Setting the Initial Value for Single Exponential Smoothing and the Value of the Smoothing Constant for Forecasting Using Solver in Microsoft Excel
Abstract
:1. Introduction
2. Theoretical Framework
2.1. SES
2.2. Setting the Initial Value for SES
- 1.
- The first observation is used as the initial value of α when using SES [22].By simple algebra, of SES, can also be expressed as, where and are the initial value and the actual value, respectively. The choice is preferable when the level changes rapidly (α close to 1, or 1 − α close to 0).
- 2.
- The average of the first six observations is used for the initial value [23].By simple algebra of SES, can also be expressed as, where and are the initial value and the actual values, respectively.
2.3. Performance Metrics
3. The Proposed Method to Set the Initial Value for SES
- 1.
- Let where .
- 2.
- Use Solver in Microsoft Excel to find the optimal value for α while minimizing MSE.
- 3.
- Provide the initial forecasting value via .
- 4.
- Calculate the MSE.
4. Experimental Study
- 1.
- Each time series dataset with a stationary pattern is performed for three initial values by applying methods 1 and 2, and the proposed method are as follows:Method 1:Method 2:The proposed method: .
- 2.
- For each initial value setting, use the solver in Excel to find the optimal value for α while minimizing the MSE. Hence, we obtained the optimal value for α and the MSE value of each initial value setting.
- 3.
- For each initial value setting, use a grid search with α by varying 0.001, 0.002, …, 1.00 and compute the MSE in each α. With these 1000 conditions, we searched the optimal value for α and obtained the lowest MSE.
- 4.
- The performance of the proposed method compared with the other two initialization methods of the SES method, considering the lowest MSE.
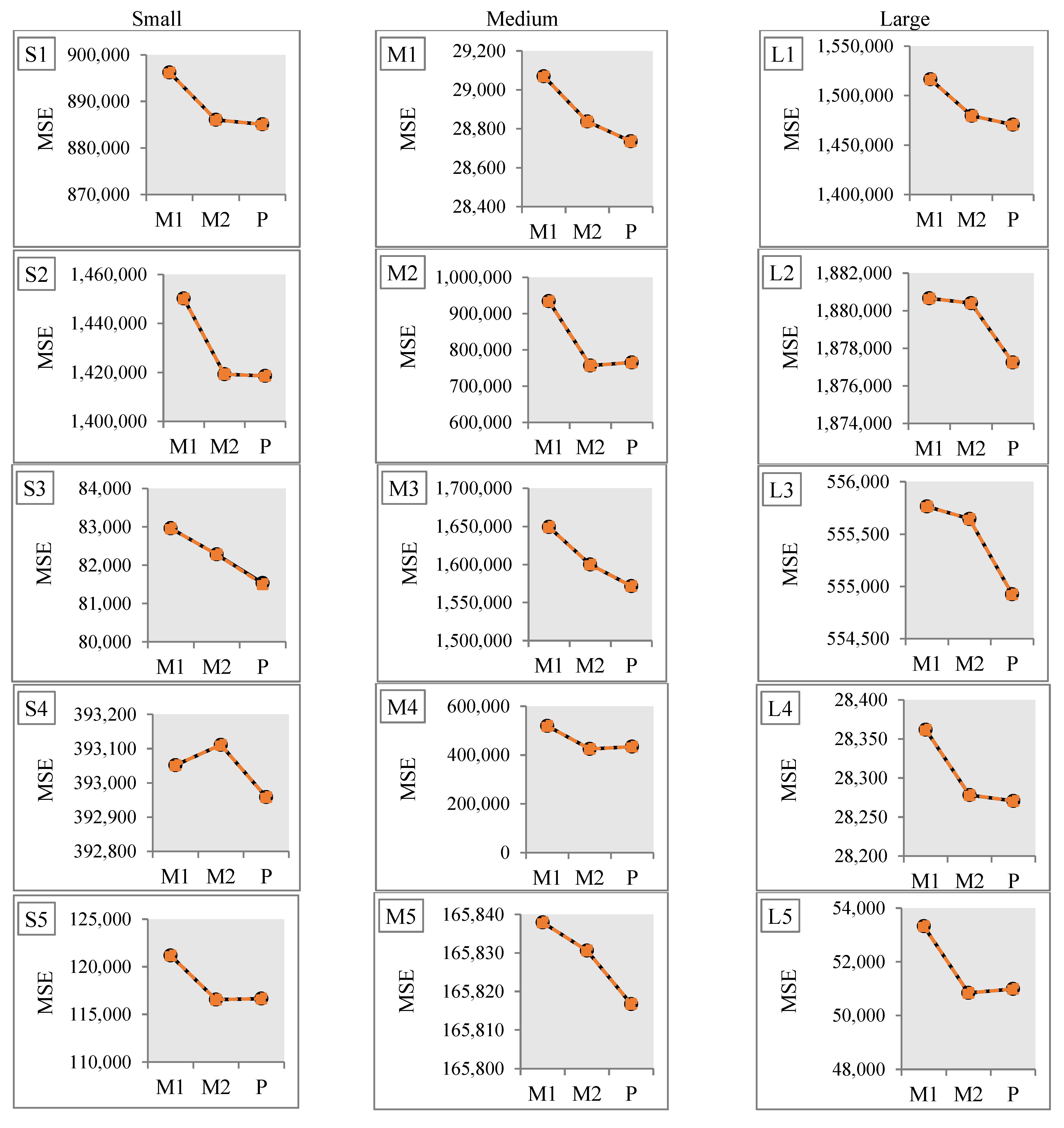
5. Results and Discussion
6. Conclusions and Remarks
Author Contributions
Funding
Institutional Review Board Statement
Informed Consent Statement
Data Availability Statement
Acknowledgments
Conflicts of Interest
References
- Hyndman, R.J.; Koehler, A.B.; Snyder, R.D.; Grose, S. A state space framework for automatic forecasting using exponential smoothing methods. Int. J. Forecast. 2002, 18, 439–454. [Google Scholar] [CrossRef] [Green Version]
- Chen, F.; Ryan, J.K.; Simchi-Levi, D. The impact of exponential smoothing forecasts on the bullwhip effect. Nav. Res. Logist. 2000, 47, 269–286. [Google Scholar] [CrossRef]
- Hussain, A.; Rahman, M.; Alam Memon, J. Forecasting electricity consumption in Pakistan: The way forward. Energy Policy 2016, 90, 73–80. [Google Scholar] [CrossRef]
- De Baets, S.; Harvey, N. Forecasting from time series subject to sporadic perturbations: Effectiveness of different types of forecasting support. Int. J. Forecast. 2018, 34, 163–180. [Google Scholar] [CrossRef]
- Chukwulozie, O.P.; Chinagorom, N.E.; Chukwuneke, C.J.; Nnodim, C.T. The analysis of cigarette production using double exponential smoothing model. Acad. J. Sci. 2017, 7, 293–308. [Google Scholar]
- Wongoutong, C. The effect on forecasting accuracy of the Holt-Winters Method when using the incorrect model on a non-stationary time series. Thail. Stat. 2021, 19, 565–582. [Google Scholar]
- Xie, M.; Hong, G.Y.; Wohlin, C. A study of the exponential smoothing technique in software reliability growth prediction. Qual. Reliab. Eng. Int. 1997, 13, 347–353. [Google Scholar] [CrossRef]
- Schroeder, R.G.; Goldstein, S.M.; Rungtusanatham, M.J. Operations Management in the Supply Chain: Decisions and Cases; McGraw-Hill/Irwin: Windsor, NJ, USA, 2013. [Google Scholar]
- Jacobs, F.R.; Chase, R.B. Operations and supply chain management. In The Core, 3rd ed.; Chapter 3; McGraw-Hill Higher Education: Columbus, OH, USA, 2013. [Google Scholar]
- Paul, S.K. Determination of exponential smoothing constant to minimize mean square error and mean absolute deviation. Glob. J. Res. Eng. 2011, 11, 31–34. [Google Scholar]
- Bermúdez, J.D.; Segura, J.V.; Vercher, E. Improving demand forecasting accuracy using nonlinear programming software. J. Oper. Res. Soc. 2006, 57, 94–100. [Google Scholar] [CrossRef]
- Chopra, S.; Meindl, P.; Kalra, D.V. Supply Chain Management: Strategy, Planning, and Operation; Pearson Education: London, UK, 2013; Volume 232. [Google Scholar]
- Nariman, N.A.; Hamdia, K.; Ramadan, A.M.; Sadaghian, H. Optimum Design of Flexural Strength and Stiffness for Reinforced Concrete Beams Using Machine Learning. Appl. Sci. 2021, 11, 8762. [Google Scholar] [CrossRef]
- Ravinder, H.V. Determining The Optimal Values Of Exponential Smoothing Constants Does Solver Really Work? Am. J. Bus. Educ. 2013, 6, 347–360. [Google Scholar] [CrossRef]
- Chopra, S.; Meindl, P. Supply Chain Management: Strategy, Planning, and Operation, 5th ed.; Prentice Hall: Hoboken, NJ, USA, 2013; p. 195, Chapter 7. [Google Scholar]
- Balakrishnan, N.; Render, B.; Stair, R. Managerial Decision Modeling with Spreadsheets, 3rd ed.; Bermudez, J.D., Segura, J.V., Velcher, E., Eds.; Prentice Hall: Hoboken, NJ, USA, 2013. [Google Scholar]
- Ledolter, J.; Abraham, B. Some comments on the initialization of exponential smoothing. J. Forecast. 1984, 3, 79–84. [Google Scholar] [CrossRef]
- Brown, R.G. Statistical Forecasting for Inventory Control; McGraw-Hill: New York, NY, USA, 1959. [Google Scholar]
- Cohen, G.D. Bayesian adjustment of sales forecasts in multi-item inventory control systems. J. Ind. Eng. 1966, 17, 474. [Google Scholar]
- Johnson, L.A.; Montgomery, D.C. Operations Research in Production Planning, Scheduling and Inventory Control. J. Oper. Res. Soc. 1975, 26, 568–569. [Google Scholar]
- Taylor, J.W. Volatility forecasting with smooth transition exponential smoothing. Int. J. Forecast. 2004, 20, 273–286. [Google Scholar] [CrossRef]
- Makridakis, S.; Wheelwright, S.C.; Hyndman, R.J. Forecasting Methods and Applications; John Wiley & Sons: Hoboken, NJ, USA, 2008. [Google Scholar]
- University of Duke. Averaging and Exponential Smoothing Models. 2017. Available online: https://people.duke.edu/~rnau/Decision411_2007/411avg.htm (accessed on 11 January 2023).
- Cadenas, E.; Jaramillo, O.A.; Rivera, W. Analysis and forecasting of wind velocity in chetumal, quintana roo, using the single exponential smoothing method. Renew Energy 2010, 35, 925–930. [Google Scholar] [CrossRef]
- Rachmat, R.; Suhartono, S. Comparative Analysis of single exponential smoothing and Holt’s Method for quality of hospital services forecasting in general hospital. Bull. Comput. Sci. Electr. Eng. 2020, 1, 80–86. [Google Scholar] [CrossRef]
- Wongoutong, C. Improvement of the Holt-Winters Multiplicative Method with a New Initial Value Settings Method. Thail. Stat. 2021, 19, 280–293. [Google Scholar]
- Sudibyo, N.A.; Iswardani, A.; Septyanto, A.W.; Wicaksono, T.G. Prediksi inflasi di indonesia menggunakan metode moving average, single exponential smoothing dan double exponential smoothing. J. Lebesgue J. Ilm. Pendidik. Mat. Mat. Stat. 2020, 1, 123–129. [Google Scholar]
- Mas-Machuca, M.; Sainz, M.; Martinez-Costa, C. A review of forecasting models for new products. Intang. Capital. 2014, 10, 1–25. [Google Scholar] [CrossRef] [Green Version]
- Brown, R.G. Smoothing, Forecasting and Prediction of Discrete Time Series; Prentice-Hall: Annapolis, MD, USA, 1962. [Google Scholar]
- Gardner, J.R.; Everette, S. Exponential smoothing: The state of the art—Part II. Int. J. Forecast. 2006, 22, 637–666. [Google Scholar] [CrossRef]
- Hyndman, R.J.; Athanasopoulos, G. Forecasting: Principles and Practice; OTexts: Online Textbook, 8 May 2018. [Google Scholar]
- Clements, M.; Hendry, D. Forecasting Economic Time Series; Cambridge University Press: Cambridge, UK, 1998. [Google Scholar]
- Makridakis, S.; Hibon, M. The M3-Competition: Results, conclusions and implications. Int. J. Forecast. 2000, 16, 451–476. [Google Scholar] [CrossRef]
- The R Project for Statistical Computing. 2019. Available online: https://www.r-project.org/ (accessed on 11 January 2023).









| t | ||
|---|---|---|
| 1 | 6/21 | |
| 2 | 5/21 | |
| 3 | 4/21 | |
| 4 | 3/21 | |
| 5 | 2/21 | |
| 6 | 1/21 |
| Dataset | M3 Competition Code | Time Period | Size | |
|---|---|---|---|---|
| Small | S1 | N243 (Y) | 1947–1992 | 46 |
| S2 | N127 (Y) | 1947–1993 | 47 | |
| S3 | N180 (Y) | 1947–1993 | 47 | |
| S4 | N229 (Y) | 1947–1993 | 47 | |
| S5 | N721 (Q) | 1984Q1–1994Q4 | 44 | |
| Medium | M1 | N1368 (Q) | 1974Q2–1991Q3 | 70 |
| M2 | N1449 (Q) | 1990Q1–2007Q1 | 69 | |
| M3 | N1470 (Q) | 1990Q1–2007Q1 | 69 | |
| M4 | N1472 (Q) | 1990Q1–2007Q1 | 69 | |
| M5 | N903 (Q) | 1976Q1–1993Q4 | 72 | |
| Large | L1 | N2125 (M) | 1978M1–1989M12 | 144 |
| L2 | N1886 (M) | 1979M1–1990M12 | 144 | |
| L3 | N2022 (M) | 1981M1–1992M12 | 144 | |
| L4 | N2025 (M) | 1981M1–1992M12 | 144 | |
| L5 | N2070 (M) | 1982M1–1993M12 | 144 |
| Size | Dataset | Method 1 | Method 2 | Proposed | |||
|---|---|---|---|---|---|---|---|
| Step | Solver | Step | Solver | Step | Solver | ||
| Small | S1 | 0.369 | 0.3689 | 0.316 | 0.3162 | 0.323 | 0.3232 |
| S2 | 0.349 | 0.3486 | 0.298 | 0.2982 | 0.301 | 0.3013 | |
| S3 | 0.683 | 0.6828 | 0.546 | 0.5459 | 0.555 | 0.5383 | |
| S4 | 0.797 | 0.7970 | 0.798 | 0.7975 | 0.793 | 0.7932 | |
| S5 | 0.261 | 0.2608 | 0.213 | 0.2129 | 0.216 | 0.2161 | |
| Medium | M1 | 0.248 | 0.2477 | 0.228 | 0.2281 | 0.230 | 0.2301 |
| M2 | 0.244 | 0.2437 | 0.062 | 0.0621 | 0.088 | 0.0884 | |
| M3 | 0.098 | 0.0982 | 0.068 | 0.0677 | 0.042 | 0.0420 | |
| M4 | 0.237 | 0.2368 | 0.051 | 0.0507 | 0.064 | 0.0642 | |
| M5 | 0.705 | 0.7049 | 0.705 | 0.7048 | 0.704 | 0.7045 | |
| Large | L1 | 0.218 | 0.2177 | 0.135 | 0.1348 | 0.143 | 0.1433 |
| L2 | 0.148 | 0.1481 | 0.148 | 0.1478 | 0.145 | 0.1447 | |
| L3 | 0.126 | 0.1262 | 0.126 | 0.1257 | 0.122 | 0.1221 | |
| L4 | 0.224 | 0.2238 | 0.22 | 0.2195 | 0.219 | 0.2191 | |
| L5 | 0.181 | 0.1809 | 0.141 | 0.1415 | 0.145 | 0.1449 | |
| Size | Dataset | Method 1 | Method 2 | Proposed | |||
|---|---|---|---|---|---|---|---|
| Step | Solver | Step | Solver | Step | Solver | ||
| Small | S1 | 896,212.77 | 896,212.76 | 886,047.38 | 886,047.36 | 885,070.96 | 885,070.92 |
| S2 | 1,450,217.80 | 1,450,217.50 | 1,419,280.76 | 1,419,280.72 | 1,418,605.85 | 1,418,605.71 | |
| S3 | 82,963.99 | 82,963.98 | 82,284.51 | 82,284.51 | 81,506.58 | 81,505.96 | |
| S4 | 393,051.81 | 393,051.81 | 393,111.26 | 393,111.21 | 392,958.71 | 392,958.71 | |
| S5 | 121,187.43 | 121,187.42 | 116,543.72 | 116,543.71 | 116,648.83 | 116,648.82 | |
| Medium | M1 | 29,069.60 | 29,069.60 | 28,837.52 | 28,837.52 | 28,735.94 | 28,735.94 |
| M2 | 934,245.09 | 934,244.89 | 756,669.78 | 756,669.75 | 765,244.84 | 765,244.02 | |
| M3 | 1,649,100.03 | 1,649,099.38 | 1,599,938.85 | 1,599,937.30 | 1,571,685.18 | 1,571,685.15 | |
| M4 | 519,353.65 | 519,353.61 | 424,846.72 | 424,846.34 | 434,269.59 | 434,269.50 | |
| M5 | 165,837.93 | 165,837.93 | 165,830.64 | 165,830.63 | 165,816.74 | 165,816.72 | |
| Large | L1 | 1,516,519.54 | 1,516,519.40 | 1,479,599.21 | 1,479,599.13 | 1,470,586.75 | 1,470,586.56 |
| L2 | 1,880,659.84 | 1,880,659.83 | 1,880,401.03 | 1,880,400.76 | 1,877,245.36 | 1,877,244.59 | |
| L3 | 555,763.08 | 555,762.96 | 555,644.55 | 555,644.38 | 554,925.61 | 554,925.58 | |
| L4 | 28,361.93 | 28,361.93 | 28,278.23 | 28,278.21 | 28,270.66 | 28,270.66 | |
| L5 | 53,326.57 | 53,326.57 | 50,839.83 | 50,839.76 | 50,986.27 | 50,986.27 | |
| Size | Dataset | Method 1 | Method 2 | Proposed | Chi-Squared Value | p-Value |
|---|---|---|---|---|---|---|
| Small | S1 | 425 | 145 | 430 | 159.65 | <0.0001 |
| S2 | 300 | 97 | 603 | 389.05 | <0.0001 | |
| S3 | 316 | 264 | 420 | 37.86 | <0.0001 | |
| S4 | 155 | 0 | 845 | 1214.15 | <0.0001 | |
| S5 | 248 | 223 | 529 | 173.22 | <0.0001 | |
| Medium | M1 | 285 | 218 | 497 | 127.27 | <0.0001 |
| M2 | 348 | 172 | 480 | 143.26 | <0.0001 | |
| M3 | 146 | 295 | 559 | 262.47 | <0.0001 | |
| M4 | 361 | 234 | 405 | 47.31 | <0.0001 | |
| M5 | 363 | 146 | 491 | 182.50 | <0.0001 | |
| Large | L1 | 449 | 165 | 386 | 133.47 | <0.0001 |
| L2 | 4 | 56 | 940 | 1660.26 | <0.0001 | |
| L3 | 66 | 273 | 661 | 547.42 | <0.0001 | |
| L4 | 78 | 127 | 795 | 962.71 | <0.0001 | |
| L5 | 302 | 221 | 447 | 102.722 | <0.0001 | |
| Average | 256.40 | 175.73 | 565.87 | |||
| Size | Dataset | Method 1 | Method 2 | Proposed |
|---|---|---|---|---|
| Small | S1 | 984,214.12 | 969,740.55 | 967,322.56 * |
| S2 | 1,594,382.33 | 1,569,643.61 | 1,564,879.67 * | |
| S3 | 122,698.44 | 105,228.68 | 104,818.88 * | |
| S4 | 460,672.15 | 461,335.23 | 456,778.22 * | |
| S5 | 146,968.36 | 144,174.95 | 143,896.02 * | |
| Medium | M1 | 31,757.83 | 31,338.43 | 30,365.02 * |
| M2 | 1,204,852.71 | 1,064,595.04 | 1,062,339.88 * | |
| M3 | 2,188,507.09 | 2,166,421.78 | 2,160,496.8 * | |
| M4 | 634,169.22 | 584,823.33 | 582,716.40 * | |
| M5 | 181,293.72 | 181,455.69 | 178,257.81 * | |
| Large | L1 | 1,639,370.09 | 1,619,541.12 | 1,616,325.69 * |
| L2 | 2,371,310.64 | 2,371,031.69 | 2,367,682.30 * | |
| L3 | 707,504.85 | 707,387.44 | 706,683.96 * | |
| L4 | 36,068.72 | 35,952.54 | 35,942.25 * | |
| L5 | 69,863.02 | 69,555.56 | 69,277.16 * |
Disclaimer/Publisher’s Note: The statements, opinions and data contained in all publications are solely those of the individual author(s) and contributor(s) and not of MDPI and/or the editor(s). MDPI and/or the editor(s) disclaim responsibility for any injury to people or property resulting from any ideas, methods, instructions or products referred to in the content. |
© 2023 by the authors. Licensee MDPI, Basel, Switzerland. This article is an open access article distributed under the terms and conditions of the Creative Commons Attribution (CC BY) license (https://creativecommons.org/licenses/by/4.0/).
Share and Cite
Junthopas, W.; Wongoutong, C. Setting the Initial Value for Single Exponential Smoothing and the Value of the Smoothing Constant for Forecasting Using Solver in Microsoft Excel. Appl. Sci. 2023, 13, 4328. https://doi.org/10.3390/app13074328
Junthopas W, Wongoutong C. Setting the Initial Value for Single Exponential Smoothing and the Value of the Smoothing Constant for Forecasting Using Solver in Microsoft Excel. Applied Sciences. 2023; 13(7):4328. https://doi.org/10.3390/app13074328
Chicago/Turabian StyleJunthopas, Wannaporn, and Chantha Wongoutong. 2023. "Setting the Initial Value for Single Exponential Smoothing and the Value of the Smoothing Constant for Forecasting Using Solver in Microsoft Excel" Applied Sciences 13, no. 7: 4328. https://doi.org/10.3390/app13074328
APA StyleJunthopas, W., & Wongoutong, C. (2023). Setting the Initial Value for Single Exponential Smoothing and the Value of the Smoothing Constant for Forecasting Using Solver in Microsoft Excel. Applied Sciences, 13(7), 4328. https://doi.org/10.3390/app13074328

