Abstract
Blade extension is an important type of technical transformation to improve the energy production of turbines for early-built wind farms. To evaluate the effects of blade extension on wind turbines, a 1.5 MW commercial wind turbine with three 37.5 m long blades is taken as the research object; the power enhancement and the load variations are systemically evaluated for three different blade extension lengths (1 m, 1.5 m and 2 m) resorting to the software GH-Bladed. The load cases cover all the requirements of the IEC-61400-1 standard. It is found that the optimum tip-speed ratio λopt and the corresponding power coefficient CPmax increase with the blade extension length. The annual energy power production is enhanced by about 3%, 4% and 6% for the extension length of 1 m, 1.5 m and 2 m, respectively. The steady loads and dynamic loads, especially the thrust force of the rotor, the flapwise moment of the blade root and the overturning moment at the tower bottom, are significantly enhanced as the improvement of the power. In particular, the percentage increase of these quantities are over 10% when the extension achieves 2 m. It is also shown that blade extension can produce good economic benefit and the benefit improves with the extension length within the safety margin. The paper provides an important reference for this type of technical transformation.
1. Introduction
In the last decade, the global wind power industry developed rapidly. By the end of 2021, the accumulative installed capacity had reached 837 GW in the world. Thereinto, China’s newly installed wind power capacity has ranked first in the world for 12 consecutive years, with a cumulative installed capacity of 300.15 GW [1]. Among the huge number of wind turbines, more than 60 GW of them have operated for over 10 years. Due to the conservative micro-sitting or immature technology, the power performance of some early-built wind farms is much less than satisfactory. It is also found that, in a large wind power base, the later-built upstream wind farms can significantly reduce the incoming wind speed of the downstream wind farms and decrease their power performance [2,3]. To this end, the technical transformation of the old turbines shows a very good prospect to enhance the economic benefits of the early-built wind farms.
For technical transformation, people can replace or modify the components or systems without changing the foundation and tower to upgrade the turbines’ performance. Generally, many of the components including the turbine blade, pitch system, generator, etc. are involved in the technical transformation. For turbine blades, a host of technical transformation schemes were proposed, such as the blade extension [4,5,6,7,8], vortex generator [9,10,11,12], winglet [13,14,15], etc. Therein, blade extension can directly increase the swept area, and thus increase the energy production of the turbines [4,5,6,7]. Apart from the power enhancement, the load increase due to the blade extension is also extensively concerned. The extension scheme was studied by Huang et al. [4] in the aspect of aerodynamic shape, aerodynamic performance, weight and steady loads. The results indicate that in terms of the technical difficulty and engineering cost, blade tip extension is better than blade root extension to achieve a similar power enhancement. Yang et al. [5] evaluated the loads of a fixed pitch 750 kW wind turbine with blade extension. They found that the newly obtained loads after blade extension are still in the security domain due to the large safety margin of the original design. Meanwhile, a 6.16% increase of annual energy production due to the technical transformation was obtained. Furthermore, the variation of both the ultimate and fatigue loads was analyzed by Jin et al. [6] for a 1.5 MW variable speed wind turbine, and they found that the loads after technical transformation complied with the design requirement and that the annual energy production of a single turbine could increase by about 400,000 kWh. Considering a specific wind farm site, Wang et al. [7] evaluated the blade extension scheme resorting to the software of GH-Bladed. The results indicate that the AEP can be increased by 6.5%, and meanwhile, the loads can well meet the design requirements due to the large safety factor used in the original design. The unsteady aerodynamic loads on the blade were experimentally investigated by Wu et al. [8] to confirm the feasibility of adhesive bonding technology for blade extension. Recently, some demonstration cases were performed, such as the blade extension renovation projects of Goldwind Science & Technology and China Datang corporation.
As is illustrated above, blade extension can significantly enhance the power production of the turbines, and meanwhile induce additional loads for wind turbines. Although people have gained significant knowledge on blade extension of turbines, there is still a lack of systematic load evaluation for wind turbines with different extension lengths and different operating conditions. The main drawbacks are as follows: (i) The turbine models adopted in the previous studies are highly simplified, which is quite different from the realistic turbines operating in wind farms; (ii) Only some typical operating conditions were evaluated, and the lack of assessment considering all design load cases according to the design standard leads to risks for the technical transformation; (iii) There is still a lack of comparative analysis of different extension lengths, and hence the influence of blade extension length on energy production and load variation are not systematically revealed. To address the above issues, the ultimate loads of a realistic commercial 1.5 MW wind turbine with different blade extension lengths are evaluated. All design load cases required by IEC 61400-1 edition 3 were considered. The influence of the extension length on the power performance and loads are analyzed. We hope this study can provide an important reference for the technical transformation of blade extension.
2. Evaluation Method and Transformation Scheme
2.1. Evaluation Method
The aerodynamical–mechanical–electrical control integrated dynamic simulation is the basis of load evaluation for wind turbines. Currently, many software packages for load assessment of wind turbines, such as FOCUS, GH-Bladed, FAST, etc. have been developed. For comparison, GH-Bladed 3.82 software is used in this study to keep consistency with the software version adopted in the original design.
GH-Bladed is an integrated simulation software package developed by Garrad-Hassan company. As an authoritative software for wind turbine design, it was widely used in performance analysis and load evaluation of wind turbines. The aerodynamic loads are calculated based on the blade element momentum theory (BEM), which is the main method for the fast assessment of wind turbine blades. In the momentum theory, the rotor is simplified as an “actuator disk” while in the blade element theory, the blades are divided into a number of blade elements. The aerodynamic loads can be quickly calculated by coupling the momentum theory and the blade element theory. The structure of the blades and tower are assumed to be flexible beams and dynamic analysis is performed based on the model analysis [16]. The empirical models and theoretical methods incorporated in GH-Bladed have been extensively validated against monitored data from a wide range of turbines with different sizes and configurations [17,18]. By now, the software has been widely used by wind turbine design [19,20] and manufacturing enterprises in the world, such as Goldwind, Envision, Mingyang, GE, etc.
The ultimate loads and fatigue loads can be obtained by time series analysis of the load responses. The probability distribution of the 50-year load of wind turbines can be estimated resorting to the statistic extrapolation methods based on the 10 min load samples, and such a method was also used and well verified by Toft et al. [21], Yang et al. [22], etc.
Design load cases are set according to the IEC 61400-1 edition 3 standard [23], which covers all the wind conditions including the normal turbulence model (NTM), extreme turbulence model (ETM), extreme operating gust (EOG), extreme coherent gust with direction change (ECD), extreme wind shear (EWS), extreme wind model (EWM), etc., and the operating conditions including the power production, power production plus occurrence of fault, normal shut down, emergency shut down, idling, etc. The design load cases are shown in Table 1. In this study, the ultimate loads of blade root, hub and tower bottom are mainly focused on. The coordinate systems for different loads are shown in Figure 1.
Table 1.
Design load cases.
Figure 1.
Coordinate systems for different loads: (a) Coordinate system for blade loads; (b) Coordinate system for hub loads; (c) Coordinate system for tower loads.
2.2. Turbine Model and Transformation Scheme
Here, we use the model of a ⅡA 1.5 MW wind turbine to investigate the influence of blade extension on the turbine performance and ultimate loads. The model is obtained from the turbine manufacturing enterprise and is sophisticatedly established in the design procedure. The blade length and hub height of the turbine model are 37.5 m and 61.5 m, respectively. For clarification, the parameters of the wind turbine are shown in Table 2. As can be observed, the electrical losses follow a liner model, where the electrical power output Pe can be calculated by [24]:
where ε is efficiency and L0 is no-load power loss.
Table 2.
Parameters of the 1.5 MW wind turbine.
Considering the technical difficulty and the cost, extension is performed at the tip of the blade. The 0–36 m part of the blade remains unchanged and the left 1.5 m part is extended by 1 m, 1.5 m and 2 m, respectively. The extension part is carefully designed to ensure that the blade shape is smooth. Both the original and modified blades are shown in Figure 2.
Figure 2.
Shape of the original and modified blades.
Due to the extension of the blades, the generator torque-speed curve of the turbine should be adjusted to track the optimal tip-speed ratio. In the original model of the wind turbine (without blade extension), the torques are determined by a look-up table way in GH-Bladed. As is shown in Figure 3, a linear transition is adopted in the phases with minimum or maximum rotational speed. Specifically, in the cut-in phase, generator torque-speed curve is set to linearly increase to the 1200 rpm, and when the generator speed reaches 1600 rpm, the generator torque-speed curve is set to linearly increase to the maximum generator torque. Between the two linear parts of the curve, the wind turbine will track its optimal tip-speed ratio and the generator torques are given by:
where Qd is generator torque, Ω is measured generator speed, and Kopt can be calculated as:
where ρ is air density, R is rotor radius, λopt is the optimal tip-speed ratio, CPmax is power coefficient at the optimal tip-speed ratio, and G is the gearbox ratio. The CP-λ curve can be calculated in the “Performance coefficients” module in GH-Bladed. λopt and CPmax are the values corresponding to the highest point of CP-λ curve. The optimal mode gain Kopt of the wind turbines with different blade lengths is shown in Table 3.
Figure 3.
Generator torque-speed curves for wind turbines with different blade lengths.
Table 3.
Parameters used to track the optimum tip-speed ratio.
3. Steady Power Curve and Operational Loads
3.1. Wind Turbine Performance
The CP-λ curves of turbines with blade extension and the original design are shown in Figure 4. The figure shows that the variation trend of CP-λ curves is consistent. With the increase in blade length, the optimal tip-speed ratio shifts to the right, and the corresponding power coefficient at λopt increases slightly. In the high tip-speed ratio region, CP increases significantly due to the blade extension.
Figure 4.
Variation of CP: (a) CP-λ curve of turbines with different blade lengths; (b) Variation of CPmax with the blade extension length; (c) Variation of λopt with the blade extension length.
Figure 5 shows the CT-λ curves of turbines with different blade extension lengths and the original design. As shown in Figure 4, the thrust coefficient decreases with the blade length.
Figure 5.
CT-λ curve of turbines with different blade lengths.
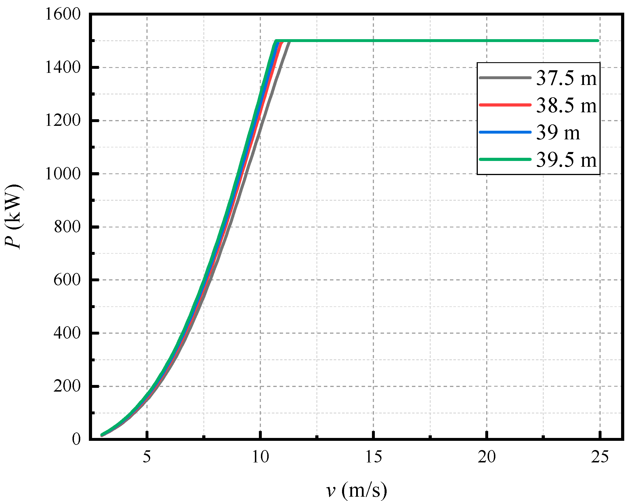
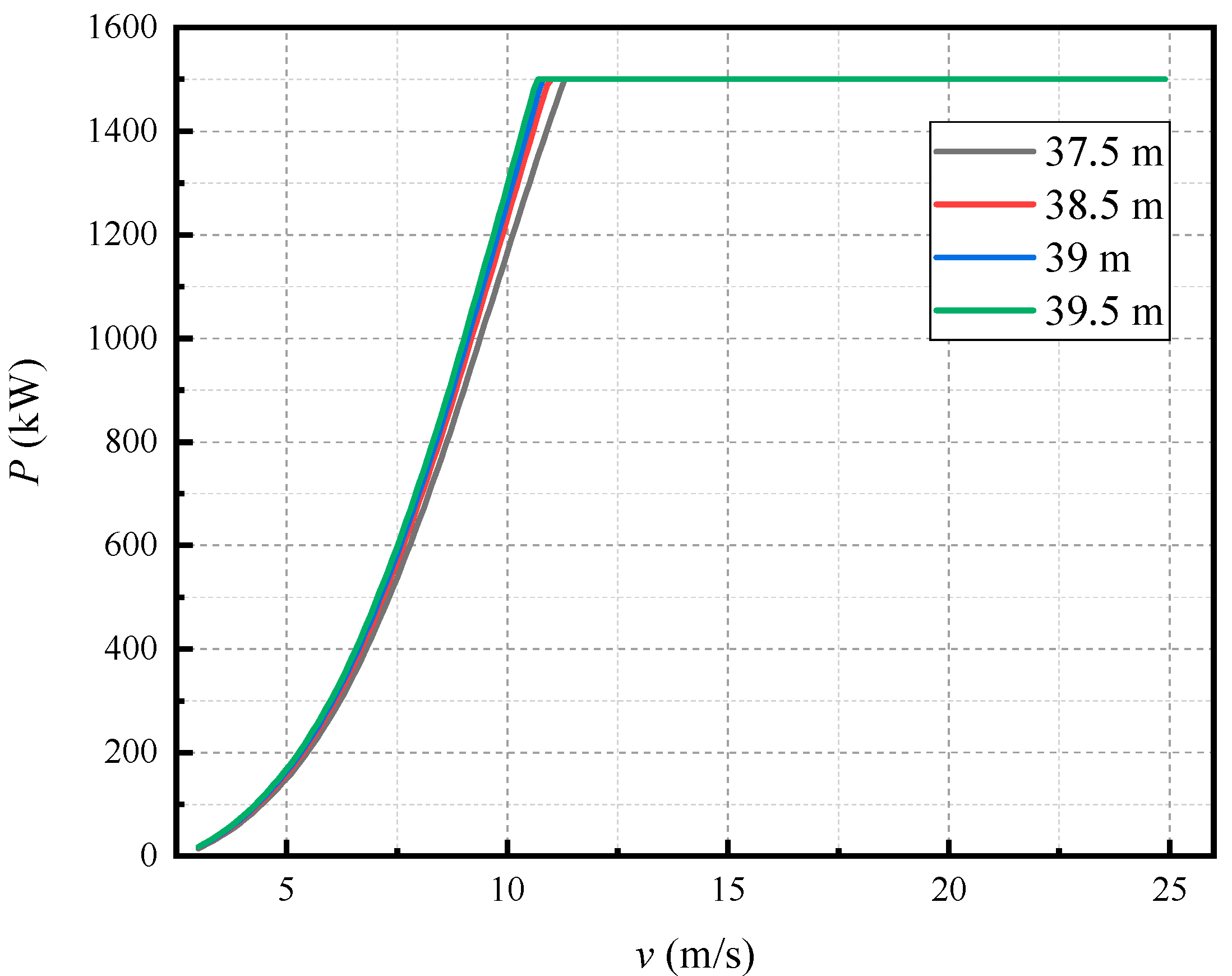
Steady power curves of turbines with blade extension and the original design are shown in Figure 6. The rated power of wind turbines is kept unchanged, but a significant increase in the steady power before rated wind speed is observed due to the blade extension. When the blade is extended by 1 m, 1.5 m and 2 m, the power is increased by about 5%, 8% and 10% under the optimal tip-speed ratio, respectively. Meanwhile, the rated wind speed of blade extension wind turbines is reduced from 11.3 m/s to 11 m/s, 10.8 m/s and 10.7 m/s for the extension length of 1 m, 1.5 m and 2 m, respectively.
Figure 6.
Steady power curves of turbines with different blade lengths.
The theorical annual energy production (AEP) is calculated based on the power curve of wind turbines and wind speed distribution.
where P(V) is power curve, f(V) is the probability density, Vin and Vout correspond to cut-in and cut-out wind speed, and Y is the hours of a year, taken as 8760 h. Here, the wind speed distribution is assumed as the Weibull distribution.
Assuming that the availability is 99%, the annual energy production of wind turbines with different blade length is calculated and shown in Table 4. As shown in the table, the annual energy production of wind turbines is increased by about 3%, 4% and 6% for the extension length of 1 m, 1.5 m and 2 m, respectively.
Table 4.
Annual energy production of turbines with different blade length.
3.2. Steady Operational Loads
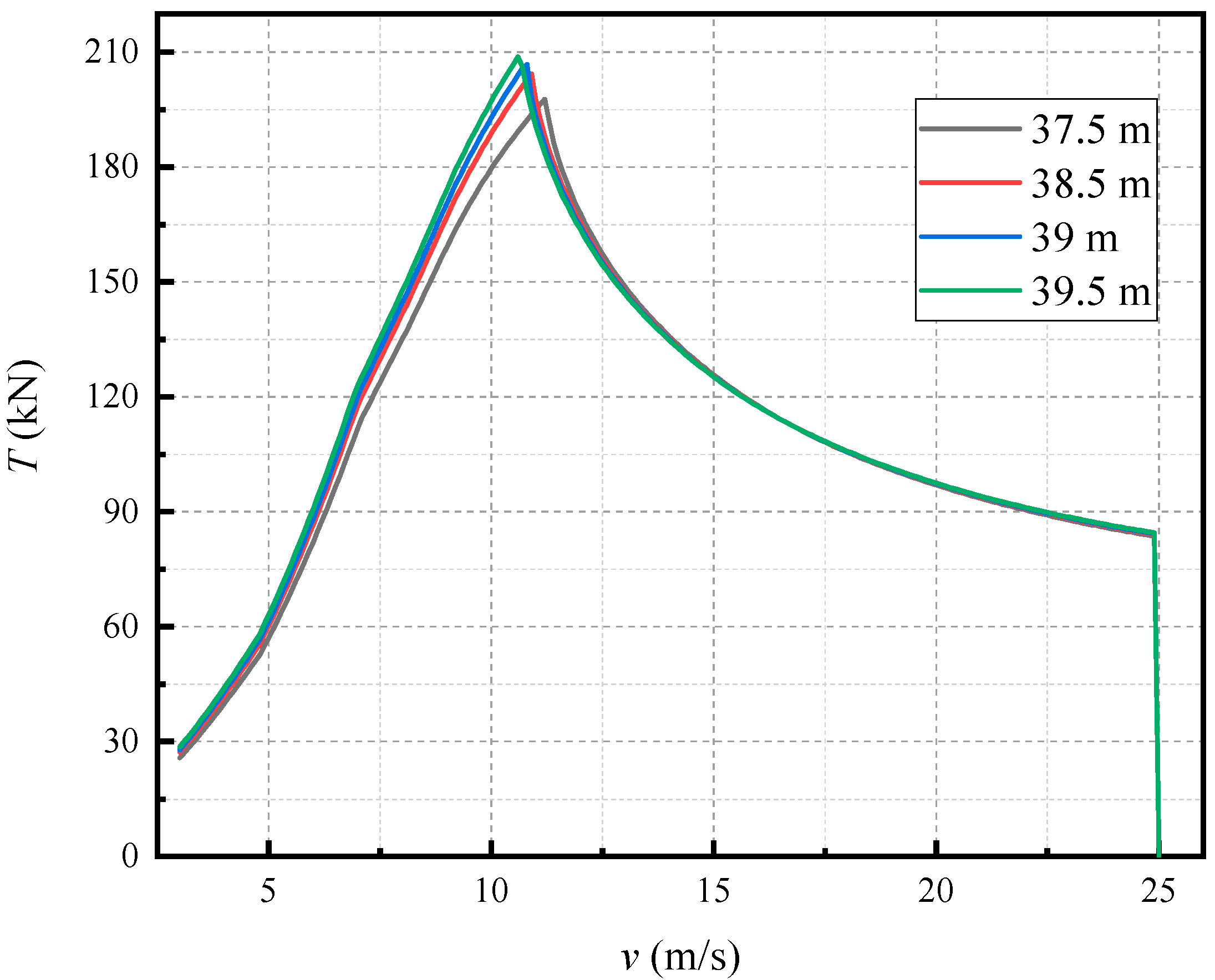
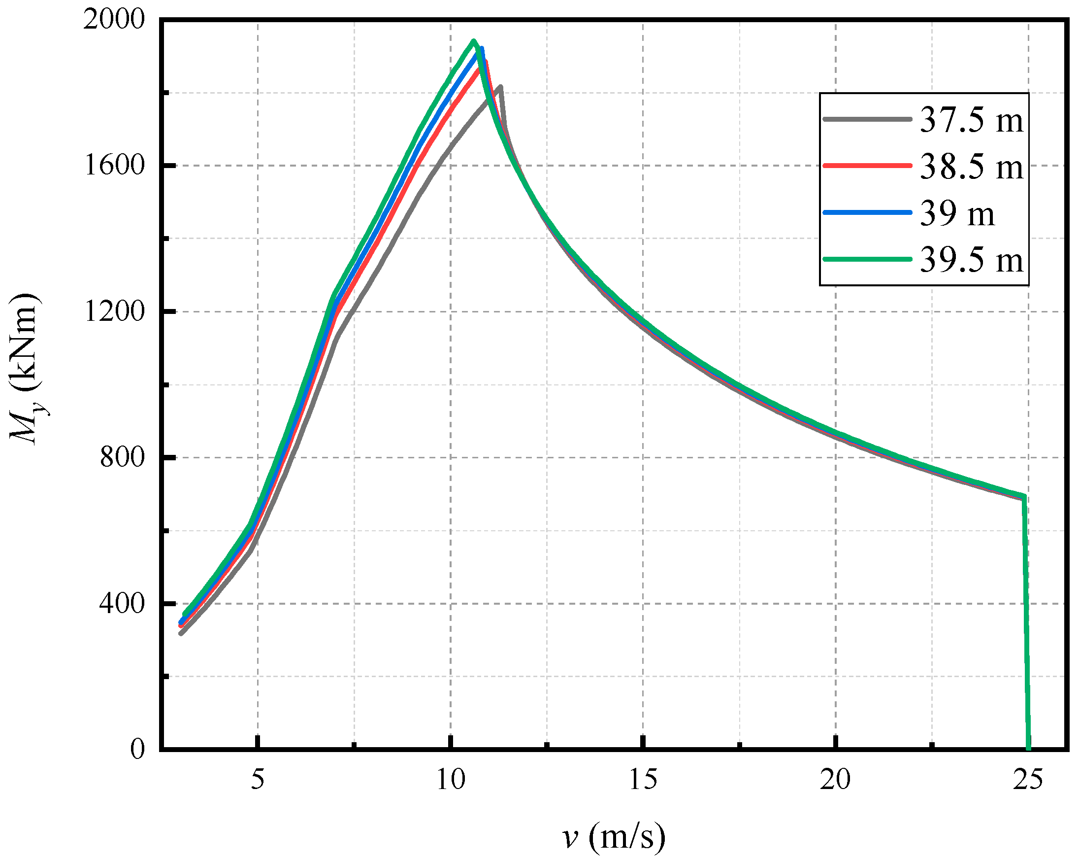
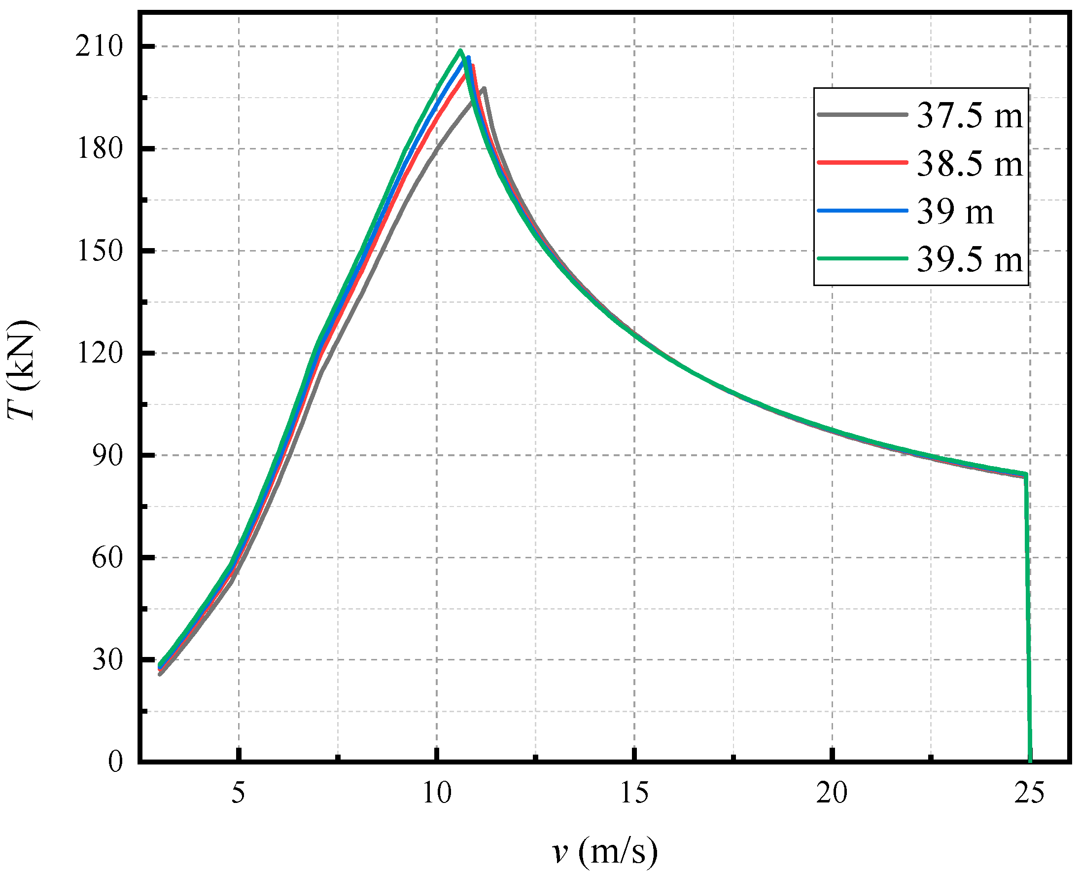
The wind rotor trust T and the blade-bending moment My of turbines with blade extension and the original design are shown in Figure 7 and Figure 8, respectively. Both the loads show a significant increase in the low wind speed region due to the blade extension. The maximum loads appear near the rated wind speed. For more details, the ultimate loads from the steady calculation for the turbines with blade extension and the original design are shown in Table 5. As can be observed, the ultimate loads are significantly increased due to the blade extension. To reveal the increase mechanism, the loads are analyzed under the ultimate conditions.
Figure 7.
Thrust of the wind rotor for turbines with different blade lengths.
Figure 8.
Bending moment of the blade root for turbines with different blade lengths.
Table 5.
Comparison of the steady loads of wind turbines with different blade lengths.
The trust of the wind rotor T can be calculated by:
where Vm is the wind speed corresponding to the maximum thrust force, which is generally around the rated wind speed, CT is trust coefficient and A is swept area. For clarification, the variation of the quantities due to the blade extension are shown in Table 6. As can be observed, the increase percentage of the thrust force is significantly lower than that of the swept area due to the decrease of Vm. In our case, the former percentage is 50~65% of the latter one.
Table 6.
The wind speed and thrust coefficient under the maximum thrust force for different blade lengths. The variation percentage in the parenthesis is calculated based on the turbine with 37.5 m blades as benchmark.
Table 5 shows that after blade extension, the bending moment My of blade root increase significantly due to the increase in the swept area. Theoretically, for a wind turbine with blade extension,
where Fx(r) is the distribution of the trust force along the blade, R0 is the radius of the original wind rotor and R1 is the radius of wind rotor with blade extension. After the blade extension, the bending moment and thrust are increased by ∆My and ∆T, respectively. As shown in Figure 9, the arm of ∆T for the blade root is much larger than the mean arm of T0. As a result, the increase percentage of My on blade root is slightly greater than that of thrust T, and specifically, the former one is about 110~130% of the latter one. It is worth noting that no linear relationship can be observed between AEP and the rotor area.
Figure 9.
Diagram of loads of the wind wheel.
Some other steady loads of the wind turbine are shown in Table 5. Quantitatively, the variation of wind rotor trust is close to that of the thrust of hub and tower bottom and overturning moment of tower bottom. Recall the coordinate system shown in Figure 1 and Figure 9; the thrust of the wind rotor, hub and tower are almost equivalent and hence they have almost the same increase ratio under the same wind conditions. Since the tower height is constant, the variation of overturning moment of tower bottom is similar to that of the thrust of the wind rotor. We can see that the thrust and bending moment at yaw bearing all increase due to the blade extension. In addition, the variation of these loads with blade extension is close to that of the trust of wind rotor. It is also worth noting that the absolute value of the pitch moment Mz at the blade root is slightly increased due to the blade extension, but the increase percentage is rather striking since the pitch moment is rather small compared to the other loads.
The above analysis methods and variation rules for loads and AEP also can be used for the approximation for the blade extension of larger wind turbines. However, in the engineering applications, it is still necessary to carry out the detailed calculation and analysis for the wind turbine.
4. Dynamic Load Evaluations
4.1. Ultimate Loads in Turbulence Wind Condition
Turbulence wind condition includes the normal turbulence model (NTM) and extreme turbulence model (ETM).
For the normal turbulence model (NTM) [23], the longitudinal turbulence standard deviation σ1 at the hub height can be calculated by:
where Iref is the reference turbulence intensity at 15 m/s, Vhub is the average wind speed at the hub height and b is a constant value, equal to 5.6 m/s. The lateral standard deviation σ2 and vertical standard deviation σ3 should satisfy Equations (9) and (10).
For the extreme turbulence model (ETM) [23], the average wind speed is a function of height z, and it can be given by:
The longitudinal turbulence standard deviation is computed as:
where c is a constant value, equal to 2 m/s; Vave is annual average wind speed, which can be determined as:
where Vref is reference wind speed. In this paper, we use the II class wind turbine and the corresponding reference value is 42.5 m/s.
The simulation duration is 600 s. For each wind speed, twelve turbulent wind files are selected for each simulation. The operating conditions including the power production (DLC 1.3 in the IEC 61400-1 standard), power production plus occurrence of fault (DLC 2.1 and DLC 2.2 in IEC 61400-1 standard) and emergency shutdown (DLC 5.1 in IEC 61400-1 standard) are evaluated. The fault and emergency shutdown occur at 10 s after the simulation startup.
The ultimate loads of the blade root with blade extension and the original design in turbulence wind condition are shown in Table 7. As shown in the table, the ultimate loads at blade root all increase after the blade extension, and My shows an obvious increasing trend with the blade extension.
Table 7.
Ultimate loads at blade root.
We can select five load cases which have the highest My at blade root with blade extension and the original design for further analysis, and the corresponding histogram is shown in Figure 10. Similar as the above analysis, an obvious increase in My can be observed due to the blade extension.
Figure 10.
Histogram of My at blade root. (The label of the load case: the first letter refers to wind speed, “d” for 20 m/s and “e” for 25 m/s; the second letter refers to the type of fault and “b” for pitch runaway (blade 1 pitcher towards fine at −8 deg/s); the last number refers to the random seed number).
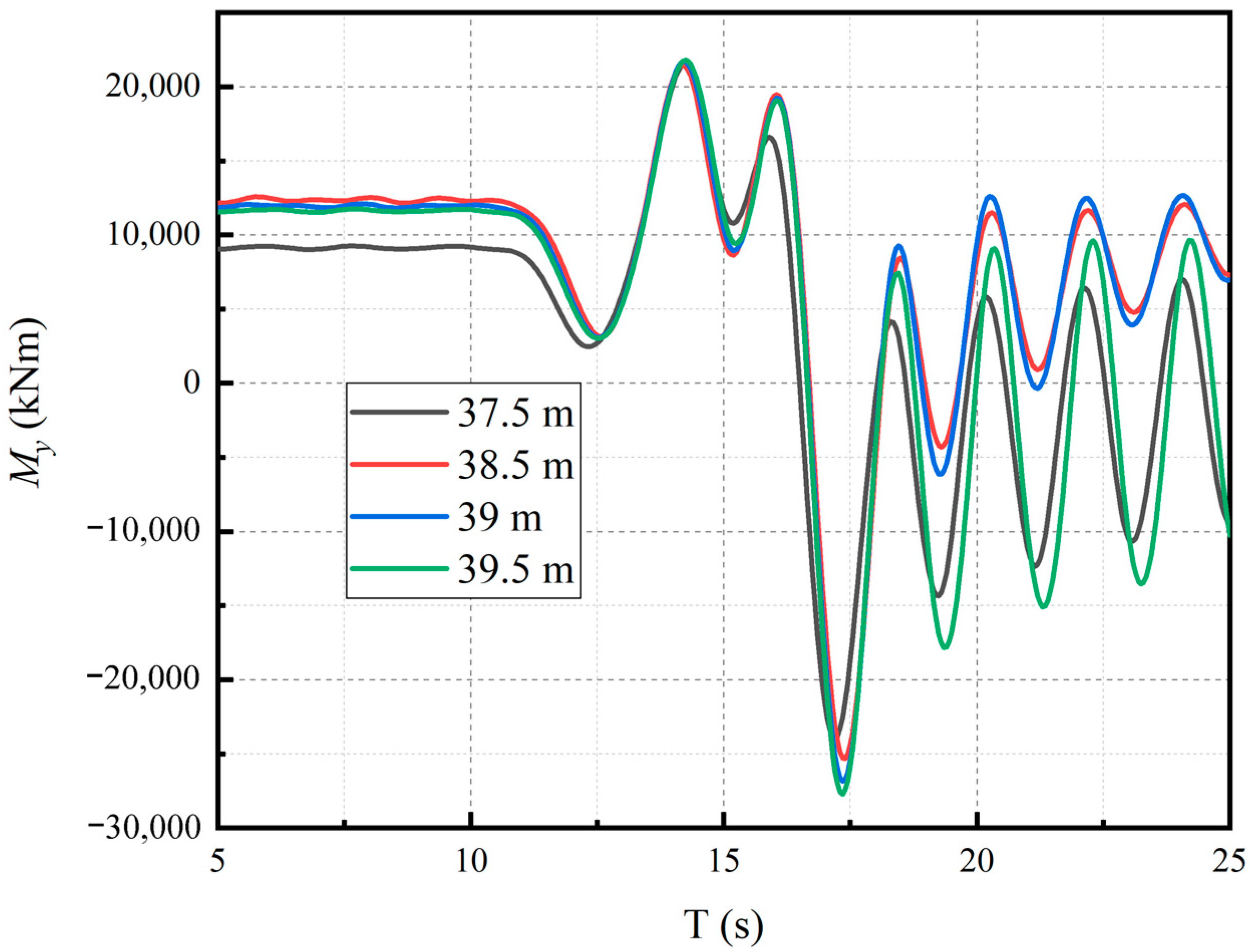
The ultimate loads of My at blade root and the corresponding load cases are shown in Table 8. The table shows that the ultimate loads of My all occur at DLC 2.2, which corresponds to the wind speed of 20 m/s and 25 m/s with the pitching system failure. The corresponding load time series are shown in Figure 11. The load under turbulence shows random fluctuations, but its variation trend is basically the same under the operating conditions. There is a large fluctuation after occurring of the fault, appearing at about 12.5 s, and then the loads tend to diminish and converge.
Table 8.
Ultimate load My at blade root. (The label of the load case: the first letter refers to wind speed, “d” for 20 m/s and “e” for 25 m/s; the second letter refers to the type of fault and “b” for pitch runaway (blade 1 pitcher towards fine at −8 deg/s); the last number refers to the random seed number).
Figure 11.
Load time series of My at blade root.
The ultimate loads of the hub with blade extension and the original design in turbulence wind condition are shown in Table 9. The load under extreme turbulence shows large randomness, but with the increase in blade length, the ultimate load of Mx shows an evident increasing trend.
Table 9.
Ultimate loads at hub.
Similarly, the histogram of five cases with the highest Mx at hub in turbulence wind condition is shown in Figure 12. As shown in the figure, with the increase of blade length, Mx in each group shows an increasing trend. For the blade extension length of 1.5 m and 2 m, the load increases by 7.29% and 11.66%, respectively.
Figure 12.
Histogram of Mx at hub. (The label of the load case: the first letter refers to wind speed and “e” for 25 m/s; the second letter refers to yaw error, “a” for −8 deg, “b” for 0 deg and “c” for 8 deg; the last number refers to the random seed number).
The ultimate load Mx at hub and the corresponding load cases are shown in Table 10. The table shows that the ultimate loads of Mx occur at the wind speed of 25 m/s. The two selected load time series for each load case are shown in Figure 13. The ultimate load of original blade turbine (37.5 m) occurs at about 192 s while the ultimate load of the turbines with blade extension occurs at about 298 s.
Table 10.
Ultimate load Mx at hub. (The label of the load case: the first letter refers to wind speed and “e” for 25 m/s; the second letter refers to yaw error, “a” for −8 deg and “b” for 0 deg; the last number refers to the random seed number).
Figure 13.
Load time series of Mx at hub: (a) 185 s~195 s; (b) 295 s~305 s.
4.2. Ultimate Loads in Gust Wind Condition
Gust wind condition includes extreme coherent gust with direction change (ECD), extreme wind shear (EWS) and extreme operating gust (EOG).
For the extreme coherent gust with direction change (ECD) [23], the magnitude Vcg is 15 m/s. The wind speed should be defined by:
where T = 10 s is the rise time and the wind speed V(z) is given by the normal wind profile model in Equation (11). The rise in wind speed should be assumed to occur simultaneously with the wind direction change θ from 0° up to and including θcg, where the magnitude of θcg is defined by:
Then, the simultaneous direction change is given by:
The extreme wind shear (EWS) [23] includes the vertical shear and the horizontal shear. Transient (positive and negative) vertical shear is defined by:
Transient horizontal shear is defined by:
where α and β are constant values, equal to 0.2 and 6.4 respectively.
For the extreme operating gust (EOG) [23], the hub height gust magnitude Vgust should be given by:
where D is the rotor diameter, Ve1 is the hub-height 1-year extreme mean wind speed, and Λ1 is the turbulence scale parameter, which should be given by:
where z is the height above ground.
The simulation duration is 80 s for ECD wind condition and 60 s for EWS and EOG wind condition. Gust starts at 10 s. The turbine operating conditions include power production (DLC 1.4 and DLC 1.5 in IEC 61400-1 standard), power production plus loss of electrical grid connection (DLC 2.3 in IEC 61400-1 standard) and normal shutdown (DLC 4.2 in IEC 61400-1 standard).
The tower bottom ultimate loads of turbines with blade extension and the original design in gust wind condition are shown in Table 11. The table shows that loads at tower bottom all increase after the blade extension. Among them, the ultimate load of My shows an obvious increasing trend with the blade extension, and the percentage increase of My is 15.43%.
Table 11.
Ultimate loads at tower bottom.
Five load cases which have the highest My at tower bottom of turbines with blade extension are compared with that of the original design, and the histogram is shown in Figure 14. The figure shows that all My in each group have an increasing trend with the blade extension. The ultimate load of My at tower bottom of original blade turbine occurs at the wind speed of 11.5 m/s, while that of blade extension turbines occurs at the wind speed of 13.5 m/s.
Figure 14.
Histogram of My at tower bottom. (The label of the load case: the first letter refers to wind speed, b for 11.5 m/s and c for 13.5 m/s; the second letter refers to yaw error and “a” for −8 deg; the middle number refers to wind direction change and 01 for positive direction change; the last number refers to starting azimuth angle, 01 for 0 deg, 02 for 30 deg, 03 for 60 deg and 04 for 90 deg).
The ultimate loads of My at tower bottom and the corresponding load cases are shown in Table 12 while the load time series are shown in Figure 15. The loads are relatively stable at the beginning, but show a great fluctuation after the gust starts. The ultimate loads appear at about 17.5 s, and the longer the blade, the greater the amplitude of load fluctuation. Then, after the end of gust, the loads gradually converge.
Table 12.
Ultimate load My at tower bottom. (The label of the load case: the first letter refers to wind speed, b for 11.5 m/s and c for 13.5 m/s; the second letter refers to yaw error and “a” for −8 deg; the middle number refers to wind direction change and 01 for positive direction change; the last number refers to starting azimuth angle, 03 for 60 deg and 04 for 90 deg).
Figure 15.
Load time series of My at tower bottom.
The blade root ultimate loads of turbines with blade extension and the original design in gust wind condition are shown in Table 13. The ultimate loads of My show an obviously increasing trend, with the percentage increase of 2.25%, 3.26% and 4.48%. The histogram of five cases with the highest My at blade root is shown in Figure 16 and My values in each group all significantly increase after the blade extension.
Table 13.
Ultimate loads at blade root.
Figure 16.
Histogram of My at blade root. (The label of the load cases: the first letter refers to wind speed, “b” for 11.5 m/s and “c” for 13.5 m/s; the second letter refers to yaw error, “b” for 0 deg and “c” for 8 deg; the middle number refers to wind direction change and 02 for negative direction change; the last number refers to starting azimuth angle, 02 for 30 deg, 03 for 60 deg and 04 for 90 deg).
The ultimate load of My at blade root and the corresponding load cases are shown in Table 14. The ultimate loads all occur at the wind speed of 11.5 m/s, and the number 02 corresponds to negative direction change. The corresponding load time series are shown in Figure 17. As shown in the figure, the amplitude of loads increases during the transient period and the maximum of loads appear at about 14.7 s.
Table 14.
Ultimate load My at blade root. (The label of the load cases: the first letter refers to wind speed and “b” for 11.5 m/s; the second letter refers to yaw error, “c” for 8 deg; the middle number refers to wind direction change and 02 for negative direction change; the last number refers to starting azimuth angle and 03 for 60 deg).
Figure 17.
Load time series of My at blade root.
4.3. Ultimate Loads in All Operating Conditions
In the above sections, the ultimate load variation and dynamic load response under the typical wind conditions including the NTM, ETM, EOG, ECD and EWS were analyzed. The main ultimate loads influenced by the blade extension on the blade root and tower bottom for all the design load cases (DLC) are shown in Table 15 and Table 16. For comparison, the loads for the turbine with different blade extension lengths and the original design are computed. The ultimate loads of blade root and tower bottom show an obvious increase with the blade length. The load increase is higher than 5% after blade extension. In particular, when the blade is extended by 2 m, the loads such as My of the blade root and tower bottom, etc., are increased over 10%.
Table 15.
The main ultimate loads affected by blade extension on the blade root.
Table 16.
The main ultimate loads affected by blade extension on the tower bottom.
Steady loads at blade root and tower bottom are also shown in the tables for comparison. It is found that dynamic loads are generally more affected by the blade extension than the steady loads. The ultimate thrust at the hub for all the design load cases are shown in Table 17, and a similar load increase percentage as that of the blade root and tower bottom can be observed.
Table 17.
The ultimate thrust force at hub.
5. Discussion on the Economic Effect
The economic effect of technological transformation is of high concern. In this section, we will analyze the cost and revenue changes with blade extension.
The cost of the materials, the mold and the blade tip manufacture is approximately evaluated according to engineering experience, as shown in Table 18. Assuming that the annual average wind speed is 8.5 m/s, the annual energy production of wind turbines with different blade lengths is listed in Table 4. The unit price of electricity is set at 0.45 yuan/kWh. According to the cost and revenue in Table 18, the payback period is about 4.25 years, 3.32 years and 2.83 years for the extension lengths of 1 m, 1.5 m and 2 m, respectively. As can be observed, both the costs and revenue increase with the extension length. However, the payback period is shortened with blade lengthening, which indicates that the economy improves with the increase in blade length within the safety margin.
Table 18.
The cost of wind turbines after blade extension.
6. Conclusions
As a potential technical transformation method, blade extension can directly increase the swept area of wind rotors and efficiently enhance the energy production. However, there is still a lack of systematic load evaluation considering all the design load cases for wind turbines. Therefore, we carried out the load evaluation based on a IIA 1.5 MW wind turbine prototype with three different blade extension lengths (1 m, 1.5 m and 2 m) according to the IEC 61400-1 standard. The main conclusions are as follows:
- 1.
- Blade extension can significantly increase the power of wind turbines and decrease the rated wind speed to 11 m/s, 10.8 m/s and 10.7 m/s. With the increase in blade length, the optimum tip-speed ratio λopt and the corresponding power coefficient CPmax slightly increase, while the thrust coefficient CT decreases at the same λ. In addition, a significant increase in the steady loads of trust of wind rotor and bending moment at blade root can be observed.
- 2.
- By assessing the ultimate loads in different wind conditions, including NTM, ETM, EOG, ECD and EWS, and analyzing their load time series, we reveal that the load fluctuation trend is similar in the same wind condition. Wind turbine fault, shutdown and gust can lead to large load fluctuations and the amplitude of fluctuations shows a monotonic increase with the extension length of the blades. The trend of ultimate load variation with the blade extension is similar for different wind conditions.
- 3.
- By evaluating the ultimate loads for all design load cases, we find that the ultimate loads of My and Fx at blade root and tower bottom, and the Mx, My and Myz at the hub all increase significantly after the blade extension. In particular, the percentage increase of these quantities is over 10% when the blade extension achieves 2 m. Compared with the steady operational loads, the dynamic ultimate loads have the same growth trend, but often increase by a larger percentage.
- 4.
- Considering the cost and power generation revenue, the economy improves with the increase in blade length within the safety margin.
In the paper, we assessed the ultimate loads of wind turbines with different blade extension lengths, which can provide an important reference for this type of technical transformation.
Author Contributions
Conceptualization, Y.L. and M.G.; methodology, M.G.; software, X.L.; writing—review and editing, Y.L., X.L., A.C., L.Z. and W.L. All authors have read and agreed to the published version of the manuscript.
Funding
This work was supported by Huaneng Group Headquarters ‘Science and Technology Project’ HNKJ20-H12 Research on “Wind Farm Performance Improvement Technical Improvement Safety Requirements and Evaluation”.
Institutional Review Board Statement
Not applicable.
Informed Consent Statement
Not applicable.
Data Availability Statement
Data is contained within the article.
Conflicts of Interest
The authors declare no conflict of interest.
References
- Lee, J.; Zhao, F. Global Wind Report 2022; GWEC: Brussels, Belgium, 2022; p. 8. [Google Scholar]
- Zhang, H.; Ge, M.W.; Liu, Y.; Yang, X. A new coupled model for the equivalent roughness heights of wind farms. Renew. Energy 2021, 171, 34–46. [Google Scholar] [CrossRef]
- Wang, Q.; Luo, K.; Wu, C.; Zhu, Z.; Fan, J. Mesoscale simulations of a real onshore wind power base in complex terrain: Wind farm wake behavior and power production. Energy 2022, 241, 122873. [Google Scholar] [CrossRef]
- Huang, Y.H.; Yang, R.Z. Analysis and Research on Extended Wind Turbine Blades. Tianjin Sci. Technol. 2019, 46, 36–37+42. (In Chinese) [Google Scholar]
- Yang, J.; Xie, W.; Zhang, W.; Wang, S.F.; Yang, S.S. Evaluation of Blade Root Extension for Fixed Pitch Wind Turbine. Wind Energy 2019, 7, 78–82. (In Chinese) [Google Scholar]
- Jin, X.D.; Hu, G.S.; Zhang, P.; An, Y.; Ma, X.T.; Wang, G.H.; Jin, Y.F. Study on Improving Power Generation Capacity of Wind Turbine by Replacing extension blades. In Proceedings of the 7th China Wind Power Aftermarket Exchange and Cooperation Conference, Wuxi, China, 20 August 2020. (In Chinese). [Google Scholar]
- Wang, H.M.; Zeng, X.G. Analysis of the Feasibility and AEP Improvement of Blade Extension in an In-Service Wind Turbine. Wind. Energy 2021, 06, 72–75. (In Chinese) [Google Scholar]
- Wu, G.; Qin, Z.; Zhang, L.; Yang, K. Strain Response Analysis of Adhesively Bonded Extended Composite Wind Turbine Blade Suffering Unsteady Aerodynamic Loads. Eng. Fail. Anal. 2018, 85, 36–49. [Google Scholar] [CrossRef]
- Timmer, W.A.; Van Rooij, R.P.J.O.M. Summary of the Delft University Wind Turbine Dedicated Airfoils. J. Sol. Energy Eng. 2003, 125, 488–496. [Google Scholar] [CrossRef]
- Fernandez-Gamiz, U.; Zulueta, E.; Boyano, A.; Ansoategui, I.; Uriarte, I. Five MegawattWind Turbine Power Output Improvements by Passive Flow Control Devices. Energies 2017, 10, 742. [Google Scholar] [CrossRef]
- Skrzypiński, W.; Gaunaa, M.; Bak, C. The Effect of Mounting Vortex Generators on the DTU 10MW Reference Wind Turbine Blade. J. Phys. Conf. Ser. 2014, 524, 012034. [Google Scholar] [CrossRef]
- Hu, H.; Li, K.X.; Gu, B. Flow characteristics Study of Wind Turbine Blade with Vortex Generators. Int. J. Aerosp. Eng. 2016, 2016, 6531694. [Google Scholar] [CrossRef]
- Kai, C.H.E.N.; Zhenyu, Z.H.A.N.G.; Tongguang, W.A.N.G. CFD-Based Power Enhancement of Winglets for Horizontal-axis Wind Turbines. Acta Energ. Sol. Sin. 2021, 42, 272–278. (In Chinese) [Google Scholar]
- Nie, X.Q.; Ge, W.P.; Li, J.X.; Li, D. A Numerical Analysis of the Impact of Winglets on the Aerodynamic Performance of Wind Turbine. Electr. Power Sci. Eng. 2020, 36, 58–67. (In Chinese) [Google Scholar]
- Khalafallah, M.G.; Ahmed, A.M.; Emam, M.K. The Effect of Using Winglets to Enhance the Performance of Swept Blades of a Horizontal Axis Wind Turbine. Adv. Mech. Eng. 2019, 11, 1687814019878312. [Google Scholar] [CrossRef]
- Bossanyi, E.A. GH Bladed Theory Manual; Garrad Hassan and Partners Limited: London, UK, 2009; p. 4+13. [Google Scholar]
- Fu, D.Y.; Qin, S.Y. Wind Turbine Design Load Validation Based on Load Measurement. Renew. Energy Resour. 2013, 31, 38–40+44. (In Chinese) [Google Scholar]
- Guo, H.; Li, Z.; Jiang, J.; Guo, T.; Liang, G.; Xing, Z. Time Domain Characteristic Analysis of Wind Turbine Tower Load Based on Imbalanced Fault of Wind Wheel. In Proceedings of the 2020 International Conference on Optoelectronic Materials and Devices (ICOMD), Guangzhou, China, 18–20 December 2020. [Google Scholar]
- Li, J. Study on the Simulation and Optimization of the Large Wind Turbine and Its Key Components. Ph.D. Thesis, Chongqing University, Chongqing, China, 1 March 2011. (In Chinese). [Google Scholar]
- Kim, B.; Kim, W.; Lee, S.; Bae, S.; Lee, Y. Developement and Verification of a Performance Based Optimal Design Software for Wind Turbine Blades. Renew. Energy 2013, 54, 166–172. [Google Scholar] [CrossRef]
- Toft, H.S.; Sørensen, J.D.; Veldkamp, D. Assessment of Load Extrapolation Methods for Wind Turbines. J. Sol. Energy Eng. 2011, 133, 021001. [Google Scholar] [CrossRef]
- Yang, Q.; Li, Y.; Li, T.; Zhou, X.; Huang, G.; Lian, J. Statistical Extrapolation Methods and Empirical Formulae for Estimating Extreme Loads on Operating Wind Turbine Towers. Eng. Struct. 2022, 267, 114667. [Google Scholar] [CrossRef]
- IEC 61400-1, Wind turbines-Part 1: Design Requirements, 3rd ed.; IEC: London, UK, 2005.
- Bossanyi, E.A. GH Bladed User Manual; Garrad Hassan and Partners Limited: London, UK, 2009; p. 40. [Google Scholar]
Disclaimer/Publisher’s Note: The statements, opinions and data contained in all publications are solely those of the individual author(s) and contributor(s) and not of MDPI and/or the editor(s). MDPI and/or the editor(s) disclaim responsibility for any injury to people or property resulting from any ideas, methods, instructions or products referred to in the content. |
© 2023 by the authors. Licensee MDPI, Basel, Switzerland. This article is an open access article distributed under the terms and conditions of the Creative Commons Attribution (CC BY) license (https://creativecommons.org/licenses/by/4.0/).
















