Next Article in Journal
Design of an Intelligent Vehicle Behavior Decision Algorithm Based on DGAIL
Next Article in Special Issue
Energy Management Capability in the Reconfigurable Distribution Networks with Distributed Generation for Minimization of Energy Loss
Previous Article in Journal
Seismic Observations in Bucharest Area with a Raspberry Shake Citizen Science Network
 
 
Font Type:
Arial Georgia Verdana
Font Size:
Aa Aa Aa
Line Spacing:
Column Width:
Background:
Article

Heat Transfer in Thermoelectric Generators for Waste Energy Recovery in Piston Engines

by
Pablo Fernández-Yáñez
1,
Javier Jarama
1,
Francisco J. Martos
2 and
Octavio Armas
1,*
1
Campus de Excelencia Internacional en Energía y Medioambiente, Escuela de Ingeniería Industrial y Aeroespacial de Toledo, University of Castilla-La Mancha, Real Fábrica de Armas. Edif. Sabatini. Av. Carlos III, s/n, 45071 Toledo, Spain
2
Escuela de Ingenierías Industriales, University of Málaga, c/Doctor Ortiz Ramos, s/n, 29071 Málaga, Spain
*
Author to whom correspondence should be addressed.
Appl. Sci. 2023, 13(9), 5647; https://doi.org/10.3390/app13095647
Submission received: 2 April 2023 / Revised: 28 April 2023 / Accepted: 2 May 2023 / Published: 4 May 2023
(This article belongs to the Special Issue Eco-Friendly Energy Generation)

Abstract

This paper investigates the design of a thermoelectric generator for exhaust gases from internal combustion engines. Experimentally validated CFD methodology was employed. Different issues are studied, such as the influence of the replacement of the exhaust pipe for the TEG, the recirculation produced, and the influence of fins. The results show that an enlarged inlet cone reduces the recirculation and the pressure drop of the TEG, but more heat is lost across the cone walls, reducing the heat available for the thermoelectric modules. Internal straight fins aligned with the flow achieved a 3% increase in heat transfer, did not significantly increase the pressure drop in this type of device, and reduced the effects on pressure of the recirculation, lowering the overall pressure drop by 10%. An energy production of 175.9 W with 16.2 W of pressure drop power losses resulted in a net energy production of 160.7 W. A comparison with a flat-type thermoelectric generator under the same hot source conditions is also provided.

1. Introduction

Waste energy through exhaust systems in internal combustion engines is one of the most concerning topics regarding fuel economy, as it is known that approximately a third of the fuel energy input is lost [1].
Thermoelectric generators (TEGs) [2] are devices with the ability to directly convert thermal energy to electrical energy from a temperature gradient using the Seebeck effect. Despite being initially employed almost exclusively in the space industry, thermoelectric generators are currently being investigated as a way of recovering the waste anergy from the exhaust gases of ground vehicles, airplanes, industries, etc.
Agudelo et al. [3] studied the potential of harvesting energy from exhaust gases. The influence of the downstream air flow in the lower part of the same vehicle was also studied [4]. In Fernández-Yáñez et al. [5], an energy and exergy analysis of thermoelectric recovery from exhaust gases was performed. The baseline waste energy power that can be recovered without heat exchangers or any modifications to the exhaust systems was quantified. In García-Contreras et al. [6], the thermoelectric potential of exhaust gases at different altitudes and with different fuels was analyzed.
From the references above, it can be seen that the exhaust gas potential as a waste heat source in internal combustion engines has been studied, but generally, when it comes to heat source assessments, considering the original geometry.
However, exhaust gases heat transfer coefficient is far from high [5]. Typically, the adopted solution consists of installing some kind of heat exchanger to increase the heat transfer to the thermoelectric modules. In this way, there are several studies that have dealt with this problem in the literature.
Ikoma et al. [7] analyzed an exhaust heat recovery TEG consisting of 72 Si-Ge TEMs, generating an electric power of up to 35.6 W from a 3 L gasoline engine vehicle. Hsu et al. [8] examined the feasibility of waste heat recovery from 24 Bi2Te3-based thermoelectric modules (TEG), where a maximum power output of 12.41 W was produced.
Introducing a heat exchanger means taking several factors into account, given that its final target is optimizing the energetic generation of the TEG: device size, type of exchanger, internal geometry, place where it will be installed, contact surface with TEMs, operating engine conditions, etc. [9].
A cylindrical design with internal folded fins was developed by Crane et al. [10], improving an initial planar design for a BMW’s 3 L inline six-cylinder engine. Li et al. [11] presented a compact and lightweight heat sink that is integrated in the TEG system while being assisted by heat pipe technologies to reinforce heat flux through the thermoelectric generator surface, setting them up in the exhaust stream’s radial direction.
It is necessary to minimize the impact on engine operation, which means that the backpressure produced by the heat exchanger must be reduced as well [12]. In Fernández-Yáñez et al. [9], a design of experiments for a flat-shaped TEG heat exchanger was created, and the influence of internal geometry features was analyzed. A trade-off coefficient between transferred heat and pressure drop losses was defined.
Bai et al. [13] designed six exhaust heat exchangers with their respective CFD models to compare both heat transfer and pressure drop values for a 1.2 L gasoline engine.
Wang et al. [14] proposed a cylindrical heat exchanger in order to enhance the heat transfer rate as well as the heat transfer area and turbulence intensity. In comparison with other structures, it achieved an improvement in TEG efficiency combined with low backpressure. Amaral et al. [15] studied the net thermoelectric generator power output using inner channel geometries with alternating flow impeding panels. An exhaustive analysis of the effect of a thermoelectric generator in an internal combustion engine with a global energy balance including all energy flows can be found in Ezzitouni et al. [16].
Wang et al. [17] used dimples in the heat exchanger of the vehicle TEG. Results showed that the heat transfer was enhanced and the backpressure was quite low. Liu et al. [18] researched the flow resistance and heat transfer performances in square channels with different cylindrical-shaped channels, and it was concluded that a real improvement in heat transfer operation and a pressure loss decrease can be reached by changing the cylinder channel shape. It was concluded that this kind of channel could make the boundary layer around the edges thinner, enhancing the amount of flow in the turbulent regime present in the fluid. Sousa et al. [19] assessed the optimization and evaluation of a temperature-controlled thermoelectric generator to be used in a commercial 16 L heavy-duty vehicle. The system consisted of a heat exchanger with wavy fins embedded in an aluminum matrix along with heat pipes machined directly into the matrix that granted thermal control based on dissipating the local excess heat by phase change. A maximum average electrical production of 2.4 kW was predicted, which resulted in fuel savings of around 2% and CO2 emissions reductions of around 37 g/km.
In addition, work focused on heat sinks has been carried out. Ozbektas et al. [20] studied the cooling performance of a heat sink with flat fins on a TEG. The same authors also investigated whether a fin heat sink was used to obtain higher efficiency by cooling the TE more effectively [21]. Pujol et al. [22] proposed a method to obtain the optimum plate-fin heat sink with forced convection.
Most previous works dealt with a flat plate heat exchanger with more or less complex internal geometries. In this work, a new approach to TEG has been followed: instead of a typical flat-shaped TEG, a compact squared design with low pressure drop is proposed. This new concept could be particularly useful for aircraft piston engines since it saves weight and volume. In addition, this type of TEG has a more even temperature distribution, helping to reduce the electrical mismatch effects [23]. Usually, TEGs require a cross-sectional area expansion in order to have enough surface to place the thermoelectric modules. As a novelty, the effects on wall heat transfer of the recirculation regions created by this characteristic expansion have been studied in this paper. In addition, the effect of including internal fins is also quantified.

2. Materials and Methods

2.1. CFD Simulations

2.1.1. Simulation Setup

The equations of continuity, momentum, and energy [24] were solved numerically using the CFD proprietary code ANSYS Fluent 19. This software is based on the finite volume method.
The case simulations carried out in this paper are three-dimensional and considered steady. Turbulent flow is considered. The fluid was assumed to be incompressible (the Mach number was below 0.3). The segregated, pressure-based solver SIMPLE (Semi-Implicit Method for Pressure-Linked Equations) algorithm was employed. Details of the spatial discretization scheme are given in Table 1.
The convergence criteria used in the simulations were as follows: a thermal energy convergence threshold of 10−6 and a residuals convergence threshold of 10−3 for mass, momentum, turbulence kinetic energy, and turbulence energy dissipation rate. Convergence was ensured by monitoring relevant quantities such as wall temperature, heat transfer, and pressure drop. The maximum mass imbalance observed during the simulations was only 0.02%, and the maximum energy imbalance was as low as 0.01%. Boundary conditions are shown in Table 2.

2.1.2. Turbulence

A RANS (Reynolds-Averaged Navier-Stokes) approach was followed. The realizable k-ε model [25] was selected. This model has the same turbulent kinetic energy equation as the standard k-ε model but includes an improved equation for ε. Compared to the standard k-ε model, it shows better performance for flows involving planar and round jets (predicts round jet spreading correctly), boundary layers under strong adverse pressure gradients or separation, rotation, recirculation, and/or strong streamline curvature [25]. Standard wall functions were used.

2.1.3. Computational Domain

In the selection and optimization processes for the gas heat exchanger, only the gas side of the TEG was simulated. In order to obtain a properly developed velocity profile at the inlet and facilitate numerical convergence, extruded entrance and extruded outlet zones are added to the physical domain. Due to the symmetry presented by the problem, only half of the domain was simulated.
The water heat exchanger and thermoelectric modules were added later to the domain as independent bodies for the results of the electrical output of the device (Section 4.4.).

2.1.4. Computational Mesh

A hybrid tet/hex mesh was used to define the computational domain. More complex features, such as the inlet and outlet cones of the gas heat exchanger, were meshed with tetrahedral elements, and hexahedral elements were used for the core of the gas heat exchanger, the thermoelectric modules, and the water coolant circuit. A grid independence study with five different meshes (40,782, 85,221, 163,702, 252,711, and 396,086 elements) was conducted, monitoring all the relevant quantities (pressure drop, temperatures, and heat transfer), and mesh independence was found to be achieved with the grid of 252,711 elements, but to enhance the spatial resolution of the results, the mesh with 396,086 elements and a mean y+ value of 35 was used.
Thermoelectric Generator, Gas Generator and Experimental Tests
The body of the heat exchanger is made of stainless steel. The thermoelectric modules considered are made of Bi2Te3 and manufactured by TEGTEC. The modules dimensions are 0.04 × 0.04 × 0.004 m, and their thermal conductivity is 1.4 W/mK. The maximum hot side temperature of the modules is 300 °C. The material of the water circuit is aluminum.
As a gas generator, a turbocharged, 2.2 L diesel engine coupled to an eddy-current dynamometer was used in this work. A front view of the experimental engine test bench can be seen in Figure 1. The engine operating condition was representative of highway driving, where it was found that thermoelectric recovery was beneficial for cars. Nevertheless, the gas exhaust conditions, design process, and findings could also be applicable to any means of transport that works around steady operating conditions, such as piston aircraft in cruise or ground cargo transport.
The numerical schemes and models employed have been thoroughly validated for similar cases in terms of heat transfer, pressure drop, and module-by-module thermoelectric production. For the engine mode selected, the errors in the relevant quantities are shown in Table 3. Surface temperatures were measured in several locations, and a range of values is given instead. The main discrepancies were due to the fabrication of the prototype and the difficulties in fixing surface thermocouples to a vibrating surface. Temperatures were measured with k-type thermocouples and pressure with piezoresistive sensors.
More information about the recommended numerical schemes for these types of simulations and their limitations can be found in Fernández-Yáñez et al. [1,9].
TEG Power Calculations
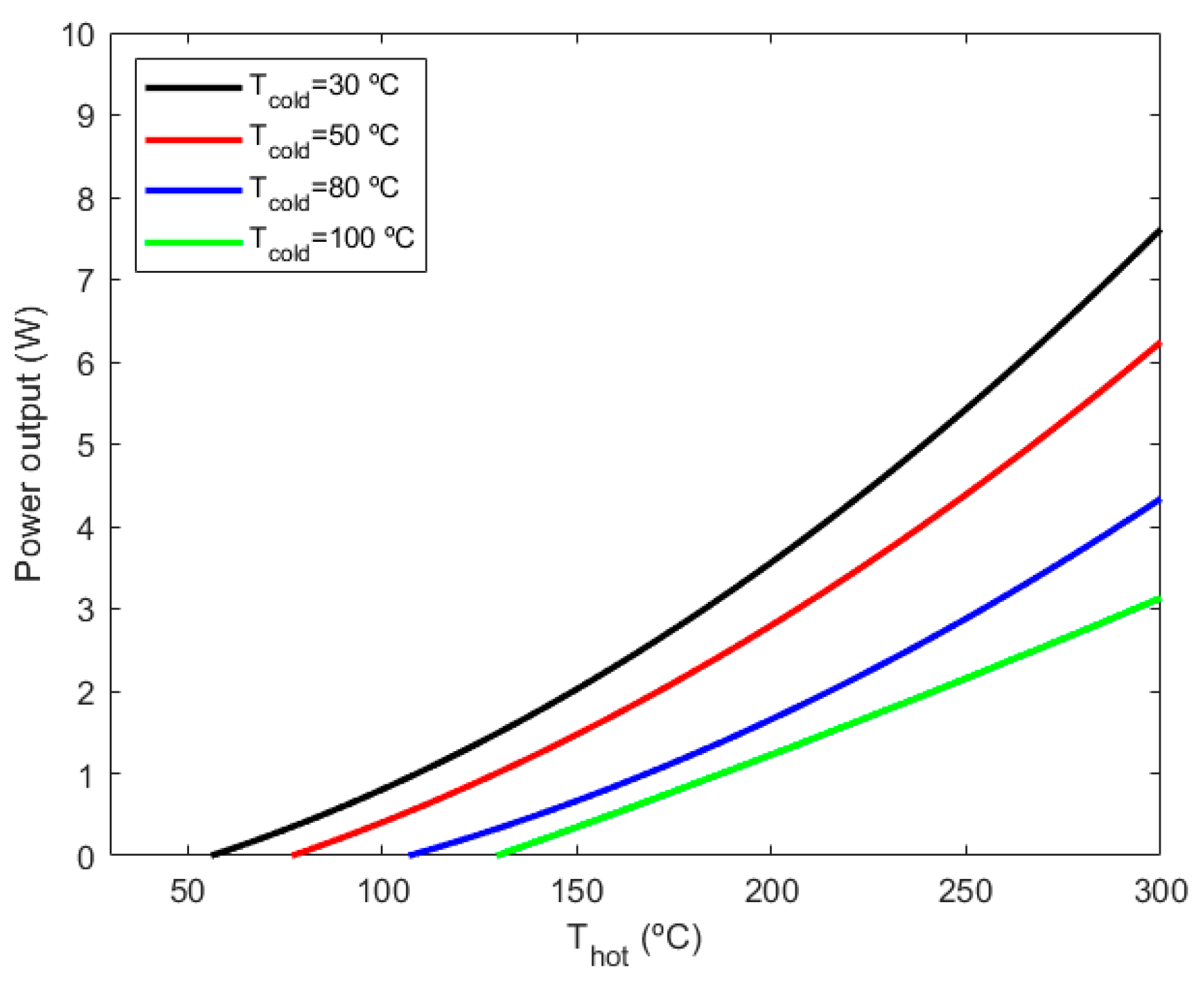
The TEG electrical power P el was calculated as the sum of all the individual TEG productions. Individual TEG productions were calculated based on hot and cold surface temperatures from an experimental characterization curve of the modules. The second-order fitted polynomials resulting from the experimental characterization of the modules at varying hot and cold surface temperatures are shown in Figure 2.
The pump losses were calculated as (Equation (1)):
P L = Δ p   V ˙
where Δ p is the pressure drop incurred with the TEG heat exchanger and V ˙ the volumetric flow rate.
The net production is calculated as the difference between the electric power produced by all the modules and the pumping losses in the engine (Equation (2)):
P net = P el P L

3. Case Studies

The following case studies were carried out: simulations with just the pipe to be replaced with the TEG (Figure 3a), the base design of the TEG (Figure 3b), a design with the inlet cone enlarged (Figure 4a), and a design with a segmented inlet cone (Figure 4b). Finally, a simulation with internal fins (Figure 5) and with thermoelectric modules and a coolant circuit was added (Figure 6).
These six different simulations were employed to gain the insight into TEGs sought in this work:

3.1. Influence of Area Expansion on the Exhaust System

It is important to quantify the effect of the TEG, especially in terms of pressure drop compared to the pipe to be replaced, in order to evaluate the extra energy expenditure caused by the TEG pressure drop [2]. This comparison was carried out by comparing the initial pipe (Figure 3a) with the base case (hollow heat exchanger, Figure 3b).
Figure 3. Exhaust pipe (a) and hollow base geometry (b).
Figure 3. Exhaust pipe (a) and hollow base geometry (b).
Applsci 13 05647 g003

3.2. Study of Recirculation Regions

The sudden cross-sectional area expansion causes the flow to separate, which can influence the heat transfer to the thermoelectric modules. The base geometry (Figure 3b) is compared with two alternatives designed to reduce the recirculation effect (Figure 4): one with an enlarged inlet cone and one with flow distributors in the inlet cone.
Figure 4. Base geometry with an enlarged inlet cone (a) and flow distributors in the inlet cone (b).
Figure 4. Base geometry with an enlarged inlet cone (a) and flow distributors in the inlet cone (b).
Applsci 13 05647 g004

3.3. Influence of Fins

Due to the squared shape of the base geometry, a structure with fins of different heights is proposed (Figure 5). This scheme was selected to obtain a more uniform temperature on the hot surface while maintaining a low pressure drop. The influence of fins in the recirculation regions is also studied.
Figure 5. Internal geometry proposed for the TEG heat exchanger: (a) global view and (b) cross section.
Figure 5. Internal geometry proposed for the TEG heat exchanger: (a) global view and (b) cross section.
Applsci 13 05647 g005

3.4. Thermoelectric Production

Finally, the thermoelectric production of a final TEG design (Figure 6) and the distribution temperature of the thermoelectric modules are presented. The hot side module temperature is correlated with internal flow characteristics.
Figure 6. Final teg design with thermoelectric modules and water coolant circuit: (a) global view and (b) side view.
Figure 6. Final teg design with thermoelectric modules and water coolant circuit: (a) global view and (b) side view.
Applsci 13 05647 g006

4. Results

4.1. Influence of the Area Expansion on the Exhaust System

In this subsection, the influence of the increase in cross-sectional area is studied. It is important to compare the results with the part of the exhaust pipe that was replaced.
Table 4 shows the results for the relevant quantities. It can be seen that the increase in the cross-sectional area in the base case doubles the pressure drop but also significantly increases the heat transfer to the walls, which also leads to a mild decrease in surface temperature.
Figure 7 shows the outer wall temperature distribution of the pipe and the base case. As can be seen, the surface temperature ranges from 345 to 380 °C for the exhaust pipe and from 320 to 360 °C for the base case. Apart from the decrease in temperature, the base case shows a lower temperature in some areas near the inlet of the squared cross-section (the central section of the TEG). This was further investigated, and the cause of this phenomenon was found to be recirculation regions due to the sudden increase in cross-sectional area (see Figure 8).

4.2. Study of Recirculation Regions

The recirculation seen in the base case (Figure 8) has been studied in this subsection. The recirculation appears in the corners of the squared central section, and the region with negative axial velocity roughly takes up about half the cross-sectional area (Figure 9a). This recirculation necessarily creates a central high axial velocity zone of approximately 40 m/s to maintain the exhaust mass flow rate.
Two modifications to the inlet cone were made to alter this recirculation. The first is an increase in the longitude of the inlet cone to make the area expansion more gradual (see Figure 4a). As can be seen in Figure 9b, the area of recirculation is reduced. The second modification was to insert flow splitters in the inlet cone (Figure 4b). As can be seen, the recirculation pattern changes, and now the recirculation regions appear in the upper and lower parts of the heat exchanger (Figure 9c). In terms of area, the recirculation region takes up around two-thirds of the cross-sectional area at the end of the inlet cone. It can be concluded that the minimum recirculation appears on the enlarged inlet cone.
Let us now discuss the effect of these recirculation patterns on the heat transferred to the walls (Figure 10). Despite having lower recirculation, the enlarged inlet design (Figure 10b) presents temperatures slightly lower than the base case (Figure 10a). This is due to the larger cone exposed to the ambient light that this design presents before the central geometry. More heat is dissipated before the flow reaches the central body, where the thermoelectric modules are to be placed. In the split inlet, clearly the recirculation region concentrated in the upper and lower parts makes for worse heat transfer to the wall near the inlet of the central square-shaped body (Figure 10c).
To summarize, recirculation hinders heat transfer to the wall as it moves the incoming hot gas stream away from the wall. Nevertheless, it is also important to keep the inlet cone short since heat transferred through the cone walls is lost since thermoelectric modules cannot be placed there.
In terms of pressure drop, the enlarged inlet design is more beneficial (Table 5). This is due to a less steep expansion of the duct, which reduces the recirculation and irreversibility of the flow. However, less heat and less wall temperature are achieved compared with the base case. In addition, the added length makes the implementation of these devices more difficult. For this reason, the base case with the initial inlet cone (base case, Figure 3b) was selected for the final TEG.

4.3. Influence of Internal Geometry

Figure 11 shows the temperature distribution of the heat exchanger wall for the finned geometry compared to the base case without fins. Fins manage a 50 °C increase in the entrance and middle regions but do not greatly increase the temperature near the outlet; this is due to the higher heat dissipated upstream. It can be observed that the hot inlet gas loses temperature across the TEG, and as a result, the upstream wall temperature is higher than the downstream wall temperature near the end of the heat exchanger. The fins manage to keep a high temperature near the inlet (approximately 380 °C) and at the end of the central squared body (around 340 °C).
In Figure 12, the internal temperature distribution is shown. The cross-shaped temperature distribution (Figure 10a) in the inlet of the central body is due to the recirculation regions at the corners of the heat exchanger. In the middle part, the recirculation region takes up less cross-sectional area because the recirculation bubbles are ending. In the rear part, the recirculation is not present, and the temperature profile is more homogeneous. In fact, the fins confine the recirculation region, diminishing its effects. This is also reflected in the pressure drop (Table 6). Despite being oriented with the flow stream, the fins should cause a slight increase in the pressure drop. Nevertheless, their effect of confining the recirculation region results in an overall slight reduction in the pressure drop.

4.4. Thermoelectric Production

To the heat exchanger with the internal fins, thermoelectric modules and a water coolant circuit were added. Figure 13 shows streamlines and thermoelectric modules colored by temperature. Figure 14 shows the hot and cold sides of thermoelectric modules.
As can be seen from Figure 14, the hot side of thermoelectric modules near the inlet cone is about 30–60 °C higher than the modules near the outlet cone. There is a region of low-temperature modules in the middle-aft part of the TEG; this is due to the recirculation region; the last column of thermoelectric modules has a slightly higher temperature since there the flow reattaches. The cold side temperature of thermoelectric modules ranges from 60 to 95 °C.
The thermoelectric production of this generator is 176 W. Nevertheless, there is an increase in pressure drop compared with the plain exhaust pipe, which must be accounted for. The extra pumping losses of the engine are 16.2 W, and the net energy production is 159.7 W. Compared to a flat-type design (Figure 15) in literature [26] with the same heat source (i.e., same conditions of the heat source, the coolant flow was at the same temperature, but the coolant mass flow rate was half the employed here, 0.1 L/s vs. 0.2 L/s, which decreases the power output), the squared geometry achieved more power output with fewer pressure drop and less thermoelectric modules (Table 7).

5. Conclusions

A thermoelectric prototype for exhaust gases from a piston engine was designed and studied following a low pressure drop approach. The design and analysis are valid for piston engines working on the ground or in aircraft. Different issues are studied: the influence of the replacement of the exhaust pipe for the TEG, the recirculation produced, and the influence of fins. The following conclusions can be drawn from this work:
-
The typical sudden cross-sectional area expansion at the TEG inlet causes an important recirculation region;
-
The recirculation increases the pressure drop and has mild but not unimportant effects on the heat transferred and surface temperature;
-
An enlarged inlet cone reduces the recirculation and the pressure drop of the TEG, but more heat is lost across the cone walls, reducing the heat available for the thermoelectric modules;
-
Splitting the inlet with flow separators in one direction did not result in a decrease in recirculation, but increased it;
-
Internal straight fins aligned with the flow do not significantly increase the pressure drop in this type of device;
-
In addition, the fins reduced the recirculation, lowering the overall pressure drop;
-
An energy production of 176 W with 16.2 W of pressure drop losses resulted in a net energy production of 159.7 W;
-
A significant decrease in pressure drop (−61.8%) was achieved compared to a flat-type TEG design.

Author Contributions

Conceptualization, P.F.-Y.; methodology, P.F.-Y.; software, J.J. and F.J.M.; validation, P.F.-Y. and O.A.; formal analysis, P.F.-Y. and F.J.M.; resources, F.J.M. and O.A.; data curation, J.J.; writing—original draft preparation, P.F.-Y. and J.J.; writing—review and editing, P.F.-Y., F.J.M. and O.A.; visualization, J.J.; supervision, P.F.-Y. and O.A.; funding acquisition, O.A. All authors have read and agreed to the published version of the manuscript.

Funding

This research was funded by Spanish Ministry of Science, Innovation and Universities, grant number RTI2018-095923-B-C21 (project RECUPERA).

Institutional Review Board Statement

Not applicable.

Informed Consent Statement

Not applicable.

Data Availability Statement

Not applicable.

Acknowledgments

The authors wish to thank the technical support provided by the Nissan Europe Technology Centre, Spain.

Conflicts of Interest

The authors declare no conflict of interest.

References

  1. Fernández-Yáñez, P.; Armas, O.; Gómez, A.; Gil, A. Developing Computational Fluid Dynamics (CFD) Models to Evaluate Available Energy in Exhaust Systems of Diesel Light-Duty Vehicles. Appl. Sci. 2017, 7, 590. [Google Scholar] [CrossRef]
  2. Fernández-Yáñez, P.; Romero, V.; Armas, O.; Cerretti, G. Thermal management of thermoelectric generators for waste energy recovery. Appl. Therm. Eng. 2021, 196, 117291. [Google Scholar] [CrossRef]
  3. Agudelo, A.F.; García-Contreras, R.; Agudelo, J.R.; Armas, O. Potential for exhaust gas energy recovery in a diesel passenger car under European driving cycle. Appl. Energy 2016, 174, 201–212. [Google Scholar] [CrossRef]
  4. Fernández-Yáñez, P.; Armas, O.; Martínez-Martínez, S. Impact of relative position vehicle-wind blower in a roller test bench under climatic chamber. Appl. Therm. Eng. 2016, 106, 266–274. [Google Scholar] [CrossRef]
  5. Fernández-Yáñez, P.; Gómez, A.; García-Contreras, R.; Armas, O. Evaluating thermoelectric modules in diesel exhaust systems: potential under urban and extra-urban driving conditions. J. Clean. Prod. 2018, 182, 1070–1079. [Google Scholar] [CrossRef]
  6. García-Contreras, R.; Agudelo, A.; Gómez, A.; Fernández-Yáñez, P.; Armas, O.; Ramos, Á. Thermoelectric Energy Recovery in a Light-Duty Diesel Vehicle under Real-World Driving Conditions at Different Altitudes with Diesel, Biodiesel and GTL Fuels. Energies 2019, 12, 1105. [Google Scholar] [CrossRef]
  7. Ikoma, K.; Munekiyo, M.; Furuya, K.; Kobayashi, M.; Izumi, T.; Shinohara, K. Thermoelectric module and generator for gasoline engine vehicles. In Proceedings of the Seventeenth International Conference on Thermoelectrics. Proceedings ICT98 (Cat. No.98TH8365), Nagoya, Japan, 28 May 1998; pp. 464–467. [Google Scholar] [CrossRef]
  8. Hsu, C.-T.; Huang, G.-Y.; Chu, H.-S.; Yu, B.; Yao, D.-J. Experiments and simulations on low-temperature waste heat harvesting system by thermoelectric power generators. Appl. Energy 2011, 88, 1291–1297. [Google Scholar] [CrossRef]
  9. Fernández-Yañez, P.; Armas, O.; Capetillo, A.; Martínez-Martínez, S. Thermal analysis of a thermoelectric generator for light-duty diesel engines. Appl. Energy 2018, 226, 690–702. [Google Scholar] [CrossRef]
  10. Crane, D.T.; LaGrandeur, J.W. Progress Report on BSST-Led US Department of Energy Automotive Waste Heat Recovery Program. J. Electron. Mater. 2009, 39, 2142–2148. [Google Scholar] [CrossRef]
  11. Li, B.; Huang, K.; Yan, Y.; Li, Y.; Twaha, S.; Zhu, J. Heat transfer enhancement of a modularised thermoelectric power generator for passenger vehicles. Appl. Energy 2017, 205, 868–879. [Google Scholar] [CrossRef]
  12. Ezzitouni, S.; Fernández-Yáñez, P.; Sánchez, L.; Armas, O.; Soto, F. Effect of the use of a thermoelectric generator on the pumping work of a diesel engine. Int. J. Engine Res. 2019, 22, 1016–1027. [Google Scholar] [CrossRef]
  13. Bai, S.; Lu, H.; Wu, T.; Yin, X.; Shi, X.; Chen, L. Numerical and experimental analysis for exhaust heat exchangers in automobile thermoelectric generators. Case Stud. Therm. Eng. 2014, 4, 99–112. [Google Scholar] [CrossRef]
  14. Wang, Y.; Li, S.; Zhang, Y.; Yang, X.; Deng, Y.; Su, C. The influence of inner topology of exhaust heat exchanger and thermoelectric module distribution on the performance of automotive thermoelectric generator. Energy Convers. Manag. 2016, 126, 266–277. [Google Scholar] [CrossRef]
  15. Amaral, C.; Brandão, C.; Sempels, É.V.; Lesage, F.J. Net thermoelectric generator power output using inner channel geometries with alternating flow impeding panels. Appl. Therm. Eng. 2014, 65, 94–101. [Google Scholar] [CrossRef]
  16. Ezzitouni, S.; Fernández-Yáñez, P.; Sánchez, L.; Armas, O. Global energy balance in a diesel engine with a thermoelectric generator. Appl. Energy 2020, 269, 115139. [Google Scholar] [CrossRef]
  17. Wang, Y.; Li, S.; Yang, X.; Deng, Y.; Su, C. Numerical and Experimental Investigation for Heat Transfer Enhancement by Dimpled Surface Heat Exchanger in Thermoelectric Generator. J. Electron. Mater. 2015, 45, 1792–1802. [Google Scholar] [CrossRef]
  18. Liu, J.; Xie, G.; Simon, T.W. Turbulent flow and heat transfer enhancement in rectangular channels with novel cylindrical grooves. Int. J. Heat Mass Transf. 2015, 81, 563–577. [Google Scholar] [CrossRef]
  19. Sousa, C.C.; Martins, J.; Carvalho, Ó.; Coelho, M.; Moita, A.S.; Brito, F.P. Assessment of an Exhaust Thermoelectric Generator Incorporating Thermal Control Applied to a Heavy Duty Vehicle. Energies 2022, 15, 4787. [Google Scholar] [CrossRef]
  20. Ozbektas, S.; Sungur, B.; Topaloğlu, B. Performance Analysis of Thermoelectric Generator at Different Hot Surface Temperatures. J. Thermophys. Heat Transf. 2021, 35, 814–823. [Google Scholar] [CrossRef]
  21. Ozbektas, S.; Sungur, B.; Topaloğlu, B. Numerical Investigation of the Effect of Heat Sinks With Various Fin Geometries on the Performance of a Thermoelectric Generator. J. Therm. Sci. Eng. Appl. 2022, 15, 031004. [Google Scholar] [CrossRef]
  22. Pujol, T.; T'Jollyn, I.; Massaguer, E.; Massaguer, A.; Cózar, I.R.; De Paepe, M. Design optimization of plate-fin heat sink with forced convection for single-module thermoelectric generator. Appl. Therm. Eng. 2023, 221, 119866. [Google Scholar] [CrossRef]
  23. Ezzitouni, S.; Fernández-Yáñez, P.; Rodríguez, L.S.; Armas, O.; de las Morenas, J.; Massaguer, E.; Massaguer, A. Electrical Modelling and Mismatch Effects of Thermoelectric Modules on Performance of a Thermoelectric Generator for Energy Recovery in Diesel Exhaust Systems. Energies 2021, 14, 3189. [Google Scholar] [CrossRef]
  24. ANSYS. Fluent Theory Guide; ANSYS Inc.: Canonsburg, PA, USA, 2013. [Google Scholar]
  25. Shih, T.-H.; Liou, W.W.; Shabbir, A.; Yang, Z.; Zhu, J. A new k-ϵ eddy viscosity model for high reynolds number turbulent flows. Comput. Fluids 1995, 24, 227–238. [Google Scholar] [CrossRef]
  26. Fernández-Yáñez, P.; Armas, O.; Kiwan, R.; Stefanopoulou, A.; Boehman, A. A thermoelectric generator in exhaust systems of spark-ignition and compression-ignition engines. A comparison with an electric turbo-generator. Appl. Energy 2018, 229, 80–87. [Google Scholar] [CrossRef]
Figure 1. Experimental engine test bench.
Figure 1. Experimental engine test bench.
Applsci 13 05647 g001
Figure 2. Curves of power output of one thermoelectric module included in the model.
Figure 2. Curves of power output of one thermoelectric module included in the model.
Applsci 13 05647 g002
Figure 7. Wall temperature (°C) in the (a) exhaust pipe and (b) base design.
Figure 7. Wall temperature (°C) in the (a) exhaust pipe and (b) base design.
Applsci 13 05647 g007
Figure 8. Streamlines colored by velocity (m/s) in the base case design. Recirculation regions are visible near the inlet of the cross-sectional area expansion.
Figure 8. Streamlines colored by velocity (m/s) in the base case design. Recirculation regions are visible near the inlet of the cross-sectional area expansion.
Applsci 13 05647 g008
Figure 9. Axial velocity (m/s) at the end of the inlet cone. Dark blue are values out of scale, i.e., negative axial velocity values.
Figure 9. Axial velocity (m/s) at the end of the inlet cone. Dark blue are values out of scale, i.e., negative axial velocity values.
Applsci 13 05647 g009
Figure 10. Surface temperatures (°C) of the central body with the different inlet cones.
Figure 10. Surface temperatures (°C) of the central body with the different inlet cones.
Applsci 13 05647 g010
Figure 11. Temperature (°C) distribution in the central body (a) without fins and (b) with fins.
Figure 11. Temperature (°C) distribution in the central body (a) without fins and (b) with fins.
Applsci 13 05647 g011
Figure 12. Temperature (°C) distribution evolution in the central body of the heat exchanger with fins.
Figure 12. Temperature (°C) distribution evolution in the central body of the heat exchanger with fins.
Applsci 13 05647 g012
Figure 13. Streamlines and thermoelectric modules colored by temperature (°C). A stainless steel heat exchanger and water coolant circuit are hidden for visualization purposes.
Figure 13. Streamlines and thermoelectric modules colored by temperature (°C). A stainless steel heat exchanger and water coolant circuit are hidden for visualization purposes.
Applsci 13 05647 g013
Figure 14. Hot and cold sides of thermoelectric modules.
Figure 14. Hot and cold sides of thermoelectric modules.
Applsci 13 05647 g014
Figure 15. Flat-type heat exchanger of a thermoelectric generator [9,23] for comparisons with the squared design proposed here. The water circuit and thermoelectric modules are not shown for better visualization of the main geometry.
Figure 15. Flat-type heat exchanger of a thermoelectric generator [9,23] for comparisons with the squared design proposed here. The water circuit and thermoelectric modules are not shown for better visualization of the main geometry.
Applsci 13 05647 g015
Table 1. Summary of the spatial discretization scheme.
Table 1. Summary of the spatial discretization scheme.
GradientLeast squares cell based
PressureSecond order
MomentumSecond order upwind
Turbulent kinetic energySecond order upwind
Table 2. Boundary conditions.
Table 2. Boundary conditions.
BoundaryType
Inlet (gas)Mass-flow inlet: 0.052 kg/s @ 423.4 °C
Inlet (water)Mass-flow inlet: 0.2 L/s @ 50 °C
OutletPressure outlet
External wallsWall with heat transfer convection coefficient of 15 W/m2K (natural convection) and exterior temperature of 30 °C
Table 3. Errors of the numerical schemes used obtained from experimental validation. Positive values mean that the model overestimates the quantity, and negative values mean that it underestimates it.
Table 3. Errors of the numerical schemes used obtained from experimental validation. Positive values mean that the model overestimates the quantity, and negative values mean that it underestimates it.
VariableError
Pressure drop−0.3%
Exit temperature−2.1%
Surface temperature[−4.6%, 5.3%]
Table 4. Comparison between the base case (cross-sectional area expansion, no internal fins) and the exhaust pipe part replaced. Percentages are increments or decrements with respect to the exhaust pipe case values.
Table 4. Comparison between the base case (cross-sectional area expansion, no internal fins) and the exhaust pipe part replaced. Percentages are increments or decrements with respect to the exhaust pipe case values.
Pressure Drop (Pa)Wall Heat Transfer (W)
Exhaust pipe136.5-328.6-
Base case324.3+137.6%841.8+156.1%
Table 5. Comparison of designs with different inlet cones. Percentages are increments or decrements with respect to the base case values.
Table 5. Comparison of designs with different inlet cones. Percentages are increments or decrements with respect to the base case values.
Pressure Drop (Pa)Wall Heat Transfer (W)
Base case324.3-841.8-
Enlarged inlet224.9−30.6%837.4−0.5%
Split inlet342.0+5.46%825.8−1.9%
Table 6. Pressure drop comparison.
Table 6. Pressure drop comparison.
Pressure Drop (Pa)Wall Heat Transfer (W)
Base case324.3-841.8-
Finned case292.7−9.74%865.4+2.8%
Table 7. A comparison with a flat-type thermoelectric generator in literature with similar heat source conditions. Percentages refer to the flat-type design values.
Table 7. A comparison with a flat-type thermoelectric generator in literature with similar heat source conditions. Percentages refer to the flat-type design values.
DesignSquaredFlat Type [26]Variation
Power output175.9 W106.2 W+ 65%
Pressure drop 292.7 Pa766.6 Pa−61.8%
Number of thermoelectric modules7280−10%
Disclaimer/Publisher’s Note: The statements, opinions and data contained in all publications are solely those of the individual author(s) and contributor(s) and not of MDPI and/or the editor(s). MDPI and/or the editor(s) disclaim responsibility for any injury to people or property resulting from any ideas, methods, instructions or products referred to in the content.

Share and Cite

MDPI and ACS Style

Fernández-Yáñez, P.; Jarama, J.; Martos, F.J.; Armas, O. Heat Transfer in Thermoelectric Generators for Waste Energy Recovery in Piston Engines. Appl. Sci. 2023, 13, 5647. https://doi.org/10.3390/app13095647

AMA Style

Fernández-Yáñez P, Jarama J, Martos FJ, Armas O. Heat Transfer in Thermoelectric Generators for Waste Energy Recovery in Piston Engines. Applied Sciences. 2023; 13(9):5647. https://doi.org/10.3390/app13095647

Chicago/Turabian Style

Fernández-Yáñez, Pablo, Javier Jarama, Francisco J. Martos, and Octavio Armas. 2023. "Heat Transfer in Thermoelectric Generators for Waste Energy Recovery in Piston Engines" Applied Sciences 13, no. 9: 5647. https://doi.org/10.3390/app13095647

APA Style

Fernández-Yáñez, P., Jarama, J., Martos, F. J., & Armas, O. (2023). Heat Transfer in Thermoelectric Generators for Waste Energy Recovery in Piston Engines. Applied Sciences, 13(9), 5647. https://doi.org/10.3390/app13095647

Note that from the first issue of 2016, this journal uses article numbers instead of page numbers. See further details here.

Article Metrics

Back to TopTop