Abstract
Nitroaromatic compounds in general and 2,4,6-trinitrophenol (picric acid) in particular have recently attracted significant research attention as environmental contaminants. This spurred a wave of development regarding the methods of detecting these compounds. This work focuses on picric acid as the most common and problematic of these contaminants. The key classes of materials sensitive to picric acid are indicated, and recent developments are discussed in detail. Particular attention is given to the detection and speciation capabilities of the discussed materials and methods utilising them, with various technical considerations noted as relevant.
1. Introduction
2,4,6-trinitrophenol (commonly referred to as picric acid) is a nitroaromatic compound bearing a strongly acidic proton in its hydroxyl group [1]. Picric acid (PA) is an explosive that has been widely used for the manufacture of munitions and explosive charges, particularly during World War I [2,3,4]. PA was also used in the dye and pharmaceutical industries, in chemical laboratories [5,6], for the manufacture of fungicides [7,8] and as one of the components used to monitor the automated synthesis of peptides [9]. In the interwar period (1919–1939), picric acid was rapidly replaced in its military applications by 2,4,6-trinitrotoluene [10], due to the latter being less sensitive to mechanical stimuli (Table 1) and due to the significant toxicity of PA [11].
Table 1.
Summary of selected parameters of commonly used energetic materials [12].
Nitroaromatic compounds (NACs), including PA, are known for their harmful hepatotoxic and haematotoxic effects. They cause mutagenesis and carcinogenesis within living cells [13,14]. The toxicity of picric acid is described as higher than that of nitroderivatives of toluene, xylene or naphthalene [11]. Chronic exposure to PA can damage blood, liver and kidney cells and cause cancer, anaemia, cyanosis and male sterility [15,16]. In animals, the metabolism of picric acid takes place via the reduction of its nitro groups to amine groups, followed by acetylation of the amino group, whereby picric acid is excreted as 2-amino-4,6-dinitrophenol (picramic acid) derivatives [15,17,18,19].
The toxicity of PA is exacerbated by its high solubility in water [20], which facilitates contamination of various media, posing a potential risk to human health and to the environment. Antiquated munitions are the primary source of PA contamination, as it can be readily leached out from such devices and objects. The presence, toxicity and environmental fate of PA have long been an issue of concern [21], particularly near sites in which post-World War munitions have been stored. To combat the issue of PA contamination and identify any sources of its release into the environment, sensitive and efficient methods for its detection and speciation from among other NACs, often at trace concentration levels, are necessary [22]. Recent years have brought about significant developments in this subject, with a wide variety of materials and approaches being reported, particularly regarding the use of fluorescence quenching, as briefly summarised in this work.
2. Selected Fluorescence-Based PA Detection Mechanisms
2.1. Fundamentals of Fluorescence Quenching Methods
Fundamentally, luminescence is the process of a molecule returning to a ground state from its excited state via the emission of electromagnetic radiation, with the emitted radiation typically being in the visible light range [23]. Depending on the mechanism by which the molecule achieves its excited state, various types of luminescence, for example, chemiluminescence, electroluminescence and fluorescence, can be differentiated. In the case of fluorescence, this excited state is brought about by the absorption of electromagnetic radiation, with the emitted radiation varying in energy from the absorbed radiation, typically the energy of the emitted radiation being lower than that of the absorbed radiation (Stokes shift) [24].
The excited state of a molecule can, however, also decay through collisions and interactions with other molecules, leading to non-radiative transitions. Purposefully introducing substances interacting with fluorophores in such a way as to promote non-radiative transitions over fluorescence is the basis of all detection methods relying on the phenomenon of fluorescence quenching.
Methods based on fluorescence quenching constitute the vast majority of methods for detecting picric acid (PA), however, several fluorescence enhancement mechanisms have also been described. Based on the interaction between the fluorophore and PA, the detection mechanisms can be divided into non-covalent interaction-based phenomena, which include resonance energy transfer (RET) and photo-induced electron transfer (PET) and interaction-free phenomena, which include, for example, the inner filter effect (IFE) phenomenon.
2.2. Resonance Energy Transfer (RET)
One of the most important processes attempted in detecting aromatic nitro compounds, including PA, is resonant energy transfer (RET). This process occurs whenever the emission spectrum of a donor is superimposed on the absorption spectrum of an acceptor [25]. The basic prerequisite for the RET mechanism in the fluorescence quenching process is the overlap between the absorption spectra of the nitroaromatic compound and the photoluminescence spectra of the material [26,27,28].In the case of PA, the absorption peak appears at around 370 nm, which limits many materials used as potential sensors for the selective detection of PA [29]. In RET, the excited donor releases energy during the return to the ground state, which is absorbed and used by the acceptor, which is excited to a higher energy state Figure 1. The rate of energy transfer depends on the overlap between the emission spectrum of the donor and the absorption spectrum of the acceptor and the distance between the donor and acceptor [30,31].
Figure 1.
Comparison of PET (A) and RET (B) mechanisms in the detection of PA.
2.3. Photo-Induced Electron Transfer (PET)
In high-energy materials containing nitro groups, there is a high electron deficiency so that these compounds can readily bind to electron-rich fluorescent sensing materials through acceptor–donor interactions [32]. In detection systems based on the PET phenomenon, a reaction takes place between an excited electron donor and an electron acceptor, forming a [D+A−] complex Figure 1 [33].
This charge-transfer complex can return to the ground state without photon emission, but in some cases, exciplex emission can be observed. Eventually, the extra electron on the acceptor is returned to the electron donor. The direction of electron transfer in the excited state is determined by the oxidation and reduction potentials of the ground and excited states. Due to the complex formation, the PET phenomenon has been used to develop fluorescent sensors [34,35,36].
2.4. Aggregation-Caused Quenching (ACQ)
When describing the phenomenon of luminescence, mention should also be made of the common phenomenon of attenuation or extinction at high concentrations. This concentration attenuation is mainly due to aggregate formation, which is often referred to as aggregation-caused quenching (ACQ) [37]. The ACQ effect is detrimental to some practical applications, for example, for organic light-emitting diode (OLED) and light-emitting electrochemical cell applications. For example, for many sensors, the preferred operating condition during detection is an aqueous solution. Very often, however, sensor materials belong to hydrophobic compounds that are insoluble in water. Therefore, they can precipitate and aggregate in water, resulting in an ACQ effect. Aggregate systems may look like homogeneous solutions, but the aggregates are, in fact, dispersed rather than dissolved in the solvent [38]. Moreover, the resulting aggregates are very small, sufficient to maintain thermodynamic and kinetic stability without precipitating. While the apparent mechanism of action of ACQ is aggregation, the real mechanism is the formation of excimers and exciplexes, assisted by collisional interactions between aromatic molecules in both the excited and ground states of [37]. Aggregates with random or ordered structures are formed by stacking of planar rings of neighbouring fluorophores [31]. The excited states of the aggregates often decay in a non-radiative pathway, resulting in immediate fluorescence quenching.
2.5. Inner Filter Effect (IFE)
IFE is an important phenomenon in occurring spectrofluorometry based on the non-radiation energy conversion model. It results from the absorption of the excitation spectrum and/or emission of the fluorophore by an absorber, for example, nitroexplosive, leading to an exponential quenching of the fluorescence of the fluorophore. This phenomenon increases the sensitivity of the system and contributes to the low limit of detection (LOD) during detection of [39,40,41]. The IFE can be divided into two components. The first, referred to as the primary IFE (p-IFE), is formed by the absorption of the excitation radiation by the absorber. The second, referred to as the secondary IFE, is formed by the absorption of the emitting radiation by the same absorber [42]. The principle of IFE-based systems is very simple and requires no interaction between the fluorophore and the quencher. The condition is a perfect match between the fluorophore and the quencher, where the absorbance of the quencher should coincide with the excitation and/or emission of the fluorophore. Formerly, IFE was considered an error in fluorescence measurements. However, the phenomenon has recently gained the attention of researchers due to the development of various chemical and biological sensors that can utilise IFE [41].
3. Sensors for Detecting and Measuring PA
3.1. Metal–Organic Frameworks Sensor
Metal–organic frameworks (MOFs) have attracted significant research interest due to their versatile catalytic [43], adsorption [44] and gas separation properties [45,46].
MOFs are composed of metal ions or clusters and organic ligands (“linkers”). Based on the geometry of one-, two- or three-dimensional coordination networks, organic linkers and coordination modes of inorganic metal ions, their structures can be modified depending on the desired properties.
MOFs containing -rich conjugated bonds have been shown to possess strong luminescence properties. The luminescent character of the materials is determined by various properties and phenomena, including ligand-based luminescence, ligand-to-metal charge transfer, metal-to-ligand charge transfer, antenna effects, sensitivity, excimer/exciplex emission and surface activity [47].
This type of MOF luminescence has shown great potential for the production of fluorescent sensors.
Some MOFs exhibit higher porosity than conventional porous materials, such as zeolites or carbon materials, because the pores in MOFs can be tuned by various combinations of metal ions and organic linkers, while functional sites can be readily immobilised on pore surfaces for their specific molecular recognition. The ultra-high porosity of MOFs, reaching up to 90% of the free volume [48] and large internal surfaces, exceeding the Langmuir area of 10,000 m2/g [49,50] is another reason for using MOFs as selective sensors. MOFs as fluorescent sensors work on the principle of luminescence quenching. It is usually induced by the collapse of the MOF backbone, ion exchange between the central metal ion of the sensor and the compound to be analysed, or competitive absorption of light of the same wavelength between the sensor and the molecule [51,52,53,54]. In dynamic quenching, electrons are directly transferred between the excited fluorescent material and the quenching agent in the form of a collision. Electron or energy transfer can be the main cause of quenching [55,56]. The main factor determining the efficiency of electron or energy transfer is the distance between the quenching agent and the MOF [57].
3.1.1. d-Block MOFs
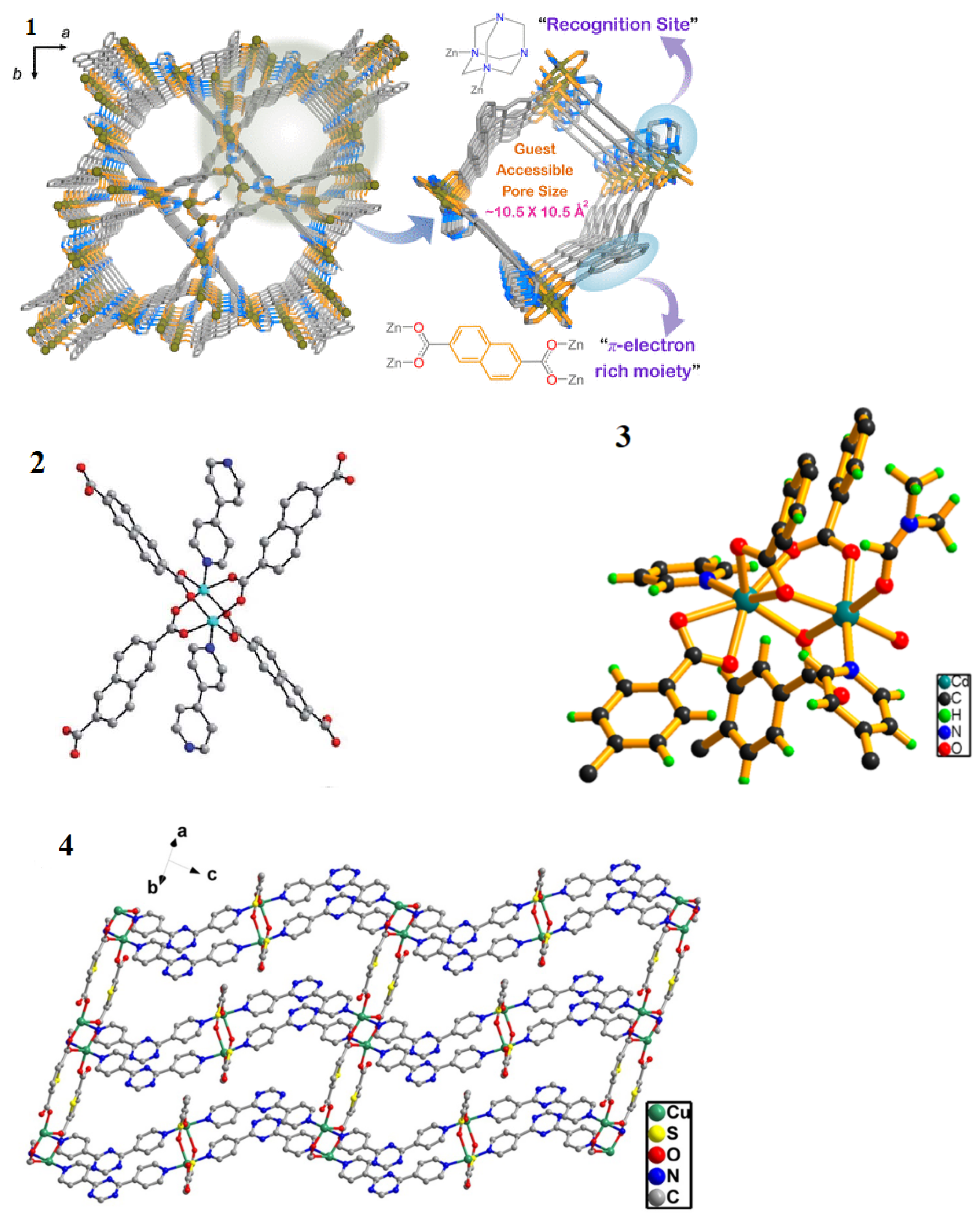
Of the MOFs, whose luminescence properties are being studied for PA detection, structures based on d- and f-block metals have become particularly popular. MOFs containing Zn atoms have attracted particular interest [58,59,60,61] due to their properties such as high sensitivity in detecting PA, stability and low detection limit, which are associated with the possibility of obtaining strong emission properties and, above all, low toxicity [59]. The selectivity of PA detection was also confirmed for some MOFs containing Cd [59,62], Cu [63] or Zr atoms [64] (Figure 2).
Figure 2.
Structures of selected Zn-MOF compounds: (1) [Zn4(DMF)(Ur)2(NDC)4] (a) Perspective view of the three-dimensional porous framework along the crystallographic c axis; (b) Perspective view of each of the single one-dimensional channel decorated with fluorescent -electron rich naphthalene. Reprinted with permission from [60]. Copyright 2015, American Chemical Society; (2) Perspective view of the secondary building unit in the structure of [Zn2(NDC)2(bpy)]·Gx. Reprinted with permission of the Royal Society of Chemistry from [61]. Copyright 2014, permission conveyed through Copyright Clearance Center, Inc.; (3) Perspective view of secondary building unit of ([Cd4([1,1:3,1-terphenyl]-4,4,4,6-tetracarboxyl)2(2-amino-4,4-bipyridin)3(H2O)2]·8DMF·8H2O). Reprinted with permission from [62]. Copyright 2016, American Chemical Society.; (4) 3D network with rectangular tunnels of [Cu2(tpt)2(tda)2]·H2O. Reprinted with permission of Elsevier from [63].
It should be noted that most works on the use of MOFs for detecting PA focus on the role of the organic ligands. Consequently, apart from the purely empirical observation that Zn-based MOFs afford good sensing performance, little theoretical foundation is available to justify using Zn-based MOFs over MOFs containing other d- and f-block metal atoms (Table 2).
Table 2.
Summary of d-block metal–organic frameworks used for the detection of picric acid.
3.1.2. Lanthanide-MOFs
Unlike transition metals, the electrons of metals belonging to the lanthanide group allow them to have a larger coordination sphere. Lanthanide ions are mostly trivalent, except for Eu2+ and Ce4+, with a ground-state electron configuration of [Xe]4fn which can generate a rich diversity of electron levels and translations [65].
Based on considerations for hard soft acids and bases [66], the lanthanides show affinity in relatively hard oxygen-containing linkers to other functional groups. Due to the structural stability provided by the bond between the ligand and the central ionic unit of the metal due to the transition metal (paramagnetic) ion, the luminescence of MOFs is focused on the metal, as metal ions with an f orbital can act as junctions. In addition, the metal centre ion can combine with the ligand to provide high absorption of metal centre-coordinated bands, facilitating the inter-system transition from singlet to triplet excited states in the Ln-MOF. This phenomenon is known as the antenna effect, and it provides good emission enhancement properties [67,68] (Figure 3).
Investigations were carried out for different types of MOFs, in the context of the possibility of their ability to detect aromatic nitrocompounds, with particular emphasis on PA. Positive luminescence quenching selectivity results were obtained for PA in most of the Ln-MOFs tested (Table 3).
Table 3.
Summary of lanthanide-based metal–organic frameworks used to detect picric acid.
Research on Ln-MOFs as sensors for high-energy nitro compounds in aqueous solutions has shown that in most cases, MOFs can perform well as selective PA sensors. For other solvents, the affinity of some MOFs for PA is much lower than for other nitroaromatic compounds Figure 4. This suggests that the presence of electron-rich molecules and the flexible coordination geometry of lanthanide ions may provide many opportunities towards specific interactions between MOFs and selective analytes.
Figure 3.
Structures of selected Ln-MOF compounds: (1) Coordination environment of Eu3+. Reprinted with permission from [69]. Copyright 2020, American Chemical Society; (2) Ball-and-stick representation of the asymmetric unit in the crystal structure of Eu-MOF. Reprinted with permission of John Wiley & Sons, Inc. from [76]; (3) Molecular structure of [Dy(2-FcDCA)1.5(MeOH)-(H2O)]·0.5H2O]n showing the coordination environment around the Dy(III) metal ion. Reprinted with permission from [71]. Copyright 2019, American Chemical Society; (4) Coordination environments of Tb1 and Tb2 in complex (C2H6NH2)2[Tb2(ptptc)2(DMF)(H2O)]·DMF·6H2O, guests and hydrogen atoms are omitted for clarity. Reprinted with permission of the Royal Society of Chemistry from [73]. Copyright 2018, permission conveyed through Copyright Clearance Center, Inc.
Figure 3.
Structures of selected Ln-MOF compounds: (1) Coordination environment of Eu3+. Reprinted with permission from [69]. Copyright 2020, American Chemical Society; (2) Ball-and-stick representation of the asymmetric unit in the crystal structure of Eu-MOF. Reprinted with permission of John Wiley & Sons, Inc. from [76]; (3) Molecular structure of [Dy(2-FcDCA)1.5(MeOH)-(H2O)]·0.5H2O]n showing the coordination environment around the Dy(III) metal ion. Reprinted with permission from [71]. Copyright 2019, American Chemical Society; (4) Coordination environments of Tb1 and Tb2 in complex (C2H6NH2)2[Tb2(ptptc)2(DMF)(H2O)]·DMF·6H2O, guests and hydrogen atoms are omitted for clarity. Reprinted with permission of the Royal Society of Chemistry from [73]. Copyright 2018, permission conveyed through Copyright Clearance Center, Inc.

Figure 4.
(1) The luminescence responses of large-porous Eu-MOF dispersed in DMF for nitro compounds. Reprinted with permission of the Royal Society of Chemistry from [79]. Copyright 2013, permission conveyed through Copyright Clearance Center, Inc.; (2) Luminescence quenching efficiencies of [Dy(2-FcDCA)1.5(MeOH)-(H2O)]·0.5H2O]n. Reprinted with permission from [71]. Copyright 2019, American Chemical Society; (3) Luminescence responses of Eu-MOF to various nitroexplosives (5 mM) in DMF. Reprinted with permission from [69]. Copyright 2020, American Chemical Society.
Figure 4.
(1) The luminescence responses of large-porous Eu-MOF dispersed in DMF for nitro compounds. Reprinted with permission of the Royal Society of Chemistry from [79]. Copyright 2013, permission conveyed through Copyright Clearance Center, Inc.; (2) Luminescence quenching efficiencies of [Dy(2-FcDCA)1.5(MeOH)-(H2O)]·0.5H2O]n. Reprinted with permission from [71]. Copyright 2019, American Chemical Society; (3) Luminescence responses of Eu-MOF to various nitroexplosives (5 mM) in DMF. Reprinted with permission from [69]. Copyright 2020, American Chemical Society.

3.2. Covalent Organic Polymers (COPs) and Covalent Organic Frameworks (COFs)
Recently, there have been an increasing number of reports in the literature on the exploitation of the action of covalent organic polymers (COPs) and covalent organic frameworks (COFs) [80] as novel sensor materials. Most COP- and COF-based high-energy materials sensors work based on phenomena such as RET, PET or dynamic quenching, among others. Some materials serve as sensors for high-energy nitromaterials in general [81] while others are tailored for specific high-energy compounds [82,83]. Nitrophenols contain a polar hydroxyl group capable of forming hydrogen bonds, making COP and COF-based sensors more selective for nitrophenols than for other compounds, for example, nitrotoluenes in general. The selectivity of these sensors was explained by the formation of hydrogen bonds between nitrophenols and O- and N-rich COP and COF and the overlap of absorption spectra between them.
The reason for this phenomenon may be because nitrophenols have an acidic hydroxyl group and will be more susceptible to interactions with basic groups, as in the case of curcumin derivatives [84]. No specific mechanism of interactions has, however, been proposed. Due to the non-selective and non-specific nature of these interactions, likely, many other interferents bearing acidic hydroxyl groups will also be detected by this method.
Hydrogen bonding is also responsible for the dominance of the ACQ mechanism in the fluorescence response.
During a detailed study of the mechanism of detection of high-energy materials by COPs, two main factors affecting selectivity for PA were demonstrated using COP-301 as an example. The first was the relative positions of HOMO and LUMO and the electron-withdrawing effect of the functional groups of the NO2 [82]. COP and nitro-aromatic high-energy materials interact via interactions. Upon excitation, electrons in the COP conduction band are transferred to the LUMO PA, resulting in quenching. Due to the electron-withdrawing effect of the nitro groups, PA has the lowest LUMO, so its quenching ability is the highest. The main difference observed between COF and COP sensors is in the magnitude of the extinction constants. COFs can exhibit KSV values in the order of ×106 to ×107, while most COPs reach maximum values in the order of ×105 (Table 4). This suggests that the long-range order in COFs contributes to higher extinction degrees for a given analyte concentration and initial fluorescence signal.
Table 4.
Example of COPs and COFs used as nitro high-energetic compounds sensors.
3.3. Carbon Dots
Carbon dots (C-dots), comprising graphene quantum dots (GQDs), carbon nanodots (CNDs) and carbon quantum dots (CQDs) [90,91] belong to a relatively new class of carbon nanomaterials, which are less than 10 nm in size [92]. Currently, C-dots are obtained by laser ablation of graphite powder and cement [93,94], and the thermal cracking of organic compounds [95,96], electro-oxidation of graphite [97]. C-dots are generally characterised by simple and inexpensive preparation methods and strong electromagnetic wave absorption properties, especially in the UV range, and depending on the method of obtaining them, this range can be extended to visible light wavelengths [98,99,100,101,102,103,104]. To date, it has not been possible to propose a unified mechanism for the fluorescence of C-dots. There are currently three main theories on the subject, these are the surface state theory [105,106,107,108,109], the quantum confinement effect theory [110,111,112,113] and the molecular fluorescence theory [114,115,116].
Due to their luminescent properties and low toxicity [97,117] C-dots have shown potential for, among other things, fluorescence bioimaging [118] and multimodal bioimaging of cells or tissues [119]. C-dots can also be used as biosensors, for example, for visual monitoring of elemental content in cells [120,121], glucose levels [122] or pH values [123]. Nanomaterials of this type are optically sensitive to compounds that are chromophores.
Based on the ability of C-dots to undergo fluorescence quenching in the presence of PA, they have attracted significant interest as potential probes for the detection of picric acid and other nitroaromatic compounds (Table 5).
Table 5.
Summary of materials used for C-dot fabrication and their picric acid detection performance.
3.4. Polymers and Organic Molecules
Detecting picric acid (PA) using organic compounds and polymers relies almost entirely on the use of those materials as fluorescent probes (Table 6) because both PA and other nitroaromatic compounds are strong fluorescence quenchers, but otherwise do not have a large impact on the readily-measurable properties of those materials. The recently reported fluorescence probes viable for this purpose are mostly -conjugated polymers, including donor–acceptor copolymers [131], more classical polyfluorene derivatives [132] and rylene-based systems [133,134]. Non-conjugated polymers [135] and non-polymer rylene derivatives [136] have also been reported as promising materials for detecting PA.
Most of the fluorescent probes offer similarly high detection parameters, with limits of detection (LODs) in the submicromolar range, regardless of the specific classification of the employed material. It has also been shown that as the concentration of the analyte tested increases, the fluorescence signal read by the probes increases (Figure 5). The sole outlier with a subnanomolar LOD was a -conjugated polymer [132].
Figure 5.
Fluorescence spectra of FP1 in the presence of increasing PA concentration. Reprinted with permission of the Royal Society of Chemistry from [131]. Copyright 2018, permission conveyed through Copyright Clearance Center, Inc.
Table 6.
Summary of polymer and organic fluorescent probes used for the detection of picric acid. Numeric designations refer to compounds presented in Figure 6.
Figure 6.
Schematic depiction of selected compounds employed as fluorescent probes for the detection of picric acid.
Table 6.
Summary of polymer and organic fluorescent probes used for the detection of picric acid. Numeric designations refer to compounds presented in Figure 6.
| Fluorescent Probe | LOD 1 | Selectivity 2 | Ref. |
|---|---|---|---|
| FP1 | 5.1 × 10−7 M | Limited for NACs 3; High for cations | [131] |
| FP2 | 3.09 × 10−11 M | Average | [132] |
| FP3a | 1.81 × 10−7 M | n/a | [133] |
| FP3b | 1.4 × 10−6 M | n/a | [133] |
| FP4 | n/a | Limited | [134] |
| FP5 | 44.0 ppb | Limited/Average | [135] |
| FP6a | n/a | Limited | [136] |
| FP6b | n/a | Limited | [136] |
1 n/a = No quantitative data reported; 2 Selectivity is described based on the ratio of the response of the sensor to PA to the response for interfering agents, as follows: Limited (ratio < 10), Average (10 < ratio < 103), High (ratio > 103), n/a (no relevant data reported); 3 NAC = nitroaromatic compound.
The main drawback of these methods is that while they offer some measure of selectivity towards PA, their responses to other nitroaromatic compounds (NACs) are significant and few works investigate the effect of sample contamination with the heavy metals typically present alongside PA, particularly in the case of unexploded munitions. Consequently, while methods based on fluorescence quenching are an excellent tool for the detection of NACs in general, particularly as part of a suite of portable/on-site analyses, speciation analysis of the NACs needs to be carried out using different methodology.
An altogether different approach to detecting PA is to use a Schiff base that can form an adduct with PA that exhibits different absorption in the UV-Vis spectral range [137]. Not only does this approach rely on a simplistic and readily portable measurement method (UV-Vis spectroscopy), but offers high sensitivity (LOD of 6.92 × 10−7 M), comparable with fluorescence quenching methods and may far exceed them in terms of selectivity towards PA.
4. Conclusions
The most popular method for detecting picric acid (PA) relies on fluorescence quenching induced in a variety of fluorescent probes upon their interaction with PA. These fluorescent probes range from metal–organic frameworks, through quantum dots to conjugated polymers. Regardless of the type of fluorescent probe, micromolar or sub-micromolar (ca. 10−7 M) PA concentrations can be detected. Such an outcome may be indicative of the performance of the fluorescent probes outpacing the other elements of the detection systems (e.g., light detectors) and making those elements constrain the achievable LODs for PA.
Apart from the above constraint, detection of PA via methods relying on fluorescence quenching is burdened by limited selectivity. This is due to the fact that the fluorescent probes are often equipped with numerous functional groups, which can interact not only with PA, but also with a vast range of other substances. Due to this lack of selectivity, the detection of PA or even of NACs, in general, may require any experimental samples to undergo extensive pre-processing. In many applications (e.g., handling of expired munitions, mine clearance), such pre-processing will be unfeasible due to time and infrastructure considerations.
In light of the above, alternative methods for the rapid and selective or even specific detection of PA need to be developed. One example of such potentially promising methods is to use Schiff bases that selectively form adducts with PA that can be readily detected via, for example, UV-Vis spectroscopy.
Author Contributions
M.F.: investigation, formal analysis, data curation, writing—original draft preparation, writing—review and editing, visualisation. M.Ł.: writing—original draft preparation, formal analysis. T.J.: conceptualisation, writing—original draft preparation, writing—review and editing, supervision. All authors have read and agreed to the published version of the manuscript.
Funding
Magdalena Fabin acknowledges the support of grant No. 2020/39/O/ST5/03293, funded by the National Science Centre of Poland.
Institutional Review Board Statement
Not applicable.
Informed Consent Statement
Not applicable.
Data Availability Statement
Not applicable.
Conflicts of Interest
The authors declare no conflict of interest.
References
- Perez, G.; Perez, A.L. Organic acids without a carboxylic acid functional group. J. Chem. Educ. 2000, 77, 910. [Google Scholar] [CrossRef]
- Cooper, P.W. Explosives Engineering; John Wiley & Sons: Hoboken, NJ, USA, 2018. [Google Scholar]
- Muthurajan, H.; Sivabalan, R.; Talawar, M.; Asthana, S. Computer simulation for prediction of performance and thermodynamic parameters of high energy materials. J. Hazard. Mater. 2004, 112, 17–33. [Google Scholar] [PubMed]
- Shanmugaraju, S.; Joshi, S.A.; Mukherjee, P.S. Fluorescence and visual sensing of nitroaromatic explosives using electron rich discrete fluorophores. J. Mater. Chem. 2011, 21, 9130–9138. [Google Scholar]
- Meredith, D.; Lee, C. A study of antiseptic compounds for the treatment of burns. J. Am. Pharm. Assoc. 1939, 28, 369–373. [Google Scholar]
- Volwiler, E.H. Medicinals and dyes. Ind. Eng. Chem. 1926, 18, 1336–1337. [Google Scholar] [CrossRef]
- Ferreira, L.M.; Lopes, E. Solvent extraction of picric acid from aqueous solutions. J. Chem. Eng. Data 1996, 41, 698–700. [Google Scholar]
- Moore, J.F.; Sharer, J.D. Methods for quantitative creatinine determination. Curr. Protoc. Hum. Genet. 2017, 93, A-3O. [Google Scholar]
- Hancock, W.; Battersby, J.; Harding, D. The use of picric acid as a simple monitoring procedure for automated peptide synthesis. Anal. Biochem. 1975, 69, 497–503. [Google Scholar]
- Brown, G.I. The Big Bang: A History of Explosives; Sutton Pub Limited: Stroud, Gloucestershire, UK, 1998. [Google Scholar]
- Ludwig, H.R.; Cairelli, S.G.; Whalen, J.J. Documentation for Immediately Dangerous to Life or Health Concentrations (IDLHS); United States Centers for Disease Control and Prevention: Atlanta, GA, USA, 1994. Available online: https://www.cdc.gov/niosh/idlh/pdfs/1994-IDLH-ValuesBackgroundDocs.pdf (accessed on 1 March 2023).
- Meyer, R.; Köhler, J.; Homburg, A. Explosives; John Wiley & Sons: Hoboken, NJ, USA, 2002. [Google Scholar]
- Kaur, M.; Mehta, S.K.; Kansal, S.K. A fluorescent probe based on nitrogen doped graphene quantum dots for turn off sensing of explosive and detrimental water pollutant, TNP in aqueous medium. Spectrochim. Acta Part A Mol. Biomol. Spectrosc. 2017, 180, 37–43. [Google Scholar]
- Chowdhury, A.; Mukherjee, P.S. Electron-rich triphenylamine-based sensors for picric acid detection. J. Org. Chem. 2015, 80, 4064–4075. [Google Scholar]
- Wyman, J.F.; Serve, M.P.; Hobson, D.W.; Lee, L.H.; Uddin, D.E. Acute toxicity, distribution, and metabolism of 2,4,6-trinitrophenol (picric acid) in Fischer 344 rats. J. Toxicol. Environ. Health 1992, 37, 313–327. [Google Scholar] [CrossRef]
- Nagarkar, S.S.; Desai, A.V.; Samanta, P.; Ghosh, S.K. Aqueous phase selective detection of 2,4,6-trinitrophenol using a fluorescent metal–organic framework with a pendant recognition site. Dalton Trans. 2015, 44, 15175–15180. [Google Scholar] [PubMed]
- Wyman, J.; Guard, H.; Won, W.; Quay, J. Conversion of 2, 4, 6-trinitrophenol to a mutagen by Pseudomonas aeruginosa. Appl. Environ. Microbiol. 1979, 37, 222–226. [Google Scholar]
- Giorgi, G. Reduction of picric acid in the liver, kidney and spleen. J. Chem. Soc. Abstr. 1925, 128, i733. [Google Scholar]
- Cooper, K.R.; Burton, D.T.; Goodfellow, W.L.; Rosenblatt, D.H. Bioconcentration and metabolism of picric acid (2,4, 6-trinitrophenol) and picramic acid (2-amino-4, 6-dinitrophenol) in rainbow trout Salmo Gairdneri. J. Toxicol. Environ. Health Part A Curr. Issues 1984, 14, 731–747. [Google Scholar] [CrossRef]
- Findlay, A. CXIII.—The solubility of mannitol, picric acid, and anthracene. J. Chem. Soc. Trans. 1902, 81, 1217–1221. [Google Scholar]
- Nipper, M.; Carr, R.S.; Biedenbach, J.M.; Hooten, R.L.; Miller, K. Fate and effects of picric acid and 2, 6-DNT in marine environments: Toxicity of degradation products. Mar. Pollut. Bull. 2005, 50, 1205–1217. [Google Scholar] [PubMed]
- Salinas, Y.; Martínez-Máñez, R.; Marcos, M.D.; Sancenón, F.; Costero, A.M.; Parra, M.; Gil, S. Optical chemosensors and reagents to detect explosives. Chem. Soc. Rev. 2012, 41, 1261–1296. [Google Scholar]
- Zimmermann, J.; Zeug, A.; Röder, B. A generalization of the Jablonski diagram to account for polarization and anisotropy effects in time-resolved experiments. Phys. Chem. Chem. Phys. 2003, 5, 2964–2969. [Google Scholar] [CrossRef]
- Vollmer, F.; Rettig, W.; Birckner, E. Photochemical mechanisms producing large fluorescence stokes shifts. J. Fluoresc. 1994, 4, 65–69. [Google Scholar]
- Förster, T. Intermolecular energy migration and fluroescence. Ann. Phys. 1948, 2, 55–75. [Google Scholar] [CrossRef]
- Albers, A.E.; Okreglak, V.S.; Chang, C.J. A FRET-based approach to ratiometric fluorescence detection of hydrogen peroxide. J. Am. Chem. Soc. 2006, 128, 9640–9641. [Google Scholar] [PubMed]
- Du, F.; Min, Y.; Zeng, F.; Yu, C.; Wu, S. A targeted and FRET-based ratiometric fluorescent nanoprobe for imaging mitochondrial hydrogen peroxide in living cells. Small 2014, 10, 964–972. [Google Scholar]
- Stryer, L. Fluorescence energy transfer as a spectroscopic ruler. Annu. Rev. Biochem. 1978, 47, 819–846. [Google Scholar] [PubMed]
- Haldar, D.; Dinda, D.; Saha, S.K. High selectivity in water soluble MoS 2 quantum dots for sensing nitro explosives. J. Mater. Chem. C 2016, 4, 6321–6326. [Google Scholar]
- Sun, X.; Wang, Y.; Lei, Y. Fluorescence based explosive detection: From mechanisms to sensory materials. Chem. Soc. Rev. 2015, 44, 8019–8061. [Google Scholar] [PubMed]
- Thomas, S.W.; Joly, G.D.; Swager, T.M. Chemical sensors based on amplifying fluorescent conjugated polymers. Chem. Rev. 2007, 107, 1339–1386. [Google Scholar] [PubMed]
- Meaney, M.S.; McGuffin, V.L. Investigation of common fluorophores for the detection of nitrated explosives by fluorescence quenching. Anal. Chim. Acta 2008, 610, 57–67. [Google Scholar]
- Czeslik, C.B. Valeur: Molecular Fluorescence—Principles and Applications. Z. Phys. Chem. 2002, 216, 1137–1140. [Google Scholar]
- Pina, F.; Bernardo, M.A.; García-España, E. Fluorescent chemosensors containing polyamine receptors. Eur. J. Inorg. Chem. 2000, 2000, 2143–2157. [Google Scholar]
- de Silva, A.P.; Fox, D.B.; Moody, T.S.; Weir, S.M. The development of molecular fluorescent switches. Trends Biotechnol. 2001, 19, 29–34. [Google Scholar] [PubMed]
- Czarnik, A.W. Fluorescent Chemosensors of Ion and Molecule Recognition. In Interfacial Design and Chemical Sensing; American Chemical Society: Washington, DC, USA, 1994; Chapter 27; pp. 314–323. [Google Scholar] [CrossRef]
- Birks, J.B. Photophysics of Aromatic Molecules; Indian Association for the Cultivation of Science: Kolkata, India, 1972. [Google Scholar]
- Zhai, D.; Xu, W.; Zhang, L.; Chang, Y.T. The role of “disaggregation” in optical probe development. Chem. Soc. Rev. 2014, 43, 2402–2411. [Google Scholar] [PubMed]
- Lakowicz, J.R. Principles of Fluorescence Spectroscopy; Springer: Berlin/Heidelberg, Germany, 2006. [Google Scholar]
- Panigrahi, S.K.; Mishra, A.K. Inner filter effect in fluorescence spectroscopy: As a problem and as a solution. J. Photochem. Photobiol. C Photochem. Rev. 2019, 41, 100318. [Google Scholar]
- Chen, S.; Yu, Y.L.; Wang, J.H. Inner filter effect-based fluorescent sensing systems: A review. Anal. Chim. Acta 2018, 999, 13–26. [Google Scholar] [PubMed]
- Kimball, J.; Chavez, J.; Ceresa, L.; Kitchner, E.; Nurekeyev, Z.; Doan, H.; Szabelski, M.; Borejdo, J.; Gryczynski, I.; Gryczynski, Z. On the origin and correction for inner filter effects in fluorescence Part I: Primary inner filter effect-the proper approach for sample absorbance correction. Methods Appl. Fluoresc. 2020, 8, 033002. [Google Scholar]
- Yoon, M.; Srirambalaji, R.; Kim, K. Homochiral metal–organic frameworks for asymmetric heterogeneous catalysis. Chem. Rev. 2012, 112, 1196–1231. [Google Scholar]
- Groen, J.C.; Peffer, L.A.; Pérez-Ramirez, J. Pore size determination in modified micro-and mesoporous materials. Pitfalls and limitations in gas adsorption data analysis. Microporous Mesoporous Mater. 2003, 60, 1–17. [Google Scholar]
- Li, J.R.; Kuppler, R.J.; Zhou, H.C. Selective gas adsorption and separation in metal–organic frameworks. Chem. Soc. Rev. 2009, 38, 1477–1504. [Google Scholar] [PubMed]
- Bloch, E.D.; Queen, W.L.; Krishna, R.; Zadrozny, J.M.; Brown, C.M.; Long, J.R. Hydrocarbon separations in a metal–organic framework with open iron (II) coordination sites. Science 2012, 335, 1606–1610. [Google Scholar]
- Allendorf, M.D.; Bauer, C.A.; Bhakta, R.; Houk, R. Luminescent metal–organic frameworks. Chem. Soc. Rev. 2009, 38, 1330–1352. [Google Scholar]
- Zhu, Q.L.; Xu, Q. Metal–organic framework composites. Chem. Soc. Rev. 2014, 43, 5468–5512. [Google Scholar] [PubMed]
- Zhou, H.C.; Long, J.R.; Yaghi, O.M. Introduction to metal–organic frameworks. Chem. Rev. 2012, 112, 673–674. [Google Scholar] [CrossRef] [PubMed]
- Furukawa, H.; Ko, N.; Go, Y.B.; Aratani, N.; Choi, S.B.; Choi, E.; Yazaydin, A.Ö.; Snurr, R.Q.; O’Keeffe, M.; Kim, J.; et al. Ultrahigh porosity in metal–organic frameworks. Science 2010, 329, 424–428. [Google Scholar] [CrossRef]
- Yang, C.X.; Ren, H.B.; Yan, X.P. Fluorescent metal–organic framework MIL-53 (Al) for highly selective and sensitive detection of Fe3+ in aqueous solution. Anal. Chem. 2013, 85, 7441–7446. [Google Scholar] [CrossRef] [PubMed]
- Hu, F.l.; Shi, Y.X.; Chen, H.H.; Lang, J.P. A Zn (II) coordination polymer and its photocycloaddition product: Syntheses, structures, selective luminescence sensing of iron (III) ions and selective absorption of dyes. Dalton Trans. 2015, 44, 18795–18803. [Google Scholar] [CrossRef]
- Tang, Q.; Liu, S.; Liu, Y.; Miao, J.; Li, S.; Zhang, L.; Shi, Z.; Zheng, Z. Cation sensing by a luminescent metal–organic framework with multiple Lewis basic sites. Inorg. Chem. 2013, 52, 2799–2801. [Google Scholar] [CrossRef]
- Zhang, S.T.; Yang, J.; Wu, H.; Liu, Y.Y.; Ma, J.F. Systematic Investigation of High-Sensitivity Luminescent Sensing for Polyoxometalates and Iron (III) by MOFs Assembled with a New Resorcin [4] arene-Functionalized Tetracarboxylate. Chem. Eur. J. 2015, 21, 15806–15819. [Google Scholar]
- Chen, S.; Shi, Z.; Qin, L.; Jia, H.; Zheng, H. Two new luminescent Cd (II)-metal–organic frameworks as bifunctional chemosensors for detection of cations Fe3+, anions CrO42–, and Cr2O72–in aqueous solution. Cryst. Growth Des. 2017, 17, 67–72. [Google Scholar] [CrossRef]
- Wu, Y.; Yang, G.P.; Zhou, X.; Li, J.; Ning, Y.; Wang, Y.Y. Three new luminescent Cd (II)-MOFs by regulating the tetracarboxylate and auxiliary co-ligands, displaying high sensitivity for Fe 3+ in aqueous solution. Dalton Trans. 2015, 44, 10385–10391. [Google Scholar] [CrossRef]
- Liu, Q.; Ning, D.; Li, W.J.; Du, X.M.; Wang, Q.; Li, Y.; Ruan, W.J. Metal–organic framework-based fluorescent sensing of tetracycline-type antibiotics applicable to environmental and food analysis. Analyst 2019, 144, 1916–1922. [Google Scholar] [CrossRef]
- Shi, Z.Q.; Guo, Z.J.; Zheng, H.G. Two luminescent Zn (ii) metal–organic frameworks for exceptionally selective detection of picric acid explosives. Chem. Commun. 2015, 51, 8300–8303. [Google Scholar] [CrossRef]
- Ghosh, P.; Saha, S.K.; Roychowdhury, A.; Banerjee, P. Recognition of an explosive and mutagenic water pollutant, 2, 4, 6-trinitrophenol, by cost-effective luminescent MOFs. Eur. J. Inorg. Chem. 2015, 2015, 2851–2857. [Google Scholar] [CrossRef]
- Mukherjee, S.; Desai, A.V.; Manna, B.; Inamdar, A.I.; Ghosh, S.K. Exploitation of guest accessible aliphatic amine functionality of a metal–organic framework for selective detection of 2, 4, 6-trinitrophenol (TNP) in water. Cryst. Growth Des. 2015, 15, 4627–4634. [Google Scholar] [CrossRef]
- Asha, K.; Bhattacharyya, K.; Mandal, S. Discriminative detection of nitro aromatic explosives by a luminescent metal–organic framework. J. Mater. Chem. C 2014, 2, 10073–10081. [Google Scholar] [CrossRef]
- Pal, T.K.; Chatterjee, N.; Bharadwaj, P.K. Linker-induced structural diversity and photophysical property of MOFs for selective and sensitive detection of nitroaromatics. Inorg. Chem. 2016, 55, 1741–1747. [Google Scholar] [CrossRef] [PubMed]
- Zhuang, X.; Zhang, N.; Zhang, X.; Wang, Y.; Zhao, L.; Yang, Q. A stable Cu-MOF as a dual function sensor with high selectivity and sensitivity detection of picric acid and CrO42-in aqueous solution. Microchem. J. 2020, 153, 104498. [Google Scholar] [CrossRef]
- Mostakim, S.; Biswas, S. A thiadiazole-functionalized Zr (IV)-based metal–organic framework as a highly fluorescent probe for the selective detection of picric acid. CrystEngComm 2016, 18, 3104–3113. [Google Scholar]
- Bünzli, J.C.G.; Comby, S.; Chauvin, A.S.; Vandevyver, C.D. New opportunities for lanthanide luminescence. J. Rare Earths 2007, 25, 257–274. [Google Scholar] [CrossRef]
- Pearson, R.G. Hard and soft acids and bases—The evolution of a chemical concept. Coord. Chem. Rev. 1990, 100, 403–425. [Google Scholar] [CrossRef]
- Xu, H.; Cao, C.S.; Kang, X.M.; Zhao, B. Lanthanide-based metal–organic frameworks as luminescent probes. Dalton Trans. 2016, 45, 18003–18017. [Google Scholar] [CrossRef] [PubMed]
- Cui, Y.; Yue, Y.; Qian, G.; Chen, B. Luminescent functional metal–organic frameworks. Chem. Rev. 2012, 112, 1126–1162. [Google Scholar] [CrossRef] [PubMed]
- Liu, W.; Chen, C.; Wu, Z.; Pan, Y.; Ye, C.; Mu, Z.; Luo, X.; Chen, W.; Liu, W. Construction of multifunctional luminescent lanthanide MOFs by hydrogen bond functionalization for picric acid detection and fluorescent dyes encapsulation. ACS Sustain. Chem. Eng. 2020, 8, 13497–13506. [Google Scholar] [CrossRef]
- Liu, W.; Huang, X.; Chen, C.; Xu, C.; Ma, J.; Yang, L.; Wang, W.; Dou, W.; Liu, W. Function-Oriented: The Construction of Lanthanide MOF Luminescent Sensors Containing Dual-Function Urea Hydrogen-Bond Sites for Efficient Detection of Picric Acid. Chem. Eur. J. 2019, 25, 1090–1097. [Google Scholar] [CrossRef] [PubMed]
- Rajak, R.; Saraf, M.; Verma, S.K.; Kumar, R.; Mobin, S.M. Dy (iii)-Based metal–organic framework as a fluorescent probe for highly selective detection of picric acid in aqueous medium. Inorg. Chem. 2019, 58, 16065–16074. [Google Scholar] [CrossRef]
- Liu, W.; Huang, X.; Xu, C.; Chen, C.; Yang, L.; Dou, W.; Chen, W.; Yang, H.; Liu, W. A Multi-responsive Regenerable Europium–Organic Framework Luminescent Sensor for Fe3+, CrVI Anions, and Picric Acid. Chem. Eur. J. 2016, 22, 18769–18776. [Google Scholar] [CrossRef]
- Ju, P.; Zhang, E.; Jiang, L.; Zhang, Z.; Hou, X.; Zhang, Y.; Yang, H.; Wang, J. A novel microporous Tb-MOF fluorescent sensor for highly selective and sensitive detection of picric acid. RSC Adv. 2018, 8, 21671–21678. [Google Scholar] [CrossRef] [PubMed]
- Xia, T.; Zhu, F.; Cui, Y.; Yang, Y.; Wang, Z.; Qian, G. Highly selective luminescent sensing of picric acid based on a water-stable europium metal–organic framework. J. Solid State Chem. 2017, 245, 127–131. [Google Scholar] [CrossRef]
- Yu, H.H.; Chi, J.Q.; Su, Z.M.; Li, X.; Sun, J.; Zhou, C.; Hu, X.L.; Liu, Q. A water-stable terbium metal–organic framework with functionalized ligands for the detection of Fe 3+ and Cr 2 O 7 2- ions in water and picric acid in seawater. CrystEngComm 2020, 22, 3638–3643. [Google Scholar] [CrossRef]
- Song, X.Z.; Song, S.Y.; Zhao, S.N.; Hao, Z.M.; Zhu, M.; Meng, X.; Wu, L.L.; Zhang, H.J. Single-Crystal-to-Single-Crystal transformation of a europium (III) metal–organic framework producing a multi-responsive luminescent sensor. Adv. Funct. Mater. 2014, 24, 4034–4041. [Google Scholar] [CrossRef]
- Xiao, J.D.; Qiu, L.G.; Ke, F.; Yuan, Y.P.; Xu, G.S.; Wang, Y.M.; Jiang, X. Rapid synthesis of nanoscale terbium-based metal–organic frameworks by a combined ultrasound-vapour phase diffusion method for highly selective sensing of picric acid. J. Mater. Chem. A 2013, 1, 8745–8752. [Google Scholar] [CrossRef]
- Li, L.; Cheng, J.; Liu, Z.; Song, L.; You, Y.; Zhou, X.; Huang, W. Ratiometric Luminescent Sensor of Picric Acid Based on the Dual-Emission Mixed-Lanthanide Coordination Polymer. ACS Appl. Mater. Interfaces 2018, 10, 44109–44115. [Google Scholar] [CrossRef]
- Zhou, X.H.; Li, L.; Li, H.H.; Li, A.; Yang, T.; Huang, W. A flexible Eu (III)-based metal–organic framework: Turn-off luminescent sensor for the detection of Fe (III) and picric acid. Dalton Trans. 2013, 42, 12403–12409. [Google Scholar] [CrossRef]
- Cote, A.P.; Benin, A.I.; Ockwig, N.W.; O’Keeffe, M.; Matzger, A.J.; Yaghi, O.M. Porous, crystalline, covalent organic frameworks. Science 2005, 310, 1166–1170. [Google Scholar] [CrossRef]
- Zhang, W.; Qiu, L.G.; Yuan, Y.P.; Xie, A.J.; Shen, Y.H.; Zhu, J.F. Microwave-assisted synthesis of highly fluorescent nanoparticles of a melamine-based porous covalent organic framework for trace-level detection of nitroaromatic explosives. J. Hazard. Mater. 2012, 221, 147–154. [Google Scholar] [CrossRef]
- Sang, N.; Zhan, C.; Cao, D. Highly sensitive and selective detection of 2, 4, 6-trinitrophenol using covalent-organic polymer luminescent probes. J. Mater. Chem. A 2015, 3, 92–96. [Google Scholar] [CrossRef]
- Geng, T.; Chen, G.; Zhang, C.; Ma, L.; Zhang, W.; Xia, H. A superacid-catalyzed synthesis of fluorescent covalent triazine based framework containing perylene tetraanhydride bisimide for sensing to o-nitrophenol with ultrahigh sensitivity. J. Macromol. Sci. Part A 2019, 56, 1004–1011. [Google Scholar] [CrossRef]
- Ponnuvel, K.; Banuppriya, G.; Padmini, V. Highly efficient and selective detection of picric acid among other nitroaromatics by NIR fluorescent organic fluorophores. Sens. Actuators B Chem. 2016, 234, 34–45. [Google Scholar] [CrossRef]
- Hu, Y.J.; Tan, S.Z.; Shen, G.L.; Yu, R.Q. A selective optical sensor for picric acid assay based on photopolymerization of 3-(N-methacryloyl) amino-9-ethylcarbazole. Anal. Chim. Acta 2006, 570, 170–175. [Google Scholar] [CrossRef]
- Jiang, S.; Meng, L.; Ma, W.; Qi, Q.; Zhang, W.; Xu, B.; Liu, L.; Tian, W. Morphology controllable conjugated network polymers based on AIE-active building block for TNP detection. Chin. Chem. Lett. 2021, 32, 1037–1040. [Google Scholar] [CrossRef]
- Xiang, Z.; Cao, D. Synthesis of luminescent covalent–organic polymers for detecting nitroaromatic explosives and small organic molecules. Macromol. Rapid Commun. 2012, 33, 1184–1190. [Google Scholar] [CrossRef]
- Faheem, M.; Aziz, S.; Jing, X.; Ma, T.; Du, J.; Sun, F.; Tian, Y.; Zhu, G. Dual luminescent covalent organic frameworks for nitro-explosive detection. J. Mater. Chem. A 2019, 7, 27148–27155. [Google Scholar] [CrossRef]
- Zhang, C.; Zhang, S.; Yan, Y.; Xia, F.; Huang, A.; Xian, Y. Highly fluorescent polyimide covalent organic nanosheets as sensing probes for the detection of 2, 4, 6-trinitrophenol. ACS Appl. Mater. Interfaces 2017, 9, 13415–13421. [Google Scholar] [CrossRef] [PubMed]
- Cayuela, A.; Soriano, M.; Carrillo-Carrión, C.; Valcárcel, M. Semiconductor and carbon-based fluorescent nanodots: The need for consistency. Chem. Commun. 2016, 52, 1311–1326. [Google Scholar] [CrossRef] [PubMed]
- Chen, B.B.; Liu, M.L.; Li, C.M.; Huang, C.Z. Fluorescent carbon dots functionalization. Adv. Colloid Interface Sci. 2019, 270, 165–190. [Google Scholar] [CrossRef] [PubMed]
- Xu, X.; Ray, R.; Gu, Y.; Ploehn, H.J.; Gearheart, L.; Raker, K.; Scrivens, W.A. Electrophoretic analysis and purification of fluorescent single-walled carbon nanotube fragments. J. Am. Chem. Soc. 2004, 126, 12736–12737. [Google Scholar] [CrossRef]
- Sun, Y.P.; Zhou, B.; Lin, Y.; Wang, W.; Fernando, K.S.; Pathak, P.; Meziani, M.J.; Harruff, B.A.; Wang, X.; Wang, H.; et al. Quantum-sized carbon dots for bright and colorful photoluminescence. J. Am. Chem. Soc. 2006, 128, 7756–7757. [Google Scholar] [CrossRef]
- Cao, L.; Wang, X.; Meziani, M.J.; Lu, F.; Wang, H.; Luo, P.G.; Lin, Y.; Harruff, B.A.; Veca, L.M.; Murray, D.; et al. Carbon dots for multiphoton bioimaging. J. Am. Chem. Soc. 2007, 129, 11318–11319. [Google Scholar] [CrossRef]
- Selvi, B.R.; Jagadeesan, D.; Suma, B.; Nagashankar, G.; Arif, M.; Balasubramanyam, K.; Eswaramoorthy, M.; Kundu, T.K. Intrinsically fluorescent carbon nanospheres as a nuclear targeting vector: Delivery of membrane-impermeable molecule to modulate gene expression in vivo. Nano Lett. 2008, 8, 3182–3188. [Google Scholar] [CrossRef]
- Bourlinos, A.B.; Stassinopoulos, A.; Anglos, D.; Zboril, R.; Georgakilas, V.; Giannelis, E.P. Photoluminescent carbogenic dots. Chem. Mater. 2008, 20, 4539–4541. [Google Scholar] [CrossRef]
- Zhao, Q.L.; Zhang, Z.L.; Huang, B.H.; Peng, J.; Zhang, M.; Pang, D.W. Facile preparation of low cytotoxicity fluorescent carbon nanocrystals by electrooxidation of graphite. Chem. Commun. 2008, 41, 5116–5118. [Google Scholar] [CrossRef]
- Baker, S.N.; Baker, G.A. Luminescent carbon nanodots: Emergent nanolights. Angew. Chem. Int. Ed. 2010, 49, 6726–6744. [Google Scholar] [CrossRef] [PubMed]
- Hu, S.L.; Niu, K.Y.; Sun, J.; Yang, J.; Zhao, N.Q.; Du, X.W. One-step synthesis of fluorescent carbon nanoparticles by laser irradiation. J. Mater. Chem. 2009, 19, 484–488. [Google Scholar] [CrossRef]
- Zhou, J.; Booker, C.; Li, R.; Zhou, X.; Sham, T.K.; Sun, X.; Ding, Z. An electrochemical avenue to blue luminescent nanocrystals from multiwalled carbon nanotubes (MWCNTs). J. Am. Chem. Soc. 2007, 129, 744–745. [Google Scholar] [CrossRef] [PubMed]
- Zhu, H.; Wang, X.; Li, Y.; Wang, Z.; Yang, F.; Yang, X. Microwave synthesis of fluorescent carbon nanoparticles with electrochemiluminescence properties. Chem. Commun. 2009, 34, 5118–5120. [Google Scholar] [CrossRef]
- Bao, L.; Liu, C.; Zhang, Z.L.; Pang, D.W. Photoluminescence-tunable carbon nanodots: Surface-state energy-gap tuning. Adv. Mater. 2015, 27, 1663–1667. [Google Scholar] [CrossRef]
- Liu, Z.; Zou, H.; Wang, N.; Yang, T.; Peng, Z.; Wang, J.; Li, N.; Huang, C. Photoluminescence of carbon quantum dots: Coarsely adjusted by quantum confinement effects and finely by surface trap states. Sci. China Chem. 2018, 61, 490–496. [Google Scholar] [CrossRef]
- Jiang, K.; Sun, S.; Zhang, L.; Lu, Y.; Wu, A.; Cai, C.; Lin, H. Red, green, and blue luminescence by carbon dots: Full-color emission tuning and multicolor cellular imaging. Angew. Chem. Int. Ed. 2015, 54, 5360–5363. [Google Scholar] [CrossRef]
- Ding, H.; Yu, S.B.; Wei, J.S.; Xiong, H.M. Full-color light-emitting carbon dots with a surface-state-controlled luminescence mechanism. ACS Nano 2016, 10, 484–491. [Google Scholar] [CrossRef]
- Song, Y.; Zhu, S.; Zhang, S.; Fu, Y.; Wang, L.; Zhao, X.; Yang, B. Investigation from chemical structure to photoluminescent mechanism: A type of carbon dots from the pyrolysis of citric acid and an amine. J. Mater. Chem. C 2015, 3, 5976–5984. [Google Scholar] [CrossRef]
- Liu, M.L.; Yang, L.; Li, R.S.; Chen, B.B.; Liu, H.; Huang, C.Z. Large-scale simultaneous synthesis of highly photoluminescent green amorphous carbon nanodots and yellow crystalline graphene quantum dots at room temperature. Green Chem. 2017, 19, 3611–3617. [Google Scholar] [CrossRef]
- Liu, H.; He, Z.; Jiang, L.P.; Zhu, J.J. Microwave-assisted synthesis of wavelength-tunable photoluminescent carbon nanodots and their potential applications. ACS Appl. Mater. Interfaces 2015, 7, 4913–4920. [Google Scholar] [CrossRef]
- Zhu, X.; Wang, J.; Zhu, Y.; Jiang, H.; Tan, D.; Xu, Z.; Mei, T.; Li, J.; Xue, L.; Wang, X. Green emitting N, S-co-doped carbon dots for sensitive fluorometric determination of Fe (III) and Ag (I) ions, and as a solvatochromic probe. Microchim. Acta 2018, 185, 1–10. [Google Scholar] [CrossRef]
- Kim, S.; Hwang, S.W.; Kim, M.K.; Shin, D.Y.; Shin, D.H.; Kim, C.O.; Yang, S.B.; Park, J.H.; Hwang, E.; Choi, S.H.; et al. Anomalous behaviors of visible luminescence from graphene quantum dots: Interplay between size and shape. ACS Nano 2012, 6, 8203–8208. [Google Scholar] [CrossRef] [PubMed]
- Yan, X.; Li, B.; Li, L.s. Colloidal graphene quantum dots with well-defined structures. Accounts Chem. Res. 2013, 46, 2254–2262. [Google Scholar] [CrossRef]
- Li, Q.; Zhang, S.; Dai, L.; Li, L.s. Nitrogen-doped colloidal graphene quantum dots and their size-dependent electrocatalytic activity for the oxygen reduction reaction. J. Am. Chem. Soc. 2012, 134, 18932–18935. [Google Scholar] [CrossRef]
- Li, H.; He, X.; Kang, Z.; Huang, H.; Liu, Y.; Liu, J.; Lian, S.; Tsang, C.H.A.; Yang, X.; Lee, S.T. Water-soluble fluorescent carbon quantum dots and photocatalyst design. Angew. Chem. Int. Ed. 2010, 49, 4430–4434. [Google Scholar] [CrossRef] [PubMed]
- Essner, J.B.; Kist, J.A.; Polo-Parada, L.; Baker, G.A. Artifacts and errors associated with the ubiquitous presence of fluorescent impurities in carbon nanodots. Chem. Mater. 2018, 30, 1878–1887. [Google Scholar] [CrossRef]
- Zhu, S.; Zhao, X.; Song, Y.; Lu, S.; Yang, B. Beyond bottom-up carbon nanodots: Citric-acid derived organic molecules. Nano Today 2016, 11, 128–132. [Google Scholar] [CrossRef]
- Schneider, J.; Reckmeier, C.J.; Xiong, Y.; von Seckendorff, M.; Susha, A.S.; Kasak, P.; Rogach, A.L. Molecular fluorescence in citric acid-based carbon dots. J. Phys. Chem. C 2017, 121, 2014–2022. [Google Scholar] [CrossRef]
- Ray, S.; Saha, A.; Jana, N.R.; Sarkar, R. Fluorescent carbon nanoparticles: Synthesis, characterization, and bioimaging application. J. Phys. Chem. C 2009, 113, 18546–18551. [Google Scholar] [CrossRef]
- Yang, S.T.; Cao, L.; Luo, P.G.; Lu, F.; Wang, X.; Wang, H.; Meziani, M.J.; Liu, Y.; Qi, G.; Sun, Y.P. Carbon dots for optical imaging in vivo. J. Am. Chem. Soc. 2009, 131, 11308–11309. [Google Scholar] [CrossRef]
- Bourlinos, A.B.; Bakandritsos, A.; Kouloumpis, A.; Gournis, D.; Krysmann, M.; Giannelis, E.P.; Polakova, K.; Safarova, K.; Hola, K.; Zboril, R. Gd (III)-doped carbon dots as a dual fluorescent-MRI probe. J. Mater. Chem. 2012, 22, 23327–23330. [Google Scholar] [CrossRef]
- Zhao, H.X.; Liu, L.Q.; De Liu, Z.; Wang, Y.; Zhao, X.J.; Huang, C.Z. Highly selective detection of phosphate in very complicated matrixes with an off–on fluorescent probe of europium-adjusted carbon dots. Chem. Commun. 2011, 47, 2604–2606. [Google Scholar] [CrossRef]
- Zhu, A.; Qu, Q.; Shao, X.; Kong, B.; Tian, Y. Carbon-dot-based dual-emission nanohybrid produces a ratiometric fluorescent sensor for in vivo imaging of cellular copper ions. Angew. Chem. Int. Ed. 2012, 51, 7185–7189. [Google Scholar] [CrossRef] [PubMed]
- Shi, W.; Wang, Q.; Long, Y.; Cheng, Z.; Chen, S.; Zheng, H.; Huang, Y. Carbon nanodots as peroxidase mimetics and their applications to glucose detection. Chem. Commun. 2011, 47, 6695–6697. [Google Scholar] [CrossRef] [PubMed]
- Shi, W.; Li, X.; Ma, H. A tunable ratiometric pH sensor based on carbon nanodots for the quantitative measurement of the intracellular pH of whole cells. Angew. Chem. Int. Ed. 2012, 51, 6432–6435. [Google Scholar] [CrossRef]
- Li, J.; Zhang, L.; Li, P.; Zhang, Y.; Dong, C. One step hydrothermal synthesis of carbon nanodots to realize the fluorescence detection of picric acid in real samples. Sens. Actuators B Chem. 2018, 258, 580–588. [Google Scholar] [CrossRef]
- Ye, Q.; Yan, F.; Shi, D.; Zheng, T.; Wang, Y.; Zhou, X.; Chen, L. N, B-doped carbon dots as a sensitive fluorescence probe for Hg2+ ions and 2, 4, 6-trinitrophenol detection for bioimaging. J. Photochem. Photobiol. B Biol. 2016, 162, 1–13. [Google Scholar] [CrossRef]
- Fan, Y.Z.; Zhang, Y.; Li, N.; Liu, S.G.; Liu, T.; Li, N.B.; Luo, H.Q. A facile synthesis of water-soluble carbon dots as a label-free fluorescent probe for rapid, selective and sensitive detection of picric acid. Sens. Actuators B Chem. 2017, 240, 949–955. [Google Scholar] [CrossRef]
- Khan, Z.M.; Saifi, S.; Shumaila; Aslam, Z.; Khan, S.A.; Zulfequar, M. A facile one step hydrothermal synthesis of carbon quantum dots for label -free fluorescence sensing approach to detect picric acid in aqueous solution. J. Photochem. Photobiol. A Chem. 2020, 388, 112201. [Google Scholar] [CrossRef]
- Kalanidhi, K.; Nagaraaj, P. Facile and Green synthesis of fluorescent N-doped carbon dots from betel leaves for sensitive detection of Picric acid and Iron ion. J. Photochem. Photobiol. A Chem. 2021, 418, 113369. [Google Scholar]
- Ahmed, H.M.; Ghali, M.; Zahra, W.; Ayad, M.M. Preparation of carbon quantum dots/polyaniline nanocomposite: Towards highly sensitive detection of picric acid. Spectrochim. Acta Part A Mol. Biomol. Spectrosc. 2021, 260, 119967. [Google Scholar] [CrossRef] [PubMed]
- Shi, D.; Yan, F.; Zheng, T.; Wang, Y.; Zhou, X.; Chen, L. P-doped carbon dots act as a nanosensor for trace 2, 4, 6-trinitrophenol detection and a fluorescent reagent for biological imaging. RSC Adv. 2015, 5, 98492–98499. [Google Scholar] [CrossRef]
- Wang, T.; Zhang, N.; Bai, R.; Bao, Y. Aggregation-enhanced FRET-active conjugated polymer nanoparticles for picric acid sensing in aqueous solution. J. Mater. Chem. C 2018, 6, 266–270. [Google Scholar] [CrossRef]
- Malik, A.H.; Hussain, S.; Kalita, A.; Iyer, P.K. Conjugated Polymer Nanoparticles for the Amplified Detection of Nitro-explosive Picric Acid on Multiple Platforms. ACS Appl. Mater. Interfaces 2015, 7, 26968–26976. [Google Scholar] [CrossRef]
- Zhuang, Y.; Yao, J.; Zhuang, Z.; Ni, C.; Yao, H.; Su, D.; Zhou, J.; Zhao, Z. AEE-active conjugated polymers based on di(naphthalen-2-yl)-1,2-diphenylethene for sensitive fluorescence detection of picric acid. Dyes Pigment. 2020, 174, 108041. [Google Scholar] [CrossRef]
- Guo, L.; Cao, D.; Yun, J.; Zeng, X. Highly selective detection of picric acid from multicomponent mixtures of nitro explosives by using COP luminescent probe. Sens. Actuators B Chem. 2017, 243, 753–760. [Google Scholar] [CrossRef]
- Bauri, K.; Saha, B.; Mahanti, J.; De, P. A nonconjugated macromolecular luminogen for speedy, selective and sensitive detection of picric acid in water. Polym. Chem. 2017, 8, 7180–7187. [Google Scholar] [CrossRef]
- Pherkkhuntod, C.; Ervithayasuporn, V.; Chanmungkalakul, S.; Wang, C.; Liu, X.; Harding, D.J.; Kiatkamjornwong, S. Water-soluble polyaromatic-based imidazolium for detecting picric acid: Pyrene vs. anthracene. Sens. Actuators B Chem. 2021, 330, 129287. [Google Scholar] [CrossRef]
- Goel, A.; Malhotra, R. Efficient detection of Picric acid by pyranone based Schiff base as a chemosensor. J. Mol. Struct. 2022, 1249, 131619. [Google Scholar] [CrossRef]
Disclaimer/Publisher’s Note: The statements, opinions and data contained in all publications are solely those of the individual author(s) and contributor(s) and not of MDPI and/or the editor(s). MDPI and/or the editor(s) disclaim responsibility for any injury to people or property resulting from any ideas, methods, instructions or products referred to in the content. |
© 2023 by the authors. Licensee MDPI, Basel, Switzerland. This article is an open access article distributed under the terms and conditions of the Creative Commons Attribution (CC BY) license (https://creativecommons.org/licenses/by/4.0/).



