Definition of Bubbly Liquids Parameters for the Optimization of Their Nonlinear Effects on Ultrasound
Abstract
1. Introduction
2. Materials and Methods
3. Results
3.1. Cavity of Length
3.1.1. Amplitudes in the Cavity
3.1.2. Several Source Amplitudes
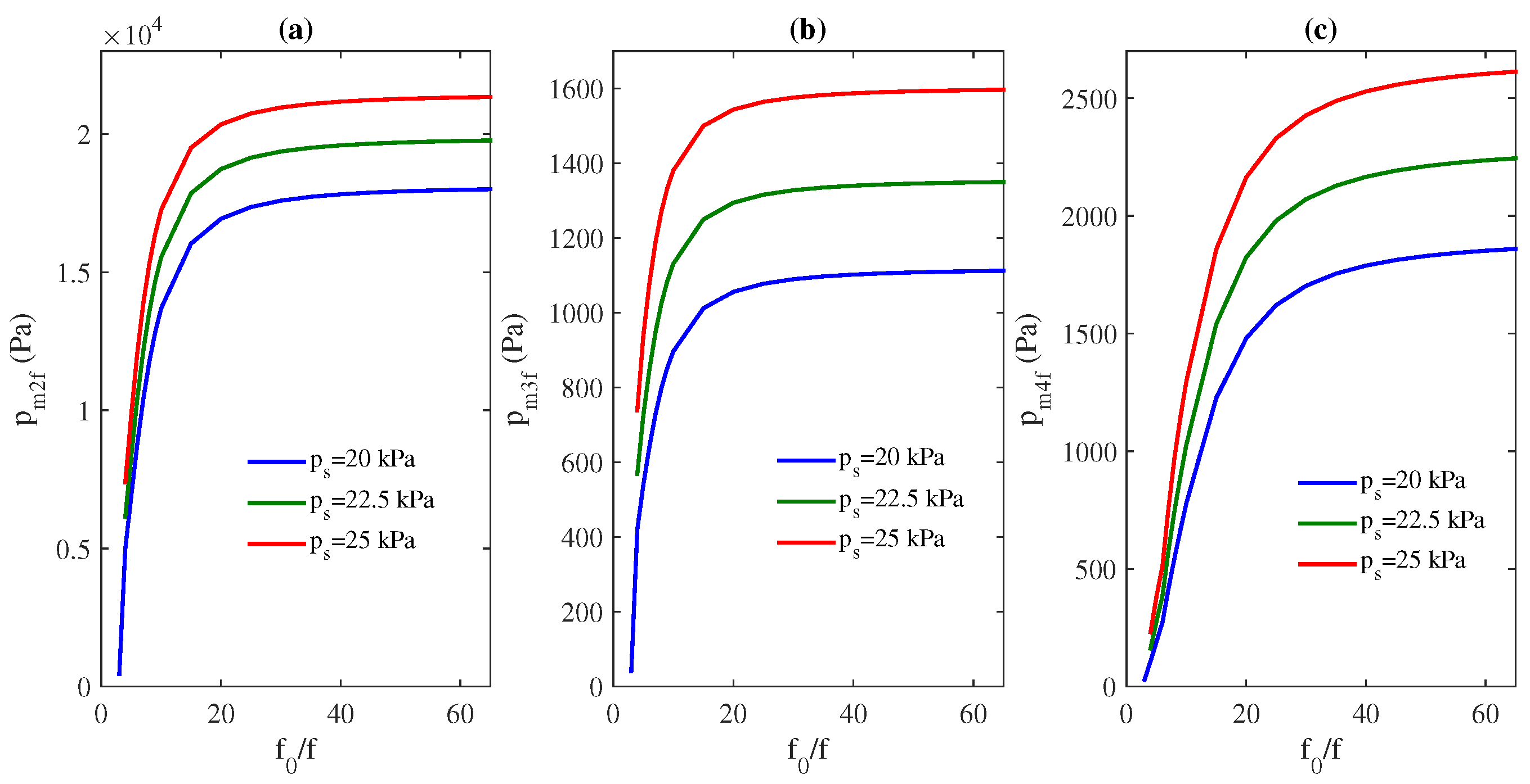
3.1.3. Several Void Fractions
3.1.4. Several Source Frequencies
3.2. Cavity of Length
3.2.1. Amplitudes in the Cavity
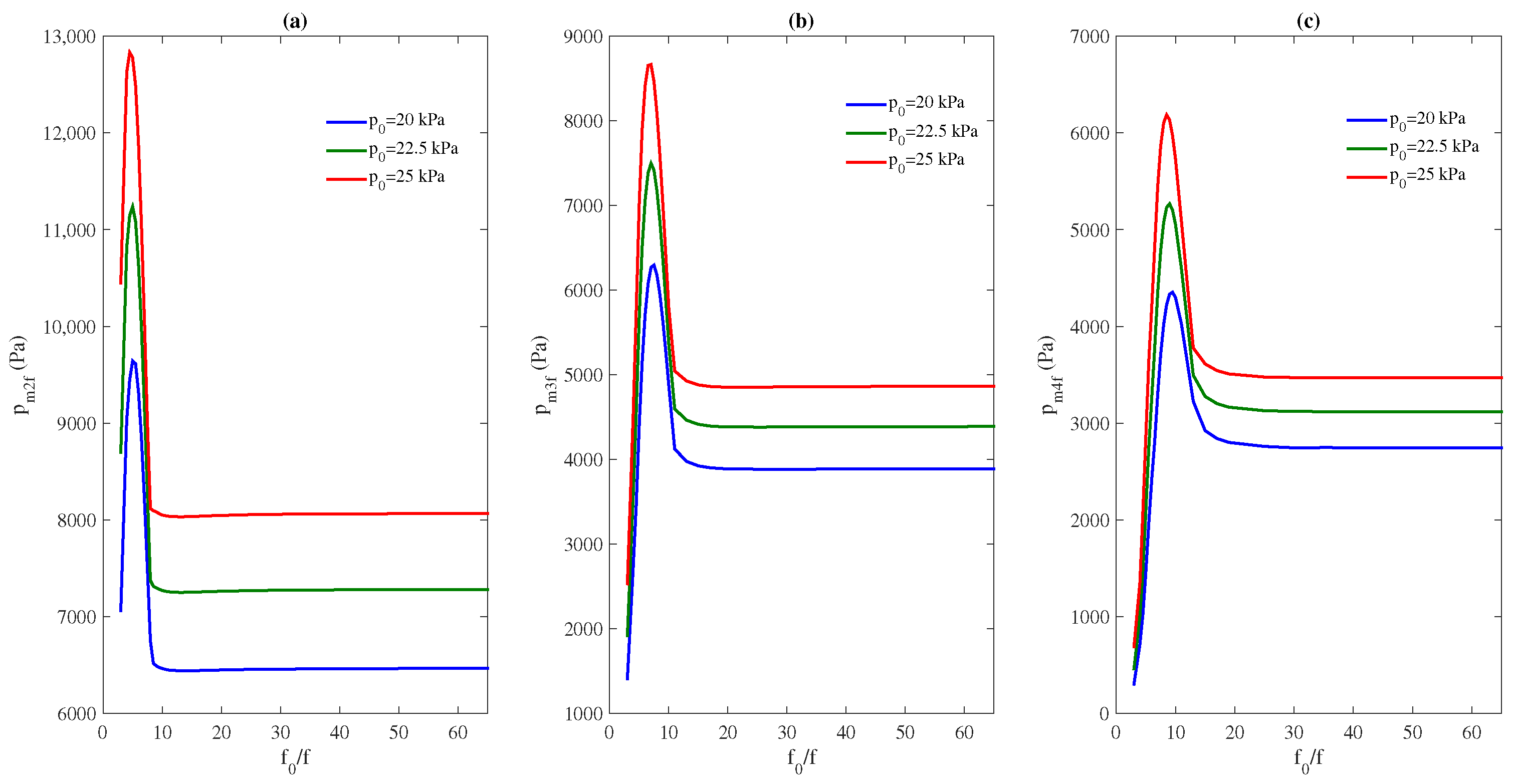
3.2.2. Several Source Amplitudes
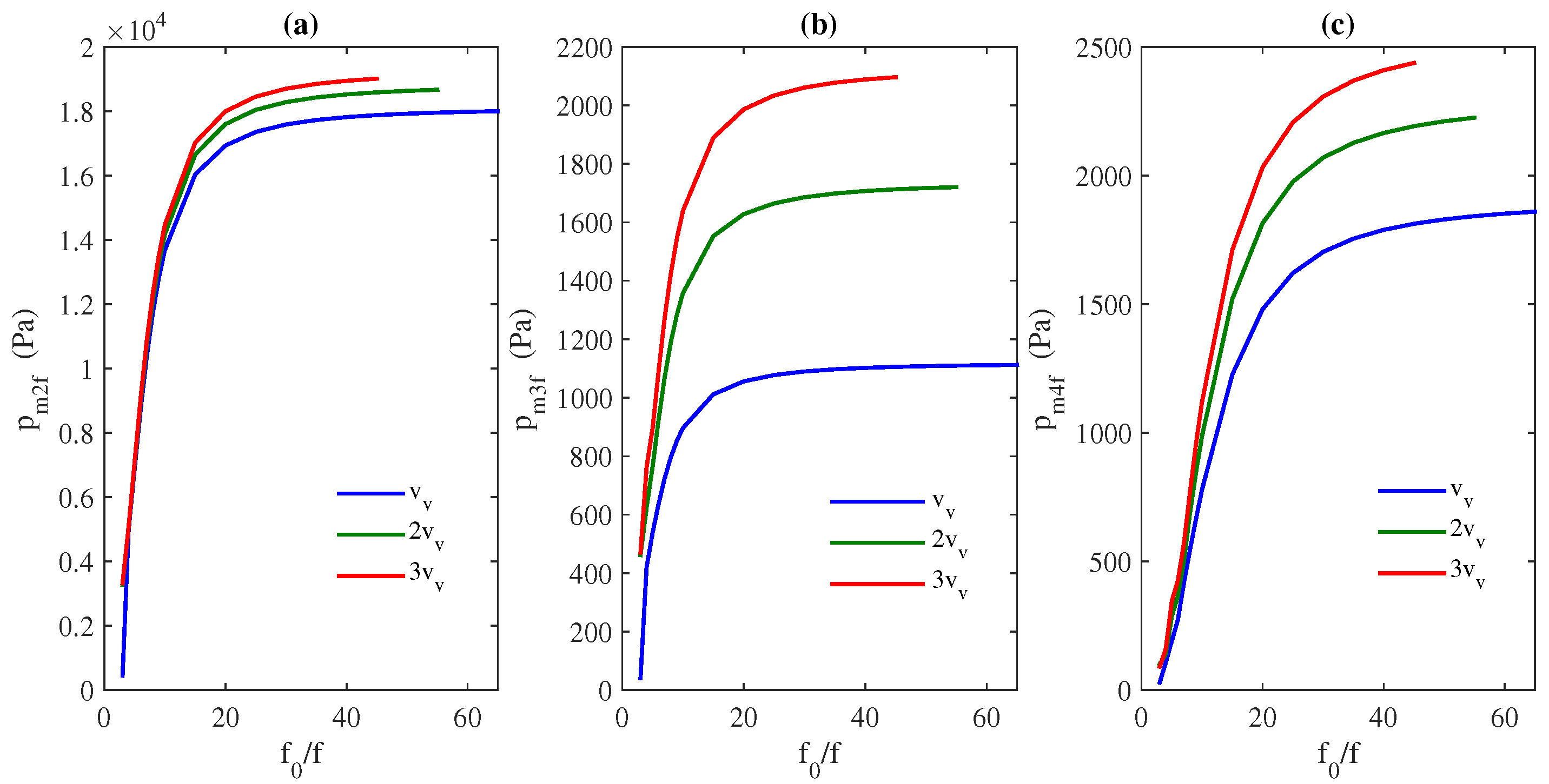
3.2.3. Several Void Fractions
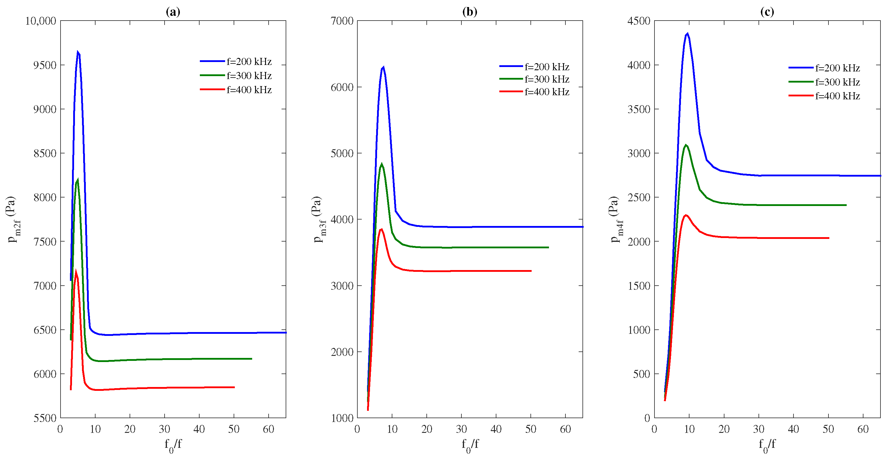
3.2.4. Several Source Frequencies
4. Conclusions
Author Contributions
Funding
Institutional Review Board Statement
Informed Consent Statement
Data Availability Statement
Conflicts of Interest
References
- Hamilton, M.F.; Blackstock, D.T. Nonlinear Acoustics, 1st ed.; Academic Press: San Diego, CA, USA, 1998. [Google Scholar]
- Naugolnykh, K.; Ostrovsky, L. Nonlinear Wave Processes in Acoustics, 1st ed.; Cambridge University Press: Cambridge, MA, USA, 1998. [Google Scholar]
- Sinha, D.N.; Pantea, C. Broadband unidirectional ultrasound propagation using sonic crystal and nonlinear medium. Emerg. Mat. Res. 2013, 2, 117–126. [Google Scholar] [CrossRef]
- Desser, T.S.; Jeffrey, R.B. Tissue harmonic imaging tecniques: Physical principles and clinical aplications. Semin. Ultrasound CT MRI 2001, 22, 1–10. [Google Scholar] [CrossRef] [PubMed]
- Newhouse, V.L.; Mohana Shankar, P. Bubble size measurements using the nonlinear mixing of two frequencies. J. Acoust. Soc. Am. 1984, 75, 1473–1477. [Google Scholar] [CrossRef]
- Buckey, J.C.; Knaus, D.A.; Alvarenga, D.L.; Kenton, M.A.; Magari, P.J. Dual-frequency ultrasound for detecting and sizing bubbles. Acta Astronaut. 2005, 56, 1041–1047. [Google Scholar] [CrossRef] [PubMed]
- Kim, B.-N.; Yoon, S.W. Nonlinear parameter estimation in water-saturated sandy sediment with difference frequency acoustic wave. Ultrasonics 2009, 49, 438–445. [Google Scholar] [CrossRef] [PubMed]
- Westervelt, P.J. Parametric Acoustic Array. J. Acoust. Soc. Am. 1963, 35, 1535–1537. [Google Scholar] [CrossRef]
- Forsberg, F.; Shi, W.T.; Goldberg, B.B. Subharmonic imaging of contrast agents. Ultrasonics 2000, 38, 93–98. [Google Scholar] [PubMed]
- Shankar, P.M.; Krishna, P.D.; Newhouse, V.L. Advantages of Subharmonic over Second Harmonic Backscatter for Contrast-to-Tissue Echo Enhancement. Ultrasound Med. Biol. 1998, 24, 395–399. [Google Scholar] [CrossRef] [PubMed]
- Lombard, O.; Barrière, C.; Leroy, V. Nonlinear multiple scattering of acoustic waves by a layer of bubbles. Europhys. Lett. 2015, 112, 24002. [Google Scholar] [CrossRef]
- Guo, X.; Lin, Z.; Tu, J.; Liang, B.; Cheng, J.; Zhang, D. Modeling and optimization of an acoustic diode based on micro-bubble nonlinearity. J. Acoust. Soc. Am. 2013, 133, 1119–1125. [Google Scholar] [CrossRef] [PubMed]
- Tejedor-Sastre, M.T.; Vanhille, C. A numerical model for the study of the difference frequency generated from nonlinear mixing of standing ultrasonic waves in bubbly liquids. Ultrason. Sonochem. 2017, 34, 881–888. [Google Scholar] [CrossRef] [PubMed]
- Greiser, F.; Choi, P.K.; Enomoto, N.; Harada, H.; Okitsu, K.; Yasui, K. Sonochemistry and the Acoustic Bubble, 1st ed.; Elsevier: Amsterdam, The Netherland, 2015. [Google Scholar]
- Zabolotskaya, E.A.; Soluyan, S.I. Emission of harmonic and combination frequency waves by air bubbles. Soviet. Phys. Acoust. J. 1973, 18, 396–398. [Google Scholar]
- Tiwari, A.; Pantano, C.; Freund, J.B. Growth-and-collapse dynamics of small bubble clusters near a wall. J. Fluid. Mech. 2015, 775, 1–23. [Google Scholar] [CrossRef]
- Sojahrood, A.J.; Haghi, H.; Karshfian, R.; Kolios, M.C. Probing the pressure dependence of sound speed and attenuation in bubbly media: Experimental observations, a theoretical model and numerical calculations. Ultrason. Sonochem. 2023, 95, 106319. [Google Scholar] [CrossRef]
- Louisnard, O. A simple model of ultrasound propagation in a cavitating liquid. Part I: Theory, nonlinear attenuation and traveling wave generation. Ultrason. Sonochem. 2012, 19, 56–65. [Google Scholar] [CrossRef] [PubMed]
- Commander, K.W.; Prosperetti, A. Linear pressure waves in bubbly liquids: Comparison between theory and experiments. J. Acoust. Soc. Am. 1989, 85, 732–746. [Google Scholar] [CrossRef]
- Fuster, D.; Conoir, J.M.; Colonius, T. Effect of direct bubble-bubble interactions on linear-wave propagation in bubbly liquids. Phys. Rev. E 2014, 90, 063010. [Google Scholar]
- Tejedor Sastre, M.T.; Louisnard, O.; Vanhille, C. Generation of subharmonics in acoustic resonators containing bubbly liquids: A numerical study of the excitation threshold and hysteretic behavior. Ultrason. Sonochem. 2022, 88, 1350–4177. [Google Scholar] [CrossRef] [PubMed]








Disclaimer/Publisher’s Note: The statements, opinions and data contained in all publications are solely those of the individual author(s) and contributor(s) and not of MDPI and/or the editor(s). MDPI and/or the editor(s) disclaim responsibility for any injury to people or property resulting from any ideas, methods, instructions or products referred to in the content. |
© 2023 by the authors. Licensee MDPI, Basel, Switzerland. This article is an open access article distributed under the terms and conditions of the Creative Commons Attribution (CC BY) license (https://creativecommons.org/licenses/by/4.0/).
Share and Cite
Tejedor Sastre, M.T.; Vanhille, C. Definition of Bubbly Liquids Parameters for the Optimization of Their Nonlinear Effects on Ultrasound. Appl. Sci. 2023, 13, 3882. https://doi.org/10.3390/app13063882
Tejedor Sastre MT, Vanhille C. Definition of Bubbly Liquids Parameters for the Optimization of Their Nonlinear Effects on Ultrasound. Applied Sciences. 2023; 13(6):3882. https://doi.org/10.3390/app13063882
Chicago/Turabian StyleTejedor Sastre, María Teresa, and Christian Vanhille. 2023. "Definition of Bubbly Liquids Parameters for the Optimization of Their Nonlinear Effects on Ultrasound" Applied Sciences 13, no. 6: 3882. https://doi.org/10.3390/app13063882
APA StyleTejedor Sastre, M. T., & Vanhille, C. (2023). Definition of Bubbly Liquids Parameters for the Optimization of Their Nonlinear Effects on Ultrasound. Applied Sciences, 13(6), 3882. https://doi.org/10.3390/app13063882

