 0.75 | 0.48 | −0.03 | −0.41 | −0.06 |
| Moisture content | −0.08 | −0.20 | 0.04 | −0.95 | 0.03 |
| Bulk density | −0.87 | 0.11 | 0.24 | −0.09 | −0.30 |
| Eh | 0.72 | 0.49 | 0.22 | 0.42 | 0.04 |
| rH | 0.71 | 0.49 | 0.22 | 0.42 | 0.04 |
| Variance | 9.77 | 6.32 | 2.66 | 1.65 | 1.21 |
| Percentage of variance (%) | 42.46 | 27.49 | 11.58 | 7.19 | 5.26 |
| Cumulative (%) | 42.46 | 69.95 | 81.53 | 88.71 | 93.98 |
Disclaimer/Publisher’s Note: The statements, opinions and data contained in all publications are solely those of the individual author(s) and contributor(s) and not of MDPI and/or the editor(s). MDPI and/or the editor(s) disclaim responsibility for any injury to people or property resulting from any ideas, methods, instructions or products referred to in the content. |
© 2023 by the authors. Licensee MDPI, Basel, Switzerland. This article is an open access article distributed under the terms and conditions of the Creative Commons Attribution (CC BY) license (https://creativecommons.org/licenses/by/4.0/).
Share and Cite
Yakovlev, E.; Orlov, A.; Kudryavtseva, A.; Zykov, S.; Zubov, I. Assessment of the Impact of Anthropogenic Drainage of Raised Peat-Bog on Changing the Physicochemical Parameters and Migration of Atmospheric Fallout Radioisotopes in Russia’s Subarctic Zone (Subarctic Zone of Russia). Appl. Sci. 2023, 13, 5778. https://doi.org/10.3390/app13095778
Yakovlev E, Orlov A, Kudryavtseva A, Zykov S, Zubov I. Assessment of the Impact of Anthropogenic Drainage of Raised Peat-Bog on Changing the Physicochemical Parameters and Migration of Atmospheric Fallout Radioisotopes in Russia’s Subarctic Zone (Subarctic Zone of Russia). Applied Sciences. 2023; 13(9):5778. https://doi.org/10.3390/app13095778
Chicago/Turabian StyleYakovlev, Evgeny, Alexander Orlov, Alina Kudryavtseva, Sergey Zykov, and Ivan Zubov. 2023. "Assessment of the Impact of Anthropogenic Drainage of Raised Peat-Bog on Changing the Physicochemical Parameters and Migration of Atmospheric Fallout Radioisotopes in Russia’s Subarctic Zone (Subarctic Zone of Russia)" Applied Sciences 13, no. 9: 5778. https://doi.org/10.3390/app13095778
APA StyleYakovlev, E., Orlov, A., Kudryavtseva, A., Zykov, S., & Zubov, I. (2023). Assessment of the Impact of Anthropogenic Drainage of Raised Peat-Bog on Changing the Physicochemical Parameters and Migration of Atmospheric Fallout Radioisotopes in Russia’s Subarctic Zone (Subarctic Zone of Russia). Applied Sciences, 13(9), 5778. https://doi.org/10.3390/app13095778

