The Effect of Drying–Wetting Cycles on Soil Inorganic Nitrogen Transformation in Drip-Irrigated Cotton Field Soil in Northwestern China
Abstract
1. Introduction
2. Materials and Methods
2.1. Soil Sampling
2.2. Incubation Experiment
2.3. Sampling Method
2.4. Chemical Analyses
2.5. Statistical Analysis
3. Results
3.1. NO3− and NH4+ Dynamics during the DW Strength Experiment
3.2. NO3− and NH4+ Dynamics during the DW Frequency Experiments
3.3. NO3− and NH4+ Dynamics during the Soil Wetting Time Experiment
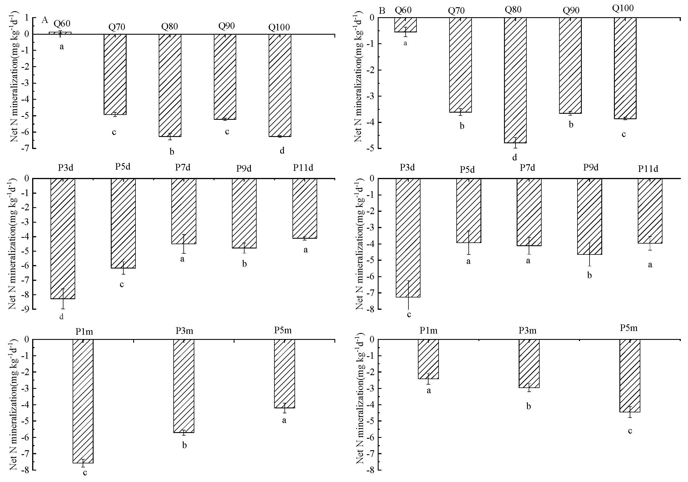
3.4. Net N Mineralization
4. Discussion
4.1. N Transformation
4.2. N Mineralization
5. Conclusions
Author Contributions
Funding
Institutional Review Board Statement
Informed Consent Statement
Data Availability Statement
Acknowledgments
Conflicts of Interest
References
- Seohye, C.; Seung, H.H.; Seung, O.L. Practical approach to predict Geyser occurrence in Stromwater Drainage System. KSCE J. Civ. Eng. 2019, 23, 1108–1117. [Google Scholar]
- Markus, G.D.; Andrew, L.L.; Lisa, V.A.; O’Gorman, P.A.; Nicola, M. More extreme precipitation in the world’s dry and wet regions. Nat. Clim. Chang. 2016, 6, 508–513. [Google Scholar]
- Sun, D.S.; Li, K.J.; Bi, Q.F.; Zhu, J.; Zhang, Q.C.; Jin, C.W.; Lu, L.L.; Lin, X.Y. Effects of organic amendment on soil aggregation and microbial community composition during drying-rewetting alternation. Sci. Total Environ. 2017, 574, 735–743. [Google Scholar] [CrossRef]
- Blackwell, M.S.A.; Brookes, P.C.; de la Fuente-Martinez, N.; Gordon, H.; Murray, P.J.; Snars, K.E.; Williams, J.K.; Bol, R.; Haygarth, P.M. Chapter 1—Phosphorus Solubilization and Potential Transfer to Surface Waters from the Soil Microbial Biomass Following Drying–Rewetting and Freezing–Thawing. In Advances in Agronomy; Elsevier: Amsterdam, The Netherlands, 2010; Volume 106, pp. 1–35. [Google Scholar]
- Werner, B.; Egbert, M. Reappraisal of drying and wetting effects on C and N mineralization and fluxes in soils. Glob. Chang. Biol. 2009, 4, 808–824. [Google Scholar]
- Chen, Y.Y.; Fan, P.S.; Mo, Z.W.; Kong, L.L.; Tian, H.; Duan, M.Y.; Li, L.; Wu, L.J.; Wang, Z.M.; Tang, X.R.; et al. Deep Placement of Nitrogen Fertilizer Affects Grain Yield, Nitrogen Recovery Efficiency, and Root Characteristics in Direct-Seeded Rice in South China. J. Plant Growth Regul. 2021, 40, 379–387. [Google Scholar] [CrossRef]
- Azadeh, B.; Erland, B.; Johannes, R. Drying–Rewetting Cycles Affect Fungal and Bacterial Growth Differently in an Arable Soil. Microb. Ecol. 2010, 60, 419–428. [Google Scholar]
- Sarah, E.; Uif, D.; Oskar, F.; Christina, K. Synergistic effects of diffusion and microbial physiology reproduce the Birch effect in a micro-scale model. Soil Biol. Biochem. 2016, 93, 28–37. [Google Scholar]
- Peter, G.; Boris, O.; Brigitte, M.; Justin, S.; Markus, R.; Sonia, I.S. Erratum: Global assessment of trends in wetting and drying over land. Geoscience 2014, 7, 716–721. [Google Scholar]
- Forda, D.J.; Cookson, W.R.; Adamsa, M.A.; Grierson, P.F. Role of soil drying in nitrogen mineralization and microbial community function in semi-arid grasslands of north-west Australia. Soil Biol. Biochem. 2007, 39, 1557–1569. [Google Scholar] [CrossRef]
- He, Y.T.; Xu, X.L.; Christoph, K.; Zhang, X.Z.; Shi, P.L. Leaf litter of a dominant cushion plant shifts nitrogen mineralization to immobilization at high but not low temperature in an alpine meadow. Plant Soil 2014, 383, 415–426. [Google Scholar] [CrossRef]
- Ma, Z.W.; Gao, X.P.; Mario, T.; Kuang, W.N.; Gui, D.W.; Zeng, F.J. Urea fertigation sources affect nitrous oxide emission from a drip-fertigated cotton field in northwestern China. Agric. Ecosyst. Environ. 2018, 265, 22–30. [Google Scholar] [CrossRef]
- Gao, J.Q.; Feng, J.; Zhang, X.W.; Yu, F.H.; Xu, X.L.; Kuzyakov, Y. Drying-rewetting cycles alter carbon and nitrogen mineralization in litter-amended alpine wetland soil. CATENA 2016, 145, 285–290. [Google Scholar] [CrossRef]
- Hussain, M.; Cheema, S.A.; Abbas, R.Q.; Ashraf, M.F.; Shahzad, M.; Farooq, M. Choice of nitrogen fertilizer affects grain yield and agronomic nitrogen use efficiency of wheat cultivars. J. Plant Nutr. 2018, 41, 2330–2343. [Google Scholar] [CrossRef]
- Shasha, Z.; Qing, Z.; Lisa, N.; Yuntao, H.; Wolfgang, W. Environmental effects on soil microbial nitrogen use efficiency are controlled by allocation of organic nitrogen to microbial growth and regulate gross N mineralization. Soil Biol. Biochem. 2019, 135, 304–315. [Google Scholar]
- Song, M.H.; Jiang, J.; Xu, X.L.; Shi, P.L. Correlation between CO2 efflux and net nitrogen mineralization and its response to external C or N supply in an alpine meadow soil. Pedosphere 2011, 21, 666–675. [Google Scholar] [CrossRef]
- Noah, F.; Joshua, P.S. Effects of drying-rewetting frequency on soil carbon and nitrogen transformations. Soil Biol. Biochem. 2002, 34, 777–787. [Google Scholar]
- Hu, Z.K.; Chen, C.Y.; Chen, X.Y.; Yao, J.N.; Jiang, L.; Liu, M.Q. Home-field advantage in soil respiration and its resilience to drying and rewetting cycles. Sci. Total Environ. 2021, 750, 141736. [Google Scholar] [CrossRef]
- Ma, L.; Guo, C.; Xin, X.; Yuan, S.; Wang, R. Effects of belowground litter addition, increased precipitation and clipping on soil carbon and nitrogen mineralization in a temperate steppe. Biogeosciences 2013, 10, 7361. [Google Scholar] [CrossRef]
- Miller, A.E.; Schimel, J.P.; Meixner, T.; Sickman, J.O.; Melack, J.M. Episodic rewetting enhances carbon and nitrogen release from chaparral soils. Soil Biol. Biochem. 2005, 37, 2195–2204. [Google Scholar] [CrossRef]
- Ajdary, K.; Singh, D.K.; Singh, A.K.; Manoj, K. Modelling of nitrogen leaching from experimental onion field under drip fertigation. Agric. Water Manag. 2007, 89, 15–28. [Google Scholar] [CrossRef]
- Fallovo, C.; Colla, G.; Schreiner, M.; Krumbein, A.; Schwarz, D. Effect of nitrogen form and radiation on growth and mineral concentration of two Brassica species. Sci. Hortic. 2009, 123, 170–177. [Google Scholar] [CrossRef]
- Rui, Q.; Ru, G.; Yang, L.; Muhammad, A.N.; Sadam, H.; Liu, D.H.; Zhang, P.; Chen, X.L.; Ren, X.L. Biodegradable film mulching combined with straw incorporation can significantly reduce global warming potential with higher spring maize yield. Agric. Ecosyst. Environ. 2022, 340, 108181. [Google Scholar]
- Sepideh, B.N.; Hossein, M.H.; Hassan, E.; Teimour, R. Rice straw and composted azolla alter carbon and nitrogen mineralization and microbial activity of a paddy soil under drying–rewetting cycles. Appl. Soil Ecol. 2020, 154, 103638. [Google Scholar]
- Frank, D.A.; Reichstein, M.; Bahn, M.; Thonicke, K.; Frank, D.; Mahecha, M.D.; Smith, P.; Vander, V.M.; Vicca, S.; Babst, F.; et al. Effects of climate extremes on the terrestrial carbon cycle: Concepts, processes and potential future impacts. Glob. Chang. Biol. 2015, 21, 2861–2880. [Google Scholar] [CrossRef] [PubMed]
- Kerstin, H.; Werner, B.; Egbert, M. Leaching losses of inorganic N and DOC following repeated drying and wetting of a spruce forest soil. Plant Soil 2007, 300, 21–34. [Google Scholar]
- Agehara, S.; Warncke, D.D. Soil Moisture and Temperature Effects on Nitrogen Release from Organic Nitrogen Sources. Soil Sci. Soc. Am. J. 2005, 69, 1844–1855. [Google Scholar] [CrossRef]
- Fernando, E.M.; Stefano, M.; Claire, C. Responses of soil heterotrophic respiration to moisture availability: An exploration of processes and models. Soil Biol. Biochem. 2013, 59, 72–85. [Google Scholar]
- Adriana, G.A.; de Souza, J.R.M.; Hermano, M.Q.; William, N.; José, I.P.; Thais, D.S.M.; Carlos, A.K.T. Mineralization of Nitrogen Forms in Soil Cultivated with Yellow Melon under Organic and Mineral Fertilization. Commun. Soil Sci. Plant Anal. 2021, 52, 1706–1719. [Google Scholar] [CrossRef]





Disclaimer/Publisher’s Note: The statements, opinions and data contained in all publications are solely those of the individual author(s) and contributor(s) and not of MDPI and/or the editor(s). MDPI and/or the editor(s) disclaim responsibility for any injury to people or property resulting from any ideas, methods, instructions or products referred to in the content. |
© 2023 by the authors. Licensee MDPI, Basel, Switzerland. This article is an open access article distributed under the terms and conditions of the Creative Commons Attribution (CC BY) license (https://creativecommons.org/licenses/by/4.0/).
Share and Cite
Ma, H.; Yang, Z.; Pu, S.; Ma, X. The Effect of Drying–Wetting Cycles on Soil Inorganic Nitrogen Transformation in Drip-Irrigated Cotton Field Soil in Northwestern China. Appl. Sci. 2023, 13, 3892. https://doi.org/10.3390/app13063892
Ma H, Yang Z, Pu S, Ma X. The Effect of Drying–Wetting Cycles on Soil Inorganic Nitrogen Transformation in Drip-Irrigated Cotton Field Soil in Northwestern China. Applied Sciences. 2023; 13(6):3892. https://doi.org/10.3390/app13063892
Chicago/Turabian StyleMa, Honghong, Zhiying Yang, Shenghai Pu, and Xingwang Ma. 2023. "The Effect of Drying–Wetting Cycles on Soil Inorganic Nitrogen Transformation in Drip-Irrigated Cotton Field Soil in Northwestern China" Applied Sciences 13, no. 6: 3892. https://doi.org/10.3390/app13063892
APA StyleMa, H., Yang, Z., Pu, S., & Ma, X. (2023). The Effect of Drying–Wetting Cycles on Soil Inorganic Nitrogen Transformation in Drip-Irrigated Cotton Field Soil in Northwestern China. Applied Sciences, 13(6), 3892. https://doi.org/10.3390/app13063892
