Next Article in Journal
Effects of Configuration Mode on the Light-Response Characteristics and Dry Matter Accumulation of Cotton under Jujube–Cotton Intercropping
Previous Article in Journal
CFSR: Coarse-to-Fine High-Speed Motion Scene Reconstruction with Region-Adaptive-Based Spike Distinction
 
 
Font Type:
Arial Georgia Verdana
Font Size:
Aa Aa Aa
Line Spacing:
Column Width:
Background:
Article

Deterioration of Mechanical Properties of Axial Compression Concrete Columns with Corroded Stirrups Coupling on Load and Chloride

1
College of Civil Science and Engineering, Yangzhou University, Yangzhou 225127, China
2
Jiangsu Water Conservancy Science Research Institute, Yangzhou 225002, China
*
Author to whom correspondence should be addressed.
Appl. Sci. 2023, 13(4), 2423; https://doi.org/10.3390/app13042423
Submission received: 27 December 2022 / Revised: 3 February 2023 / Accepted: 6 February 2023 / Published: 13 February 2023
(This article belongs to the Section Civil Engineering)

Abstract

:
To research the deterioration of the mechanical properties of stirrup-corroded concrete columns under the effect of load and chloride, accelerated corrosion and load carrying capacity tests were carried out on concrete columns subjected to long-term axial loading by means of dry and wet cycles with extra electric currents. The test results showed that under the effect of axial load and chloride, the corrosion-induced cracks of stirrup-corroded concrete columns mainly developed along the direction of the longitudinal reinforcing steel bars (cracks along longitudinal reinforcing steel bars caused by corrosion) and there were almost no corrosion-induced cracks along the direction of the corroded stirrups. The length and maximum width of the corrosion-induced cracks increased with the stirrup corrosion rate, but the average width of the corrosion-induced cracks did not change significantly. After the stirrup-corroded column reached the ultimate load, the concrete cover spalled off in pieces along the corrosion-induced cracks and loading cracks, the core concrete was crushed, and the test column produced obvious brittle failure. With the increase in the corrosion rate of stirrups, the stiffness and ultimate bearing capacity of the column decreased. Considering factors such as damage to the column section caused by stirrup corrosion, the decrease in the lateral restraint effect of the corroded stirrup on the longitudinal reinforcing steel bars, and buckling of the longitudinal reinforcing steel bars, the ultimate bearing capacity prediction model of the short column subjected to axial compression due to stirrup corrosion was established. The calculated values of the model were in good agreement with the measured values, indicating the model has good applicability.

1. Introduction

Many scholars have studied the corrosion of reinforced concrete columns in chloride environments [1]. Earlier studies focused on the degradation of the mechanical properties of concrete columns with reinforcing steel bar corrosion. For example, Uomoto et al. [2] found through a large number of tests on corroded columns that the impact of corrosion level on the ultimate strength of the compression column was significantly greater than that on the ultimate strength of the steel bar itself. The decreased effective section and strength of the steel bar as well as the damage to the concrete column section caused by corrosion are the key factors that reduce the bearing capacity of the corroded concrete column. Tapan [3,4] and Niu et al. [5] used the rapid corrosion method of applied extra electric currents to study the performance degradation of corroded reinforced concrete columns, such as stiffness, ductility, and bearing capacity. The results showed that the ductility and bearing capacity of the column decreased with increasing steel corrosion rate. Zhou [6] and Zhang et al. [7,8] established a calculation model for the bearing capacity of eccentrically loaded columns by comprehensively considering the reduction of the section area and changes in mechanical properties caused by the corrosion of longitudinal bars, the geometric damage of the section caused by corrosion-induced cracks, and the reduction in bond strength after corrosion of longitudinal bars. In addition, Xia [9], Wang et al. [10,11,12], and many other scholars have studied the evolution of the mechanical performance of concrete columns in chloride environments with the degree of steel corrosion, reaching similar conclusions. However, these studies mainly focused on the changes in the mechanical properties of columns caused by longitudinal bar corrosion, without considering the effects of long-term loading and stirrup corrosion, which are somewhat different from the working conditions of the structure in service and thus cannot fully reflect the characteristics of the mechanical property degradation of concrete columns.
Subsequently, some researchers have carried out studies investigating the force performance of corroded columns considering the loading factors. Yuan et al. [13] studied the effects of the corrosion of reinforcing steel bars and repeated axial loading on the seismic performance of a column pier. The results indicated that corrosion has significant influences on the yield strength and bearing capacity of a column. Yuan et al. [14] studied the characteristics of stress redistribution and performance degradation in the cross-section of axial compression columns after corrosion of the longitudinal main reinforcing steel bars on one side of the column under constant compressive stress. Diao [15] carried out experimental research on load-bearing reinforced concrete-biased members under the alternating effects of mixed erosion and freeze-thaw, concluding that the continuous load proportion and environmental effects had accelerated effects on the reduction of bearing capacity, stiffness deterioration, and crack development in biased columns. Dario De Domenico et al. [16] performed bearing capacity tests and numerical simulations of PC bridge decks considering the corrosion of prestressed steel bars. In addition, the creep performance and bearing capacity calculation method of concrete columns under the action of load and environment have been reported in the literature [17,18]. However, there is relatively little research and reported results on the changes in mechanical properties of corroded concrete columns under loading. Thus, further in-depth studies are required.
In terms of the influence of stirrup corrosion on the mechanical performance of concrete columns, Jiang [19] and Wu [20] studied the compression and buckling behavior of longitudinal reinforcing steel bars after stirrup corrosion, finding that the buckling of longitudinal reinforcing steel bars was also an important reason for the reduction of bearing capacity. Liu et al. [21,22] conducted experimental research on the uniaxial compression of corroded concrete columns with stirrups and proposed a constitutive model of bearing capacity, but the model did not consider the influence of concrete section damage and buckling of longitudinal reinforcing steel bars. Chen [23], Li [24], and others have studied the mechanism of bearing capacity degradation of stirrup-corroded concrete columns, showing that the restraint effect of stirrups can improve the bearing capacity of concrete in the core area and that the restraint effect weakens with increasing stirrup corrosion rate. The cracks and section damage of concrete cover caused by stirrup corrosion are the main reasons for the decline in bearing capacity. It should be noted that the influence of corroded stirrups on column bearing capacity was considered in the above study, but the influence of load was not considered. In practical engineering, reinforcing steel bar corrosion occurs when concrete columns are subjected to loads. The combined action of load and corrosion may accelerate the deterioration of structural properties. In addition, the existing research has found that the corrosion degree of stirrups is more serious than that of longitudinal reinforcing steel bars [25,26], especially, stirrups at the junction with longitudinal reinforcing steel bars may even be corroded and broken. The concrete cover of stirrups is thinner than that of longitudinal reinforcing steel bars, thus they are more likely to be corroded. When stirrups are corroded, the decreased mechanical properties, reduced bond strength with concrete, and cracking of concrete cover will reduce the constraints of the stirrup on the concrete and longitudinal reinforcing steel bars in the core area, thus reducing the mechanical properties of the concrete column. Therefore, it is very important to research the degradation of the mechanical properties of concrete columns after stirrup corrosion. Considering the coupling effect of axial load and chloride, this paper conducted an experimental study investigating accelerated corrosion and bearing capacity of axial compression concrete short columns and analyzed the distribution of corrosion-induced cracks, the development process of cracks, the decay law of mechanical properties, and the mechanism of failure of stirrup-corroded columns under axial load. On this basis, the damage degree parameter was introduced to fully consider the concrete section damage caused by corroded stirrups and buckling characteristics of longitudinal bars under compression and the bearing capacity prediction model of axial compression concrete columns with corroded stirrups was established, providing a reference for the durability evaluation of concrete structures in service in chloride environments.

2. Experimental

2.1. Materials Used

Ordinary Portland cement was used with a compressive strength of 42.5 Mpa, medium coarse sand as the fine aggregate, and 16 mm maximum size gravel as the coarse aggregate. The proportions of the concrete mixture are shown in Table 1. The axial compressive strength of the concrete was measured on a 150 mm cubic specimen, and the 28-day axial compressive strength was approximately 29.7 Mpa. The main reinforcing steel bars in the column were composed of HRB400 steel bar with a measured yield strength of 453 MPa, ultimate strength of 585 MPa, and elongation after fracture of 26%.

2.2. Specimen Design and Preparation

With the stirrup corrosion rate set as variable, four kinds of axial compression reinforced concrete columns with 0%, 5%, 10%, and 15% corrosion rates were designed and manufactured, each with one specimen, and the corresponding column numbers were GZ0, GZ5, GZ10, and GZ15, respectively. The column section size was 180 mm × 180 mm × 800 mm. The diameter of the main reinforcing steel bars of the test column was 22 mm and the thickness of the concrete cover was 30 mm. The stirrups were evenly arranged along the main reinforcing steel bars with a diameter of 8 mm and spacing of 100 mm. See Figure 1 for details.
The axial load was applied by means of prestressing. During the casting process, a 32 mm diameter prestressing pipe was reserved in the middle of the specimen and a steel mat (steel plate size 120 mm × 120 mm × 10 mm) was placed at each of the two ends of the specimen to prevent local compressive damage to the concrete at the end during application of the continuous load. In order to accurately determine the mass corrosion rate of the reinforcing steel bars after corrosion, the stirrups and longitudinal bars were weighed using an electronic scale with an accuracy of 0.01 g, and their masses were recorded before the cage was tied. Because the test focused on the influence of stirrup corrosion on the mechanical properties of the axially compressed column, only the stirrups were accelerated by electric current. When tying the reinforcing steel bars, the intersection of the main reinforcing steel bars and stirrups was insulated with insulating tape and tied with plastic ties to protect the main reinforcing steel bars from corrosion due to extra electric current (no protection on the surface of the main reinforcing steel bars). Afterwards, the stirrups were connected in series with wires, and the connection between the wires and stirrups was sealed with epoxy resin to prevent the wires from being damaged during the concrete pouring process and corrosion due to the extra electric current. The column was removed from the mold after 24 h, sprinkled with water, and maintained for 28 d, after which a long-term continuous load was applied.

2.3. Loading and Accelerating Corrosion

A continuous load was applied to the test concrete column by means of prestressing. The load level was taken as 30% of the theoretical ultimate bearing capacity of the axially stressed concrete column. The theoretical ultimate bearing capacity of the axially stressed column was calculated to be 1445 kN; therefore, the preload size at a 30% load level was 434 kN. The loading site is shown in Figure 2.
A “wet and dry cycle with constant current” accelerated corrosion method was applied to a reinforced concrete column subjected to a long-term axial load to realize the coupling effect of load and chloride. The accelerated corrosion device is shown in Figure 3. The target corrosion stirrups were the stirrups in the middle of the column within 500 mm, so a stainless steel net and absorbent sponge were wrapped around the middle of the column, and the outside of the column was covered with a plastic sheet to keep the moisture in the sponge. The positive terminal of the power supply was connected to the concrete’s internal proposed corrosion stirrups and the negative terminal was connected to the stainless steel net. After the target corrosion area was fully wetted with an absorbent sponge filled with 5% NaCl solution, the “wet and dry cycle with constant current” test was initiated. The wet and dry cycle was 12 days, with a ratio of 1:1, meaning 6 days dry to 6 days wet. In the dry phase, the average temperature was approximately 15 °C and the average relative humidity was about 70%. Energizing was maintained in the wet phase, but the sponge was removed and energizing was stopped in the dry phase. The corrosion current density used to achieve accelerated corrosion was i = 0.2 mA/cm2 and the surface area of the corroded reinforcing steel bars was the sum of the surface area of the stirrups to be corroded, which was calculated to be 0.18 A for each test column. According to the expected theoretical stirrup corrosion rate, ρ = 5%, 10%, and 15%, the corresponding on-power time was 367, 734, and 1101 h calculated by Faraday’s corrosion law and the dry and wet cycle time was 30.6, 61.2, and 91.8 days, respectively. The accelerated corrosion tests were completed after the energizing time was reached.

2.4. Loading Test

The bearing capacity test of stirrup-corroded axial compression concrete columns was carried out on YAJ-5000 microcomputer-controlled loading testing equipment, as shown in Figure 4. After the specimen was fixed on the loading testing equipment, horizontal and vertical resistance strain gauges were attached to the middle of the two opposite sides of the test column to measure the axial compression and lateral expansion strains on the surface of the concrete column. Meanwhile, a micrometer was erected in the middle of the other two opposite sides to keep collecting data in case the resistance strain gauges stopped working. The instrumentation was arranged as shown in Figure 5. The axial load and total column deformation data were automatically collected and recorded by the computer and the strain gauge data were collected by a Donghua 3815 N static strain tester.
The test was carried out by means of equal stress loading. Each load level was 50 KN and the loading rate was 2 KN/s. When the ultimate load was approached, each load level was 25 KN and the duration of each load level was not less than 15 min. During the loading process, the displacement, strain, cracks, and other relevant data were recorded. When the load on the test column could not continue to increase, the test column was considered to be damaged.

3. Result and Discussion

3.1. Determination of Actual Corrosion Rate

After failure of the column, the corroded reinforcing steel bars and stirrups in the column were removed to observe the condition of the corroded surfaces. It was found that the stirrups were severely corroded and deformed. As shown in Figure 6a, the stirrups were nearly uniformly corroded under the condition of accelerated corrosion by current. The main reinforcing steel bars were also slightly corroded because they lacked protection. The main reinforcing steel bars were insulated from the stirrups and the corrosion of the main reinforcing steel bars was not affected by the electric current; however, chloride ions could still reach the surface of the main reinforcing steel bars through the concrete pores during the dry and wet cycle, which led to natural corrosion of the main reinforcing steel bars. The corrosion of the main reinforcing steel bars indicated a certain non-uniformity under the conditions of natural corrosion, since the corrosion near the concrete cover was more serious while corrosion far away from the concrete cover was relatively light. After pickling, we could see that the surface was covered with small pits, but no big pits, as shown in Figure 6b. The corrosion morphology of the stirrups and main reinforcing steel bars was treated as uniform for the convenience of calculation. By observing the surface corrosion of the stirrups and main reinforcing steel bars, it was found that the degree of corrosion of the same section was different and the corrosion of steel bars on the side of the concrete cover was more serious. In addition, the corrosion was non-uniform along the length of the steel bars, as some sections had serious corrosion while some sections had mild corrosion. Due to the non-uniformity of the steel corrosion, the average corrosion rate calculated by the weight loss method was used to indicate the degree of corrosion of the steel bars. The stirrups and main reinforcing steel bars were cleaned with 12% hydrochloric acid. The average corrosion rate results are shown in Table 2. ρ mr , th and ρ vc , th are the theoretical corrosion rates of the main reinforcing steel bars and stirrups, respectively; and ρ mr , ex and ρ vc , ex are the average measured corrosion rates of the main reinforcing steel bars and stirrups, respectively. As can be seen from Table 2, the measured corrosion rate of each column stirrup was close to the theoretical corrosion rate, and the corrosion rate of the main reinforcing steel bars was less than 3%. It was previously shown in ref. [27] that when the corrosion rate of the main reinforcing steel bars was less than 3%, the effect on the mechanical properties of the test column was not significant. Therefore, the effect of main reinforcing steel bar corrosion on the mechanical properties of the test column could be ignored.

3.2. Corrosion-Induced Cracks Analysis

Each surface of the stirrup-corroded column is expanded in Figure 7. The distribution of corrosion-induced cracks and physical diagrams of the three stirrup-corroded columns under the coupling of axial load and chloride are given in Figure 8.
As can be seen from Figure 8, the number of corrosion-induced cracks, the width of the cracks, and the degree of spillage of corrosion produced on different surfaces of the same column varied, with some surfaces having more corrosion products and corrosion-induced cracks but some surfaces even having none. Overall, with the increasing stirrup corrosion rate, the corrosion-induced cracks on the column surface gradually increased and the corrosion-induced cracks mainly developed along the direction of the longitudinal reinforcing steel bars (cracks along longitudinal reinforcing steel bars caused by corrosion). In addition, there were almost no transverse corrosion-induced cracks along the direction of the severely corroded stirrups, which differed from the conclusion that stirrup corrosion under no load conditions mainly produced transverse corrosion-induced cracks [27]. This was because under the coupled action of load and chloride, the corrosion-induced expansion force caused by corroded stirrups was in the opposite direction to the axial compression, and the compression counteracted the corrosion-induced expansion force caused by the corroded stirrups. Thus, no transverse corrosion-induced cracks appeared along the direction of the stirrups. The corrosion-induced cracks formed along the direction of the main reinforcing steel bars, which may have been due to the following reasons: firstly, the long-term axial compressive load caused the column to produce transverse expansion, and the transverse expansion stress was in the same direction as the corrosion-induced expansion force caused by the main reinforcing steel bars corrosion. Secondly, the main reinforcing steel bars produced slight corrosion and there was a certain corrosion-induced expansion stress. Thirdly, the corrosion products of the stirrups partially penetrated into the concrete around the main reinforcing steel bars through the internal void of the concrete and the corrosion products increased as a result of the superposition of several influencing factors, which led to the development of corrosion-induced cracks that extended along the direction of the main reinforcing steel bars. From the above analysis, it can be seen that the load effect was the main factor affecting the distribution of corrosion-induced cracks.
In addition, the process and development of corrosion-induced cracks were mainly manifested in two cracking forms: the cracking of the concrete cover on one side and the cracking of the concrete cover on both sides. Corrosion-induced cracks mainly manifested as single-sided cracking along the main reinforcing steel bars when the stirrup corrosion rate was low. As the corrosion rate of the stirrups increased, more corrosion products penetrated into the main reinforcing steel bars and double-sided cracking gradually occurred. Thus, corrosion-induced cracks appeared on both adjacent surfaces of the same longitudinal reinforcing steel bars.

3.3. The Length and Width of Corrosion-Induced Cracks

The total length, maximum, and average width of the corrosion-induced cracks for each corroded column were counted, as shown in Table 3. As can be seen from Table 3, the total length and maximum width of cracks increased with the corrosion rate of stirrups under the coupling effect of load and chloride, but the average width of cracks (between 0.228~0.258 mm) did not change significantly. This is because the increasing reinforcing steel bar corrosion rate generated new corrosion-induced cracks that were smaller in width, which reduced the average crack width of the whole column and resulted in no significant change in the average crack width of concrete columns with large corrosion rates.

3.4. Failure Process and Form of Columns

Figure 9 shows physical diagrams of the uncorroded and stirrup-corroded axial compression columns when they reached the failure stage. During the loading process, it was found that the failure process and failure form of the uncorroded and corroded columns were not exactly the same. At the beginning of loading, the load displacement of the uncorroded column with stirrups increased in a certain proportion, and there was no obvious change in the external surface of the compressed column. When the ultimate load was nearly reached, the vertical loading cracks extended from the end of the column to the middle. After exceeding the ultimate load, the cracks on the surface of the column developed rapidly, part of the concrete cover of the concrete flaked off, and the core concrete was crushed while the whole test column was damaged. During the damage stage, the stirrups were deformed in tension and the longitudinal bars between the stirrups were locally flexed, with the flexion length being the length of the stirrup spacing without crossing more stirrups, indicating that the stirrups played an effective restraining role on the longitudinal bars and the strength of the longitudinal bars was fully utilized.
For the stirrup-corroded columns, the width of the original corrosion-induced cracks on the surface of each corrosion column increased with the load. When the ultimate load was nearly reached, new vertical loading cracks appeared at the end of each corroded column one after another and penetrated with some of the corrosion-induced cracks. When the ultimate bearing capacity of each corroded column was reached, the width of the corrosion-induced cracks and the loading cracks on the surface of the column developed rapidly, and the concrete cover spalled off in pieces along the corrosion-induced cracks and the newly developed loading cracks. The higher the stirrup corrosion rate, the more serious the spalling of the concrete cover. Eventually, the concrete in the core area was crushed, resulting in obvious brittle damage to the test column. When the column reached the failure stage, the stirrups were severely deformed in tension and the longitudinal bars were deformed in flexure across several stirrups, which did not form an effective restraint on the longitudinal bars and the strength of the longitudinal bars could not be fully utilized. After the concrete cover of each corroded column was peeled off, red corrosion products (Fe2O3) and some black corrosion products (Fe3O4) were clearly observed attached between the core concrete and concrete cover. These corrosion products caused delamination of the concrete cover and core concrete. Under the action of axial pressure, due to the Poisson effect, the concrete cover withdrew from the work in advance. The effective bearing of the cross-sectional area of the test column was reduced, which decreased the load bearing capacity. In conclusion, the influence of stirrup corrosion on concrete section damage, longitudinal reinforcement buckling, and reduction of core concrete restraint should be considered when analyzing the bearing capacity of corroded reinforced concrete columns.

3.5. Load-Longitudinal Displacement Curves

Figure 10 shows the measured axial load-longitudinal displacement (N-Δ) curves of the test columns with different stirrup corrosion levels. As can be seen from the figure, the load longitudinal displacement curves of the uncorroded column and the stirrup-corroded column at the beginning of the loading period varied according to the linear law, and the test column was in the elastic working stage. As the load increased, the load longitudinal displacement (N-Δ) curves of the column with a high stirrup corrosion rate deviated from the straight line earlier and entered the elastic-plastic working stage. When the ultimate load was reached, the longitudinal displacement of the stirrup-corroded column was smaller than that of the uncorroded column, which indicated that the ductility of the column decreased after the stirrups corroded. In addition, with increasing stirrup corrosion rate, the longitudinal compression deformation of the column under the same level of load increased, the slope of the load-longitudinal displacement (N-Δ) curve decreased, and the stiffness of the column decreased.

3.6. Stress-Strain Curves

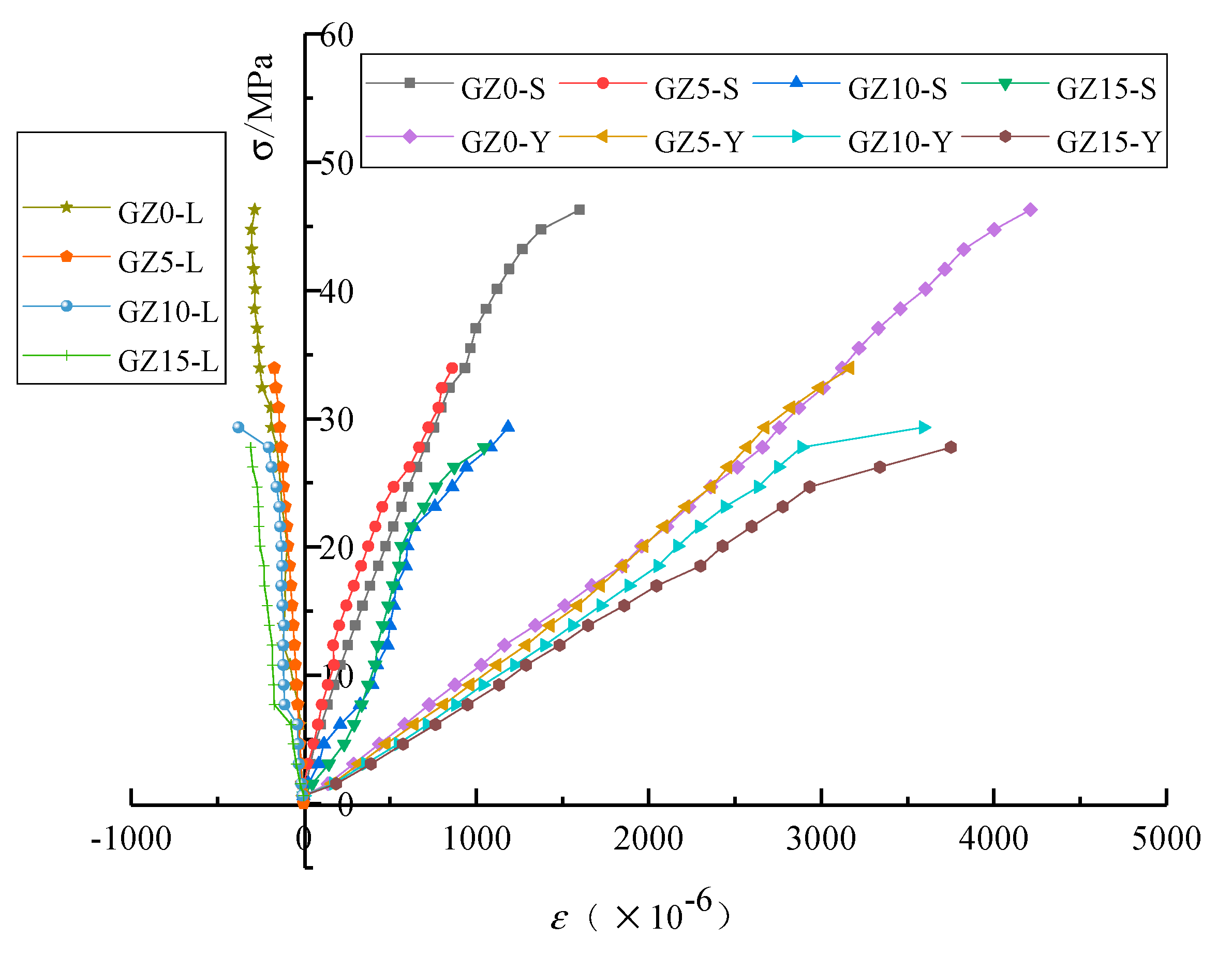
The load-longitudinal displacement (N-Δ) curves at each end of the column under axial compression were converted to σ-ε curves and plotted on the same graph as the longitudinal and transverse stress-strain curves measured at the column surface, as shown in Figure 11. The left side of the graph shows the transverse strain at the column surface (indicated by the letter L in the graph), while the right side shows the longitudinal strain at the two ends of the column (indicated by the letter Y in the graph) and at the surface of the column (indicated by the letter S in the graph) respectively. The longitudinal strains at the two ends of the column represent the overall compression strain of the compressed column, converted from the longitudinal displacement obtained by the loading testing machine. The strains at the surface of the column reflect the longitudinal deformation in the area of the concrete cover, measured by the resistance strain gauges.
As can be seen from Figure 11, under the axial load, the longitudinal strain on the surface of both uncorroded and stirrup-corroded columns was greater than the transverse strain, and the average Poisson’s ratio for each column was 0.27 (GZ0), 0.27 (GZ5), 0.24 (GZ10), and 0.39 (GZ15), respectively. The Poisson’s ratio did not change much for the uncorroded columns and columns with an actual stirrup corrosion rate of less than 9.26%. However, for column GZ15 with an actual stirrup corrosion rate of 12.57%, the lateral strain grew faster than that of the other corroded columns and the Poisson’s ratio increased significantly, indicating that the lateral restraint effect on the column was significantly reduced when the stirrups were seriously corroded. Comparing the stress-longitudinal strain curves of the column ends and column surfaces in Figure 11, it can be seen that during the axial compression process, the strain in the concrete cover area of both the uncorroded and corroded column surfaces was smaller than the compressive strain of the whole column at both ends, and the deformation of both was not synchronized under the same load, indicating that the load on the concrete cover was smaller than that on the core area of the concrete. In addition, the slope of the stress-strain curve decreased with increasing corrosion rate after the actual stirrup corrosion rate was greater than 4.95% for both column ends and column surfaces, and the ability of the column to resist deformation decreased.

3.7. Ultimate Bearing Capacity

Table 4 gives the ultimate bearing capacity test results for each test column. From Table 4, it can be seen that with the increasing stirrup corrosion rate, the ultimate bearing capacity of the axial compression columns decreased. When the measured stirrup corrosion rate was 4.95%, the ultimate bearing capacity of the stirrup-corroded column decreased faster, and the decrease reaching 26.7%. Subsequently, the ultimate bearing capacity decreased slowly with increasing stirrup corrosion rate. When the stirrup corrosion rate was 12.57%, the ultimate bearing capacity decreased by 40% compared to that of the uncorroded column. It can be seen that the rate of reduction in ultimate bearing capacity was related to the corrosion rate of the stirrups, with more severe damage to the section of the test column occurring at a higher corrosion rate of the stirrups. Therefore, when predicting the ultimate bearing capacity of stirrup-corroded columns, the influence of the stirrup corrosion level and the damage level of the column section on the ultimate bearing capacity should be considered.

4. Predictive Model for Bearing Capacity of Columns with Stirrup Corrosion

The ultimate bearing capacity of axial compression columns with stirrup corrosion was mainly borne by both the damaged concrete section and the compressed longitudinal reinforcing steel bars; therefore, the bearing capacity prediction model can be expressed as:
N uc = N c + N sc
where Nuc is the ultimate bearing capacity of a short axial compression column with stirrup corrosion; Nc is the axial compression on damaged concrete sections; and Nsc is the axial compression on compressed longitudinal bars.

4.1. Axial Bearing Capacity of Damaged Concrete Sections

The corrosion of stirrups will cause damage to the section of the compressed column, especially to the peripheral section of the stirrups. According to the deterioration phenomenon of the test column after accelerated corrosion and damage during the bearing capacity test, it can be assumed that the bearing capacity section area of the rectangular stirrup-restrained concrete column consists of Ac1 and Ac2. (See more details in Figure 12). Ac1 is the constrained area and Ac2 is the concrete cover cracking area caused by corrosion. The depth of the cracking area reached the inner side of the main reinforcing steel bars.
The lateral deformation was restrained by the rectangular stirrups. The rectangular stirrups were subjected to bending and tension action in the range of the straight section, so they had little constraint effect on the concrete, while the constraint reaction near the corner was stronger, which increased the strength of the concrete in the core restraint area Ac1 [28,29]. However, when the stirrups were corroded, the diameter of the stirrups became thinner and the tensile and flexural stiffness decreased. When the stirrups were subjected to axial pressure, the circumferential deformation increased with the increasing degree of corrosion. In addition, the corrosion products on the surface of the stirrups played a lubricating role between the stirrups and the concrete, thus reducing the bonding property. The corners of the corroded stirrups were easily pulled apart, which reduced the constraint ability of the core concrete. In addition, there was a stronger restraining effect on the concrete in the plane in which the corroded stirrups were located, while there was less restraining effect on the concrete between two adjacent stirrups. All of these factors reduced the effect of the corroded stirrups on the strength improvement of the core concrete. Therefore, in the prediction model of the bearing capacity of axial compression columns with stirrup corrosion, the effect of stirrup corrosion on the increase in the strength of the core concrete was not considered. Instead, the concrete strength in the core restraint area Ac1 was still used as the concrete axial compressive strength.
In the concrete cover cracking area (Ac2), the test column surface was divided into several sub-areas with corrosion-induced cracks, thus destroying the integrity of the area and resulting in damage to the test column section that decreased the ultimate bearing capacity. The damage level of the concrete cover cracking area was related to the area of corrosion cracking, with more serious damage occurring in larger areas of corrosion cracking. Therefore, the damage degree parameter λ   c was introduced and defined as the ratio of the crack area Ac to the column surface area A:
λ   c = A c A
where: A c = W ave × l c , Wave is the average width of the corrosion-induced cracks on the column surface and lc is the total length of the corrosion-induced cracks on the column surface. The size of the damage λ   c can be calculated based on the average width and total length of the cracks,
The decay factor Kc is defined as the ratio of the ultimate compressive load of a corroded column Nuc to the ultimate compressive load of an intact uncorroded column Nu0:
K   c = N uc N u 0
where Kc is a dimensionless parameter. It was observed that stirrup corrosion did not lead to concrete expansion and cracking in the core restraint area; therefore, the effect of corrosion on the core concrete bearing capacity can be ignored and ultimate bearing capacity degradation is considered to be mainly caused by damage in the cracked area of the concrete cover. Therefore, Kc can describe the degradation of the ultimate bearing capacity in the cracked area of the concrete cover.
The decay factor Kc is related to the damage level λ c in the cracked area of the concrete cover and the curve of Kc- λ c is given in Figure 13, from which it can be seen that Kc decreased with increased λ c and decreased faster in the early stage than in the later stage.
Fitting the test data in Figure 13 gave the relationship between the decay factor and the damage level in the cracked area of the concrete cover.
K c = 285335 λ c 2 672.05 λ c + 0.9895
The fitted decay factor in Equation (4) had R2 = 0.9846, indicating a good fit. It can be used to describe the degree of degradation of the ultimate bearing capacity in the concrete cover cracking area. Therefore, the axial load borne by the concrete section in a stirrup- corroded axial compression column can be expressed as:
N c = A c 1 f c + K   c A c 2 f c
where Ac1 is the concrete cross-sectional area in the core restraint area; Ac2 is the net concrete cross-sectional area in the concrete cover cracking area; fc is the concrete axial compressive strength; and Kc is the bearing capacity decay factor in the concrete cover cracking area.

4.2. Buckling Bearing Capacity of Longitudinal Reinforcing Steel Bars

After stirrups corrosion, in addition to the core concrete restraint being reduced, the lateral restraint of the longitudinal reinforcing steel bars is weakened at the same time, resulting in flexural damage to the longitudinal reinforcing steel bars before reaching the yield strength. The longitudinal tendons will have an axial tensile effect on the corroded stirrups when flexural deformation occurs. Accordingly, the corroded stirrups have a lateral restraint reaction on the longitudinal tendons, similar to the spring restraint, so the corroded stirrups arranged along the column height will be modeled as multiple springs of variable stiffness acting on the longitudinal tendons, as shown in Figure 14 (the letter S is the stirrup spacing in the figure). The compression and flexure deformation of the longitudinal reinforcement is related to the degree of stirrup corrosion (when the compression and flexure deformation curve of the longitudinal reinforcement spans n-1 stirrup, it is called the n-order flexural mode). The more serious the corrosion of the stirrup, the weaker the lateral restraint effect of the stirrup on the longitudinal reinforcement, the more the longitudinal reinforcement spans in compression and flexure length, and the compression and flexure mode of the longitudinal reinforcement may jump from first order to second order or higher order (Figure 14).
A previous study [19] investigated the bearing capacity of longitudinal bars after stirrup corrosion under different compression and flexure modes, establishing the relationship between the compression and flexure modes of longitudinal bars after stirrup corrosion through compression and flexure tests on reinforcing steel bars with different diameters, lengths, and corrosion rates.
N s c = [ 0.9606 0.007 n s d 0.0002 ( n s d ) 2 ] f y A S
where N s c is the flexural bearing capacity of the longitudinal bars after stirrup corrosion; n is the compression-flexion modulus order; s is the stirrup spacing; d is the stirrup diameter before corrosion; f y is the yield strength of the longitudinal bars before corrosion; and A s is the cross-sectional area of the longitudinal bars before corrosion.
The resulting model for predicting the bearing capacity of axial compression columns with stirrup corrosion can be expressed as:
N uc = φ { A c 1 f c + K   c A c 2 f c + [ 0.9606 0.007 n s d 0.0002 ( n s d ) 2 ] f y A S }
where φ is the reliability adjustment factor [30], taken as 0.9.

4.3. Validation by Model

In order to verify the applicability of the bearing capacity prediction model for stirrup-corroded axial compression columns given in this paper, a comparison of the model calculation results with the measured results is given in Table 5.
As seen in Table 5, the ratio of the model results to the test results ranged from 0.9153–0.9933, with the mean value of the ratio being 0.9707. The model predictions were in good agreement with the measured results and were on the safe side, showing that it is feasible to apply this model to the analysis of the bearing capacity degradation law of stirrup- corroded axial compression members.

5. Conclusions

(1)
The load has a certain influence on the direction, width, and pattern of cracks in stirrup-corroded columns. The corrosion-induced cracks mainly developed along the direction of the longitudinal reinforcing steel bars (cracks along longitudinal reinforcing steel bars caused by corrosion) under the coupling effect of axial load and chloride, and there were almost no transverse corrosion-induced cracks along the corroded stirrups. When the stirrup corrosion rate was low, the corrosion-induced cracks mainly appeared on one side, while the corrosion-induced cracks mainly appeared on both sides when the stirrup corrosion rate was high. The length and maximum width of corrosion-induced cracks increased as the stirrup corrosion rate increased, but the average width of the corrosion-induced cracks did not change significantly.
(2)
After the stirrup-corroded column reached the ultimate load, the concrete cover spalled off in pieces along the corrosion-induced cracks and loading cracks and the core concrete was crushed. The brittle property of the stirrup-corroded columns was more obvious than that of the uncorroded column, the tensile deformation of the stirrup was serious, and the flexure length of the longitudinal reinforcing steel bars spanned more than one stirrup, so the strength of the longitudinal reinforcing steel bar could not be fully utilized.
(3)
When the stirrup-corroded column was stressed, the circumferential deformation increased with the increasing degree of stirrup corrosion. The corners of the stirrups were easily pulled apart, which reduced the constraint ability of the core concrete and main reinforcing steel bars.
(4)
With the increasing corrosion rate of the stirrups, the ultimate bearing capacity of the column decreased, and the decline in the bearing capacity at the early stage was greater than that at the later stage. With the increasing stirrup corrosion rate, the slope of the load-longitudinal displacement (N-Δ) curve decreased, meaning the stiffness of the column decreased.
(5)
Considering the column section damage caused by stirrup corrosion, the reduction of the lateral constraint effect of the corroded stirrup on the longitudinal reinforcing steel bars and the flexure of the longitudinal bars, a prediction model of the ultimate bearing capacity of the short column with corroded stirrups under axial compression was established by introducing the bearing capacity attenuation coefficient K   c and damage degree λ   c . The calculated values of the model were in good agreement with the measured values. In practical application, the bearing capacity attenuation coefficient and the damage degree can be calculated according to the corrosion-induced cracking area of the component surface measured on site, which can predict the residual bearing capacity of stirrup-corroded columns and provide a theoretical basis for structural durability design and assessment.
(6)
The degradation of bearing capacity of stirrup-corroded columns is related not only to the degree of damage of the column section but also to the restraint effect of the corroded stirrup. Stirrups with different degrees of corrosion have different circumferential strains and restraint effects under axial pressure. Therefore, quantifying the reduction of restraint performance caused by the circumferential deformation of stirrups with different degrees of corrosion is worth studying in the future.

Author Contributions

Conceptualization, X.Z.; Data curation, B.Z. and Y.L.; Writing—original draft, X.Z.; Writing—review & editing, J.L., K.W., B.Z., Y.L. and K.N.; Visualization, J.X.; Funding acquisition, X.Z. and K.W. All authors have read and agreed to the published version of the manuscript.

Funding

This work was supported by The National Natural Science Funds Programs of China (Project code:52178171, 51678513) and Jiangsu Water Science and Technology Project (Project code:2022Z034 Degradation mechanism and life extension technology of long-term performance on hydraulic concrete in chloride environment).

Conflicts of Interest

The authors declare no conflict of interest.

References

  1. Mehta, P.K. Concrete durability-fifty year’s progress. In Proceedings of the 2nd International Conference on Concrete Durability, ACI SP126-1, Montreal, QC, Canada, 4–9 August 1991; American Concrete Institution: Detroit, MI, USA, 1991; Volume 1. [Google Scholar]
  2. Uomoto, T.; Misra, S. Behavior of concrete beams and columns in marine environment when corrosion of reinforcing bars takes place. ACI Spec. Publ. 1988, 109, 127–146. [Google Scholar]
  3. Tapan, M.; Aboutaha, R.S. Effect of steel corrosion and loss of concrete cover on strength of deteriorated RC columns. Constr. Build. Mater. 2011, 25, 2596–2603. [Google Scholar] [CrossRef]
  4. Tapan, M.; Aboutaha, R.S. Strength evaluation of deteriorated RC bridge columns. J. Bridge Eng. 2008, 13, 226–236. [Google Scholar] [CrossRef]
  5. Niu, D.T. Durability and Life Forecast of Reinforced Concrete Structure; Science Press: Beijing, China, 2003. [Google Scholar]
  6. Zhou, X.W.; Wei, J.; Dong, R.Z.; Yu, J. Bearing capacity model for corroded reinforced concrete members with large-eccentric flexure and compression. J. Huazhong Univ. Sci. Technol. 2007, 35, 107–109. [Google Scholar]
  7. Zhang, K.B.; Hu, J.; Zhang, J.R.; Peng, H. On the experiment and bearing capacity of eccentrically compressed component made of corroded reinforced concrete. J. Exp. Mech. 2010, 6, 625–632. [Google Scholar]
  8. Zhang, K.Q.; Wei, J.; Xu, G. Assessment of bearing capacity of corroded reinforced concrete little eccentric compressive members. J. Huazhong Univ. Sci. Technol. 2008, 4, 107–109. [Google Scholar]
  9. Xia, J. Study on Mechanical Properties of Corroded Reinforced Concrete Structures. Ph.D Thesis, Zhejiang University, Hangzhou, China, 2010. [Google Scholar]
  10. Wang, X.H.; Liang, F.Y. Performance of RC columns with partial length corrosion. Nucl. Eng. Des. 2008, 238, 3194–3202. [Google Scholar] [CrossRef]
  11. Dong, H. Study on the Deterioration of the Bearing Capacity of Rusty Reinforced Concrete Members. Ph.D Thesis, Shandong University, Jinan, China, 2019. [Google Scholar]
  12. Chen, Y.; Li, X.N.; Li, X.C.; Jiang, J.N. Experimental Research on Axial Compression Bearing Capacity of Reinforced Concrete Columns under Fatigue Loading. Bull. Chin. Ceram. Soc. 2020, 39, 1457–1465. [Google Scholar]
  13. Yuan, Z.J.; Fang, C.Q.; Parsaeimaram, M.; Yang, S. Cyclic behavior of corroded reinforced concrete bridge piers. J. Bridge Eng. 2017, 22, 1–21. [Google Scholar] [CrossRef]
  14. Yuan, Y.S.; Li, G. Deterioration characteristics of structural behavior in corroded reinforced concrete column. Build. Struct. 2002, 32, 18–20. [Google Scholar]
  15. Diao, B.; Yang, Y. Experiments of reinforced concrete columns with eccentric compressive persistent loading under alternative actions of a mixed aggressive solution and freeze-thaw cycles. J. Build. Struct. 2009, S2, 292–297. [Google Scholar]
  16. De Domenico, D.; Messina, D.; Recupero, A. A combined experimental-numerical framework for assessing the load-bearing capacity of existing PC bridge decks accounting for corrosion of prestress strands. Materials 2021, 14, 4914. [Google Scholar] [CrossRef] [PubMed]
  17. Cao, G.H.; Wang, L.B.; Zhang, Z.W. Study on effect of loading age on creep of reinforced concrete columns under coupled action of chloride environment and load. J. Build. Struct. 2022, 43, 275–283. [Google Scholar]
  18. Sun, X.H.; Wang, J.L.; Zuo, X.B.; Yin, G.J.; Tang, Y.J. Numerical investigation on degradation of reinforced concrete column subjected to coupling of loading and environment. J. Nanjing Univ. Sci. Technol. 2018, 42, 133–141. [Google Scholar]
  19. Jiang, F.C.; Zhu, C.M. Analysis of buckling behavior of longitudinal bars affected by stirrup corrosion in concrete columns. J. Southeast Univ. 2008, 38, 279–282. [Google Scholar]
  20. Wu, Y.T.; Pan, Y.; Chen, B.W. Behavior of axially loaded RC columns with buckling restrained longitudinal rebars. China Civ. Eng. J. 2013, 46 (Suppl. 1), 190–194. [Google Scholar]
  21. Liu, L. Experimental Study on Constitutive Relationship under Uniaxial Compression of Corroded Stirrups Confined Concrete. Ph.D Thesis, Xi’an University of Architecture and Technology, Xi’an, China, 2011. [Google Scholar]
  22. Li, Q.; Niu, D.T.; Liu, L.; Wang, Q. Experimental study on reinforced concrete prism specimens confined by corroded stirrups. Build. Struct. 2013, 43, 65–68+80. [Google Scholar]
  23. Chen, S.J.; Ren, J.X.; Li, Q. Bearing capacity degradation mechanism of corrosive reinforced concrete column. J. Xi’an Univ. Sci. Technol. 2018, 38, 85–90. [Google Scholar]
  24. Li, Q.; Niu, D.T.; Zhang, C.Z.; Yang, G. The low reversed cyclic loading tests of concrete column confined by corroded stirrups. J. Xi’an Univ. Sci. Technol. 2017, 49, 671–679. [Google Scholar]
  25. Niu, D.T.; Tong, L.X.; Li, Q. Research on damage law of concrete cover and stirrup corrosion analysis. Build. Struct. 2014, 44, 33–38. [Google Scholar]
  26. Zhang, W.; Niu, D.T.; Li, Q. Stirrups corrosion of concrete column with axial compression for numerical simulation. Sichuan Build. Sci. 2013, 39, 94–97+111. [Google Scholar]
  27. Li, Q.; Jin, X.Y. Effect of stirrup corrosion on bearing capacity of uniaxial compression short column. J. Zhejiang Univ. Eng. Sci. 2015, 49, 1929–1938+1951. [Google Scholar]
  28. Ren, X.D.; Liu, K.; Wei, G.T.; Li, J. Experimental study on mechanical behavior of stirrups confined concrete under loadings at different rates. J. Build. Struct. 2017, 38, 141–150. [Google Scholar]
  29. Shi, Q.X.; Rong, C.; Zhang, T. A practical stress-strain model for confined concrete. J. Build. Mater. 2017, 20, 49–54. [Google Scholar]
  30. GB50010-2010; Code for Design of Concrete Structures. China Architecture and Building Press: Beijing, China, 2010.
Figure 1. Schematic diagram of reinforcing steel bars for axial compression members (Unit: mm).
Figure 1. Schematic diagram of reinforcing steel bars for axial compression members (Unit: mm).
Applsci 13 02423 g001
Figure 2. Prestress loading site.
Figure 2. Prestress loading site.
Applsci 13 02423 g002
Figure 3. Accelerated corrosion test. (a) Diagram of accelerated corrosion. (b) Accelerated corrosion site.
Figure 3. Accelerated corrosion test. (a) Diagram of accelerated corrosion. (b) Accelerated corrosion site.
Applsci 13 02423 g003
Figure 4. Loading test.
Figure 4. Loading test.
Applsci 13 02423 g004
Figure 5. Measuring instrument arrangement.
Figure 5. Measuring instrument arrangement.
Applsci 13 02423 g005
Figure 6. Detailed drawing of partial samples corroded inside the concrete. (a) Partial samples of corroded stirrups. (b) Partial samples of corroded main reinforcing steel bars.
Figure 6. Detailed drawing of partial samples corroded inside the concrete. (a) Partial samples of corroded stirrups. (b) Partial samples of corroded main reinforcing steel bars.
Applsci 13 02423 g006
Figure 7. Diagram of the unfolded corroded column.
Figure 7. Diagram of the unfolded corroded column.
Applsci 13 02423 g007
Figure 8. Corrosion-induced crack maps.
Figure 8. Corrosion-induced crack maps.
Applsci 13 02423 g008
Figure 9. The destruction patterns of concrete columns. (a) GZ0; (b) GZ5; (c) GZ10; (d) GZ15.
Figure 9. The destruction patterns of concrete columns. (a) GZ0; (b) GZ5; (c) GZ10; (d) GZ15.
Applsci 13 02423 g009
Figure 10. The curves of N-Δ.
Figure 10. The curves of N-Δ.
Applsci 13 02423 g010
Figure 11. The curves of σ-ε.
Figure 11. The curves of σ-ε.
Applsci 13 02423 g011
Figure 12. Division of bearing capacity in the cross-sectional area of stirrup-restrained concrete columns.
Figure 12. Division of bearing capacity in the cross-sectional area of stirrup-restrained concrete columns.
Applsci 13 02423 g012
Figure 13. The curve of Kcc.
Figure 13. The curve of Kcc.
Applsci 13 02423 g013
Figure 14. The flexural mode of longitudinal reinforcing steel bars. (a) 1st order flexure mode. (b) 2nd order flexure mode. (c) 3rd order flexure mode.
Figure 14. The flexural mode of longitudinal reinforcing steel bars. (a) 1st order flexure mode. (b) 2nd order flexure mode. (c) 3rd order flexure mode.
Applsci 13 02423 g014
Table 1. Concrete mixture ratio (kg/m3).
Table 1. Concrete mixture ratio (kg/m3).
WaterCementFine AggregateCoarse AggregateCoal AshWater Reducer
1603407121161206.4
Table 2. Corrosion rates of reinforcing steel bars in columns.
Table 2. Corrosion rates of reinforcing steel bars in columns.
Specimen Number ρ mr , th / % ρ mr , ex / % ρ vc , th / % ρ vc , ex / %
GZ000.0000.00
GZ502.2854.95
GZ1001.69109.26
GZ1502.811512.57
Table 3. Total length, maximum, and average width of corrosion-induced cracks.
Table 3. Total length, maximum, and average width of corrosion-induced cracks.
Specimen Number ρ vc , ex / % l c / mm Wmax/mmWave/mm
GZ00.0000.0000.000
GZ54.9510500.6490.228
GZ109.2623500.7300.234
GZ1512.5731500.8510.258
Note: lc is the total length of the corrosion-induced cracks; Wmax and Wave are the maximum and average width of the corrosion-induced cracks, respectively.
Table 4. Test results for ultimate bearing capacity.
Table 4. Test results for ultimate bearing capacity.
Specimen Number ρ vc , th / % ρ vc , ex / % Ncu,test/kNReduction/%
GZ000.0015000.0
GZ554.95110026.7
GZ10109.2695036.7
GZ151512.5790040.0
Table 5. Comparison between model results and experimental results.
Table 5. Comparison between model results and experimental results.
Specimen
Number
Stirrup Corrosion Rate (%)Results of the Model (kN)Results of the Test (kN)Model/Test
GZ10.001373 15000.9153
GZ24.321088 11000.9891
GZ310.829369500.9852
GZ414.198949000.9933
Disclaimer/Publisher’s Note: The statements, opinions and data contained in all publications are solely those of the individual author(s) and contributor(s) and not of MDPI and/or the editor(s). MDPI and/or the editor(s) disclaim responsibility for any injury to people or property resulting from any ideas, methods, instructions or products referred to in the content.

Share and Cite

MDPI and ACS Style

Zhong, X.; Li, J.; Xu, J.; Wang, K.; Zhu, B.; Liu, Y.; Ni, K. Deterioration of Mechanical Properties of Axial Compression Concrete Columns with Corroded Stirrups Coupling on Load and Chloride. Appl. Sci. 2023, 13, 2423. https://doi.org/10.3390/app13042423

AMA Style

Zhong X, Li J, Xu J, Wang K, Zhu B, Liu Y, Ni K. Deterioration of Mechanical Properties of Axial Compression Concrete Columns with Corroded Stirrups Coupling on Load and Chloride. Applied Sciences. 2023; 13(4):2423. https://doi.org/10.3390/app13042423

Chicago/Turabian Style

Zhong, Xiaoping, Jiahao Li, Jiahao Xu, Kailai Wang, Bingxi Zhu, Yang Liu, and Keting Ni. 2023. "Deterioration of Mechanical Properties of Axial Compression Concrete Columns with Corroded Stirrups Coupling on Load and Chloride" Applied Sciences 13, no. 4: 2423. https://doi.org/10.3390/app13042423

APA Style

Zhong, X., Li, J., Xu, J., Wang, K., Zhu, B., Liu, Y., & Ni, K. (2023). Deterioration of Mechanical Properties of Axial Compression Concrete Columns with Corroded Stirrups Coupling on Load and Chloride. Applied Sciences, 13(4), 2423. https://doi.org/10.3390/app13042423

Note that from the first issue of 2016, this journal uses article numbers instead of page numbers. See further details here.

Article Metrics

Back to TopTop