Pattern and Analysis of Corrugation-Sand Retaining Seals for Tooth Wheel Drill Bits
Abstract
1. Introduction
2. New Structure Sealing Theory and Model
2.1. Theoretical Basis
- Velocity distribution.
- 2.
- Volume flow.
- 3.
- Fluid friction.
2.2. Sealing Model
3. Structural Design
3.1. Overall Structure Plan
3.2. Key Structural Parameters and Dimensions
4. Simulation Research
4.1. Simulation Model
4.2. Material Settings
4.3. Contact Settings
4.4. Load Application
- Assembly process.
- 2.
- Fluid load application.

4.5. Results and Analysis
4.5.1. Main Seal
- set,last! selects the final step of the computation iteration
- cmsel,s,pressure! Selects all nodes in the lower half of pressure by name
- cmsel,a,pressure2! Co−select all nodes in the lower half of pressure2 by name
- esln,s,1! Select the element attached to the node
- esel,r,type,,cid1! Reselect only contact elements of type “cid_1”
- etable,estat,cont,stat! Save the list of selected cells
- esel,s,etab,estat,3! select contact section
- etable,c_area,VOLU! Select the contact element area
- ssum! Add area
- get,t_area,ssum,0,item,c_area! Store the result in t_area
- my_area=t_area/4.84! Find the seal gap width and output the result to my_area

4.5.2. Sand Retaining Flap
5. Structural Optimization
5.1. Parametric Modeling
5.2. Optimization Parameters and Goals
- Set the structural parameters to be optimized and mark each parameter as an input parameter according to Table 1.
- Set the optimization target, the optimization target is the leakage of the main seal, the contact gap of the sand flap tip, and the contact pressure of the main seal.
- Set the value range of structural parameters to be optimized, and define the value range of each parameter according to Table 2.
5.3. Optimization Results
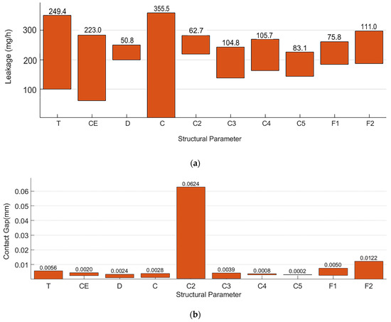
5.3.1. Comparison of the Influence of Various Structural Parameters
5.3.2. The Impact of Important Parameters on Performance
5.3.3. Comparison of Results before and after Optimization
- Comparison of structural parameters.
- 2.
- Stress comparison.
- 3.
- Contact pressure comparison.
- 4.
- Comparison of the contact gap between the tip of the sand retaining flap.
- 5.
- Performance comparison.
6. Conclusions
- Based on the P. W. Wernecke theory, the relevant formula for calculating the leakage of the corrugated main seal is deduced. The main factors affecting the leakage of the special-shaped seal ring are the seal compression state, the pressure difference inside and outside the seal cavity, and the relevant parameters of the main seal sine wave, and the actual model is obtained.
- Determine the compression state of the main seal and the contact gap of the sand retaining flap, and prove that the corrugated special-shaped sand retaining seal meets the design requirements. Calculate the leakage rate and draw the conclusion that the greater the contact width, the greater the leakage rate under the premise of the constant load.
- The main structural parameter that affects the leakage of the main seal and the contact gap between the sand flap tip are obtained. Through the single-factor optimization method, the influence law of each structural parameter on the leakage and the contact gap is obtained, and a set of optimal structural parameter combinations suitable for 8 1/2 inch (215.9 mm) drill bits are obtained, the main seal contact pressure is reduced and the leakage is reduced by 85%; it takes 580 h for the grease to run out; and the contact gap is 0.00019479 mm, a decrease of 95%, the abrasive medium is separated from the main seal components, which can greatly reduce the wear of the main seal.
Author Contributions
Funding
Institutional Review Board Statement
Informed Consent Statement
Data Availability Statement
Conflicts of Interest
References
- Zeng, Z.A. Study on the sealing performance of a new type of high temperature resistant rubber for roller bit. Southwest Pet. Univ. 2019, 6, 37–42. [Google Scholar] [CrossRef]
- Liu, Z. Study on Sealing Performance of W Type Structure of Cone Bit. Petro Chem. Equip. 2018, 21, 95–99. [Google Scholar]
- Day, J.; Yu, J.; Baker, R. Innovative Bearing and Seal Package Improves Rollercone Bit Performance and Reliability. In Proceedings of the SPE Asia Pacific Oil and Gas Conference and Exhibition, Brisbane, QC, Australia, 18–20 October 2010. [Google Scholar] [CrossRef]
- Orazzini, S.; Kasirin, R.; Ferrari, G.; Bertini, A.; Bizzocchi, I.; Ford, R.; Li, Q.; Zhang, M. New HT/HP Technology for Geothermal Application Significantly Increases On-Bottom Drilling Hours. In Proceedings of the IADC/SPE Drilling Conference and Exhibition, San Diego, CA, USA, 6–8 March 2012; p. SPE-150030-MS. [Google Scholar] [CrossRef]
- Wang, B.-Q.; Peng, X.-D.; Meng, X.-K. Thermo-elastic hydrodynamic lubrication model of hydraulic rod O-ring seals under mixed lubrication. Tribol. Int. 2019, 129, 442–458. [Google Scholar] [CrossRef]
- Zhou, Y.; Wang, L.; Huang, Z.Q.; Zhang, F.; Li, G.; Zhang, W.; Zhang, H.; Xu, G.; Yan, Y. W-Shaped Sealing Structure of Roller Cone Bit Bearing. China Patent No. CN105298394A, 2 March 2016. [Google Scholar]
- Xia, Y.; Zhang, H.; Luo, C.; Jin, Y.; Zeng, L. and Yu, H. Sealing Performance Research of DAS Composition Seal Ring. J. Cent. South Univ. (Sci. Technol.) 2017, 48, 91–98. [Google Scholar] [CrossRef]
- Zeng, M.; Zhou, Y.; Ma, Y.C. The Design and Analysis of Roller Cone Bit Bearing Ring. J. Phys. Conf. Ser. 2020, 1624, 042046. [Google Scholar] [CrossRef]
- Li, G.; Kuang, Y.; Zhong, W.; Wei, Q.; Zeng, Z. Research on Sealing Performance of High Temperature Resistant Flat Rubber for Roller Cone Bit. China Pet. Mach. 2020, 48, 37–42. [Google Scholar] [CrossRef]
- Li, Y.Z. The failure reason of “O” type seal ring in the overall test of stratified pressure measurement of water injection wells. Pet. Geol. Oilfield Dev. Daqing 2018, 37, 100–104. [Google Scholar] [CrossRef]
- Li, S.; Pang, M.; Jia, H.; Li, M. Analysis Methods of Radial Force on Rubber Seal Ring. China Rubber Ind. 2012, 59, 232–236. [Google Scholar] [CrossRef]
- Wang, G.; Hu, G.; He, X.; Dong, S.; Chen, B. Sealing Performance Analysis of Y-ring Used on Reciprocating Seal Shift. Mach. Des. Res. 2014, 30, 37–42+46. [Google Scholar] [CrossRef]
- Zhou, Y.; Liu, Y. Newly Structured Design and Finite Element Analysis of Bionic Nonsmooth Surface Sealing Ring of Cone Bit. Adv. Mech. Eng. 2018, 10, 3. [Google Scholar] [CrossRef]
- Liu, J. Simulation analysis of rubber O-ring seal based on ANSYS. Ind. Technol. Innov. 2016, 3, 1088–1090. [Google Scholar] [CrossRef]
- Zhou, Y.; Huang, Z.; An, X.; Tan, J. Failure Analysis and Improvement of High-speed Roller Bit Bearing Bi-metal Seal. Oil Field Equipment 2011, 40, 50–53. [Google Scholar] [CrossRef]
- Xiao, X.; Chen, B.; Sun, C.; Liu, Y.; Xu, Y. Optimization of Bi-metal Seal Structure of High Speed Roller Bit Bearing. China Pet. Mach. 2014, 42, 30–33. [Google Scholar] [CrossRef]
- Ma, Y.; Ni, Y.; Meng, X.; Jiang, J. Thermal-fluid-solid Coupling Model and Performance Analysis of Single Metal Seals in Cone Bits. China Mech. Eng. 2020, 31, 2295–2303. [Google Scholar] [CrossRef]
- Zhang, J.; Yang, H. Mechanical behavior and sealing performance of metal sealing system in roller cone bits. J. Mech. Sci. Technol. 2019, 33, 2855–2862. [Google Scholar] [CrossRef]
- Song, B.; Zou, C.; Sun, K.; Ming, X.; Ren, W. Numerical simulation and optimization of single metal seal of cone bit. Oil Field Equip. 2019, 48, 47–51. [Google Scholar] [CrossRef]
- Zhang, Y.; Chang, X.; Fu, Y.; Wu, Q. Contact analysis and experimental study of single metal seal under drilling conditions. China Mech. Eng. 2018, 29, 262–266. [Google Scholar] [CrossRef]
- Ma, Y.; Chen, Y.; Meng, X. Transient Start-up Dynamics Model and Sealing Performance of Single Metal Seals in Cone Bits. China Mech. Eng. 2022, 33, 777–785. [Google Scholar]
- Zhang, B.S.; Chen, J.Q. A Review on the Research of Single Metal Floating Face Seal. Lubr. Eng. 2008, 33, 99–103. [Google Scholar] [CrossRef]
- Zhang, B.S.; Chen, J.Q.; Liu, Z.Y. Improvement of SEMS2 Single Metal Floating Seal Structure of Cone Bit. China Pet. Mach. 2010, 38, 5–7+47+104. [Google Scholar] [CrossRef]
- Li, B.; Liu, J.; Lu, D.; Wu, M.; Chen, H. Optimization of Single Metal Seal Structure of Cone Bit. Lubr. Eng. 2019, 44, 98–102. [Google Scholar] [CrossRef]
- Zhang, X.D.; Zhou, Q.; Zhang, Y.; Zhu, W.; Yang, T. Effect of Rubber Hardness and Rotating Ring Inclination on Single Metal Sealing Performance. Lubr. Eng. 2015, 40, 35–39. [Google Scholar] [CrossRef]
- Liu, L.X.; Liu, Y.G. Dynamic Seal Design Technology; Standards Press of China: Qinghuangdao, China, 1998. [Google Scholar]
- Cai, Z.Y. Structural Optimization and Fatigue Life Prediction of Reciprocating O-Ring for High Pressure Aviation Actuator. Master’s Thesis, Zhejiang University of Technology, Hangzhou, China, 2019. [Google Scholar]
- Zhou, Y.; Huang, Z.Q.; Li, Q.; Peng, S.J. Finite Element Analysis of High—Speed Roller Bit Bearing Bi-metal Seal. Sci. Technol. Inf. 2011, 359, 423–424+433. [Google Scholar]
- Zhou, Y.; Tang, Y.; Jiang, Y.; Hu, J.H.; Huang, Y. Fluid-solid coupling simulation and tests of combined spiral seal for high-speed cone bit. Acta Pet. Sin. 2022, 43, 558–570. [Google Scholar] [CrossRef]













| Seal Form | Sealing Medium | Stretching Rate/% | Compression Rate/% |
|---|---|---|---|
| Static seal | Hydraulic oil | 1.03~1.04 | 15~25 |
| Air | <1.01 | 15~25 | |
| Reciprocating seal | Hydraulic oil | 1.02 | 12~17 |
| Air | <1.01 | 12~17 | |
| Rotating sealed | Hydraulic oil | 1 | 5~10 |
| Structure | Size | Name | Initial Value | Value Ranges |
|---|---|---|---|---|
| Main seal | Internal diameter margin | C | 0.15 mm | 0.1–1 mm |
| Main seal | Diameter | D | 5.7 mm | 4.5–7 mm |
| Main seal | Highlighting matrix height | CE | 1.5 mm | 0.5–2.8 mm |
| Matrix | Thickness | T | 4 mm | 3–6 mm |
| Sand flap | Inner diameter margin | C2 | 0.15 mm | 0.1–1 mm |
| Sand flap | Tip and bearing angle | F1 | 25° | 20–30° |
| Sand flap | Tip angle | F2 | 35° | 30–45° |
| Cone groove | Inner diameter interference | C3 | 2.5 mm | 1.7–3.4 mm |
| Cone groove | Upper and lower margin | C4 | 0.1 mm | 0–0.5 mm |
| Cone groove | Lower end reserved gap | C5 | 2 mm | 2–4 mm |
| Sketch | Name | Meaning | Call |
|---|---|---|---|
| MainSeal | C | Main seal inner diameter margin | ANS_C@MainSeal |
| MainSeal | D | Main seal diameter | ANS_D@MainSeal |
| SealBody | CE | Height of main seal protruding matrix | ANS_CE@SealBody |
| SealBody | T | Matrix thickness | ANS_Thickness@SealBody |
| SealBody | C2 | Inner diameter margin of sand flap | ANS_C2@SealBody |
| SealBody | F1 | Angle between tip and bearing | ANS_F1@SealBody |
| SealBody | F2 | Angle of sand retaining flap tip | ANS_F2@SealBody |
| Cone | C3 | Interference amount of groove inner diameter | ANS_C3@Cone |
| Cone | C4 | Upper and lower margin of the groove | ANS_C4@Cone |
| Cone | C5 | Extension length of groove bottom | ANS_C5@Cone |
| Parameter | T | C | CE | C3 | C2 | F2 | F1 |
|---|---|---|---|---|---|---|---|
| Before optimization | 4.0 mm | 0.1 mm | 1.5 mm | 1.2 mm | 0.15 mm | 35° | 25° |
| Optimized | 5.5 mm | 0.4 mm | 2.7 mm | 1.3 mm | 0.4 mm | 45° | 20° |
| Performance | Maximum Stress of Sealing Ring | Contact Pressure of Main Seal | Contact Width of Main Seal | Main Seal Bearing | Main Seal Leakage | Sand Retaining Flap Tip Contact Gap |
|---|---|---|---|---|---|---|
| Not optimized | 7.774 MPa | 19.213 MPa | 2.45 mm | 550.3 N | 282.79 mg/h | 0.0039343 mm |
| Optimized | 4.526 MPa | 14.742 MPa | 0.86 mm | 499.2 N | 43.10 mg/h | 0.00019479 mm |
Disclaimer/Publisher’s Note: The statements, opinions and data contained in all publications are solely those of the individual author(s) and contributor(s) and not of MDPI and/or the editor(s). MDPI and/or the editor(s) disclaim responsibility for any injury to people or property resulting from any ideas, methods, instructions or products referred to in the content. |
© 2023 by the authors. Licensee MDPI, Basel, Switzerland. This article is an open access article distributed under the terms and conditions of the Creative Commons Attribution (CC BY) license (https://creativecommons.org/licenses/by/4.0/).
Share and Cite
Zhou, Y.; Zhang, W. Pattern and Analysis of Corrugation-Sand Retaining Seals for Tooth Wheel Drill Bits. Appl. Sci. 2023, 13, 3458. https://doi.org/10.3390/app13063458
Zhou Y, Zhang W. Pattern and Analysis of Corrugation-Sand Retaining Seals for Tooth Wheel Drill Bits. Applied Sciences. 2023; 13(6):3458. https://doi.org/10.3390/app13063458
Chicago/Turabian StyleZhou, Yi, and Wan Zhang. 2023. "Pattern and Analysis of Corrugation-Sand Retaining Seals for Tooth Wheel Drill Bits" Applied Sciences 13, no. 6: 3458. https://doi.org/10.3390/app13063458
APA StyleZhou, Y., & Zhang, W. (2023). Pattern and Analysis of Corrugation-Sand Retaining Seals for Tooth Wheel Drill Bits. Applied Sciences, 13(6), 3458. https://doi.org/10.3390/app13063458
