Non-Contact and Non-Intrusive Add-on IoT Device for Wireless Remote Elevator Control
Abstract
1. Introduction
New Contribution
2. Related Work
2.1. Elevator Implementation and Optimization
2.2. Non-Contact Elevator Control
2.3. Elevator Panel Buttons and COVID-19 Pandemic
3. Materials and Methods
3.1. Elevator
3.2. Servomotors as Actuators
3.3. ESP32-S2-WROVER
3.4. Battery
4. Design and Implementation of the IoT Device
4.1. Mechanical Activation of the Buttons
4.2. Compatibility with the Original Button Panel
4.3. IoT Device: Mechanical Design
4.4. IoT Device: Electronic Design
4.5. IoT: Web Interface
4.6. IoT Device: Software Design
4.7. IoT Device: Control Protocol
4.8. IoT Device: Direct QR Code Access
5. Experimental Application Results
5.1. Evaluation of Power Consumption
5.2. Evaluation of the Control through Smartphone
5.2.1. Calling the Elevator from Outside the Car
5.2.2. Using the Elevator from Inside the Car
5.3. Evaluation of the Latency of the IoT Device
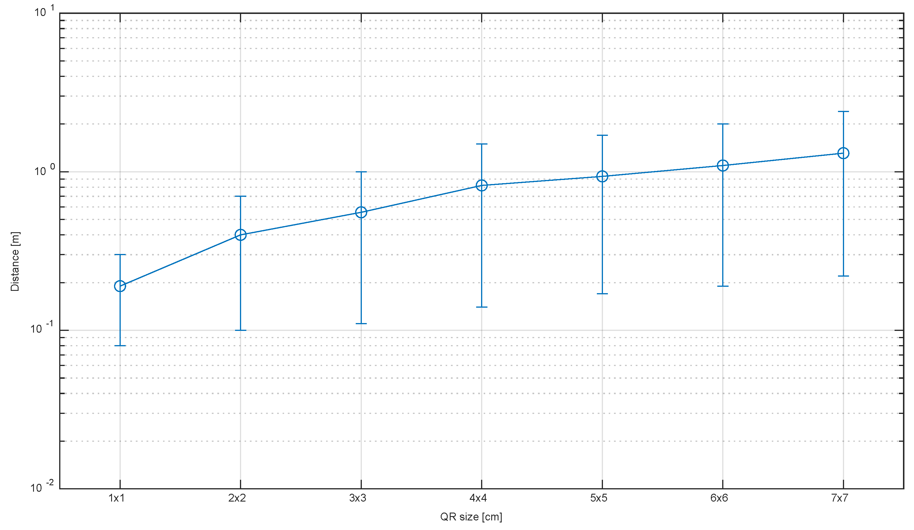
5.4. Evaluation of the QR Code
5.5. Evaluation of the Machine-to-Machine Access
6. Discussion and Conclusions
6.1. Limitations
6.2. Future Works
Author Contributions
Funding
Institutional Review Board Statement
Informed Consent Statement
Data Availability Statement
Conflicts of Interest
References
- Froehlich, J.E.; Eisenberg, Y.; Hosseini, M.; Miranda, F.; Adams, M.; Caspi, A.; Dieterich, H.; Feldner, H.; Gonzalez, A.; De Gyves, C.; et al. The Future of Urban Accessibility for People with Disabilities: Data Collection, Analytics, Policy, and Tools. In Proceedings of the 24th International ACM SIGACCESS Conference on Computers and Accessibility, Athens, Greece, 23–26 October 2022. [Google Scholar] [CrossRef]
- Müller, K.; Engel, C.; Loitsch, C.; Stiefelhagen, R.; Weber, G. Traveling More Independently: A Study on the Diverse Needs and Challenges of People with Visual or Mobility Impairments in Unfamiliar Indoor Environments. ACM Trans. Access. Comput. 2022, 15, 1–44. [Google Scholar] [CrossRef]
- Stephens, L.; Spalding, K.; Aslam, H.; Scott, H.; Ruddick, S.; Young, N.L.; McKeever, P. Inaccessible childhoods: Evaluating accessibility in homes, schools and neighbourhoods with disabled children. Children’s Geogr. 2017, 15, 583–599. [Google Scholar] [CrossRef]
- Bo, W.; Li, Z. Design of the overall epidemic prevention system for the healthy operation of elevators. In Proceedings of the 2020 5th International Conference on Mechanical, Control and Computer Engineering (ICMCCE), Harbin, China, 25–27 December 2020; pp. 311–315. [Google Scholar] [CrossRef]
- Lai, S.-C.; Wu, H.-H.; Hsu, W.-L.; Wang, R.-J.; Shiau, Y.-C.; Ho, M.-C.; Hsieh, H.-N. Contact-Free Operation of Epidemic Prevention Elevator for Buildings. Buildings 2022, 12, 411. [Google Scholar] [CrossRef]
- Pearson, J.; Bailey, G.; Robinson, S.; Jones, M.; Owen, T.; Zhang, C.; Reitmaier, T.; Steer, C.; Carter, A.; Sahoo, D.R.; et al. Can’t Touch This: Rethinking Public Technology in a COVID-19 Era. In Proceedings of the Conference on Human Factors in Computing Systems, New Orleans, LA, USA, 29 April–5 May 2022. [Google Scholar] [CrossRef]
- Khelifi, A.; Muhamad, A.; Ehtesham, H.; Ghazal, M. A Reliable Handless System for Elevators Using Touchless Technology. In Proceedings of the 9th International Conference on Future Internet of Things and Cloud (FiCloud), Rome, Italy, 22–24 August 2022. [Google Scholar] [CrossRef]
- Zhou, Y.; Wang, K.; Liu, H. An Elevator Monitoring System Based on the Internet Of Things. Procedia Comput. Sci. 2018, 131, 541–544. [Google Scholar] [CrossRef]
- Teja, S.R.; Tez, D.S.P.; Nagarjuna, K.; Kumar, M.K.; Ahammad, S.H. Development of IoT Application for Online Monitoring of Elevator System. In Proceedings of the IEEE Mysore Sub Section International Conference, Mysuru, India, 16–17 October 2022. [Google Scholar] [CrossRef]
- Alsubaei, F.S.; Al-Wesabi, F.N.; Hilal, A.M. Deep Learning-Based Small Object Detection and Classification Model for Garbage Waste Management in Smart Cities and IoT Environment. Appl. Sci. 2022, 12, 2281. [Google Scholar] [CrossRef]
- Albulayhi, K.; Smadi, A.A.; Sheldon, F.T.; Abercrombie, R.K. IoT Intrusion Detection Taxonomy, Reference Architecture, and Analyses. Sensors 2021, 21, 6432. [Google Scholar] [CrossRef]
- Albulayhi, K.; Abu Al-Haija, Q.; Alsuhibany, S.A.; Jillepalli, A.A.; Ashrafuzzaman, M.; Sheldon, F.T. IoT Intrusion Detection Using Machine Learning with a Novel High Performing Feature Selection Method. Appl. Sci. 2022, 12, 5015. [Google Scholar] [CrossRef]
- Kim, M.; Kim, Y. Parcel Classification and Positioning of Intelligent Parcel Storage System Based on YOLOv5. Appl. Sci. 2023, 13, 437. [Google Scholar] [CrossRef]
- Sundari, M.S.; Mathana, J.M.; Nagarajan, T.S. Secured IoT Based Smart Greenhouse System with Image Inspection. In Proceedings of the 2020 6th International Conference on Advanced Computing and Communication Systems (ICACCS), Coimbatore, India, 6–7 March 2020; pp. 1080–1082. [Google Scholar] [CrossRef]
- Contreras-Castillo, J.; Guerrero-Ibañez, J.A.; Santana-Mancilla, P.C.; Anido-Rifón, L. SAgric-IoT: An IoT-Based Platform and Deep Learning for Greenhouse Monitoring. Appl. Sci. 2023, 13, 1961. [Google Scholar] [CrossRef]
- Kaushik, N.; Bagga, T. Smart Cities Using IoT. In Proceedings of the 2021 9th International Conference on Reliability, Infocom Technologies and Optimization (Trends and Future Directions) (ICRITO), Noida, India, 3 September 2021; pp. 1–6. [Google Scholar]
- Yasin, A.; Delaney, J.; Cheng, C.-T.; Pang, T.Y. The Design and Implementation of an IoT Sensor-Based Indoor Air Quality Monitoring System Using Off-the-Shelf Devices. Appl. Sci. 2022, 12, 9450. [Google Scholar] [CrossRef]
- Al-Kodmany, K. Tall Buildings and Elevators: A Review of Recent Technological Advances. Buildings 2015, 5, 1070–1104. [Google Scholar] [CrossRef]
- Bannister, P.; Bloomfield, C.; Chen, H. Empirical Prediction of Office Building Lift Energy Consumption. In Proceedings of the 12th Conference of International Building Performance Simulation Association, Sydney, Australia, 14–16 November 2011. [Google Scholar]
- Mitronikas, E.D.; Spyropoulos, D.V.; Papanikolaou, N.P.; Tatakis, E.C.; Spyropoulos, N. Energy saving during modern lift operation. In Proceedings of the 2014 International Conference on Electrical Machines (ICEM), Berlin, Germany, 2–5 September 2014. [Google Scholar] [CrossRef]
- Zhang, J.; Zong, Q. Energy-saving scheduling optimization under up-peak traffic for group elevator system in building. Energy Build. 2013, 66, 495–504. [Google Scholar] [CrossRef]
- Peters, R.; Smith, R.; Evans, E. The appraisal of lift passenger demand in modern office buildings. Build. Serv. Eng. Res. Technol. 2011, 32, 159–170. [Google Scholar] [CrossRef]
- Barney, G.; Al-Sharif, L. Elevator Traffic Handbook: Theory and Practice, 2nd ed.; Routledge: London, UK, 2015. [Google Scholar] [CrossRef]
- Jung, M.; Park, M.; Lee, H.S.; Chi, S. Agent-Based Lift System Simulation Model for High-Rise Building Construction Projects. J. Comput. Civ. Eng. 2017, 31, 04017064. [Google Scholar] [CrossRef]
- Esteban, E.; Salgado, O.; Iturrospe, A.; Isasa, I. Model-based approach for elevator performance estimation. Mech. Syst. Signal Process. 2016, 68–69, 125–137. [Google Scholar] [CrossRef]
- Hirasawa, K.; Eguchi, T.; Zhou, J.; Yu, L.; Hu, J.; Markon, S. A Double-Deck Elevator Group Supervisory Control System Using Genetic Network Programming. IEEE Trans. Syst. Man Cybern. Part C (Appl. Rev.) 2008, 38, 535–550. [Google Scholar] [CrossRef]
- Fan, H.; Chau, K.T.; Liu, C.; Cao, L.; Ching, T.W. Quantitative Comparison of Novel Dual-PM Linear Motors for Ropeless Elevator System. IEEE Trans. Magn. 2018, 54, 1–6. [Google Scholar] [CrossRef]
- Al-Sharif, L.; Alqumsan, A.M.A.; Aal, O.F.A. Automated optimal design methodology of elevator systems using rules and graphical methods (the HARint plane). Build. Serv. Eng. Res. Technol. 2013, 34, 275–293. [Google Scholar] [CrossRef]
- Tervonen, T.; Hakonen, H.; Lahdelma, R. Elevator planning with stochastic multicriteria acceptability analysis. Omega 2008, 36, 352–362. [Google Scholar] [CrossRef]
- Lee, D.-S.; Ji, K.-H.; Jing, J.; Jo, J.-H. Experimental study on elevator door reopening problems caused by stack induced pressure differences across the elevator door in buildings. Build. Environ. 2022, 221, 109271. [Google Scholar] [CrossRef]
- Au-Yong, C.P.; Azmi, N.F.; Mahassan, N.A. Maintenance of lift systems affecting resident satisfaction in low-cost high-rise residential buildings. J. Facil. Manag. 2018, 16, 17–25. [Google Scholar] [CrossRef]
- Kang, M.-W.; Oh, Y.-K. Validity of Elevator Noise Measurement Method in International Standards on High-Rise Residential Buildings. Sustainability 2021, 13, 9806. [Google Scholar] [CrossRef]
- Oh, Y.; Kang, M.; Lee, K.; Kim, S. Construction Management Solutions to Mitigate Elevator Noise and Vibration of High-Rise Residential Buildings. Sustainability 2020, 12, 8924. [Google Scholar] [CrossRef]
- Park, S.T.; Yang, B.S. An implementation of risk-based inspection for elevator maintenance. J. Mech. Sci. Technol. 2010, 24, 2367–2376. [Google Scholar] [CrossRef]
- Niu, G.; Lee, S.S.; Yang, B.S.; Lee, S.J. Decision fusion system for fault diagnosis of elevator traction machine. J. Mech. Sci. Technol. 2008, 22, 85–95. [Google Scholar] [CrossRef]
- Ding, N.; Chen, T.; Zhang, H. Experimental Study of Elevator Loading and Unloading Time During Evacuation in High-Rise Buildings. Fire Technol. 2017, 53, 29–42. [Google Scholar] [CrossRef]
- Chen, J.; Ma, J.; Lo, S.M. Event-driven modeling of elevator assisted evacuation in ultra high-rise buildings. Simul. Model. Pract. Theory 2017, 74, 99–116. [Google Scholar] [CrossRef]
- Ahmed, S.S.; Iqbal, A.; Sarwar, R.; Salam, M.S. Modeling the energy consumption of a lift. Energy Build. 2014, 71, 61–67. [Google Scholar] [CrossRef]
- Kane, S.K.; Guo, A.; Morris, M.R. Sense and Accessibility: Understanding People with Physical Disabilities’ Experiences with Sensing Systems. In Proceedings of the 22nd International ACM SIGACCESS Conference on Computers and Accessibility, Virtual Event, Greece, 26–28 October 2020. [Google Scholar] [CrossRef]
- Domingo, M.C. An overview of the Internet of Things for people with disabilities. J. Netw. Comput. Appl. 2012, 35, 584–596. [Google Scholar] [CrossRef]
- Yulianto, H.R.; Afiahayati. Fighting COVID-19: Convolutional Neural Network for Elevator User’s Speech Classification in Bahasa Indonesia. Procedia Comput. Sci. 2021, 189, 84–91. [Google Scholar] [CrossRef]
- Liu, Y.; Wang, W.; Li, Y. Realization of Contactless Elevator Control Panel System Based on Voice Interaction Technology. In Proceedings of the 3rd International Conference on Control Systems, Mathematical Modeling, Automation and Energy Efficiency (SUMMA), Lipetsk, Russia, 10–12 November 2021. [Google Scholar] [CrossRef]
- Shinde, A.S.; Jamdar, A.S.; Joshi, K.D.; Sarode, S.T. A CNN Based Speech Recognition Approach for Voice Controlled Elevator. In Proceedings of the 2021 5th International Conference on Electrical, Electronics, Communication, Computer Technologies and Optimization Techniques (ICEECCOT), Mysuru, India, 10–11 December 2021. [Google Scholar] [CrossRef]
- Meenatchi, D.; Aishwarya, R.; Shahina, A. A Voice Recognizing Elevator System. In Proceedings of the International Conference on Soft Computing Systems; Suresh, L., Panigrahi, B., Eds.; Advances in Intelligent Systems and Computing; Springer: New Delhi, India, 2016; Volume 397. [Google Scholar] [CrossRef]
- Chatziparasidis, I.; Sfampa, I.K. Residential buildings with brain-computer interface functionality: An elevator case study. Build. Serv. Eng. Res. Technol. 2022, 43, 261–272. [Google Scholar] [CrossRef]
- Nicolas-Alonso, L.F.; Gomez-Gil, J. Brain Computer Interfaces, a Review. Sensors 2012, 12, 1211–1279. [Google Scholar] [CrossRef]
- Zhang, X.; Wu, J.; Smith, L.M.; Li, X.; Yancey, O.; Franzblau, A.; Dvonch, J.T.; Xi, C.; Neitzel, R.L. Monitoring SARS-CoV-2 in air and on surfaces and estimating infection risk in buildings and buses on a university campus. J. Expo. Sci. Environ. Epidemiol. 2022, 32, 751–758. [Google Scholar] [CrossRef]
- Wang, C.C.; Prather, K.A.; Sznitman, J.; Jimenez, J.L.; Lakdawala, S.S.; Tufekci, Z.; Marr, L.C. Airborne transmission of respiratory viruses. Science 2021, 373, eabd9149. [Google Scholar] [CrossRef]
- Wu, S.; Wang, Y.; Jin, X.; Tian, J.; Liu, J.; Mao, Y. Environmental contamination by SARS-CoV-2 in a designated hospital for coronavirus disease 2019. Am. J. Infect. Control 2020, 48, 910–914. [Google Scholar] [CrossRef]
- Lavric, A.; Petrariu, A.I.; Mutescu, P.-M.; Coca, E.; Popa, V. Internet of Things Concept in the Context of the COVID-19 Pandemic: A Multi-Sensor Application Design. Sensors 2022, 22, 503. [Google Scholar] [CrossRef]
- Kuncoro, C.B.D.; Amaris, A.; Permana, A.F. Smart Wireless CO2 Sensor Node for IoT Based Strategic Monitoring Tool of The Risk of The Indoor SARS-CoV-2 Airborne Transmission. Appl. Sci. 2022, 12, 10784. [Google Scholar] [CrossRef]
- Akshat, A.; Nanda, V.; Singhal, A.; Jindal, S.K. AT89S52-Microcontroller Based Elevator with UV-C disinfection to prevent the transmission of COVID-19. In Proceedings of the 2020 International Conference on Interdisciplinary Cyber Physical Systems (ICPS), Chennai, India, 28–29 December 2020. [Google Scholar] [CrossRef]
- François, P.-M.; Bonnet, X.; Kosior, J.; Adam, J.; Khonsari, R.H. 3D-printed contact-free devices designed and dispatched against the COVID-19 pandemic: The 3D COVID initiative. J. Stomatol. Oral Maxillofac. Surg. 2021, 122, 381–385. [Google Scholar] [CrossRef]
- Organización Nacional de Ciegos Españoles. Technical Document B 17: Braille Signage on Lift Button Panels. Available online: https://www.once.es/ (accessed on 10 January 2023).
- Organización Nacional de Ciegos Españoles. Technical Document B 1: Parámetros Dimensionales del Braille. Available online: https://www.once.es/ (accessed on 10 January 2023). (In Spanish).
- Rubies, E.; Palacín, J.; Clotet, E. Enhancing the Sense of Attention from an Assistance Mobile Robot by Improving Eye-Gaze Contact from Its Iconic Face Displayed on a Flat Screen. Sensors 2022, 22, 4282. [Google Scholar] [CrossRef]
- Palacín, J.; Rubies, E.; Clotet, E.; Martínez, D. Evaluation of the Path-Tracking Accuracy of a Three-Wheeled Omnidirectional Mobile Robot Designed as a Personal Assistant. Sensors 2021, 21, 7216. [Google Scholar] [CrossRef]
- Palacín, J.; Rubies, E.; Clotet, E. Systematic Odometry Error Evaluation and Correction in a Human-Sized Three-Wheeled Omnidirectional Mobile Robot Using Flower-Shaped Calibration Trajectories. Appl. Sci. 2022, 12, 2606. [Google Scholar] [CrossRef]
- Palacín, J.; Rubies, E.; Bitrià, R.; Clotet, E. Non-Parametric Calibration of the Inverse Kinematic Matrix of a Three-Wheeled Omnidirectional Mobile Robot Based on Genetic Algorithms. Appl. Sci. 2023, 13, 1053. [Google Scholar] [CrossRef]


















| Web Address | Command | Description |
|---|---|---|
| http://elevator1.udl.cat/?id=F-1CALL | F-1CALL | Press Floor −1 button 1 |
| http://elevator1.udl.cat/?id=F0CALL | F0CALL | Press Floor 0 button 1 |
| http://elevator1.udl.cat/?id=F1CALL | F1CALL | Press Floor 1 button 1 |
| http://elevator1.udl.cat/?id=F2CALL | F2CALL | Press Floor 2 button 1 |
| http://elevator1.udl.cat/?id=F3CALL | F3CALL | Press Floor 3 button 1 |
| http://elevator1.udl.cat/?id=ALARM | ALARM | Press Alarm button 1 |
| http://elevator1.udl.cat/?id=OPENDOOR | OPENDOOR | Press Open Door button 1 |
| http://elevator1.udl.cat/?id=KEEPDOOROPEN | KEEPDOOROPEN | Hold Open Door button |
| http://elevator1.udl.cat/?id=CLOSEDOOR | CLOSEDOOR | Release Open Door button |
| Call from (Smartphone Outside the Elevator) | ||||||
|---|---|---|---|---|---|---|
| 3 | 2 | 1 | 0 | −1 | ||
| Elevator at | 3 | 100% | 80% a | 70% a,b | 60% a,b | 60% a,b |
| 2 | 100% | 90% b | 100% | 100% | 90% a | |
| 1 | 100% | 100% | 100% | 100% | 90% a | |
| 0 | 90% b | 100% | 100% | 100% | 90% a | |
| −1 | 70% a | 60% a,b | 90% a | 100% | 90% a | |
| Send to (Smartphone Inside the Elevator) | ||||||
|---|---|---|---|---|---|---|
| 3 | 2 | 1 | 0 | −1 | ||
| Elevator at | 3 | 90% a | 100% | 100% | 80% a,b | 100% |
| 2 | 90% b | 100% | 100% | 90% b | 100% | |
| 1 | 100% | 100% | 100% | 100% | 90% b | |
| 0 | 100% | 100% | 100% | 90% a | 80% b | |
| −1 | 60% a,b | 90% a | 90% a | 80% a,b | 90% a | |
Disclaimer/Publisher’s Note: The statements, opinions and data contained in all publications are solely those of the individual author(s) and contributor(s) and not of MDPI and/or the editor(s). MDPI and/or the editor(s) disclaim responsibility for any injury to people or property resulting from any ideas, methods, instructions or products referred to in the content. |
© 2023 by the authors. Licensee MDPI, Basel, Switzerland. This article is an open access article distributed under the terms and conditions of the Creative Commons Attribution (CC BY) license (https://creativecommons.org/licenses/by/4.0/).
Share and Cite
Rubies, E.; Bitriá, R.; Clotet, E.; Palacín, J. Non-Contact and Non-Intrusive Add-on IoT Device for Wireless Remote Elevator Control. Appl. Sci. 2023, 13, 3971. https://doi.org/10.3390/app13063971
Rubies E, Bitriá R, Clotet E, Palacín J. Non-Contact and Non-Intrusive Add-on IoT Device for Wireless Remote Elevator Control. Applied Sciences. 2023; 13(6):3971. https://doi.org/10.3390/app13063971
Chicago/Turabian StyleRubies, Elena, Ricard Bitriá, Eduard Clotet, and Jordi Palacín. 2023. "Non-Contact and Non-Intrusive Add-on IoT Device for Wireless Remote Elevator Control" Applied Sciences 13, no. 6: 3971. https://doi.org/10.3390/app13063971
APA StyleRubies, E., Bitriá, R., Clotet, E., & Palacín, J. (2023). Non-Contact and Non-Intrusive Add-on IoT Device for Wireless Remote Elevator Control. Applied Sciences, 13(6), 3971. https://doi.org/10.3390/app13063971

